Effect of Spray Application Technique on Spray Deposition and Losses in a Greenhouse Vegetable Nursery
Abstract
1. Introduction
2. Materials and Methods
2.1. The Seedlings
2.2. The Boom Sprayer
2.3. Experimental Set-Up
2.4. Sampling and Analysis of Data
3. Results and Discussion
3.1. Tomato Seedlings’ Surface Area
3.2. Effect of the Spraying System
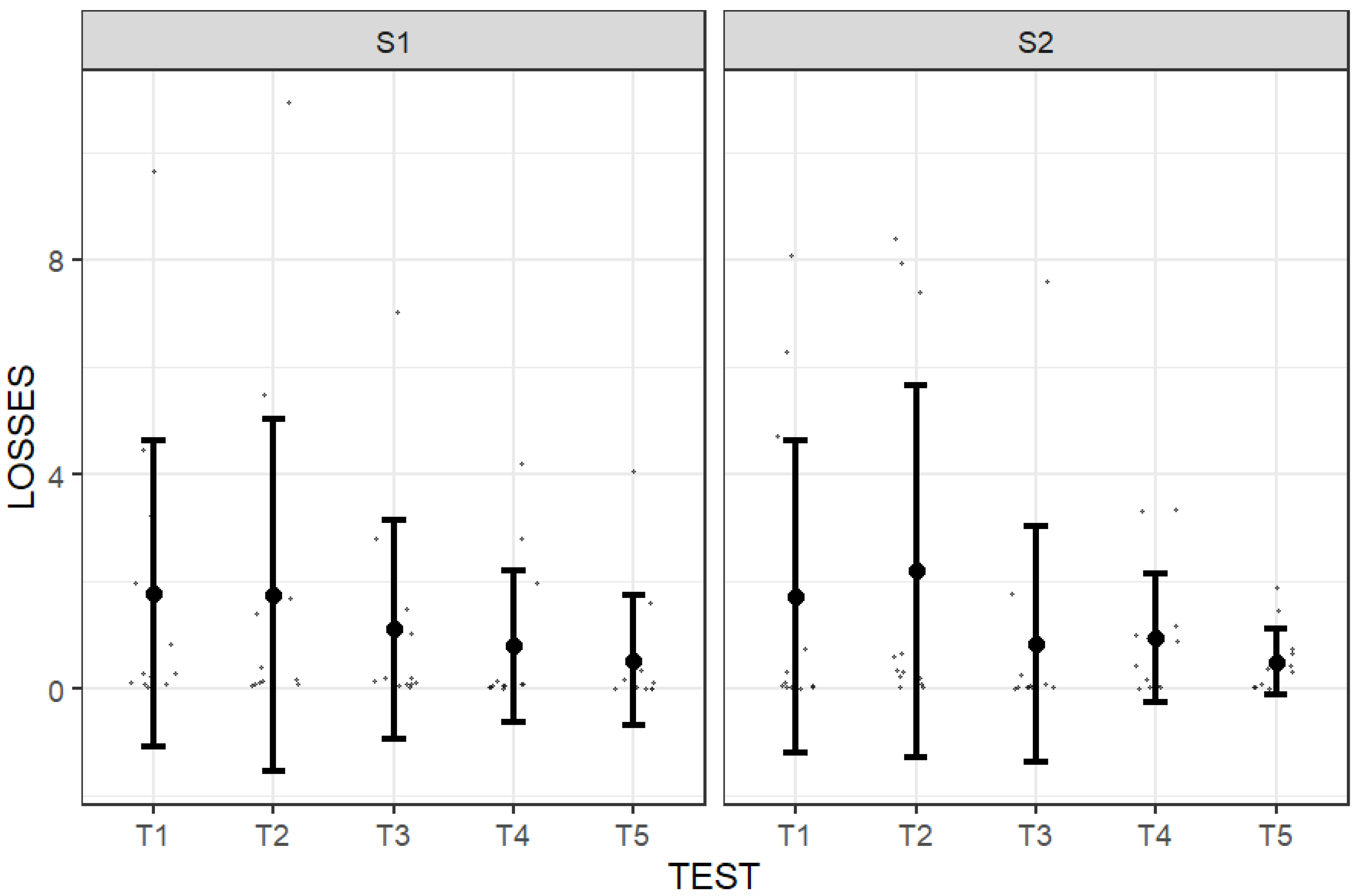
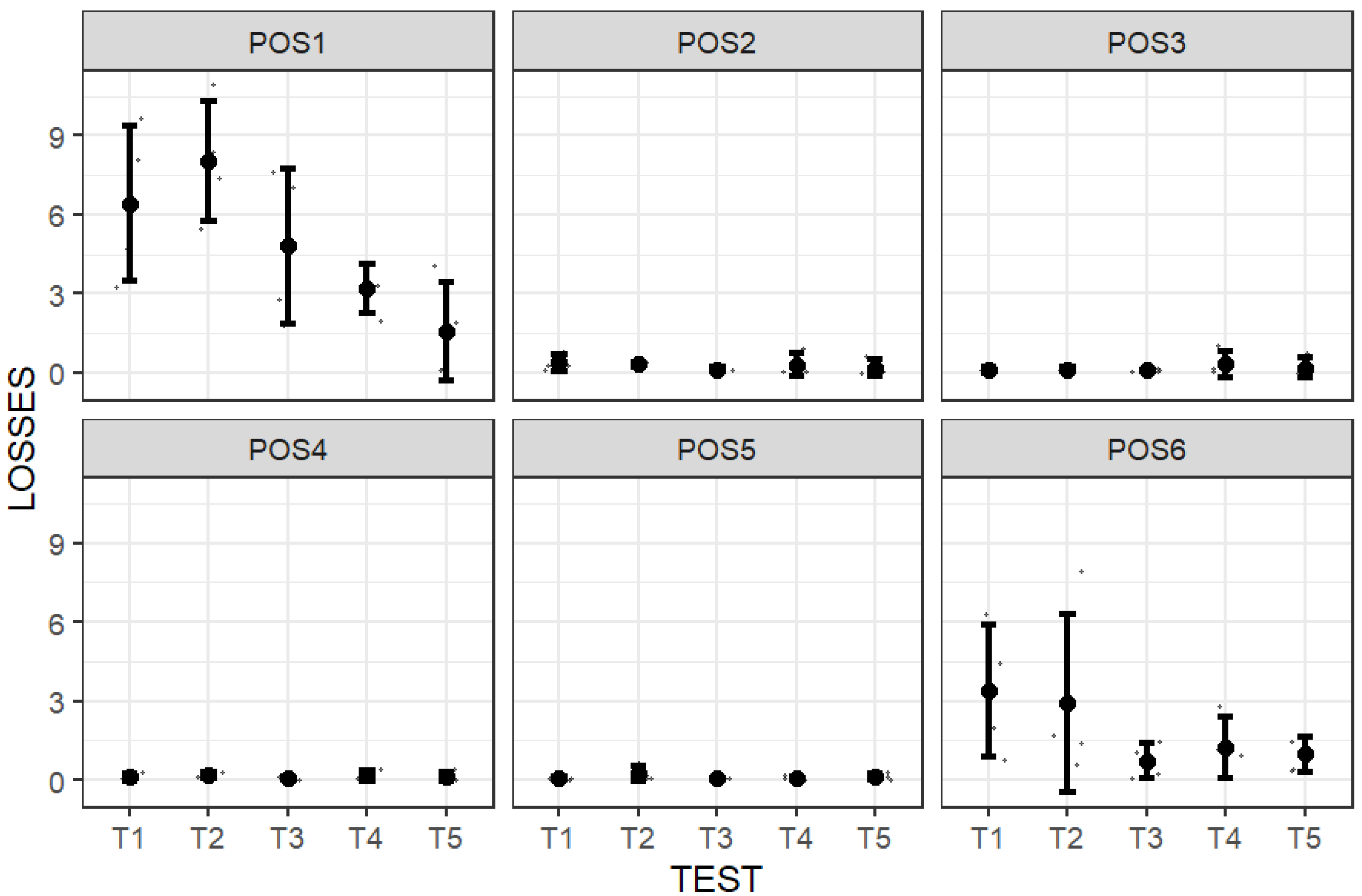
3.3. Losses to the Soil
4. Conclusions
Author Contributions
Funding
Acknowledgments
Conflicts of Interest
References
- FAO. Good Agricultural Practices for Greenhouse Vegetable Crops. Principles for Mediterranean Climate Areas. 2013. Available online: http://www.fao.org/3/a-i3284e.pdf (accessed on 3 July 2020).
- ISTAT. 2019. Available online: https://www.istat.it/it/agricoltura?dati (accessed on 3 July 2020).
- Testa, R.; Trapani, A.M.; Sgroi, F.; Tudisca, S. Economic Sustainability of Italian Greenhouse Cherry Tomato. Sustainability 2014, 6, 7967–7981. [Google Scholar] [CrossRef]
- Timpanaro, G.; Urso, A.; Prato, C.; Foti, V.T. Evaluating the potential for development of vegetable nursery industry: Analysis in an important vegetable region in Italy. AJABS 2015, 10, 74–82. [Google Scholar] [CrossRef]
- Failla, S.; Tornello, G. Mechanization of vegetable sowing in nurseries. Acta Hortic. 2003, 614, 285–290. [Google Scholar] [CrossRef]
- Zappalà, L.; Manetto, G.; Tropea Garzia, G.; Emma, G.; Failla, S. Mechanical distribution of Phytoseiulus persimilis on chrysanthemum. Acta Hortic. 2012, 952, 793–800. [Google Scholar] [CrossRef]
- Pezzi, F.; Martelli, R.; Lanzoni, A.; Maini, S. Effects of mechanical distribution on survival and reproduction of Phytoseiulus persimilis and Amblyseius swirskii. Biosyst. Eng. 2015, 129, 11–19. [Google Scholar] [CrossRef]
- Lanzoni, A.; Martelli, R.; Pezzi, F. Mechanical release of Phytoseiulus persimilis and Amblyseius swirskii on protected crops. Bull Insectol. 2017, 70, 245–250. [Google Scholar]
- Martelli, R.; Lanzoni, A.; Maini, S.; Pezzi, F. Mechanical application of Orius laevigatus nymphs for the control of Frankliniella occidentalis in greenhouse crops. Bull Insectol. 2020, 73, 59–69. [Google Scholar]
- Papa, R.; Manetto, G.; Cerruto, E.; Failla, S. Mechanical distribution of beneficial arthropods in greenhouse and open field: A review. JAE 2018, 49, 81–91. [Google Scholar] [CrossRef]
- Balan, M.G.; Abi-Saab, O.J.G.; da Silva, C.G.; do Rio, A. Deposition of the spraying suspension for three spray nozzles under different meteorological conditions. Semin. Cienc. Agrar. 2008, 29, 293–298. [Google Scholar] [CrossRef][Green Version]
- Braekman, P.; Foque, D.; Messens, W.; Van Labeke, M.C.; Pieters, J.G.; Nuyttens, D. Effect of spray application technique on spray deposition in greenhouse strawberries and tomatoes. Pest Manag. Sci. 2009, 66, 203–212. [Google Scholar] [CrossRef]
- Nuyttens, D.; Braekman, P.; Windey, S.; Sonck, B. Potential dermal pesticide exposure affected by greenhouse spray application technique. Pest Manag. Sci. 2009, 65, 781–790. [Google Scholar] [CrossRef] [PubMed]
- van Zuydam, R.P.; van de Zande, J.C. Application technology, emission and safety in glasshouse spraying. Bull. OEPP 1996, 26, 95–101. [Google Scholar] [CrossRef]
- Nuyttens, D.; Windey, S.; Sonck, B. Optimisation of a vertical spray boom for greenhouse spray applications. Biosyst. Eng. 2004, 89, 417–423. [Google Scholar] [CrossRef]
- Balsari, P.; Oggero, G. Proposal of a Methodology for Functional Inspection of Sprayers Used in Greenhouse. Acta Hortic. 2008, 801, 601–608. [Google Scholar] [CrossRef]
- Braekman, P.; Foqùe, D.; van Labeke, M.C.; Pieters, J.G.; Nuyttens, D. Influence of spray application technique on spray deposition in Greenhouse Ivy pot plants grown on hanging shelves. HortScience 2009, 44, 1921–1927. [Google Scholar] [CrossRef]
- Derksen, R.C.; Engineer, A.; Krause, C.R. Comparison of Handgun and Boom Spray Delivery Systems for Greenhouses. In ASABE International Meeting; Reno, NV, USA, Paper Number: 097453; American Society of Agricultural and Biological Engineers: St. Joseph, MI, USA, 2009. [Google Scholar]
- Sánchez-Hermosilla, J.; Rincón, V.J.; Páez, F.; Agüera, F.; Carvajal, F. Field evaluation of a self-propelled sprayer and effects of the application rate on spray d eposition and losses to the ground in greenhouse tomato crops. Pest Manag. Sci. 2011, 67, 942–947. [Google Scholar] [CrossRef]
- Balsari, P.; Oggero, G.; Bozzer, C.; Marucco, P. An autonomous self-propelled sprayer for safer pesticide application in glasshouse. Asp. Appl. Biol. 2012, 114, 1–8. [Google Scholar]
- Sánchez-Hermosilla, J.; Rincón, V.J.; Páez, F.; Fernández, M. Comparative spray deposits by manually pulled trolley sprayer and a spray gun in greenhouse tomato crops. Crop Prot. 2012, 31, 119–124. [Google Scholar] [CrossRef]
- Rincón, V.J.; Paez, F.C.; Sanchez-Hermosilla, J. Potential dermal exposure to operators applying pesticide on greenhouse crops using low-cost equipment. Sci. Total Environ. 2018, 630, 1181–1187. [Google Scholar] [CrossRef]
- Rincón, V.J.; Grella, M.; Marucco, P.; Alcatrão, L.E.; Sanchez-Hermosilla, J.; Balsari, P. Spray performance assessment of a remote-controlled vehicle prototype for pesticide application in greenhouse tomato crops. Sci. Total Environ. 2020, 726, 138509. [Google Scholar] [CrossRef]
- Derksen, R.C.; Miller, S.A.; Ozkan, H.E.; Fox, R.D. Spray deposition characteristics on tomatoes and disease management as influenced by droplet size, spray volume, and air-assistance. In ASAE Annual International Meeting; Sacramento Convention Center, Sacramento, California, USA. Paper No: 01-1120; American Society of Agricultural and Biological Engineers: St. Joseph, MI, USA, 2001. [Google Scholar]
- Nuyttens, D.; Windey, S.; Sonck, B. Comparison of operator exposure for five different greenhouse spraying applications. J. Agric. Saf. Health 2004, 10, 187–195. [Google Scholar] [CrossRef] [PubMed]
- Medina, R.; Sanchez-Hermosilla, J.; Aguera, F.; Gazquez, J.C. Deposition analysis of several application volumes of pesticides adapted to the growth of a greenhouse tomato crop. Acta Hortic. 2005, 691, 179–186. [Google Scholar] [CrossRef]
- Derksen, R.C.; Frantz, J.; Ranger, C.M.; Locke, J.C.; Zhu, H.; Krause, C.R. Comparing greenhouse handgun delivery to poinsettias by spray volume and quality. Trans ASABE 2008, 51, 27–33. [Google Scholar] [CrossRef]
- Foqué, D.; Nuyttens, D. Effect of nozzle type and configuration on spray deposition in Ivy pot plants. Asp. Appl. Biol. 2010, 99, 41–47. [Google Scholar]
- Foqué, D.; Pieters, J.G.; Nuyttens, D. Spray deposition and distribution in a bay laurel crop as affected by nozzle type, air assistance and spray direction when using vertical spray booms. Crop Prot. 2012, 41, 77–87. [Google Scholar] [CrossRef]
- Sánchez-Hermosilla, J.; Paez, J.; Rincon, V.J.; Carvajal, F. Evaluation of the effect of spray pressure in hand-held sprayers in a greenhouse tomato crop. Crop Prot. 2013, 54, 121–125. [Google Scholar] [CrossRef]
- Llop, J.; Gil, E.; Llorens, J.; Gallart, M.; Balsari, P. Influence of air-assistance on spray application for tomato plants in greenhouses. Crop Prot. 2015, 78, 293–301. [Google Scholar] [CrossRef]
- Llop, J.; Gil, E.; Gallart, M.; Contador, F.; Ercilla, M. Spray distribution evaluation of different settings of a hand-held-trolley sprayer used in greenhouse tomato crops. Pest Manag. Sci. 2016, 72, 505–516. [Google Scholar] [CrossRef]
- Rincón, V.J.; Sanchez-Hermosilla, J.; Páez, F.; Pérez-Alonso, J.; Callejón, A.J. Assessment of the influence of working pressure and application rate on pesticide spray application with a hand-held spray gun on greenhouse pepper crops. Crop Prot. 2017, 96, 7–13. [Google Scholar] [CrossRef]
- Frangu, B.; Popp, J.S.; Thomsen, M.; Musliu, A. Evaluating Greenhouse Tomato and Pepper Input Efficiency Use in Kosovo. Sustainability 2018, 10, 2768. [Google Scholar] [CrossRef]
- Giuliani, M.M.; Nardella, E.; Gagliardi, A.; Gatta, G. Deficit Irrigation and Partial Root-Zone Drying Techniques in Processing Tomato Cultivated under Mediterranean Climate Conditions. Sustainability 2017, 9, 2197. [Google Scholar] [CrossRef]
- Ronga, D.; Parisi, M.; Pentangelo, A.; Mori, M.; Di Mola, I. Effects of Nitrogen Management on Biomass Production and Dry Matter Distribution of Processing Tomato Cropped in Southern Italy. Agronomy 2019, 9, 855. [Google Scholar] [CrossRef]
- Boccia, F.; Di Donato, P.; Covino, D.; Poli, A. Food waste and bio-economy: A scenario for the Italian tomato market. J. Clean. Prod. 2019, 227, 424–433. [Google Scholar] [CrossRef]
- Hack, H.; Bleiholder, H.; Buhr, L.; Meier, U.; Schnock-Fricke, U.; Weber, E.; Witzenberger, A. Einheitliche Codierung der phänologischen Entwicklungsstadien mono-und dikotyler Pflanzen—Erweiterte BBCH-Skala, Allgemein. Nachrichtenbl. Deut. Pflanzenschutzd 1992, 44, 265–270. [Google Scholar]
- R Development Core Team. R: A Language and Environment for Statistical Computing. R Foundation for Statistical Computing, Vienna, Austria. 2012. Available online: http://www.R-project.org (accessed on 5 May 2020).











| Operating Parameters | Test 1 | Test 2 | Test 3 | Test 4 | Test 5 |
|---|---|---|---|---|---|
| Equipment | boom | boom | boom | boom | spray gun |
| Forward speed (m s−1) | 0.14 | 0.14 | 0.43 | 0.43 | 0.22 |
| Overpressure (102 kPa) | 3 | 4 | 3 | 4 | 30 |
| Flow rate (L min−1) | 10 | 12 | 10 | 12 | 7 |
| Volume (L ha−1) | 2800 | 3300 | 900 | 1100 | 1400 |
| Growth Stage | Surface Area (cm2) | CV | Error ST | Error % |
|---|---|---|---|---|
| S1 | 1.46 a | 20% | 0.039 | 3% |
| S2 | 31.09 b | 21% | 0.673 | 2% |
| Growth Stage | Deposit (µL cm−2) | ||||
|---|---|---|---|---|---|
| Mean | Min | Max | Std. Error | Median | |
| S1 | 2.97 a | 0.70 | 13.2 | 0.06 | 2.47 |
| S2 | 1.10 b | 0.06 | 4.52 | 0.02 | 0.92 |
| TEST | Deposit (µL cm−2) | |
|---|---|---|
| S1 | S2 | |
| T1 (2800 L ha−1) | 3.77 a | 1.43 b |
| T2 (3300 L ha−1) | 3.71 a | 1.77 a |
| T3 (900 L ha−1) | 1.89 c | 0.52 d |
| T4 (1100 L ha−1) | 2.27 c | 0.87 c |
| T5 (1400 L ha−1) | 3.18 b | 0.91 c |
| Growth Stage | Deposit (µL cm−2) | ||||
|---|---|---|---|---|---|
| Mean | Min | Max | Std. Error | Median | |
| S1 | 1.20 ns | 0.006 | 10.9 | 0.29 | 0.15 |
| S2 | 1.24 ns | 0.004 | 8.39 | 0.30 | 0.23 |
© 2020 by the authors. Licensee MDPI, Basel, Switzerland. This article is an open access article distributed under the terms and conditions of the Creative Commons Attribution (CC BY) license (http://creativecommons.org/licenses/by/4.0/).
Share and Cite
Failla, S.; Romano, E. Effect of Spray Application Technique on Spray Deposition and Losses in a Greenhouse Vegetable Nursery. Sustainability 2020, 12, 7052. https://doi.org/10.3390/su12177052
Failla S, Romano E. Effect of Spray Application Technique on Spray Deposition and Losses in a Greenhouse Vegetable Nursery. Sustainability. 2020; 12(17):7052. https://doi.org/10.3390/su12177052
Chicago/Turabian StyleFailla, Sabina, and Elio Romano. 2020. "Effect of Spray Application Technique on Spray Deposition and Losses in a Greenhouse Vegetable Nursery" Sustainability 12, no. 17: 7052. https://doi.org/10.3390/su12177052
APA StyleFailla, S., & Romano, E. (2020). Effect of Spray Application Technique on Spray Deposition and Losses in a Greenhouse Vegetable Nursery. Sustainability, 12(17), 7052. https://doi.org/10.3390/su12177052
