Normative Values for Muscular Fitness for Chinese Children and Adolescents Aged 7–18 Years
Abstract
1. Introduction
2. Materials and Methods
2.1. Participants
2.2. MF Testing
2.3. Anthropometry
2.4. Statistical Analyses
3. Results
4. Discussion
5. Conclusions
Author Contributions
Funding
Acknowledgments
Conflicts of Interest
References
- Smith, J.J.; Eather, N.; Morgan, P.J.; Plotnikoff, R.C.; Faigenbaum, A.D.; Lubans, D.R. The Health Benefits of Muscular Fitness for Children and Adolescents: A Systematic Review and Meta-Analysis. Sports Med. 2014, 44, 1209–1223. [Google Scholar] [CrossRef] [PubMed]
- Gallahue, D.L. Understanding Motor Development: Infants, Children, Adolescents, Adults; McGraw-Hill Education: New York, NY, USA, 2012. [Google Scholar]
- Faigenbaum, A.D.; Myer, G.D. Resistance training among young athletes: Safety, efficacy and injury prevention effects. Br. J. Sports Med. 2010, 44, 56–63. [Google Scholar] [CrossRef]
- Ortega, F.B.; Silventoinen, K.; Tynelius, P.; Rasmussen, F. Muscular strength in male adolescents and premature death: Cohort study of one million participants. BMJ 2012, 345, e7279. [Google Scholar] [CrossRef]
- Lopez-Jaramillo, P.; Cohen, D.D.; Gómez-Arbeláez, D.; Bosch, J.; Dyal, L.; Yusuf, S.; Gerstein, H.C.; Investigators, O.T. Association of handgrip strength to cardiovascular mortality in pre-diabetic and diabetic patients: A subanalysis of the ORIGIN trial. Int. J. Cardiol. 2014, 174, 458–461. [Google Scholar] [CrossRef]
- Gale, C.R.; Martyn, C.N.; Cooper, C.; Sayer, A.A. Grip strength, body composition, and mortality. Int. J. Epidemiol. 2007, 36, 228–235. [Google Scholar] [CrossRef]
- Rantanen, T.; Harris, T.; Leveille, S.G.; Visser, M.; Dan, F.; Masaki, K.; Guralnik, J.M. Muscle Strength and Body Mass Index as Long-Term Predictors of Mortality in Initially Healthy Men. J. Gerontol. 2000, 55, M168–M173. [Google Scholar] [CrossRef]
- World Health Organization. Global Recommendations on Physical Activity for Health; WHO Press: Geneva, Switzerland, 2010. [Google Scholar]
- Lloyd, R.S.; Faigenbaum, A.D.; Stone, M.H.; Oliver, J.L.; Jeffreys, I.; A Moody, J.; Brewer, C.; Pierce, K.C.; McCambridge, T.M.; Howard, R.; et al. Position statement on youth resistance training: The 2014 International Consensus. Brit. J. Sport Med. 2014, 48, 498–505. [Google Scholar] [CrossRef]
- Cohen, D.D.; Voss, C.; Taylor, M.J.D.; Delextrat, A.; Ogunleye, A.A.; Sandercock, G.R.H. Ten-year secular changes in muscular fitness in English children. Acta Paediatr. 2011, 100, e175–e177. [Google Scholar] [CrossRef]
- Moliner-Urdiales, D.; Ruiz, J.R.; Ortega, F.B.; Jiménez-Pavón, D.; Vicente-Rodriguez, G.; Rey-López, J.P.; Martínez-Gómez, D.; Casajús, J.A.; Mesana, M.I.; Marcos, A. Secular trends in health-related physical fitness in Spanish adolescents: The AVENA and HELENA Studies. J. Sci. Med. Sport 2010, 13, 584–588. [Google Scholar] [CrossRef] [PubMed]
- Runhaar, J.; Collard, D.C.M.; Singh, A.S.; Kemper, H.C.G.; Van Mechelen, W.; Chinapaw, M. Motor fitness in Dutch youth: Differences over a 26-year period (1980–2006). J. Sci. Med. Sport 2010, 13, 323–328. [Google Scholar] [CrossRef] [PubMed]
- Matton, L.; Duvigneaud, N.; Wijndaele, K.; Philippaerts, R.; Lefevre, J. Secular trends in anthropometric characteristics, physical fitness, physical activity, and biological maturation in Flemish adolescents between 1969 and 2005. Am. J. Hum. Biol. 2007, 19, 345–357. [Google Scholar] [CrossRef]
- Westerstahl, M.; Barnekow-Bergkvist, M.; Hedberg, G.; Jansson, E. Secular trends in body dimensions and physical fitness among adolescents in Sweden from 1974 to 1995. Scand. J. Med. Sci. Sports 2003, 13, 128–137. [Google Scholar] [CrossRef] [PubMed]
- Moreno, L.A.; Pineda, I.; Rodriguez, G.; Fleta, J.; Sarria, A.; Bueno, M. Waist circumference for the screening of the metabolic syndrome in children. Acta Paediatr. 2002, 91, 1307–1312. [Google Scholar] [CrossRef] [PubMed]
- Bohannon, R.W. Is it legitimate to characterize muscle strength using a limited number of measures? J. Strength Cond. Res. 2008, 22, 166–173. [Google Scholar] [CrossRef] [PubMed]
- Bohannon, R.W.; Wang, Y.; Bubela, D.; Gershon, R.C. Handgrip Strength: A Population-Based Study of Norms and Age Trajectories for 3- to 17-Year-Olds. Pediatr. Phys Ther. 2017, 29, 118–123. [Google Scholar] [CrossRef]
- Milliken, L.A.; Faigenbaum, A.D.; Loud, R.L.; Westcott, W.L. Correlates of upper and lower body muscular strength in children. J. Strength Cond. Res. 2008, 22, 1339. [Google Scholar] [CrossRef]
- Chan, D.C.; Lee, W.T.; Lo, D.H.; Leung, J.C.; Kwok, A.W.; Leung, P.C. Relationship between grip strength and bone mineral density in healthy Hong Kong adolescents. Osteoporos. Int. 2008, 19, 1485–1495. [Google Scholar] [CrossRef]
- Lean, M.J.; Han, T.S. Waist worries. Am. J. Clin. Nutr. 2002, 76, 699–700. [Google Scholar] [CrossRef][Green Version]
- Castropiñero, J.; Ortega, F.B.; Artero, E.G.; Girelarejón, M.J.; Mora, J.; Sjöström, M.; Ruiz, J.R. Assessing muscular strength in youth: Usefulness of standing long jump as a general index of muscular fitness. J. Strength Cond. Res. 2010, 24, 1810–1817. [Google Scholar] [CrossRef]
- Fernandez-Santos, J.R.; Ruiz, J.R.; Cohen, D.D.; Gonzalez-Montesinos, J.L.; Castro-Piero, J. Reliability and Validity of Tests to Assess Lower-Body Muscular Power in Children. J. Strength Cond. Res. 2015, 29, 2277–2285. [Google Scholar] [CrossRef]
- Fredriksen, P.M.; Mamen, A.; Hjelle, O.P.; Lindberg, M. Handgrip strength in 6–12-year-old children: The Health Oriented Pedagogical Project (HOPP). Scand. J. Public Health 2018, 46, 54–60. [Google Scholar] [CrossRef]
- Garcia-Hermoso, A.; Cofre-Bolados, C.; Andrade-Schnettler, R.; Ceballos-Ceballos, R.; Fernandez-Vergara, O.; Vegas-Heredia, E.D.; Ramirez-Velez, R.; Izquierdo, M. Normative Reference Values for Handgrip Strength in Chilean Children at 8–12 Years Old Using the Empirical Distribution and the Lambda, Mu, and Sigma Statistical Methods. J. Strength Cond. Res. 2018. [Google Scholar] [CrossRef]
- Ramírez-Vélez, R.; Morales, O.; Peña-Ibagon, J.C.; Palacios-López, A.; Prieto-Benavides, D.H.; Vivas, A.; Correa-Bautista, J.E.; Lobelo, F.; Alonso-Martínez, A.M.; Izquierdo, M. Normative Reference Values for Handgrip Strength in Colombian Schoolchildren. J. Strength Cond. Res. 2017, 31, 217–226. [Google Scholar] [CrossRef]
- Tomkinson, G.R.; Carver, K.D.; Atkinson, F.; Daniell, N.D.; Lewis, L.K.; Fitzgerald, J.S.; Lang, J.J.; Ortega, F.B. European normative values for physical fitness in children and adolescents aged 9–17 years: Results from 2 779 165 Eurofit performances representing 30 countries. Br. J. Sport Med. 2018, 52, 1545–1556. [Google Scholar] [CrossRef] [PubMed]
- Catley, M.J.; Tomkinson, G.R. Normative health-related fitness values for children: Analysis of 85347 test results on 9–17-year-old Australians since 1985. Br. J. Sport Med. 2012, 47, 98–108. [Google Scholar] [CrossRef] [PubMed]
- Hager-Ross, C.; Rosblad, B. Norms for grip strength in children aged 4–16 years. Acta Paediatr. 2002, 91, 617–625. [Google Scholar] [CrossRef] [PubMed]
- Omar, M.T.; Alghadir, A.; Al, B.S. Norms for hand grip strength in children aged 6–12 years in Saudi Arabia. Dev. Neurorehabil. 2015, 18, 59–64. [Google Scholar] [CrossRef] [PubMed]
- Baumgartner, T.A.; Gaunt, S.J. Construct Related Validity for the Baumgartner Modified Pull-Up Test. Meas. Phys. Educ. Exerc. Sci. 2005, 9, 51–60. [Google Scholar] [CrossRef]
- National Survey Results of Physical Activity, Athletic Ability and Exercise Habits in Heisei 29: Sports Department. Available online: https://www.mext.go.jp/sports/b_menu/toukei/kodomo/zencyo/1401184.htm (accessed on 26 May 2020).
- Cole, T.J.; Green, P.J. Smoothing reference centile curves: The lms method and penalized likelihood. Stat. Med. 1992, 11, 1305–1319. [Google Scholar] [CrossRef]
- Lachenbruch P, A. Statistical power analysis for the behavioral sciences (2nd ed.). J. Am. Stat. Assoc. 1989, 84, 1096–1097. [Google Scholar] [CrossRef]
- Tomkinson, G.R.; Lang, J.J.; Tremblay, M.S.; Dale, M.; Leblanc, A.G.; Belanger, K.; Ortega, F.B.; Léger, L. International normative 20 m shuttle run values from 1?142?026 children and youth representing 50 countries. Br. J. Sport Med. 2017, 51, 1545–1554. [Google Scholar] [CrossRef] [PubMed]
- Ortega, F.B.; Ruiz, J.R.; Labayen, I.; Lavie, C.J.; Blair, S.N. The Fat but Fit paradox: What we know and don’t know about it. Brit. J. Sport Med. 2018, 52. [Google Scholar] [CrossRef] [PubMed]
- Katzmarzyk, P.T.; Malina, R.M.; Beunen, G.P. The contribution of biological maturation to the strength and motor fitness of children. Ann. Hum. Biol. 1997, 24, 493–505. [Google Scholar] [CrossRef] [PubMed]
- De, O.M.; Onyango, A.W.; Borghi, E.; Siyam, A.; Nishida, C.; Siekmann, J. Development of a WHO growth reference for school-aged children and adolescents. Bull. World Health Organ. 2007, 85, 660–667. [Google Scholar]
- Jones, M.A. The importance of considering biological maturity when assessing physical fitness measures in girls and boys aged 10 to 16 years. Ann. Hum. Biol. 2009, 27, 57–65. [Google Scholar] [CrossRef]
- Song, P.; Xue, L.; Danijela, G.; Ana, F.; Yu, Z. BMI, Waist Circumference Reference Values for Chinese School-Aged Children and Adolescents. Int. J. Environ. Res. Public Health 2016, 13, 589. [Google Scholar] [CrossRef]
- Beunen, G.; Thomis, M. Muscular Strength Development in Children and Adolescents. Pediatr. Exerc. Sci. 2000, 12, 174–197. [Google Scholar] [CrossRef]
- Leong, D.P.; Teo, K.K.; Rangarajan, S.; Lopez-Jaramillo, P.; Avezum, A.J.; Orlandini, A.; Seron, P.; Ahmed, S.H.; Rosengren, A.; Kelishadi, R.; et al. Prognostic value of grip strength: Findings from the Prospective Urban Rural Epidemiology (PURE) study. Lancet 2015, 386, 266–273. [Google Scholar] [CrossRef]
- Carmelli, D.; Reed, T. Stability and change in genetic and environmental influences on hand-grip strength in older male twins. J. Appl. Physiol. 2000, 89, 1879–1883. [Google Scholar] [CrossRef]
- Frederiksen, H.; Gaist, D.; Petersen, H.C.; Hjelmborg, J.; Mcgue, M.; Vaupel, J.W.; Christensen, K. Hand grip strength: A phenotype suitable for identifying genetic variants affecting mid- and late-life physical functioning. Genet. Epidemiol. 2002, 23, 110–122. [Google Scholar] [CrossRef]
- Tiainen, K.; Sipilä, S.; Alen, M.; Heikkinen, E.; Kaprio, J.; Koskenvuo, M.; Tolvanen, A.; Pajala, S.; Rantanen, T. Heritability of maximal isometric muscle strength in older female twins. J. Appl. Physiol. 2004, 96, 173–180. [Google Scholar] [CrossRef] [PubMed]
- Abdulla, M.A.; Ahmed, I.; Assawamakin, A.; Bhak, J.; Brahmachari, S.K.; Calacal, G.C.; Chaurasia, A.; Chen, C.; Chen, J.; Chen, Y.; et al. Mapping Human Genetic Diversity in Asia. Science 2009, 326, 1541–1545. [Google Scholar] [PubMed]
- Global Matrix. Active Healthy Kids Global Alliance. Available online: https://www.activehealthykids.org/global-matrix/ (accessed on 14 May 2020).
- Pozuelo-Carrascosa, D.P.; García-Hermoso, A.; Álvarez-Bueno, C.; Sánchez-López, M.; Martinez-Vizcaino, V. Effectiveness of school-based physical activity programmes on cardiorespiratory fitness in children: A meta-analysis of randomised controlled trials. Br. J. Sport Med. 2018, 52, 1234–1240. [Google Scholar] [CrossRef] [PubMed]
- Yang, Y.; Hong, X.; Gurney, J.G.; Wang, Y. Active Travel to and from School among School Age Children During 1997–2011 and Associated Factors in China. J. Phys. Act. Health 2017, 14, 684–691. [Google Scholar] [CrossRef]
- Sallis, J.F.; Conway, T.L.; Cain, K.L.; Carlson, J.A.; Frank, L.D.; Kerr, J.; Glanz, K.; Chapman, J.E.; Saelens, B.E. Neighborhood built environment and socioeconomic status in relation to physical activity, sedentary behavior, and weight status of adolescents. Prev. Med. 2018, 110, 47–54. [Google Scholar] [CrossRef]




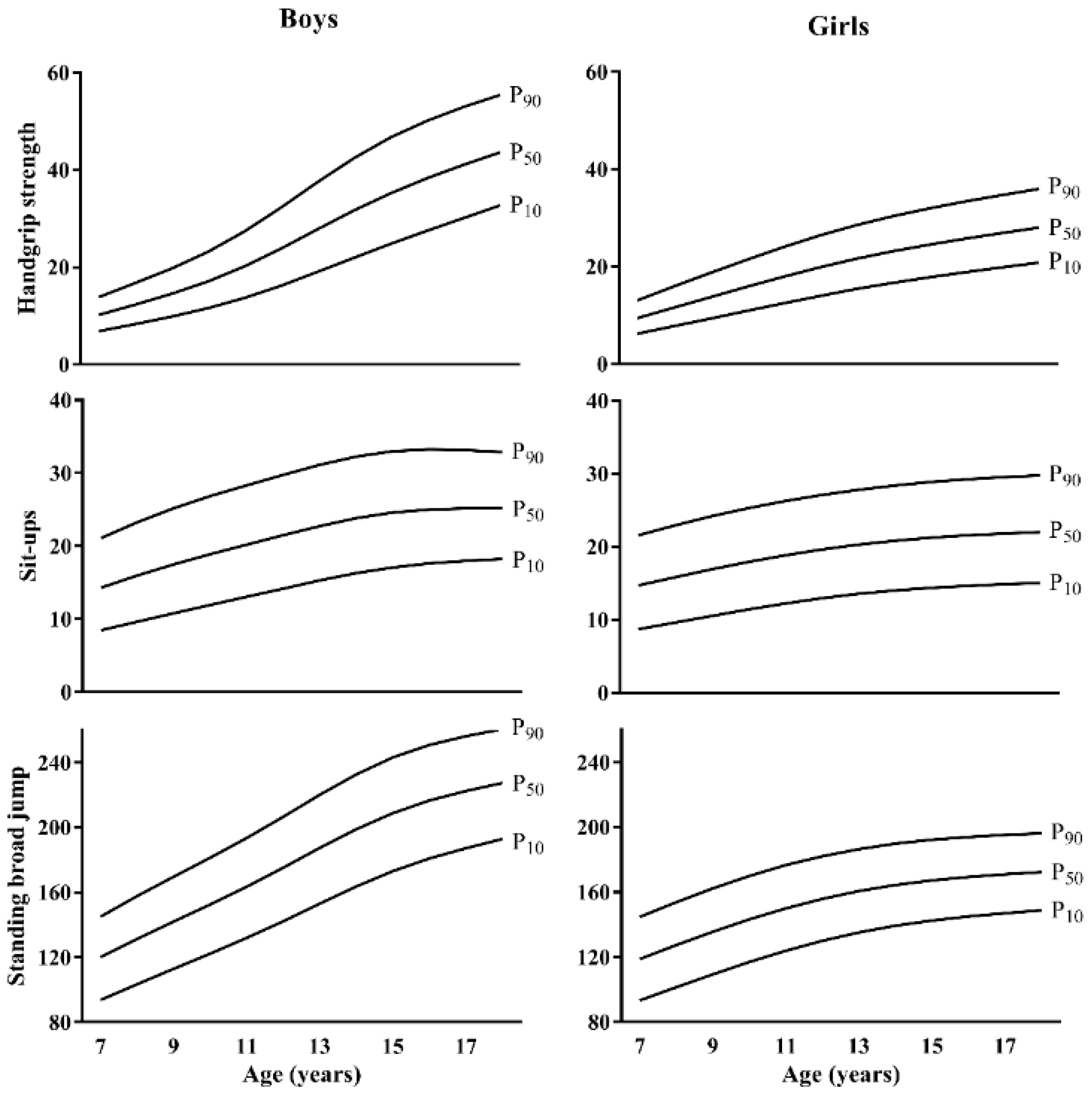
| Age (y) | N | P5 | P10 | P20 | P30 | P40 | P50 | P60 | P70 | P80 | P90 | P95 |
|---|---|---|---|---|---|---|---|---|---|---|---|---|
| Boys | ||||||||||||
| 7 | 5018 | 5.99 | 6.86 | 7.97 | 8.79 | 9.51 | 10.20 | 10.90 | 11.67 | 12.59 | 13.90 | 15.00 |
| 8 | 3447 | 7.29 | 8.34 | 9.66 | 10.65 | 11.51 | 12.34 | 13.18 | 14.10 | 15.20 | 16.77 | 18.09 |
| 9 | 3836 | 8.65 | 9.88 | 11.43 | 12.59 | 13.60 | 14.57 | 15.56 | 16.64 | 17.93 | 19.77 | 21.32 |
| 10 | 4127 | 10.18 | 11.63 | 13.44 | 14.80 | 15.99 | 17.13 | 18.29 | 19.56 | 21.07 | 23.22 | 25.04 |
| 11 | 4106 | 12.03 | 13.73 | 15.88 | 17.48 | 18.89 | 20.23 | 21.60 | 23.09 | 24.87 | 27.41 | 29.56 |
| 12 | 3832 | 14.24 | 16.25 | 18.77 | 20.65 | 22.31 | 23.88 | 25.49 | 27.25 | 29.34 | 32.32 | 34.84 |
| 13 | 3785 | 16.75 | 19.05 | 21.96 | 24.12 | 26.02 | 27.83 | 29.68 | 31.70 | 34.10 | 37.53 | 40.42 |
| 14 | 3795 | 19.39 | 21.95 | 25.18 | 27.59 | 29.70 | 31.71 | 33.76 | 36.00 | 38.66 | 42.45 | 45.66 |
| 15 | 4125 | 22.04 | 24.80 | 28.27 | 30.85 | 33.10 | 35.25 | 37.44 | 39.82 | 42.66 | 46.70 | 50.11 |
| 16 | 4011 | 24.65 | 27.52 | 31.12 | 33.79 | 36.12 | 38.34 | 40.60 | 43.06 | 45.99 | 50.14 | 53.65 |
| 17 | 3361 | 27.21 | 30.13 | 33.77 | 36.47 | 38.83 | 41.07 | 43.35 | 45.83 | 48.77 | 52.95 | 56.48 |
| 18 | 2850 | 29.78 | 32.70 | 36.35 | 39.05 | 41.39 | 43.63 | 45.89 | 48.35 | 51.28 | 55.42 | 58.91 |
| Girls | ||||||||||||
| 7 | 4437 | 5.39 | 6.21 | 7.26 | 8.05 | 8.74 | 9.42 | 10.11 | 10.86 | 11.77 | 13.08 | 14.20 |
| 8 | 3201 | 6.77 | 7.75 | 9.00 | 9.95 | 10.78 | 11.58 | 12.40 | 13.30 | 14.38 | 15.93 | 17.26 |
| 9 | 3726 | 8.19 | 9.33 | 10.77 | 11.86 | 12.82 | 13.74 | 14.68 | 15.71 | 16.95 | 18.73 | 20.25 |
| 10 | 3670 | 9.64 | 10.92 | 12.54 | 13.76 | 14.83 | 15.87 | 16.92 | 18.08 | 19.46 | 21.45 | 23.14 |
| 11 | 3616 | 11.08 | 12.49 | 14.27 | 15.61 | 16.79 | 17.92 | 19.08 | 20.35 | 21.86 | 24.03 | 25.88 |
| 12 | 3513 | 12.48 | 14.00 | 15.93 | 17.37 | 18.64 | 19.85 | 21.10 | 22.46 | 24.09 | 26.41 | 28.39 |
| 13 | 3403 | 13.79 | 15.40 | 17.45 | 18.98 | 20.32 | 21.61 | 22.92 | 24.36 | 26.08 | 28.53 | 30.62 |
| 14 | 3546 | 14.98 | 16.67 | 18.81 | 20.41 | 21.82 | 23.16 | 24.53 | 26.03 | 27.82 | 30.38 | 32.56 |
| 15 | 3911 | 16.06 | 17.82 | 20.04 | 21.70 | 23.15 | 24.54 | 25.96 | 27.50 | 29.36 | 32.00 | 34.24 |
| 16 | 4052 | 17.06 | 18.87 | 21.15 | 22.86 | 24.35 | 25.78 | 27.23 | 28.82 | 30.72 | 33.43 | 35.73 |
| 17 | 3687 | 18.00 | 19.86 | 22.20 | 23.94 | 25.47 | 26.93 | 28.41 | 30.03 | 31.97 | 34.74 | 37.08 |
| 18 | 3369 | 18.93 | 20.83 | 23.22 | 24.99 | 26.55 | 28.03 | 29.55 | 31.20 | 33.17 | 35.98 | 38.36 |
| Age (y) | N | P5 | P10 | P20 | P30 | P40 | P50 | P60 | P70 | P80 | P90 | P95 |
|---|---|---|---|---|---|---|---|---|---|---|---|---|
| Boys | ||||||||||||
| 7 | 5005 | 7.02 | 8.48 | 10.37 | 11.80 | 13.08 | 14.32 | 15.59 | 16.99 | 18.67 | 21.10 | 23.19 |
| 8 | 3433 | 8.07 | 9.66 | 11.71 | 13.26 | 14.64 | 15.97 | 17.34 | 18.85 | 20.67 | 23.28 | 25.51 |
| 9 | 3838 | 9.14 | 10.83 | 13.00 | 14.65 | 16.11 | 17.52 | 18.97 | 20.56 | 22.47 | 25.22 | 27.57 |
| 10 | 4115 | 10.18 | 11.95 | 14.22 | 15.94 | 17.45 | 18.91 | 20.41 | 22.06 | 24.04 | 26.88 | 29.31 |
| 11 | 4118 | 11.24 | 13.07 | 15.40 | 17.17 | 18.73 | 20.22 | 21.76 | 23.44 | 25.47 | 28.37 | 30.84 |
| 12 | 3845 | 12.31 | 14.19 | 16.59 | 18.39 | 19.99 | 21.51 | 23.08 | 24.79 | 26.85 | 29.80 | 32.30 |
| 13 | 3794 | 13.38 | 15.30 | 17.75 | 19.59 | 21.21 | 22.76 | 24.35 | 26.09 | 28.17 | 31.15 | 33.69 |
| 14 | 3777 | 14.35 | 16.31 | 18.79 | 20.65 | 22.28 | 23.85 | 25.45 | 27.20 | 29.30 | 32.30 | 34.85 |
| 15 | 4071 | 15.14 | 17.10 | 19.57 | 21.43 | 23.06 | 24.62 | 26.21 | 27.95 | 30.04 | 33.01 | 35.54 |
| 16 | 3992 | 15.71 | 17.64 | 20.08 | 21.90 | 23.50 | 25.03 | 26.59 | 28.30 | 30.34 | 33.25 | 35.72 |
| 17 | 3343 | 16.11 | 17.99 | 20.37 | 22.14 | 23.70 | 25.19 | 26.70 | 28.36 | 30.34 | 33.16 | 35.55 |
| 18 | 2828 | 16.43 | 18.26 | 20.57 | 22.29 | 23.79 | 25.23 | 26.69 | 28.29 | 30.20 | 32.92 | 35.22 |
| Girls | ||||||||||||
| 7 | 4427 | 7.21 | 8.72 | 10.66 | 12.14 | 13.44 | 14.70 | 15.99 | 17.41 | 19.12 | 21.58 | 23.67 |
| 8 | 3184 | 8.04 | 9.62 | 11.64 | 13.17 | 14.53 | 15.83 | 17.17 | 18.64 | 20.40 | 22.93 | 25.09 |
| 9 | 3711 | 8.90 | 10.53 | 12.61 | 14.19 | 15.58 | 16.92 | 18.29 | 19.79 | 21.60 | 24.18 | 26.39 |
| 10 | 3665 | 9.74 | 11.41 | 13.54 | 15.15 | 16.57 | 17.93 | 19.32 | 20.85 | 22.68 | 25.30 | 27.52 |
| 11 | 3612 | 10.53 | 12.23 | 14.39 | 16.02 | 17.45 | 18.83 | 20.23 | 21.77 | 23.62 | 26.25 | 28.50 |
| 12 | 3525 | 11.22 | 12.95 | 15.14 | 16.78 | 18.22 | 19.61 | 21.02 | 22.57 | 24.43 | 27.08 | 29.32 |
| 13 | 3421 | 11.80 | 13.55 | 15.76 | 17.42 | 18.87 | 20.27 | 21.69 | 23.25 | 25.12 | 27.78 | 30.04 |
| 14 | 3534 | 12.25 | 14.02 | 16.26 | 17.93 | 19.40 | 20.81 | 22.25 | 23.82 | 25.70 | 28.39 | 30.66 |
| 15 | 3901 | 12.60 | 14.38 | 16.64 | 18.34 | 19.82 | 21.24 | 22.69 | 24.28 | 26.18 | 28.88 | 31.18 |
| 16 | 4054 | 12.86 | 14.66 | 16.94 | 18.64 | 20.14 | 21.57 | 23.03 | 24.63 | 26.54 | 29.26 | 31.57 |
| 17 | 3716 | 13.06 | 14.87 | 17.16 | 18.87 | 20.38 | 21.82 | 23.29 | 24.89 | 26.81 | 29.54 | 31.86 |
| 18 | 3372 | 13.24 | 15.06 | 17.36 | 19.08 | 20.58 | 22.03 | 23.50 | 25.11 | 27.03 | 29.77 | 32.09 |
| Age (y) | N | P5 | P10 | P20 | P30 | P40 | P50 | P60 | P70 | P80 | P90 | P95 |
|---|---|---|---|---|---|---|---|---|---|---|---|---|
| Boys | ||||||||||||
| 7 | 5038 | 85.96 | 93.76 | 102.99 | 109.51 | 115.01 | 120.09 | 125.12 | 130.44 | 136.60 | 145.03 | 151.89 |
| 8 | 3445 | 95.17 | 103.39 | 113.12 | 120.01 | 125.82 | 131.19 | 136.50 | 142.13 | 148.64 | 157.55 | 164.82 |
| 9 | 3859 | 104.30 | 112.88 | 123.06 | 130.27 | 136.35 | 141.97 | 147.54 | 153.44 | 160.26 | 169.61 | 177.23 |
| 10 | 4137 | 113.33 | 122.26 | 132.85 | 140.35 | 146.69 | 152.54 | 158.34 | 164.49 | 171.61 | 181.36 | 189.32 |
| 11 | 4125 | 122.62 | 131.90 | 142.93 | 150.74 | 157.34 | 163.44 | 169.49 | 175.90 | 183.32 | 193.49 | 201.79 |
| 12 | 3852 | 132.52 | 142.20 | 153.70 | 161.86 | 168.74 | 175.12 | 181.43 | 188.13 | 195.89 | 206.52 | 215.20 |
| 13 | 3792 | 142.94 | 153.01 | 164.97 | 173.46 | 180.64 | 187.28 | 193.86 | 200.83 | 208.92 | 220.01 | 229.06 |
| 14 | 3802 | 153.21 | 163.57 | 175.89 | 184.64 | 192.04 | 198.88 | 205.67 | 212.87 | 221.21 | 232.66 | 242.00 |
| 15 | 4114 | 162.53 | 173.01 | 185.49 | 194.36 | 201.86 | 208.80 | 215.69 | 222.99 | 231.47 | 243.09 | 252.58 |
| 16 | 4030 | 170.39 | 180.83 | 193.26 | 202.11 | 209.58 | 216.51 | 223.39 | 230.68 | 239.14 | 250.75 | 260.24 |
| 17 | 3368 | 176.97 | 187.24 | 199.48 | 208.19 | 215.56 | 222.40 | 229.17 | 236.37 | 244.72 | 256.19 | 265.56 |
| 18 | 2845 | 182.87 | 192.91 | 204.89 | 213.42 | 220.64 | 227.34 | 233.98 | 241.04 | 249.23 | 260.48 | 269.68 |
| Girls | ||||||||||||
| 7 | 4472 | 86.21 | 93.31 | 101.96 | 108.25 | 113.65 | 118.72 | 123.81 | 129.27 | 135.70 | 144.65 | 152.09 |
| 8 | 3215 | 94.16 | 101.40 | 110.23 | 116.64 | 122.15 | 127.31 | 132.50 | 138.07 | 144.61 | 153.73 | 161.31 |
| 9 | 3738 | 102.05 | 109.38 | 118.32 | 124.80 | 130.37 | 135.59 | 140.84 | 146.46 | 153.08 | 162.29 | 169.94 |
| 10 | 3687 | 109.60 | 116.96 | 125.93 | 132.43 | 138.01 | 143.24 | 148.49 | 154.13 | 160.76 | 169.99 | 177.64 |
| 11 | 3618 | 116.55 | 123.88 | 132.80 | 139.27 | 144.82 | 150.02 | 155.24 | 160.85 | 167.43 | 176.60 | 184.21 |
| 12 | 3529 | 122.71 | 129.96 | 138.78 | 145.18 | 150.67 | 155.82 | 160.98 | 166.52 | 173.02 | 182.09 | 189.60 |
| 13 | 3415 | 127.94 | 135.09 | 143.80 | 150.10 | 155.51 | 160.58 | 165.67 | 171.13 | 177.54 | 186.46 | 193.86 |
| 14 | 3547 | 132.21 | 139.25 | 147.82 | 154.04 | 159.36 | 164.36 | 169.37 | 174.74 | 181.05 | 189.83 | 197.11 |
| 15 | 3920 | 135.56 | 142.50 | 150.95 | 157.06 | 162.31 | 167.22 | 172.15 | 177.44 | 183.65 | 192.29 | 199.46 |
| 16 | 4053 | 138.17 | 145.00 | 153.32 | 159.34 | 164.50 | 169.34 | 174.19 | 179.39 | 185.50 | 194.00 | 201.05 |
| 17 | 3706 | 140.28 | 147.01 | 155.19 | 161.12 | 166.20 | 170.96 | 175.73 | 180.85 | 186.86 | 195.23 | 202.16 |
| 18 | 3356 | 142.16 | 148.79 | 156.84 | 162.68 | 167.68 | 172.36 | 177.06 | 182.10 | 188.02 | 196.25 | 203.07 |
© 2020 by the authors. Licensee MDPI, Basel, Switzerland. This article is an open access article distributed under the terms and conditions of the Creative Commons Attribution (CC BY) license (http://creativecommons.org/licenses/by/4.0/).
Share and Cite
Sun, Y.; Yin, X.; Li, Y.; Bi, C.; Li, M.; Yang, X.; Zhang, T.; Zhang, F. Normative Values for Muscular Fitness for Chinese Children and Adolescents Aged 7–18 Years. Sustainability 2020, 12, 6078. https://doi.org/10.3390/su12156078
Sun Y, Yin X, Li Y, Bi C, Li M, Yang X, Zhang T, Zhang F. Normative Values for Muscular Fitness for Chinese Children and Adolescents Aged 7–18 Years. Sustainability. 2020; 12(15):6078. https://doi.org/10.3390/su12156078
Chicago/Turabian StyleSun, Yi, Xiaojian Yin, Yuqiang Li, Cunjian Bi, Ming Li, Xiaofang Yang, Ting Zhang, and Feng Zhang. 2020. "Normative Values for Muscular Fitness for Chinese Children and Adolescents Aged 7–18 Years" Sustainability 12, no. 15: 6078. https://doi.org/10.3390/su12156078
APA StyleSun, Y., Yin, X., Li, Y., Bi, C., Li, M., Yang, X., Zhang, T., & Zhang, F. (2020). Normative Values for Muscular Fitness for Chinese Children and Adolescents Aged 7–18 Years. Sustainability, 12(15), 6078. https://doi.org/10.3390/su12156078

