Performance Improvement of PEM Fuel Cell Using Variable Step-Size Incremental Resistance MPPT Technique
Abstract
1. Introduction
2. Dynamic Model of the Fuel Cell
3. Variable Step-Size Incremental Resistance MPPT
4. Materials and Methods
5. Results and Discussion
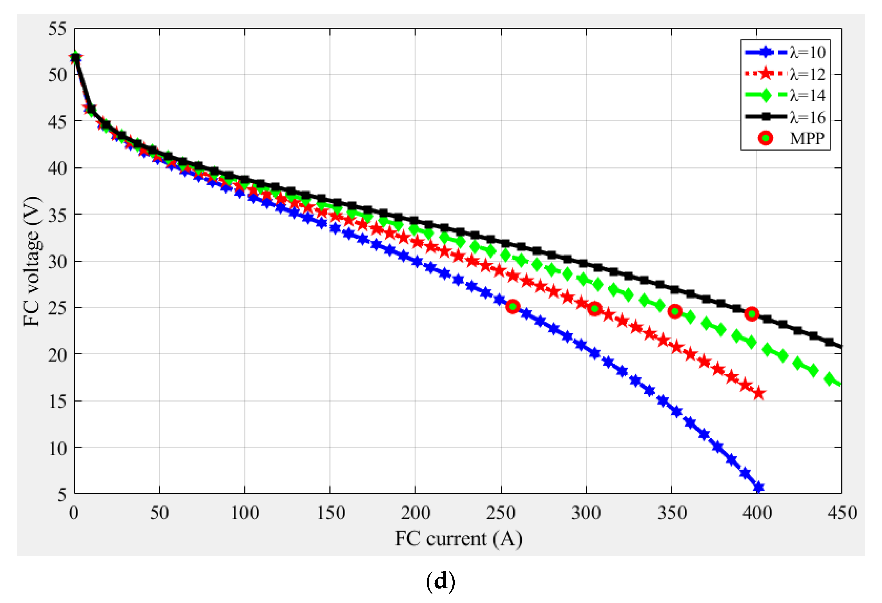
5.1. Normal Operation Scenario
5.2. Temperature Variation in the Fuel Cell
5.3. Variation of the Membrane Water Content
5.4. Fast Variations of the Cell Temperature and the Membrane Water Content Simultaneously
6. Conclusions
Author Contributions
Funding
Conflicts of Interest
References
- Sanjeevikumar, P.; Priyadarshi, N.; Bhaskar, M.S.; Bhaskar, M.S.; Hossain, E.; Azam, F. A Hybrid Photovoltaic-Fuel Cell for Grid Integration with Jaya-Based Maximum Power Point Tracking: Experimental Performance Evaluation. IEEE Access 2019, 7, 82978–82990. [Google Scholar]
- Mohamed, A.P.; Chandrakala, K.R.M.V.; Saravanan, S. Comparative study of maximum power point tracking techniques for fuel cell powered electric vehicle. IOP Conf. Ser. Mater. Sci. Eng. 2019, 577, 012031. [Google Scholar] [CrossRef]
- Fathy, A.; Abdelkareem, M.A.; Olabi, A.G.; Rezk, H. A Novel Strategy Based on Salp Swarm Algorithm for Extracting the Maximum Power of Proton Exchange Membrane Fuel Cell. Available online: https://www.sciencedirect.com/science/article/abs/pii/S0360319920307825 (accessed on 11 July 2020).
- Rana, K.; Kumar, V.; Sehgal, N.; George, S. A Novel dPdI feedback based control scheme using GWO tuned PID controller for efficient MPPT of PEM fuel cell. ISA Trans. 2019, 93, 312–324. [Google Scholar] [CrossRef] [PubMed]
- Derbeli, M.; Barambones, O.; Sbita, L. A Robust Maximum Power Point Tracking Control Method for a PEM Fuel Cell Power System. Appl. Sci. 2018, 8, 2449. [Google Scholar] [CrossRef]
- Derbeli, M.; Sbita, L.; Farhat, M.; Barambones, O. Proton exchange membrane fuel cell—A smart drive algorithm. In Proceedings of the 2017 International Conference on Green Energy Conversion Systems (GECS), Hammamet, Tunisia, 23–25 March 2017; pp. 1–5. [Google Scholar]
- Ahmadi, S.; Abdi, S.; Kakavand, M. Maximum power point tracking of a proton exchange membrane fuel cell system using PSO-PID controller. Int. J. Hydrog. Energy 2017, 42, 20430–20443. [Google Scholar] [CrossRef]
- Harrag, A.; Bahri, H. Novel neural network IC-based variable step size fuel cell MPPT controller. Int. J. Hydrog. Energy 2017, 42, 3549–3563. [Google Scholar] [CrossRef]
- Harrag, A.; Messalti, S. How fuzzy logic can improve PEM fuel cell MPPT performances? Int. J. Hydrog. Energy 2018, 43, 537–550. [Google Scholar] [CrossRef]
- Liu, J.; Zhao, T.; Chen, Y.Q. Maximum power point tracking with fractional order high pass filter for proton exchange membrane fuel cell. IEEE/CAA J. Autom. Sin. 2017, 4, 70–79. [Google Scholar] [CrossRef]
- Harrabi, N.; Souissi, M.; Aitouche, A.; Chaabane, M. Modeling and control of photovoltaic and fuel cell based alternative power systems. Int. J. Hydrog. Energy 2018, 43, 11442–11451. [Google Scholar] [CrossRef]
- Somaiah, B.; Agarwal, V. Distributed Maximum Power Extraction from Fuel Cell Stack Arrays Using Dedicated Power Converters in Series and Parallel Configuration. IEEE Trans. Energy Convers. 2016, 31, 1442–1451. [Google Scholar] [CrossRef]
- Priyadarshi, N.; Sharma, A.K.; Azam, F. A hybrid firefly-asymmetrical fuzzy logic controller based MPPT for PV-wind-fuel grid integration. IJRER 2017, 7, 1546–1560. [Google Scholar]
- Naseri, N.; El Hani, S.; Aghmadi, A.; El Harouri, K.; Heyine, M.S.; Mediouni, H. Proton Exchange Membrane Fuel Cell Modelling and Power Control by P&O Algorithm. In Proceedings of the 2018 6th International Renewable and Sustainable Energy Conference (IRSEC), Rabat, Morocco, 5–8 December 2018; pp. 1–5. [Google Scholar]
- Reddy, K.J.; Sudhakar, N. High Voltage Gain Interleaved Boost Converter with Neural Network Based MPPT Controller for Fuel Cell Based Electric Vehicle Applications. IEEE Access 2018, 6, 3899–3908. [Google Scholar] [CrossRef]
- Abdelkader, A.B.; Abdelkhalek, O.; Mouloudi, Y.; Hartani, M.A.; Slimane, B. Series active power filter supplied by fuel cell for mitigating power quality issues. Int. J. Appl. 2020, 8, 173–192. [Google Scholar]
- Derbeli, M.; Farhat, M.; Barambones, O.; Sbita, L. A robust MPP tracker based on backstepping algorithm for Proton Exchange Membrane Fuel Cell power system. In Proceedings of the 2017 11th IEEE International Conference on Compatibility, Power Electronics and Power Engineering (CPE-POWERENG), Cadiz, Spain, 4–6 April 2017; pp. 424–429. [Google Scholar]
- Venkateshkumar, M.; Indumathi, R. Comparative analysis of hybrid intelligent controller based MPPT of fuel cell power system. In Proceedings of the 2017 IEEE International Conference on Smart Technologies and Management for Computing, Communication, Controls, Energy and Materials (ICSTM), Chennai, India, 2–4 August 2017; pp. 155–159. [Google Scholar]
- Rezk, H. Performance of incremental resistance MPPT based proton exchange membrane fuel cell power system. In Proceedings of the 2016 Eighteenth International Middle East Power Systems Conference (MEPCON), Cairo, Egypt, 27–29 December 2016; pp. 199–205. [Google Scholar]
- Samal, S.; Ramana, M.; Barik, P.K. Modeling and simulation of interleaved boost converter with MPPT for fuel cell application. In Proceedings of the 2018 Technologies for Smart-City Energy Security and Power (ICSESP), Bhubaneswar, India, 28–30 March 2018; pp. 1–5. [Google Scholar]
- Shaw, B.S. Comparison of SCA-Optimized PID and P&O-Based MPPT for an Off-grid Fuel Cell System. In Advances in Intelligent Systems and Computing; Springer Science and Business Media LLC.: Berlin, Germany, 2018; pp. 51–58. [Google Scholar]
- Azri, M.; Abu Khanipah, N.H.; Ibrahim, Z.; Rahim, N.A. Fuel Cell Emulator with MPPT Technique and Boost Converter. Int. J. Power Electron. Drive Syst. 2017, 8, 1852–1862. [Google Scholar] [CrossRef][Green Version]
- Karthikeyan, V.; Das, P.V.; Blaabjerg, F. Implementation of MPPT Control in Fuel Cell Fed High Step up Ratio DC-DC Converter. In Proceedings of the 2018 2nd IEEE International Conference on Power Electronics, Intelligent Control and Energy Systems (ICPEICES), Delhi, India, 22–24 October 2018; pp. 689–693. [Google Scholar]
- Luta, D.N.; Raji, A. Comparing fuzzy rule-based MPPT techniques for fuel cell stack applications. Energy Procedia 2019, 156, 177–182. [Google Scholar] [CrossRef]
- Raj, A.; Lekhaj, P. An ANFIS Based MPPT Controller for Fuel Cell Powered Induction Motor Drive. In Proceedings of the 2018 International Conference on Smart Grid and Clean Energy Technologies (ICSGCE), Kuala Lumpur, Malaysia, 29 May–1 June 2018; pp. 201–205. [Google Scholar]
- Luta, D.N.; Raji, A. Fuzzy Rule-Based and Particle Swarm Optimisation MPPT Techniques for a Fuel Cell Stack. Energies 2019, 12, 936. [Google Scholar] [CrossRef]
- Kumar, S.; Shaw, B. Design of Off-grid Fuel Cell by Implementing ALO Optimized PID-Based MPPT Controller. In Advances in Intelligent Systems and Computing; Springer Science and Business Media LLC.: Berlin, Germany, 2018; pp. 83–93. [Google Scholar]
- Harrag, A.; Messalti, S. Variable Step Size IC MPPT Controller for PEMFC Power System Improving Static and Dynamic Performances. Fuel Cells 2017, 17, 816–824. [Google Scholar] [CrossRef]
- Reddy, K.J.; Sudhakar, N. ANFIS-MPPT control algorithm for a PEMFC system used in electric vehicle applications. Int. J. Hydrog. Energy 2019, 44, 15355–15369. [Google Scholar] [CrossRef]
- Wang, M.H.; Huang, M.-L.; Liou, K.-J.; Jiang, W.-J. Maximum power point tracking control method for proton exchange membrane fuel cell. IET Renew. Power Gener. 2016, 10, 908–915. [Google Scholar] [CrossRef]
- Zhong, Z.-D.; Huo, H.-B.; Zhu, X.-J.; Cao, G.-Y.; Ren, Y. Adaptive maximum power point tracking control of fuel cell power plants. J. Power Sources 2008, 176, 259–269. [Google Scholar] [CrossRef]
- Al-Baghdadi, M. Modelling of proton exchange membrane fuel cell performance based on semi-empirical equations. Renew. Energy 2005, 30, 1587–1599. [Google Scholar] [CrossRef]
- Saad, N.H.; El-Sattar, A.A.; Mansour, A.M. Adaptive neural controller for maximum power point tracking of ten parameter fuel cell model. J. Electr. Eng. 2013, 13, 233–239. [Google Scholar]
- Lee, J.; Lalk, T.; Appleby, A. Modeling electrochemical performance in large scale proton exchange membrane fuel cell stacks. J. Power Sources 1998, 70, 258–268. [Google Scholar] [CrossRef]










| Author | Year | Approach | Metaheuristic | Converter Type | Notes |
|---|---|---|---|---|---|
| Padmanaban et al. [1] | 2019 | Jaya | √ | Cuke | Excessive computational time |
| Mohamed et al. [2] | 2019 | (P&O) and (IC) | × | Boost | Multi-sensors are required |
| Fathy et al. [3] | 2020 | SSA | √ | Boost | Excessive computational time |
| Rana et al. [4] | 2019 | GWO | √ | Boost | Slow convergence and stuck in local optima |
| Derbeli et al. [5] | 2018 | Backstepping | × | Boost | Excessive effort in implantation |
| Derbeli et al. [6] | 2017 | Smart drive algorithm | × | Boost | lack in accuracy |
| Ahmadi et al. [7] | 2017 | PSO | √ | Boost | Easy to stuck in local optima |
| Harrag et al. [8] | 2017 | IC | × | Boost | Multi-sensors are required |
| Harrag et al. [9] | 2018 | Fuzzy logic approach | × | Boost | Fuzzy logic lacks in accuracy |
| Liu et al. [10] | 2017 | Extremum seeking control | × | NA | Slow convergence rate |
| Harrabi et al. [11] | 2018 | Fuzzy logic approach | × | Buck | Fuzzy logic lacks in accuracy |
| Priyadarshi et al. [13] | 2017 | Firefly algorithm | √ | Cuke | Stuck in local optima |
| Naseri et al. [14] | 2018 | P&O | × | Boost | P&O does not guarantee the global solution |
| Reddy et al. [15] | 2018 | ANN | × | Boost | ANN requires excessive data |
| Rezk [19] | 2016 | INR | × | Boost | Multi-sensors are required |
| Shaw et al. [21] | 2019 | SCA | √ | Boost | Complicated in implementation |
| Azri et al. [22] | 2017 | Constant voltage | × | Boost | Low efficiency |
| Karthikeyan et al. [23] | 2018 | P&O | × | High step ratio | P&O does not guarantee the global solution |
| Raj et al. [25] | 2018 | ANFIS | Boost | ANN requires excessive data | |
| Luta et al. [26] | 2019 | PSO | √ | Boost | Easy to stuck in local optima |
| Kumar et al. [27] | 2019 | ALO | √ | Boost | Excessive computational time |
| Harrag et al. [28] | 2017 | IC | × | Boost | Multi-sensors are required |
| Reddy et al. [29] | 2019 | ANFIS | × | Boost | ANN requires excessive data |
| Wang et al. [30] | 2016 | SMC | × | Boost | Design of filter circuit is difficult |
| Parameter | Value |
|---|---|
| T | 343 K |
| A | 232 cm2 |
| NFC | 35 |
| ξ1 | −0.944 |
| ξ2 | 0.00354 |
| ξ3 | 7.8 × 10−8 |
| ξ4 | −1.96 × 10−4 |
| Imax | 2.00 A cm−2 |
| l | 0.0178 cm |
| n | 2 |
| F | 96484600 C kmol−1 |
| R | 8.31447 (J (mol K)−1 |
| kr | 9.07 × 10−8 |
| KH2 | 4.22 × 10−5 (kmol (atm S)−1) |
| KO2 (kmol (atm S)−1) | 2.11 × 10−5 (kmol (atm S)−1) |
| qH2in | 10 × 10−5 (kmol S−1) |
| qO2in | 5 × 10−5 (kmol S−1) |
| Scenario | Input Parameters | Theoretical Data | Extracted Power (W) | Efficiency (%) | |||||||||
|---|---|---|---|---|---|---|---|---|---|---|---|---|---|
| Water content | Temp. K | Power W | Voltage V | Current A | PSO | SM | P&O | VSS-INR | PSO | VSS-INR | |||
| Normal operation | 1 | 14 | 323 | 7297 | 23.09 | 316 | na | na | na | 7297 | na | 100.00 | |
| 2 | 14 | 343 | 8650.3 | 24.57 | 352 | 8511.5 | 8483.2 | 8440.7 | 8640 | 98.39 | 99.88 | ||
| 3 | 14 | 363 | 9984.2 | 25.72 | 388 | na | na | na | 9984.08 | na | 99.99 | ||
| 4 | 12 | 363 | 8785 | 25.61 | 343 | na | na | na | 8785 | na | 100.00 | ||
| 5 | 16 | 323 | 8171.6 | 23.215 | 352 | na | na | na | 8171.6 | na | 100.00 | ||
| Temperature variation | 6 | S1 | 14 | 323 | 7297 | 23.09 | 316 | 7202.5 | 7174.6 | 7135.6 | 7292 | 98.70 | 99.93 |
| S2 | 14 | 363 | 9984.2 | 25.72 | 388 | 9689.5 | 9666.0 | 9612.9 | 9980 | 97.05 | 99.96 | ||
| S3 | 14 | 323 | 7297 | 23.09 | 316 | 7128.9 | 7106.1 | 7059.9 | 7292 | 97.69 | 99.93 | ||
| Water content variation | 7 | S1 | 12 | 343 | 7582.4 | 24.86 | 305 | 7482.8 | 7456.1 | 7405.5 | 7575 | 98.69 | 99.90 |
| S2 | 16 | 343 | 9647.1 | 24.30 | 397 | 9363.5 | 9339.1 | 9293.3 | 9640 | 97.06 | 99.93 | ||
| S3 | 12 | 343 | 7582.4 | 24.86 | 305 | 7407.7 | 7384.8 | 7328.9 | 7570 | 97.39 | 99.84 | ||
| 8 | S1 | 12 | 323 | 6375.9 | 23.53 | 271 | na | na | na | 6374 | na | 99.970 | |
| S2 | 16 | 323 | 8171.6 | 23.22 | 352 | na | na | na | 8169 | na | 99.968 | ||
| S3 | 12 | 323 | 6375.9 | 23.53 | 271 | na | na | na | 6374 | na | 99.970 | ||
| Both Water content & Temp. variation | 9 | S1 | 16 | 323 | 8171.6 | 23.22 | 352 | 8047.3 | 8018.2 | 7984.6 | 8170 | 98.48 | 99.980 |
| S2 | 12 | 363 | 8785 | 25.61 | 343 | 8580.4 | 8556.5 | 8501.4 | 8785 | 97.67 | 100.00 | ||
| S3 | 16 | 323 | 8171.6 | 23.22 | 352 | 7947.2 | 7923.8 | 7882.1 | 8170 | 97.25 | 99.980 | ||
© 2020 by the authors. Licensee MDPI, Basel, Switzerland. This article is an open access article distributed under the terms and conditions of the Creative Commons Attribution (CC BY) license (http://creativecommons.org/licenses/by/4.0/).
Share and Cite
Rezk, H.; Fathy, A. Performance Improvement of PEM Fuel Cell Using Variable Step-Size Incremental Resistance MPPT Technique. Sustainability 2020, 12, 5601. https://doi.org/10.3390/su12145601
Rezk H, Fathy A. Performance Improvement of PEM Fuel Cell Using Variable Step-Size Incremental Resistance MPPT Technique. Sustainability. 2020; 12(14):5601. https://doi.org/10.3390/su12145601
Chicago/Turabian StyleRezk, Hegazy, and Ahmed Fathy. 2020. "Performance Improvement of PEM Fuel Cell Using Variable Step-Size Incremental Resistance MPPT Technique" Sustainability 12, no. 14: 5601. https://doi.org/10.3390/su12145601
APA StyleRezk, H., & Fathy, A. (2020). Performance Improvement of PEM Fuel Cell Using Variable Step-Size Incremental Resistance MPPT Technique. Sustainability, 12(14), 5601. https://doi.org/10.3390/su12145601
