The Effect on Air Quality of Lockdown Directives to Prevent the Spread of SARS-CoV-2 Pandemic in Campania Region—Italy: Indications for a Sustainable Development
Abstract
1. Introduction
2. Methods
- 5th of March—All educational activities of schools and universities throughout the country are suspended and all events involving gatherings of people are prohibited.
- 8th of March—Lockdown of some districts in the north of Italy and limitations to many activities across the nation (DPCM 8 March 2020).
- 10th of March—The lockdown is extended to the whole national territory.
- 12th of March—The Campania region provides for a reduction of up to 50% of the rides of local public transport companies.
- 1st of April—All government anti-pandemic measures, previously in effect until 3 April, are extended until the 13th of April.
3. Results
3.1. Definition of the dataset
3.2. Meteorological Conditions
3.3. Pollutant Concentrations
3.3.1. Nitrogen dioxide NO2
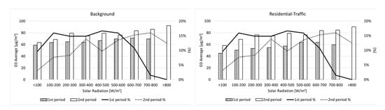
3.3.2. Ozone O3
3.3.3. PM10
3.3.4. PM2.5
3.3.5. Spatial variation
3.4. Effect of Lockdown on Emissions
3.4.1. Transport
3.4.2. Other sectors
4. Conclusions
Supplementary Materials
Author Contributions
Funding
Acknowledgments
Conflicts of Interest
References
- Wang, Q.; Su, M. A preliminary assessment of the impact of COVID-19 on environment–A case study of China. Sci. Total Environ. 2020, 138915. [Google Scholar] [CrossRef] [PubMed]
- Isaifan, R.J. The dramatic impact of Coronavirus outbreak on air quality: Has it saved as much as it has killed so far? Glob. J. Environ. Sci. Manag. 2020, 6, 275–288. [Google Scholar] [CrossRef]
- Mahato, S.; Pal, S.; Ghosh, K.G. Effect of lockdown amid COVID-19 pandemic on air quality of the megacity Delhi, India. Sci. Total Environ. 2020, 139086. [Google Scholar] [CrossRef] [PubMed]
- Tobías, A.; Carnerero, C.; Reche, C.; Massagué, J.; Via, M.; Minguillón, M.C.; Alastury, A.; Querol, X. Changes in air quality during the lockdown in Barcelona (Spain) one month into the SARS-CoV-2 epidemic. Sci. Total Environ. 2020, 138540. [Google Scholar] [CrossRef] [PubMed]
- Xu, K.; Cui, K.; Young, L.H.; Hsieh, Y.K.; Wang, Y.F.; Zhang, J.; Wan, S. Impact of the COVID-19 event on air quality in Central China. Aerosol Air Qual. Res. 2020, 20, 915–929. [Google Scholar] [CrossRef]
- Collivignarelli, M.C.; Abbà, A.; Bertanza, G.; Pedrazzani, R.; Ricciardi, P.; Miino, M.C. Lockdown for CoViD-2019 in Milan: What are the effects on air quality? Sci. Total Environ. 2020, 732, 139280. [Google Scholar] [CrossRef] [PubMed]
- Ntziachristos, L.; Samaras, Z. COPERT II: Computer Programme to Calculate Emissions from Road Transport: User Manual; Technical report No 5; European Environment Agency: Copenhagen, Denmark, 1997. [Google Scholar]
- Ntziachristos, L.; Samaras, Z.; Eggleston, S.; Gorissen, N.; Hassel, D.; Hickman, A.J. Copert III. Computer Programme to Calculate Emissions from Road Transport, Methodology and Emission Factors (Version 2.1); Technical report No 49; European Energy Agency: Copenhagen, Denmark, 2000. [Google Scholar]
- Dantas, G.; Siciliano, B.; França, B.B.; da Silva, C.M.; Arbilla, G. The impact of COVID-19 partial lockdown on the air quality of the city of Rio de Janeiro, Brazil. Sci. Total Environ. 2020, 729, 139085. [Google Scholar] [CrossRef] [PubMed]
- ENEA. Analisi Trimestrale del Sistema Energetico Italiano. n.1/2020. Agenzia Nazionale Per le Nuove Tecnologie, L’energia e lo Sviluppo Economico Sostenibile Unità Studi Analisi e Valutazioni. 2020. Available online: https://www.enea.it/it/seguici/pubblicazioni/pdf-sistema-energetico-italiano/01-analisi-trimestrale-2020.pdf (accessed on 6 May 2020).
- Toscano, D.; Murena, F. Atmospheric ship emissions in ports: A review. Correlation with data of ship traffic. Atmos. Environ. X 2019, 4, 100050. [Google Scholar] [CrossRef]
- International Civil Aviation Organization (ICAO). Airport Local Air Quality Guidance Manual; International Civil Aviation Organization (ICAO): Montreal, QC, Canada, 2007. [Google Scholar]
- International Civil Aviation Organization (ICAO). Environmental Report; International Civil Aviation Organization (ICAO): Montreal, QC, Canada, 2007. [Google Scholar]
- Onorati, G. Relazione Sulle Campagne di Monitoraggio Delle Polveri Sottili Nel Territorio Nolano-Acerrano e Sull’andamento Meteorologico; ARPAC: Campania, Italy, 2017. [Google Scholar]
- Murena, F.; Mocerino, L.; Quaranta, F.; Toscano, D. Impact on air quality of cruise ship emissions in Naples, Italy. Atmos. Environ. 2018, 187, 70–83. [Google Scholar]
















| UTM | ME% | ||||||
|---|---|---|---|---|---|---|---|
| Acronym | Official Name | Easting [m] | Northing [m] | NO2 | O3 | PM10 | PM2.5 |
| CE51-R | CE51 Istituto Manzoni | 444,422.38 | 4,547,702.99 | 95/93 | 99/97 | 65/82 | 65/82 |
| CE52-T | CE52 Scuola de Amicis | 443,818.09 | 4,547,512.98 | 95/92 | 100/87 | 100/97 | |
| CE54-T | CE54 Scuola Settembrini | 447,731.83 | 4,544,040.48 | 95/92 | 96/85 | 93/97 | 93/94 |
| CE60-T | Aversa Scuola Cirillo | 433,653.01 | 4,536,336.30 | 94/69 | 100/72 | 73/72 | |
| CE61-T | San Felice a Cancello Centro scolastico | 451,550.08 | 4,537,856.89 | 93/93 | 92/92 | 97/97 | 97/97 |
| NA01-B | NA01 Osservatorio Astronomico | 437,174.00 | 4,523,893.00 | 95/91 | 95/91 | 97/97 | 97/97 |
| NA02-T | NA02 Ospedale Santobono | 435,187.00 | 4,522,320.00 | 95/92 | 93/78 | ||
| NA06-T | NA06 Museo Nazionale | 436,897.00 | 4,522,837.00 | 95/92 | 99/50 | 99/50 | |
| NA07-T | NA07 Ferrovia | 438,617.00 | 4,522,822.00 | 97/91 | 97/95 | 97/95 | |
| NA08-T | NA08 Ospedale Nuovo Pellegrini | 438,947.00 | 4,524,837.00 | 95/92 | 97/90 | ||
| NA09-T | NA09 Via Argine | 444,493.00 | 4,523,854.00 | 96/91 | 97/85 | 97/85 | |
| NA10-B | Parco Virgiliano | 430,800.00 | 4,516,727.00 | 78/66 | 97/52 | 40/97 | 60/94 |
| NA11-R | Via Epomeo | 433,038.00 | 4,521,846.00 | 95/89 | 95/89 | 99/92 | 99/92 |
| NA20-B | Pozzuoli Villa Avellino | 426,005.00 | 4,519,470.00 | 92/92 | 93/86 | 60/84 | 80/75 |
| NA21-B | Casoria Scuola Palizzi | 440,934.00 | 4,529,517.00 | 93/92 | 95/92 | 80/94 | 57/97 |
| NA22-I | Pomigliano d’Arco Area ASI | 448,210.00 | 4,530,151.00 | 90/88 | 81/94 | 90/93 | |
| NA23-I | Volla Via Filichito | 445,239.00 | 4,526,346.00 | 96/92 | 96/92 | 100/95 | 100/97 |
| NA24-I | Acerra Zona Industriale | 449,608.00 | 4,536,666.00 | 92/92 | 83/65 | 63/78 | |
| NA25-T | Acerra Scuola Caporlae | 446,984.00 | 4,532,338.00 | 95/92 | 100/84 | 90/87 | |
| NA26-B | Portici Parco Reggia | 445,121.00 | 4,518,521.00 | 95/81 | 96/92 | 93/90 | 97/84 |
| NA27-R | Torre Annunziata Scuola Pascoli | 452,575.00 | 4,512,327.00 | 95/92 | 99/92 | ||
| NA28-R | San Vitaliano Scuola Marconi | 456,334.00 | 4,530,486.00 | 86/92 | 95/92 | 87/97 | 73/97 |
| SNAP Code | SNAP Description | NOx | PM10 | PM2.5 |
|---|---|---|---|---|
| 1 | Combustion in the production and transformation of energy | 1.62% | 0.03% | 0.02% |
| 2 | Non-industrial combustion plants | 8.92% | 71.77% | 75.29% |
| 3 | Industrial combustion plants | 5.54% | 1.09% | 0.98% |
| 4 | Industrial processes without combustion | 0.00% | 1.66% | 1.36% |
| 5 | Extraction and distribution of fossil fuels and geothermal energy | |||
| 6 | Use of solvents and other products | 0.00% | 0.01% | |
| 7 | Road Transport | 51.60% | 12.38% | 10.69% |
| 8 | Other mobile sources and machinery 8.04 Maritime activity | 23.45% | 3.00% | 3.17% |
| Other mobile sources and machinery 8.05 Aviation | 3.72% | 0.17% | 0.19% | |
| Other mobile sources and machinery (rest) | 3.79% | 1.77% | 1.88% | |
| 9 | Waste treatment and disposal | 0.12% | 0.21% | 0.20% |
| 10 | Agriculture | 0.80% | 1.78% | 0.88% |
| 11 | Other sources and sinks (nature) | 0.49% | 6.14% | 5.33% |
© 2020 by the authors. Licensee MDPI, Basel, Switzerland. This article is an open access article distributed under the terms and conditions of the Creative Commons Attribution (CC BY) license (http://creativecommons.org/licenses/by/4.0/).
Share and Cite
Toscano, D.; Murena, F. The Effect on Air Quality of Lockdown Directives to Prevent the Spread of SARS-CoV-2 Pandemic in Campania Region—Italy: Indications for a Sustainable Development. Sustainability 2020, 12, 5558. https://doi.org/10.3390/su12145558
Toscano D, Murena F. The Effect on Air Quality of Lockdown Directives to Prevent the Spread of SARS-CoV-2 Pandemic in Campania Region—Italy: Indications for a Sustainable Development. Sustainability. 2020; 12(14):5558. https://doi.org/10.3390/su12145558
Chicago/Turabian StyleToscano, Domenico, and Fabio Murena. 2020. "The Effect on Air Quality of Lockdown Directives to Prevent the Spread of SARS-CoV-2 Pandemic in Campania Region—Italy: Indications for a Sustainable Development" Sustainability 12, no. 14: 5558. https://doi.org/10.3390/su12145558
APA StyleToscano, D., & Murena, F. (2020). The Effect on Air Quality of Lockdown Directives to Prevent the Spread of SARS-CoV-2 Pandemic in Campania Region—Italy: Indications for a Sustainable Development. Sustainability, 12(14), 5558. https://doi.org/10.3390/su12145558
