Compassion Fatigue, Compassion Satisfaction, and Burnout in Oncology Nurses: A Systematic Review and Meta-Analysis
Abstract
1. Introduction
2. Material and Methods
2.1. Information Resources, Search Equation, and Inclusion/Exclusion Criteria
2.2. Variables
2.3. Procedures
2.4. Data Analysis
3. Results
3.1. Characteristics of the Selected Studies
3.2. Prevalence of Burnout and Compassion Fatigue
3.3. Interventions for Reducing Compassion Fatigue
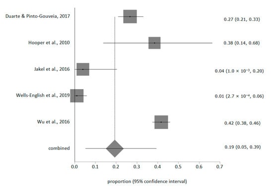
3.4. Meta-Analysis
4. Discussion
5. Conclusions
Author Contributions
Funding
Conflicts of Interest
References
- Gascon, S.; Leiter, M.P.; Andrés, E.; Santed, M.A.; Pereira, J.P.; Cunha, M.J.; Albesa, A.; Montero-Marín, J.; García-Campayo, J.; Martínez-Jarreta, B. The role of aggressions suffered by healthcare workers as predictors of burnout. J. Clin. Nurs. 2013, 22, 3120–3129. [Google Scholar] [CrossRef] [PubMed]
- Maslach, C.; Jackson, S.E. The measurement of experienced Burnout. J. Organ. Behav. 1981, 2, 99–113. [Google Scholar] [CrossRef]
- Schaufeli, W.B.; Leiter, M.P.; Maslach, C. Burnout: 35 years of research and practice. Career Dev. Int. 2009, 14, 204–220. [Google Scholar] [CrossRef]
- World Health Organization. Burn-Out an “Occupational Phenomenon”: International Classification of Diseases. Available online: https://www.who.int/mental_health/evidence/burn-out/en/ (accessed on 18 December 2019).
- Cañadas-De la Fuente, G.A.; Vargas, C.; San Luis, C.; García, I.; Canadas, G.R.; De la Fuente, E.I. Risk factors and prevalence of Burnout syndrome in the nursing profession. Int. J. Nurs. Stud. 2015, 52, 240–249. [Google Scholar] [CrossRef] [PubMed]
- Gómez-Urquiza, J.L.; De la Fuente-Solana, E.I.; Albendín-García, L.; Vargas-Pecino, C.; Ortega-Campos, E.; Cañadas-De la Fuente, G.A. Prevalence of Burnout Syndrome in Emergency Nurses: A Meta-Analysis. Crit. Care Nurse 2017, 37, e1–e9. [Google Scholar] [CrossRef]
- Vargas, C.; Cañadas, G.A.; Aguayo, R.; Fernández, R.; De la Fuente, E.I. Which occupational risk factors are associated with Burnout in nursing? A meta-analytic study. Int. J. Clin. Health Psychol. 2014, 14, 28–38. [Google Scholar] [CrossRef]
- Pradas-Hernández, L.; Ariza, T.; Gómez-Urquiza, J.L.; Albendín-García, L.; De la Fuente, E.I.; Cañadas-De la Fuente, G.A. Prevalence of burnout in paediatric nurses: A systematic review and meta-analysis. PLoS ONE 2018, 13, e0195039. [Google Scholar] [CrossRef]
- De la Fuente-Solana, E.I.; Suleiman-Martos, N.; Pradas-Hernández, L.; Gomez-Urquiza, J.L.; Cañadas-De la Fuente, G.A.; Albendín-García, L. Prevalence, Related Factors, and Levels of Burnout Syndrome Among Nurses Working in Gynecology and Obstetrics Services: A Systematic Review and Meta-Analysis. Int. J. Environ. Res. Public Health 2019, 16, 2585. [Google Scholar] [CrossRef]
- López-López, I.M.; Gómez-Urquiza, J.L.; Cañadas, G.R.; De la Fuente, E.I.; Albendín-García, L.; Cañadas-De la Fuente, G.A. Prevalence of burnout in mental health nurses and related factors: A systematic review and meta-analysis. Int. J. Ment. Health Nurs. 2019, 28, 1032–1041. [Google Scholar] [CrossRef]
- Cañadas-de la Fuente, G.A.; Albendín-García, L.; Cañadas, G.R.; San Luis-Costas, C.; Ortega-Campos, E.; De la Fuente-Solana, E.I. Nurse burnout in critical care units and emergency departments: Intensity and associated factors. Emergencias 2018, 30, 328–331. [Google Scholar]
- Cañadas-De la Fuente, G.A.; Gómez-Urquiza, J.L.; Ortega-Campos, E.; Cañadas, G.R.; Albendín-García, L.; De la Fuente-Solana, E.I. Prevalence of burnout syndrome in oncology nursing: A meta-analytic study. Psychooncology 2018, 27, 1426–1433. [Google Scholar] [CrossRef] [PubMed]
- De la Fuente Solana, E.I.; Cañadas, G.R.; Ramirez Baena, L.; Gómez Urquiza, J.L.; Ariza, T.; Cañadas De la Fuente, G.A. An Explanatory Model of Potential Changes in Burnout Diagnosis According to Personality Factors in Oncology Nurses. Int. J. Environ. Res. Public Health 2019, 16, 312. [Google Scholar] [CrossRef] [PubMed]
- De la Fuente Solana, E.I.; Gómez Urquiza, J.L.; Cañadas, G.R.; Albendín García, L.; Ortega Campos, E.; Cañadas De la Fuente, G.A. Burnout and its relationship with personality factors in oncology nurses. Eur. J. Oncol. Nurs. 2017, 30, 91–96. [Google Scholar] [CrossRef] [PubMed]
- Gómez-Urquiza, J.L.; Aneas-López, A.B.; Fuente-Solana, E.I.; Albendín-García, L.; Díaz-Rodríguez, L.; Cañadas-De la Fuente, G.A. Prevalence, Risk Factors, and Levels of Burnout Among Oncology Nurses: A Systematic Review. Oncol. Nurs. Forum. 2016, 43, E104–E120. [Google Scholar] [CrossRef]
- Van Mol, M.M.; Kompanjie, E.J.; Benoit, D.D.; Baker, J.; Nijkamp, M.D. The prevalence of compassion fatigue and Burnout among healthcare professionals in intensive care units: A systematic review. PLoS ONE 2015, 10, eO136955. [Google Scholar] [CrossRef]
- Joinson, C. Coping with compassion fatigue. Nursing 1992, 22, 116–120. [Google Scholar]
- Stamm, B.H. The Concise ProQOL Manual. 2010. Available online: https://proqol.org/uploads/ProQOLManual.pdf (accessed on 20 December 2019).
- Dempsey, C.; Reilly, B.A. Nurse engagement: What are the contributing factors for success? Online J. Issues Nurs. 2016, 21, 2. [Google Scholar]
- Moher, D.; Shamseer, L.; Clarke, M.; Ghersi, D.; Liberati, A.; Petticrew, M.; Shekelle, P.; Stewart, L.A. Preferred Reporting Items for Systematic Review and Meta-Analysis Protocols (PRISMA-P) 2015 statement. Syst. Rev. 2015, 4, 1. [Google Scholar] [CrossRef]
- Oxford Centre for Evidence-Based Medicine (OCEBM). Levels of Evidence; University of Oxford: Oxford, UK, 2010. [Google Scholar]
- Al-Majid, S.; Carlson, N.; Kiyohara, M.; Faith, M.; Rakovski, C. Assessing the Degree of Compassion Satisfaction and Compassion Fatigue Among Critical Care, Oncology, and Charge Nurses. J. Nurs. Adm. 2018, 48, 310–315. [Google Scholar] [CrossRef]
- Duarte, J.; Pinto-Gouveia, J. The role of psychological factors in oncology nurses’ burnout and compassion fatigue symptoms. Eur. J. Oncol. Nurs. 2017, 28, 114–121. [Google Scholar] [CrossRef]
- Hooper, C.; Craig, J.; Janvrin, D.R.; Wetsel, M.A.; Reimels, E. Compassion satisfaction, Burnout, and compassion fatigue among emergency nurses compared with nurses in other selected inpatient specialties. J. Emerg. Nurs. 2010, 36, 420–427. [Google Scholar] [CrossRef] [PubMed]
- Jang, I.; Kim, Y.; Kim, K. Professionalism and professional quality of life for oncology nurses. J. Clin. Nurs. 2016, 25, 2835–2845. [Google Scholar] [CrossRef] [PubMed]
- Mooney, C.; Fetter, K.; Gross, B.W.; Rinehart, C.; Lynch, C.; Rogers, F.B. A preliminary analysis of compassion satisfaction and compassion fatigue with considerations for nursing unit specialization and demographic factors. Int. J. Trauma Nurs. 2017, 24, 158–163. [Google Scholar] [CrossRef]
- Wells-English, D.; Giese, J.; Price, J. Compassion Fatigue and Satisfaction: Influence on Turnover among Oncology Nurses at an Urban Cancer Center. Clin. J. Oncol. Nurs. 2019, 23, 487–493. [Google Scholar] [CrossRef]
- Wu, S.; Singh-Carlson, S.; Odell, A.; Reynolds, G.; Su, Y. Compassion Fatigue, Burnout, and Compassion Satisfaction among Oncology Nurses in the United States and Canada. Oncol. Nurs. Forum. 2016, 43, E161–E169. [Google Scholar] [CrossRef] [PubMed]
- Yu, H.; Jiang, A.; Shen, J. Prevalence and predictors of compassion fatigue, Burnout and compassion satisfaction among oncology nurses: A cross-sectional survey. Int. J. Nurs. Stud. 2016, 57, 28–38. [Google Scholar] [CrossRef]
- Duarte, J.; Pinto-Gouveia, J. Effectiveness of a mindfulness-based intervention on oncology nurses’ Burnout and compassion fatigue symptoms: A non-randomized study. Int. J. Nurs. Stud. 2016, 64, 98–107. [Google Scholar] [CrossRef]
- Hevezi, J.A. Evaluation of a meditation intervention to reduce the effects of stressors associated with compassion fatigue among nurses. J. Holist. Nurs. 2016, 34, 343–350. [Google Scholar] [CrossRef]
- Jakel, P.; Kenney, J.; Ludan, N.; Miller, P.S.; McNair, N.; Matesic, E. Effects of the Use of the Provider Resilience Mobile Application in Reducing Compassion Fatigue in Oncology Nursing. Clin. J. Oncol. Nurs. 2016, 20, 611–616. [Google Scholar] [CrossRef]
- Zajac, L.M.; Moran, K.J.; Groh, C.J. Confronting Compassion Fatigue: Assessment and Intervention in Inpatient Oncology. Clin. J. Oncol. Nurs. 2017, 21, 446–453. [Google Scholar]
- Potter, P.; Deshields, T.; Berger, J.A.; Clarke, M.; Olsen, S.; Chen, L. Evaluation of a compassion fatigue resiliency program for oncology nurses. Oncol. Nurs. Forum. 2013, 40, 180–187. [Google Scholar] [CrossRef]
- Yılmaz, G.; Üstün, B.; Günüşen, N.P. Effect of a nurse-led intervention programme on professional quality of life and post-traumatic growth in oncology nurses. Int. J. Nurs. Pract. 2018, 24, e12687. [Google Scholar] [CrossRef] [PubMed]
- Ramirez-Baena, L.; Ortega-Campos, E.; Gomez-Urquiza, J.L.; Cañadas-De la Fuente, G.R.; De la Fuente-Solana, E.I.; Cañadas-De la Fuente, G.A. A Multicentre Study of Burnout Prevalence and Related Psychological Variables in Medical Area Hospital Nurses. J. Clin. Med. 2019, 8, 92. [Google Scholar] [CrossRef] [PubMed]
- Kristensen, T.S.; Borritz, M.; Villadsen, E.; Christensen, K.B. The Copenhagen Burnout Inventory: A new tool for the assessment of burnout. Work Stress 2005, 19, 192–207. [Google Scholar] [CrossRef]
- Slatyer, S.; Craigie, M.; Heritage, B.; Davis, S.; Rees, C. Evaluating the Effectiveness of a Brief Mindful Self-Care and Resiliency (MSCR) Intervention for Nurses: A Controlled Trial. Mindfulness 2017, 9, 534–546. [Google Scholar] [CrossRef]
- Gracia-Gracia, P.; Oliván-Blázquez, B. Burnout and Mindfulness Self-Compassion in Nurses of Intensive Care Units. Holist. Nurs. Pract. 2017, 31, 225–233. [Google Scholar] [CrossRef]
- Bonamer, J.; Aquino-Russell, C. Self-Care Strategies for Professional Development. J. Nurses Prof. Dev. 2019, 35, 93–97. [Google Scholar] [CrossRef]
- Perkins, J.; Aquino-Russell, C. Graduate Nurses Experience the Sacred During Transcendental Meditation. Int. J. Hum. Caring 2017, 21, 163–171. [Google Scholar] [CrossRef]
- Hu, A. Reflections: The Value of Patient Support Groups. Otolaryngol. Head Neck Surg. 2017, 156, 587–588. [Google Scholar] [CrossRef]
- Möltner, H.; Leve, J.; Esch, T. Burnout-Prävention und mobile Achtsamkeit: Evaluation eines appbasierten Gesundheitstrainings bei Berufstätigen. Das Gesundh. 2017, 57, 295–300. [Google Scholar] [CrossRef]




| Study | Design | Sample | Instrument | Data Medium (SD) | Results | LE | GR |
|---|---|---|---|---|---|---|---|
| Al-Majid et al. (2018). USA | Cross-sectional study | N = 26 oncology nurses | ProQOL-5 | Compassion Satisfaction 52.0 (9.6) Burnout 49.2 (9.2) STS 51.4 (10.0) | The low CF scores of the nurses in the study can be explained by the recent training received in the hospital in the identification and recognition of CF by nurses. The results of the study indicate that CS was significantly higher in nurses with more than 10 years of experience. This may suggest that nurses develop resilience to job stressors the longer they work. | 2c | B |
| Duarte et al. (2016). Portugal | Quasi-experimental intervention study | N = 48 oncology nurses Experimental group = 29 control Group = 19 | ProQOL-5 | Pre-Test Post-Test Experimental G. Compassion Satisf. 36.96 (6.19) 37.82 (6.04) Burnout 26.57 (6.09) 24.29 (5.09) Compassion Fatigue 25.71 (3.47) 23.07 (3.53) Control G. Compassion Satisf. 39.68 (4.73) 40.20 (5.50) Burnout 24.74 (4.64) 23.89 (4.82) Compassion Fatigue 26.53 (3.60) 26.00 (3.54) | The results indicate that nurses in the experimental group show significant decreases in compassion fatigue and burnout, and increased satisfaction with life, mindfulness and self-compassion, presenting medium to large effect sizes. No significant changes were found in any of the variables studied in the nurses of the control group. The results of the study provide preliminary evidence on the efficacy of mindfulness-based interventions in reducing burnout and Compassion Fatigue in Oncology nurses. | 1b | A |
| Duarte et al. (2017). Portugal | Cross-sectional study | N = 221 oncology nurses | ProQOL-5 | CS 38.00 (5.41) | Most of the Oncology nurses in this study have medium or high scores in CS, Burnout or CF. Constant exposure to the pain of others causes Oncology nurses to have high scores in these variables. The study authors recommend performing interventions based on psychological variables for the improvement of CS, Burnout and CF in Oncology nurses. | ||
| Hevezi et al. (2016). USA | Quasi-experimental intervention study | N = 15 oncology nurses | ProQOL-5 | Mean-Before vs. Mean-After Compassion satisfaction 36.6 vs. 39.3 Burnout 26.4 vs. 22.2 Secondary trauma score 25.3 vs. 22.2 | The results indicate that the intervention performed to the Oncology nurses decreased the scores presented in Burnout and Compassion Fatigue, and increases the scores in Compassion Satisfaction. | 1b | A |
| Hooper et al. (2010). USA | Cross-sectional study | 12 oncology nurses | ProQOL R-IV | Oncology n (%) Compassion satisfaction Low: 1 (8.3); Medium: 5 (41.7); High: 6(50.0) Burnout Low: 2 (16.7); Medium: 7 (58.3); High: 3 (25.0) Compassion fatigue Low: 3 (25.0); Medium: 5 (41.7); High (>17): 4 (33.3) | Despite being a study with a small sample, the status of the Oncology nurses can be seen in the results. Among the most outstanding results, less than 10% of nurses have a low level of Compassion Satisfaction. In relation to Burnout, more than 80% of nurses have medium or high levels. Finally, 25% of Oncology nurses have low levels of Compassion Fatigue. | 2c | B |
| Jakel et al. (2016). USA. | Quasi-experimental Pre-post test | N = 25 oncology nurses Intervention: N = 16 Control: N = 9 | ProQOL-5 | M Pretest vs. Post-Test STS Intervention 23.06 vs. 21.75 Control 25 vs. 23.78 CS Intervention 42.63 vs. 41.19 Control 41.44 vs. 42.78 Burnout Intervention 20.25 vs. 21.38 Control 21.67 vs. 21.67 | The authors implemented in this pilot study in the intervention group the use of a mobile app that works on the resilience of Oncology nurses. More studies are needed to analyze the use of new technologies in the prevention of CF and Burnout, as well as to promote Resilience. | 1b | A |
| Jang et al. (2016). South Korea | Cross-sectional study | 285 oncology nurses | ProQOL-5 | CS: 33.84 (5.62) Burnout: 28.38 (5.36) STS: 28.33 (5.48) | The results of the study show that South Korean Oncology nurses have medium or high scores in CS, Burnout and STS. Less than 30% of nurses have low values in CS, Burnout and STS. | 2c | B |
| Mooney et al. (2017). USA | Cross-sectional study | N = 18 oncology nurses | ProQOL | CS: 41.2 (4.15) Burnout: 23.3 (2.80) CF: 20.3 (4.61) | Taking in consideration the cut-off points of the ProQOL scale, the nurses of this work have high levels of CS and Burnout and low levels of CF. | 2c | B |
| Potter et al. (2013). USA | Cohort study | N = 13 oncology nurses | ProQOL IV | Compassion satisfaction (M) Before: 39.53 After: 39.92 3 months after: 38.53 6 months after: 40.76 Burnout Before: 23.46 After: 22.61 3 months after: 23.69 6 months after: 22.3 Secondary trauma Before: 19.76 After: 17.61 3 months after: 17.92 6 months after: 16.23 | The nurses in the study conducted a 4-session program to improve Resilience. The scores in CS, Burnout and STS improved after the program, especially the STS score. The Development/promotion of Resilience towards CF can improve the satisfaction of nurses. | 2c | B |
| Wells et al. (2019). USA | Cross-sectional study | N = 93 oncology nurses | ProQOL-V | CS: 40.12 (6.20) Burnout: 23.72 (5.09) STS: 21.93 (5.25) | The relationship between Burnout and CS (r = −0.68), Burnout and STS (r = 0.57) and CS and STS (r = −0.29). The authors recommend the implementation of strategies to reduce CF both individually and organizationally, which would improve the well-being of the patient and oncology nurses. | 2c | B |
| Wu et al. (2016) 1 USA | Cross-sectional study | N = 486 oncology nurses | ProQOL | CS: 42.37 (5.27) Burnout: 22.66 (5.74) STS: 22.65 (5.77) | The Oncology nurses of this work have a high risk of CS and low risk through Burnout and STS. | 2c | B |
| Wu et al. (2016) 2 Canada | Cross-sectional study | N = 63 oncology nurses | ProQOL | CS: 42.6 (4.7) Burnout: 22.49 (4.84) STS: 22.41 (5.6) | In this work, the authors indicate that Oncology nurses have a high level of CS and a low level of Burnout and STS. | 2c | B |
| Yilmaz et al. (2018). Turkey. | Quasy-experimental study | N = 43 oncology nurses | ProQOL | CF pretest 24.95 (6.38) CF posttest 12.00 (4.54) Burnout pretest 27.32 (3.14) Burnout posttest 12.97 (4.06) CS pretest 32.67 (7.07) CS posttest 41.93 (5.00) | A nurses-led intervention program with two sessions (lecture, reading and video about CF and coping, exercise, baksi dance, mandala painting) and two counselling follow-ups (motivational messages via smartphone) is effective to reduce CF and burnout and increase CS. | 1b | A |
| Yu et al. (2016). China. | Cross-sectional study | N = 650 oncology nurses | ProQOL | CS: 31.81 (6.49) Burnout: 21.14 (4.95) CF: 21.39 (4.84) | The results of the study indicate that nurses who have more years of work experience and adopt passive coping strategies have higher levels of CF and Burnout. | 2c | B |
| Zajac et al. (2017). USA | Mixed-methods study | n = 91 | PRoQOL-5 | PRE POST CS: 40.62 vs. 41.02 Burnout: 22.51 vs. 21.9 STS: 24.7 vs. 23.44 | Oncology nurses have average scores in CS and STS and low in Burnout. No statistically significant differences were found between pre and post scores. The authors recommend nurses to attend workshops on CF and its intervention and management of the phenomenon. | 1b | A |
© 2019 by the authors. Licensee MDPI, Basel, Switzerland. This article is an open access article distributed under the terms and conditions of the Creative Commons Attribution (CC BY) license (http://creativecommons.org/licenses/by/4.0/).
Share and Cite
Ortega-Campos, E.; Vargas-Román, K.; Velando-Soriano, A.; Suleiman-Martos, N.; Cañadas-de la Fuente, G.A.; Albendín-García, L.; Gómez-Urquiza, J.L. Compassion Fatigue, Compassion Satisfaction, and Burnout in Oncology Nurses: A Systematic Review and Meta-Analysis. Sustainability 2020, 12, 72. https://doi.org/10.3390/su12010072
Ortega-Campos E, Vargas-Román K, Velando-Soriano A, Suleiman-Martos N, Cañadas-de la Fuente GA, Albendín-García L, Gómez-Urquiza JL. Compassion Fatigue, Compassion Satisfaction, and Burnout in Oncology Nurses: A Systematic Review and Meta-Analysis. Sustainability. 2020; 12(1):72. https://doi.org/10.3390/su12010072
Chicago/Turabian StyleOrtega-Campos, Elena, Keyla Vargas-Román, Almudena Velando-Soriano, Nora Suleiman-Martos, Guillermo A. Cañadas-de la Fuente, Luis Albendín-García, and José L. Gómez-Urquiza. 2020. "Compassion Fatigue, Compassion Satisfaction, and Burnout in Oncology Nurses: A Systematic Review and Meta-Analysis" Sustainability 12, no. 1: 72. https://doi.org/10.3390/su12010072
APA StyleOrtega-Campos, E., Vargas-Román, K., Velando-Soriano, A., Suleiman-Martos, N., Cañadas-de la Fuente, G. A., Albendín-García, L., & Gómez-Urquiza, J. L. (2020). Compassion Fatigue, Compassion Satisfaction, and Burnout in Oncology Nurses: A Systematic Review and Meta-Analysis. Sustainability, 12(1), 72. https://doi.org/10.3390/su12010072

