Does Fertilizer Use Intensity Respond to the Urban-Rural Income Gap? Evidence from a Dynamic Panel-Data Analysis in China
Abstract
1. Introduction
2. Theoretical Analysis
3. Methods and Data
3.1. Econometric Model
3.2. Variables
3.3. Data
4. Results and Discussion
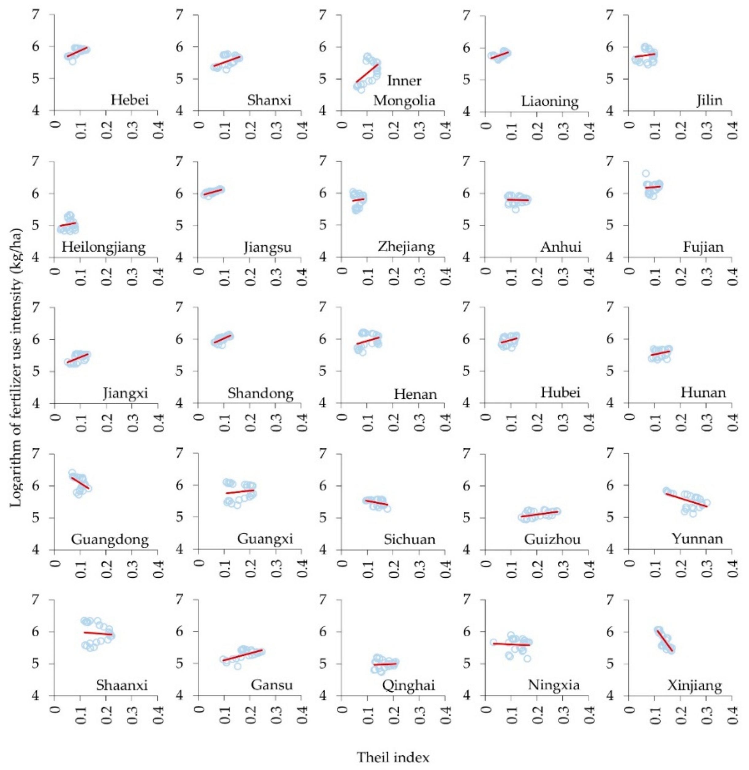
4.1. Urban-Rural Income Gap and Fertilizer Use Intensity
4.2. Main Results
4.3. Robustness Check
5. Conclusions and Policy Implications
Author Contributions
Funding
Conflicts of Interest
References
- Gong, B. Agricultural reforms and production in China: Changes in provincial production function and productivity in 1978–2015. J. Dev. Econ. 2018, 132, 18–31. [Google Scholar] [CrossRef]
- Huang, W.; Jiang, L. Efficiency performance of fertilizer use in arable agricultural production in China. China Agric. Econ. Rev. 2019, 11, 52–69. [Google Scholar] [CrossRef]
- Sun, Y.; Hu, R.; Zhang, C. Does the adoption of complex fertilizers contribute to fertilizer overuse? Evidence from rice production in China. J. Clean. Prod. 2019, 219, 677–685. [Google Scholar] [CrossRef]
- National Bureau of Statistics of China. China Statistical Yearbook; China Statistical Press: Beijing, China, 2018. [Google Scholar]
- Lin, J.Y. Rural reforms and agricultural growth in China. Am. Econ. Rev. 1992, 82, 34–51. [Google Scholar]
- Huang, J.; Rozelle, S. Technological change: Rediscovering the engine of productivity growth in China’s rural economy. J. Dev. Econ. 1996, 49, 337–369. [Google Scholar] [CrossRef]
- Liu, J.; Diamond, J. China’s environment in a globalizing world. Nature 2005, 435, 1179–1186. [Google Scholar] [CrossRef]
- Nie, Z.; Heerink, N.; Tu, Q.; Jin, S. Does certified food production reduce agrochemical use in China? China Agric. Econ. Rev. 2018, 10, 386–405. [Google Scholar] [CrossRef]
- Wu, Y. Chemical fertilizer use efficiency and its determinants in China’s farming sector: Implications for environmental protection. China Agric. Econ. Rev. 2011, 3, 117–130. [Google Scholar] [CrossRef]
- Qiu, H.; Luan, H.; Li, J.; Wang, Y. The impact of risk aversion on fertilizer overuse of rural households. Chin. Rural Econ. 2014, 3, 85–96. [Google Scholar]
- Zhu, Z.; Norse, D.; Sun, B. Policy for Reducing Non-Point Pollution from Crop Protection in China; China Environmental Science Press: Beijing, China, 2006. [Google Scholar]
- Sun, B.; Zhang, L.; Yang, L.; Zhang, F.; Norse, D.; Zhu, Z. Agricultural non-point source pollution in China. Ambio 2012, 41, 370–379. [Google Scholar] [CrossRef] [PubMed]
- Carter, C.A. The urban-rural income gap in China: Implications for global food markets. Am. J. Agric. Econ. 2012, 79, 1410–1418. [Google Scholar] [CrossRef]
- Wang, S.; Ouyang, Z. The threshold effect of the urban-rural income disparity on real economic growth in China. Soc. Sci. China 2018, 2, 54–66. [Google Scholar] [CrossRef]
- Tian, X.; Wang, S.; Yang, Y. Disparities fluctuation in urban and rural income and its impact to economic efficiency. Econ. Res. J. 2009, 7, 107–118. [Google Scholar]
- Gao, Y. Urban bias, rural-urban income gap and agricultural growth in China. China Rural Surv. 2010, 5, 2–13. [Google Scholar]
- Ji, Y.; Zhang, H.; Lu, W. Differentiation, imperfect information and farm households’ fertilizer overuse. J. Agrotech. Econ. 2016, 2, 14–22. [Google Scholar]
- Grunewald, N.; Klasen, S.; Martínez-Zarzoso, I.; Muris, C. The trade-off between income inequality and carbon dioxide emissions. Ecol. Econ. 2017, 142, 249–256. [Google Scholar] [CrossRef]
- Jorgensen, A.; Schor, J.; Huang, X. Income inequality and carbon emissions in the United States: A state-level analysis, 1997–2012. Ecol. Econ. 2017, 134, 40–48. [Google Scholar] [CrossRef]
- Grossman, G.M.; Krueger, A.B. Environmental Impacts of a North American Free Trade Agreement; Working Papers Series 3914; National Bureau of Economic Research: Cambridge, MA, USA, 1991. [Google Scholar]
- Dinda, S. Environmental Kuznets curve hypothesis: A survey. Ecol. Econ. 2004, 49, 431–455. [Google Scholar] [CrossRef]
- Stern, D.I. The rise and fall of the environmental Kuznets curve. World Dev. 2004, 32, 1419–1439. [Google Scholar] [CrossRef]
- Seldon, T.M.; Song, D. Environmental quality and development: Is there a Kuznets curve for air pollution emissions. J. Environ. Econ. Manag. 1994, 27, 147–162. [Google Scholar] [CrossRef]
- Jalil, A.; Mahmud, S.F. Environment Kuznets curve for CO2 emissions: A cointegration analysis for China. Energy Policy 2009, 37, 5167–5172. [Google Scholar] [CrossRef]
- Riti, J.S.; Song, D.; Shu, Y.; Kamah, M. Decoupling CO2 emission and economic growth in China: Is there consistency in estimation results in analyzing environmental Kuznets curve? J. Clean. Prod. 2017, 166, 1448–1461. [Google Scholar] [CrossRef]
- Kaufmann, R.K.; Davidsdottir, B.; Garnham, S.; Pauly, P. The determinants of atmospheric SO2 concentrations: Reconsidering the environmental Kuznets curve. Ecol. Econ. 1998, 25, 209–220. [Google Scholar] [CrossRef]
- Dinda, S.; Coondoo, D.; Pal, M. Air quality and economic growth: An empirical study. Ecol. Econ. 2000, 34, 409–423. [Google Scholar] [CrossRef]
- Lin, Q.; Omoju, O.E.; Nwakeze, N.M.; Okonkwo, J.U.; Megbowon, E.T. Is the environmental Kuznets curve hypothesis a sound basis for environmental policy in Africa? J. Clean. Prod. 2016, 133, 712–724. [Google Scholar] [CrossRef]
- Boyce, J.K. Inequality as a cause of environmental degradation. Ecol. Econ. 1994, 11, 169–178. [Google Scholar] [CrossRef]
- Torras, M.; Boyce, J.K. Income, inequality, and pollution: A reassessment of the environmental Kuznets curve. Ecol. Econ. 1998, 25, 147–160. [Google Scholar] [CrossRef]
- Heerink, N.; Mulatu, A.; Bulte, E. Income inequality and the environment: Aggregation bias in environmental Kuznets curves. Ecol. Econ. 2001, 38, 359–367. [Google Scholar] [CrossRef]
- Zhang, C.; Zhao, W. Panel estimation for income inequality and CO2 emissions: A regional analysis in China. Appl. Energy 2014, 136, 382–392. [Google Scholar] [CrossRef]
- Hao, Y.; Chen, H.; Zhang, Q. Will income inequality affect environmental quality? Analysis based on China’s provincial panel data. Ecol. Indic. 2016, 67, 533–542. [Google Scholar] [CrossRef]
- Berthe, A.; Elie, L. Mechanisms explaining the impact of economic inequality on environmental deterioration. Ecol. Econ. 2015, 116, 191–200. [Google Scholar] [CrossRef]
- Choumert, J.; Motel, P.C.; Dakpo, H.K. Is the environmental Kuznets curve for deforestation a threatened theory? A meta-analysis of the literature. Ecol. Econ. 2013, 90, 19–28. [Google Scholar] [CrossRef]
- Stern, D.I.; Common, M.S. Is there an environmental Kuznets curve for sulfur? J. Environ. Econ. Manag. 2001, 41, 162–178. [Google Scholar] [CrossRef]
- National Bureau of Statistics of China. China Statistical Yearbook; China Statistical Press: Beijing, China, 1996. [Google Scholar]
- Zhang, C.; Sun, Y.; Sun, S.; Hu, R. Does the urban-rural income gap increase agricultural chemical input? A case study of pesticide use. Chin. Rural Econ. 2019, 1, 96–111. [Google Scholar]
- Fang, G. Multidimensional path and present choice of farmers’ income growth: The case of Beijing. Reform 2014, 3, 96–104. [Google Scholar]
- Du, J.; Liu, Y. Hypothesis and verification of the Kuznets curve relationship between agricultural growth and chemical inputs in China. World Econ. Pap. 2009, 3, 96–108. [Google Scholar]
- Rozelle, S.; Taylor, J.E.; DeBrauw, A. Migration, remittances, and agricultural productivity in China. Am. Econ. Rev. 1999, 89, 287–291. [Google Scholar] [CrossRef]
- Ebenstein, A.; Zhang, J.; McMillan, M.S.; Chen, K. Chemical Fertilizer and Migration in China; Working Papers Series 17425; National Bureau of Economic Research: Cambridge, MA, USA, 2011. [Google Scholar]
- Li, L.; Wang, C.; Segarra, E.; Nan, Z. Migration, remittances, and agricultural productivity in small farming systems in Northwest China. China Agric. Econ. Rev. 2013, 5, 5–23. [Google Scholar] [CrossRef]
- Zhao, Y. Causes and consequences of return migration: Recent evidence from China. J. Comp. Econ. 2002, 30, 376–394. [Google Scholar] [CrossRef]
- Hu, X.; Zhong, F. The impact of the aging of rural population on grain production: An analysis based on the rural fixed observation point data. Chin. Rural Econ. 2012, 7, 29–39. [Google Scholar]
- Semykina, A.; Wooldridge, J.M. Estimating panel data models in the presence of endogeneity and selection. J. Economet. 2010, 157, 375–380. [Google Scholar] [CrossRef]
- Arellano, M.; Bond, S. Some tests of specification for panel data: Monte Carlo evidence and an application to employment equations. Rev. Econ. Stud. 1991, 58, 277–297. [Google Scholar] [CrossRef]
- Roodman, D. How to do xtabond2: An introduction to difference and system GMM in Stata. Stata J. 2009, 9, 86–136. [Google Scholar] [CrossRef]
- Bound, J.; Jaeger, D.; Baker, R. Problems with instrumental variables estimation when the correlation between the instruments and the endogenous explanatory variable is weak. J. Am. Stat. Assoc. 1995, 90, 443–450. [Google Scholar] [CrossRef]
- Baltagi, B.H. Econometrics, 4th ed.; Springer: Berlin, Germany, 2008. [Google Scholar]
- Arellano, M.; Bover, O. Another look at the instrumental variable estimation of error-components models. J. Economet. 1995, 68, 29–51. [Google Scholar] [CrossRef]
- Blundell, R.; Bond, S. Initial conditions and moment restrictions in dynamic panel data models. J. Economet. 1998, 87, 115–143. [Google Scholar] [CrossRef]
- Bond, S.R. Dynamic panel data models: A guide to micro data methods and practice. Port. Econ. J. 2002, 1, 141–162. [Google Scholar] [CrossRef]
- Shi, C.; Guo, Y.; Zhu, J. Evaluation of over fertilization in China and its influencing factors. Res. Agric. Modern. 2016, 37, 671–679. [Google Scholar]
- Zhang, C.; Shi, G.; Shen, J.; Hu, R. Productivity effect and overuse of pesticide in crop production in China. J. Integr. Agric. 2015, 14, 1903–1910. [Google Scholar] [CrossRef]
- Huang, J.; Huang, Z.; Jia, X.; Hu, R.; Xiang, C. Long-term reduction of nitrogen fertilizer use through knowledge training in rice production in China. Agric. Syst. 2015, 135, 105–111. [Google Scholar] [CrossRef]
- Csaki, C.; De Haan, C. Reaching the Rural Labor: A Renewed Strategy for Rural Development; World Bank Publication: Washington, DC, USA, 2003. [Google Scholar]
- Lowder, S.; Skoet, J.; Singh, S. What Do We Really Know about the Number and Distribution of Farms and Family Farms in the World? Working Paper No. 14-02; Food and Agriculture Organization: Rome, Italy, 2014. [Google Scholar]
- Wu, Y.; Xi, X.; Tang, X.; Luo, D.; Gu, B.; Lam, S.K.; Vitousek, P.M.; Chen, D. Policy distortions, farm size, and the overuse of agricultural chemicals in China. Proc. Natl. Acad. Sci. USA 2018, 115, 7010–7015. [Google Scholar] [CrossRef] [PubMed]
- Jin, S.; Huang, J.; Hu, R.; Rozelle, S. The creation and spread of technology and total factor productivity in China’s agriculture. Am. J. Agric. Econ. 2002, 84, 916–930. [Google Scholar] [CrossRef]
- Liu, Y.; Wang, X. Technological progress and Chinese agricultural growth in the 1990s. China Econ. Rev. 2005, 16, 419–440. [Google Scholar] [CrossRef]
- Zhang, W.; Dou, Z.; He, P.; Ju, X.; Powlson, D.; Chadwick, D.; Norse, D.; Lu, Y.; Zhang, Y.; Wu, L.; et al. New technologies reduce greenhouse gas emissions from nitrogenous fertilizer in China. Proc. Natl. Acad. Sci. USA 2013, 110, 8375–8380. [Google Scholar] [CrossRef] [PubMed]
- Cai, F.; Yang, T. Political economy of the income gap between urban and rural areas. Soc. Sci. China 2000, 4, 11–22. [Google Scholar]
- Chen, B.; Lin, Y. Development strategy, urbanization and the rural-urban income disparity in China. Soc. Sci. China 2013, 4, 81–102. [Google Scholar]
- Huang, J.; Hu, R.; Rozelle, S. China’s agricultural research system and reforms: Challenges and implications to the developing countries. Asian J. Agric. Dev. 2004, 1, 1–16. [Google Scholar]
- Zhang, C.; Hu, R.; Shi, G.; Jin, Y.; Robson, M.G.; Huang, X. Overuse or underuse? An observation of pesticide Use in China. Sci. Total Environ. 2015, 538, 1–6. [Google Scholar] [CrossRef]
- Sun, S.; Hu, R.; Zhang, C.; Shi, G. Do farmers misuse pesticides in crop production in China? Evidence from a farm household survey. Pest Manag. Sci. 2019, 75, 2133–2141. [Google Scholar] [CrossRef]
- Liu, J.; Zhang, C.; Hu, R.; Zhu, X.; Cai, J. Aging of agricultural labor force and technical efficiency in tea production: Evidence from Meitan County, China. Sustainability 2019, 11, 6246. [Google Scholar] [CrossRef]
- Sun, S.; Zhang, C.; Hu, R. Determinants and overuse of pesticides in grain production: A comparison of rice, maize and wheat in China. China Agric. Econ. Rev. 2020. [Google Scholar] [CrossRef]
- Hu, R.; Sun, Y. The get-rid-of the reply of agricultural technology extension system. Reform 2018, 2, 89–99. [Google Scholar]



| Variables | 1995 | 2007 | 2017 | |||
|---|---|---|---|---|---|---|
| Mean | Standard Deviation | Mean | Standard Deviation | Mean | Standard Deviation | |
| Fertilizer use intensity (kg/ha) | 230.013 | 78.425 | 327.700 | 107.383 | 366.259 | 139.706 |
| Per capita rural income (thousand yuan) | 2.526 | 0.762 | 5.309 | 1.682 | 12.972 | 3.502 |
| Theil index | 0.115 | 0.050 | 0.151 | 0.057 | 0.094 | 0.032 |
| % of non-agricultural income | 24.624 | 8.453 | 43.517 | 10.758 | 59.944 | 9.168 |
| One-year lagged price indices of agricultural outputs (%) | 138.936 | 8.632 | 102.196 | 2.278 | 102.084 | 4.679 |
| Total sown area (million ha) | 5.743 | 2.916 | 5.929 | 3.316 | 6.447 | 3.720 |
| % of the sown area of grain crops | 73.199 | 8.818 | 67.238 | 12.899 | 67.627 | 14.908 |
| % of the sown area of vegetable | 6.090 | 3.434 | 11.607 | 6.988 | 13.351 | 9.099 |
| % of the sown area of oil crops | 9.198 | 5.251 | 7.753 | 5.656 | 8.366 | 5.920 |
| % of the sown area of other crops | 11.513 | 6.899 | 13.402 | 11.094 | 10.657 | 10.521 |
| Dependent Variable | Model I | Model II | ||
|---|---|---|---|---|
| Coefficient | Standard Error | Coefficient | Standard Error | |
| Ln(Fertilizer use intensity) | 0.597 *** | 0.148 | 0.630 *** | 0.158 |
| Ln(Per capita rural income) | 0.746 *** | 0.272 | 1.052 *** | 0.350 |
| [Ln(Per capita rural income)]2 | −0.097 *** | 0.037 | −0.138 *** | 0.050 |
| Theil index | 0.885 ** | 0.437 | 2.106 ** | 0.959 |
| Ln(Per capita rural income) × Theil index | −1.029 | 0.697 | ||
| % of non-agricultural income | −0.001 | 0.001 | −0.002 * | 0.001 |
| One-year lagged price indices of agricultural outputs | 0.001 *** | 0.000 | 0.001 *** | 0.000 |
| Total sown area | −0.061 ** | 0.027 | −0.084 *** | 0.032 |
| % of the sown area of vegetable | 0.003 | 0.002 | 0.002 | 0.003 |
| % of the sown area of oil crops | −0.002 | 0.002 | −0.002 | 0.002 |
| % of the sown area of other crops | −0.000 | 0.002 | 0.001 | 0.002 |
| Trend | −0.019 ** | 0.009 | −0.022 ** | 0.010 |
| Constant | 1.814 ** | 0.716 | 1.460 * | 0.775 |
| Sargan test | 12.190 | 10.579 | ||
| A-B test for AR (1) | −2.495 ** | −2.470 ** | ||
| A-B test for AR (2) | 0.564 | 0.651 | ||
| Observations | 575 | 575 | ||
| Provinces | 25 | 25 | ||
| Peak turning point (thousand yuan) | 46.776 | 45.222 | ||
| Dependent Variable | Model III | Model IV | ||
|---|---|---|---|---|
| Coefficient | Standard Error | Coefficient | Standard Error | |
| Ln(Fertilizer use intensity) | 0.639 *** | 0.137 | 0.666 *** | 0.144 |
| Ln(Per capita rural income) | 0.668 *** | 0.259 | 1.186 ** | 0.463 |
| [Ln(Per capita rural income)]2 | −0.093 ** | 0.036 | −0.137 ** | 0.056 |
| Urban-rural income ratio | 0.062 * | 0.036 | 0.186 ** | 0.090 |
| Ln(Per capita rural income) × Urban-rural income ratio | −0.092 | 0.058 | ||
| % of non-agricultural income | −0.001 | 0.001 | −0.002 * | 0.001 |
| One-year lagged price indices of agricultural outputs | 0.001 *** | 0.000 | 0.001 *** | 0.000 |
| Total sown area | −0.058 ** | 0.027 | −0.079 ** | 0.031 |
| % of the sown area of vegetable | 0.004 * | 0.002 | 0.003 | 0.002 |
| % of the sown area of oil crops | −0.002 | 0.002 | −0.002 | 0.002 |
| % of the sown area of other crops | 0.000 | 0.002 | −0.000 | 0.002 |
| Trend | −0.016 * | 0.009 | −0.023 ** | 0.011 |
| Constant | 1.549 ** | 0.662 | 0.965 | 0.699 |
| Sargan test | 12.763 | 11.502 | ||
| A-B test for AR (1) | −2.670 *** | −2.651 *** | ||
| A-B test for AR (2) | 0.576 | 0.651 | ||
| Observations | 575 | 575 | ||
| Provinces | 25 | 25 | ||
| Peak turning point (thousand yuan) | 36.285 | 75.828 | ||
© 2020 by the authors. Licensee MDPI, Basel, Switzerland. This article is an open access article distributed under the terms and conditions of the Creative Commons Attribution (CC BY) license (http://creativecommons.org/licenses/by/4.0/).
Share and Cite
Zhang, C.; Hu, R. Does Fertilizer Use Intensity Respond to the Urban-Rural Income Gap? Evidence from a Dynamic Panel-Data Analysis in China. Sustainability 2020, 12, 430. https://doi.org/10.3390/su12010430
Zhang C, Hu R. Does Fertilizer Use Intensity Respond to the Urban-Rural Income Gap? Evidence from a Dynamic Panel-Data Analysis in China. Sustainability. 2020; 12(1):430. https://doi.org/10.3390/su12010430
Chicago/Turabian StyleZhang, Chao, and Ruifa Hu. 2020. "Does Fertilizer Use Intensity Respond to the Urban-Rural Income Gap? Evidence from a Dynamic Panel-Data Analysis in China" Sustainability 12, no. 1: 430. https://doi.org/10.3390/su12010430
APA StyleZhang, C., & Hu, R. (2020). Does Fertilizer Use Intensity Respond to the Urban-Rural Income Gap? Evidence from a Dynamic Panel-Data Analysis in China. Sustainability, 12(1), 430. https://doi.org/10.3390/su12010430

