Abstract
There have been calls to reconnect children with nature, both for their own wellbeing, as well as for ecological sustainability. This has driven the growth of outdoor and nature-schools for all ages, but especially in the early childhood education sector. However, to date, there has not been a quantitative study that looks at whether these settings actually promote nature connection. This paper aims to examine the role of nature nurseries in the promotion of connection to nature, when compared to traditional nurseries. Data were collected on the nature connection, using the Connection to Nature Index for Parents of Preschool Children, of 216 children aged 1–8 years, 132 of whom attended nature nurseries while the rest attended traditional nurseries. Duration and frequency of attendance, sex, and parental nature connection were also reported. Statistical analyses were conducted for overall nature connection scores, individual dimension sub-scores and, for the children who attended nature nursery, against predictors. Results indicate that attending a nature nursery is associated with higher nature connection. Predictors for children’s connection to nature were parental nature connection, and total time spent in attendance of an outdoor nursery. This suggests a dose-response style relationship between attendance and nature connection. Implications for real-life applications are put forward and further research directions are explored.
1. Introduction
1.1. Background
In the last fifteen years there have been many calls to (re-)connect humans, and children in particular, with the natural world [1,2,3]. The two main driving forces behind this move centre around sustainability, with an emotional connection to nature as a motivational factor towards conservation [4,5], and wellbeing [6,7]. Childhood, including early childhood (0–8 years of age) is often considered to play a pivotal role in the creation of an ecological identity and the development of a positive relationship with nature [8] and that association has been supported by several recent studies [9,10,11]. This has led to nature connection being a key desirable outcome of environmental education programmes [12], outdoor education programmes [13], and even early childhood education as a whole [14].
Several ways to connect with nature have been identified through empirical research with adult participants [15], with sustained and meaningful contact being one of them. Forest school, defined as a long-term programme of regular outdoor learning that is in addition to traditional schooling, has been seen as one of the ways to enact such regular contact in a meaningful context and their popularity has been increasing steadily [16]. Early childhood education, and preschool in particular has seen considerable growth in forest and nature school provision. In this way specialized nature-based preschools, defined as settings with a continuous outdoor provision, can now be found around the world. In the United States the rate of growth of nature-based preschools has steadily increased in the last few years—250 of them, in 43 States, were recorded by the Natural Start Alliance (NSA) during a national survey [17]. Over 100 settings have been recorded in England, and 20 in Wales. Scotland has undergone large growth in this area too, with one nature nursery recorded in 2008, while, by November of 2018, the Care Inspectorate recognized 19 formal settings [18]. Moreover, the doubling of free childcare hours in 2020 will potentially drive more growth in the nature nursery provision [19].
Nature preschools originated in northern Europe, and some of those countries have a large percentage of their educational provision outdoors. Denmark, for example, has led the way, with udeskole (outdoor schools) being a regular part of not only early years, but also 7–16 educational provision [20]. Germany boasts more than 1500 nature and forest kindergartens, and a dedicated regulatory body [21]. Various different types of provision, with influences from local practice, nature, and climate, have also been developed in Brazil, Italy, Portugal, Slovenia, India, and South Africa [22]. A good example of forest school adapted to fit local climate and cultural norms is Australian bush kinder (or bush kindy). In their article Elliot and Chancellor [23] explore this alternative preschool provision which is seen as an innovative response to the increase in preschool universal provision. Most nurseries, including nature nurseries, in the UK adhere to each country’s national curriculum or early childhood framework.
Previous studies on the benefits of nature nurseries and forest schools have mostly employed qualitative methodologies, or used quantitative methods with small sample sizes. Such studies have proposed a number of benefits to attending forest school, including increases in self-esteem and self-confidence, motivation, motor skills improvements, development of social skills and relationships, as well as improvements in communication and language skills [24,25]. Creative and natural play, facing fears, taking risks, and building competencies have also been identified as potential benefits of forest school [26,27]. A recent, small quantitative study, the first of its kind, suggests that children in nature nursery programmes are equally ready to attend school upon completion, as their peers attending traditional nursery programmes [28].
A number of studies have also alluded to the relationship that children develop with the natural world, including knowledge and understanding [26]; meaningful engagement with nature [27]; feelings of being safe and happy in outdoors and natural environments [29]; and finally increasing sensitivity and affective responses towards nature and issues surrounding conservation [27]. Trying to conceptualise the above elements of children’s relationship to nature, and putting into an environmental psychology context, what the above studies describe is essentially an increase in nature connectedness.
Nature connectedness is the most common term used in psychology for the construct that describes a positive human–nature relationship. The construct is multi-dimensional and often includes cognitive and affective strands, including empathy towards the natural world [30,31], as well as experiential and behavioural aspects [32]. Several related terms are often used to describe this relationship, including nature connection, nature relatedness and inclusion of self in nature. For this paper, nature connection will be used henceforth.
Much research has been undertaken in relation to nature connection, primarily in adults, identifying associations with wellbeing [6,33] and environmental sustainability [4,12,34]. Fewer studies have been undertaken in children, mainly the 8–12 age range, and those too have supported the above associations [35,36]. Although a better understanding of the relationship of younger children to the natural world, and the processes that promote a connection to nature is warranted, it has been difficult to achieve. This has been mainly due to methodological difficulties, namely the fact that up to 2018 no validated instrument was available to measure nature connection in children under the age of 8. This study aims to address this significant knowledge gap.
1.2. Nature Connection in Early Childhood
We do know that children who have nature-rich routines tend to be more empathetic towards non-human animals, as well as cognitively more aware of the human–nature relationship [37,38]. A recent cross-sectional study observed a higher nature connection in the youngest age group (7–9 years of age), with a steady decline to adulthood, and a recovery after age 30 [39]. Contrary to that recent evidence from children aged 4–11 suggests that their preference for natural environments is lower than that of adults, and is not necessarily related to nature exposure or nearby nature [40].
Only one small study of children aged five to seven has followed children through from entry to forest school and into primary school [41]. Again, due to the lack of an appropriate measuring instrument for nature connection in young children the researchers applied the Connectedness to Nature Index (CNI) [36] at exit, but not at entry. However, comparing the scores of the children who had attended forest school (n = 11) with those of a control group (n = 95) they found that the first group had a higher mean (Mforestschool = 4.5 vs. Mcontrolgroup = 3.9).
In 2018 Sobko, Jia and Brown [42] modified the pre-existing CNI for use in preschoolers. The resulting instrument, the Connectedness to Nature Index for Parents of Preschool Children (CNI-PPC) was developed and validated. Given the above findings and the general state of the research on nature connection in early childhood, including its relationship with forest school attendance, we reason that a larger quantitative study using the recently developed CNI-PPC would be of interest in trying to ascertain the relationship between nature nursery attendance and nature connection in younger children. For the purposes of this paper the term “nature nursery” will refer to settings that have a continuous outdoor provision, with no permanent indoor access. Children in such settings are therefore outdoors for the whole duration of the nursery day. Traditional nurseries are indoor settings that have variable outdoor provision.
1.3. Hypotheses
We propose the following:
Hypotheses 1 (H1).
Children who attend nature nursery will have a greater nature connection score than those who attend traditional nurseries (traditional and nature preschool data).
Hypotheses 2 (H2).
Nature connection will differ with time in attendance at nature nursery (nature nursery data only).
Moreover, other factors will be looked at in an exploratory way, including age, sex, and parental nature connection.
2. Methods
2.1. Participants
We collected data on 251 children (Mageinyears = 4.52, SD = 1.39, range (1.49–8.73) through an online survey. Of those, 141 attended nature nurseries, while the rest attended traditional indoor nursery settings. The nature settings the children were recruited from were all in the UK, England (n = 9), Wales (k = 1) and Scotland (k = 2), with the traditional settings from England (k = 3) and Scotland (k = 3); the specific school location was not recorded through the survey. The study was granted ethical approval by the School of Education and Social Work ethics committee at the University of Dundee.
2.2. Data Collection
We used the CNI-PPC, a 16-item scale using parental report of their preschooler’s nature connection. Responses were given in a five-item Likert scale ranging from “strongly disagree” to “strongly agree”. The measure had four dimensions: enjoyment of nature (ENN, α = 0.86), empathy for nature (EMN, α = 0.87), responsibility toward nature (RN α = 0.75), and awareness of nature (AN, α = 0.80) as reported in the original study [42]. Internal consistency scores for this study were equivalent to those reported by Sobko et al. [42] (ENN, α = 0.85, EMN, α = 0.8, RN α = 0.71, AN, α = 0.79). Sample items included: “Being in nature makes my child feel peaceful” and “My child notices wildlife wherever he/she is” (see Table 1).
Table 1.
Connectedness to Nature Index for Parents of Preschool Children (CNI-PPC) survey questions sorted into sub-scores with additional demographic variables.
To evaluate parental connection to nature (parental NC) we used the Inclusion of Nature in Self scale (INS; Schultz, 2002). This is a seven-item pictorial scale that presents a series of progressively more interconnected circles that represent the “self” and “nature”, with low parental NC score responses coded A through to high parental NC score responses coded G. The question stated “Please look at the following diagram and choose the picture that best describes your own relationship with nature”.
Finally, the following information was requested and supplied: month/year of birth of child, duration (in months) of attendance at nature/traditional nursery, frequency (times/week) of attendance and sex of child.
2.3. Analysis
We conducted all graphing and analyses in the R environment [43]. Power analysis was conducted with preliminary data (n = 115) using the lmSupport package (v2.9.13) [44] to determine approximate sample size (alpha = 0.05 and beta = 0.8). Small (η2 = 0.05) to medium (η2 = 0.15) effect sizes were observed in preliminary data which approximated n = 56 for the medium effect and n = 160 for the small effect.
We collated survey results in Microsoft Excel (version 365) (n = 251), with age calculated as survey month/year–month/year of birth. Subjects with missing, incomplete or singular observations were omitted from further analysis (n = 216). Missing and incomplete data would include partially completed surveys i.e., birth month with no year, and fractional responses to CNI-PPC; singular responses would include single observed subjects in an INS category (e.g., single observation in H excluded). There were no A responses. We calculated the overall CNI scores as the sum of the 16 question CNI survey; to plot these values and produce summary statistics the CNI score was divided by five to produce a one to five score range. Sub-scores for EMN, ENN, RN, and AN were achieved by summing across the appropriate subset (see Table 1). Exposure to schooling events in nature nurseries was estimated by taking the reported values of frequency, times the duration in months, times four.
We conducted statistical analyses for the overall CNI-PPC scores, individual dimension scores and for the nature nursery subset, against predictors. As the CNI-PPC generates a proportional-scored response a generalised linear model (GLM) with a binomial error distribution was fitted to the predictor variables. We chose this analysis due to the mean-variance relationship of the CNI-PPC score observed in the dataset (reducing variance as the score approaches its maximum value); and that the score is bounded and proportional nature [45]. To achieve this, proportional scores were analysed using a logit link to fit the following set of linear terms, with no interactions, in the formula to produce a saturated model.
CNI score ~ sex + parental NC score + school type, family = “binomial”
The statistical model was sequentially simplified using backward elimination with a χ2 test to justify removal of a predictor. This procedure was replicated for the CNI sub-scores with a Bonferroni correction applied to account for family-wise error (p < 0.0125). As a complimentary conservative approach in order to adjust for false discovery rate, the Benjamini and Hochberg approach was used [46]; this produced an identical set of adjustments. Only correlation coefficients that remained significant after adjustment are presented.
As a final exploration of the data statistical modelling of the overall CNI score then sub-scores to predictor variables was performed as per the above procedure, on subjects who attended nature nurseries only, with exposure to schooling event included as a predictor variable as per the following saturated model.
CNI score ~ sex + parental NC score + exposure, family = “binomial”
3. Results
We present descriptive results for overall CNI and domains in Table 2, Table 3 and Table 4. Inferential statistics on CNI and parental nature connection for the whole sample set follow. The descriptive and inferential statistics looking at the subset of nature children are presented at the end of the Results section.
Table 2.
Descriptive statistics of CNI overall score and sub-scores, by sex of child.
Table 3.
Descriptive statistics of CNI overall score and sub-scores, by school type.
Table 4.
CNI score by parental connection to nature (parental NC) score.
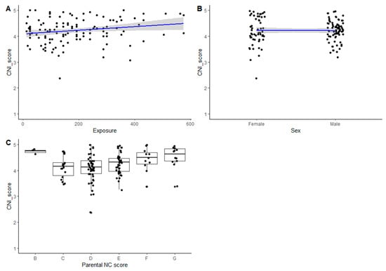
The saturated statistical model was checked for collinearity through variance inflation factor (VIF) values which ranged from 1.00 through to 1.17, with a mean of 1.08 indicating that collinearity was likely not an issue. All minimal adequate models were assessed for violations of GLM assumptions through residuals vs. predicted values; normality of errors and leverage model plots. Results of simplification of the GLM for the overall CNI-PPC score yielded a minimal adequate model with the school type (β = 0.42, p = 2 × 10−16) and parental nature connection score from B–G as predictors of CNI-PPC score with a medium effect (McFadden’s R2 = 0.13) (see Table 5). Children attending nature nurseries tended to have a higher CNI-PPC score than traditional nurseries (see Figure 1), and there was a general trend of increasing CNI-PPC score as the parental nature connection score increased from B–G (see Figure 2).
Table 5.
Minimal adequate model parental NC score and School type effects on CNI score.
Figure 1.
CNI-PPC score against school type.
Figure 2.
Overall CNI score against parental NC score.
3.1. CNI Domains
The parental nature connection score from B to G tended to increase enjoyment (β = 1.31, p = 1.53 × 10−5), responsibility (β = 0.96, p = 1.71 × 10−3) and awareness (β = 0.62, p = 8.18 × 10−3; β = 1.12, p = 4.62 × 10−5; β = 0.86, p = 3.21 × 10−3); sex was found to have a small effect of a higher empathy in females (β = −0.29, p = 1.01 × 10−3); and finally schooling was found to have a medium sized effect with children attending nature nurseries scoring higher for enjoyment (β = 0.59, p = 2.61 × 10−15) and responsibility (β = 0.76, p = 2 × 10−16) (see Table 6).
Table 6.
Minimal adequate models of CNI dimensions after Bonferroni correction.
For the effect of school type on the four dimensions see Figure 3.
Figure 3.
CNI-PPC dimensions against schooling. (A) Enjoyment of nature; (B) Empathy for nature; (C) Awareness of nature; (D) Responsibility toward nature.
3.2. Nature Nursery Subset
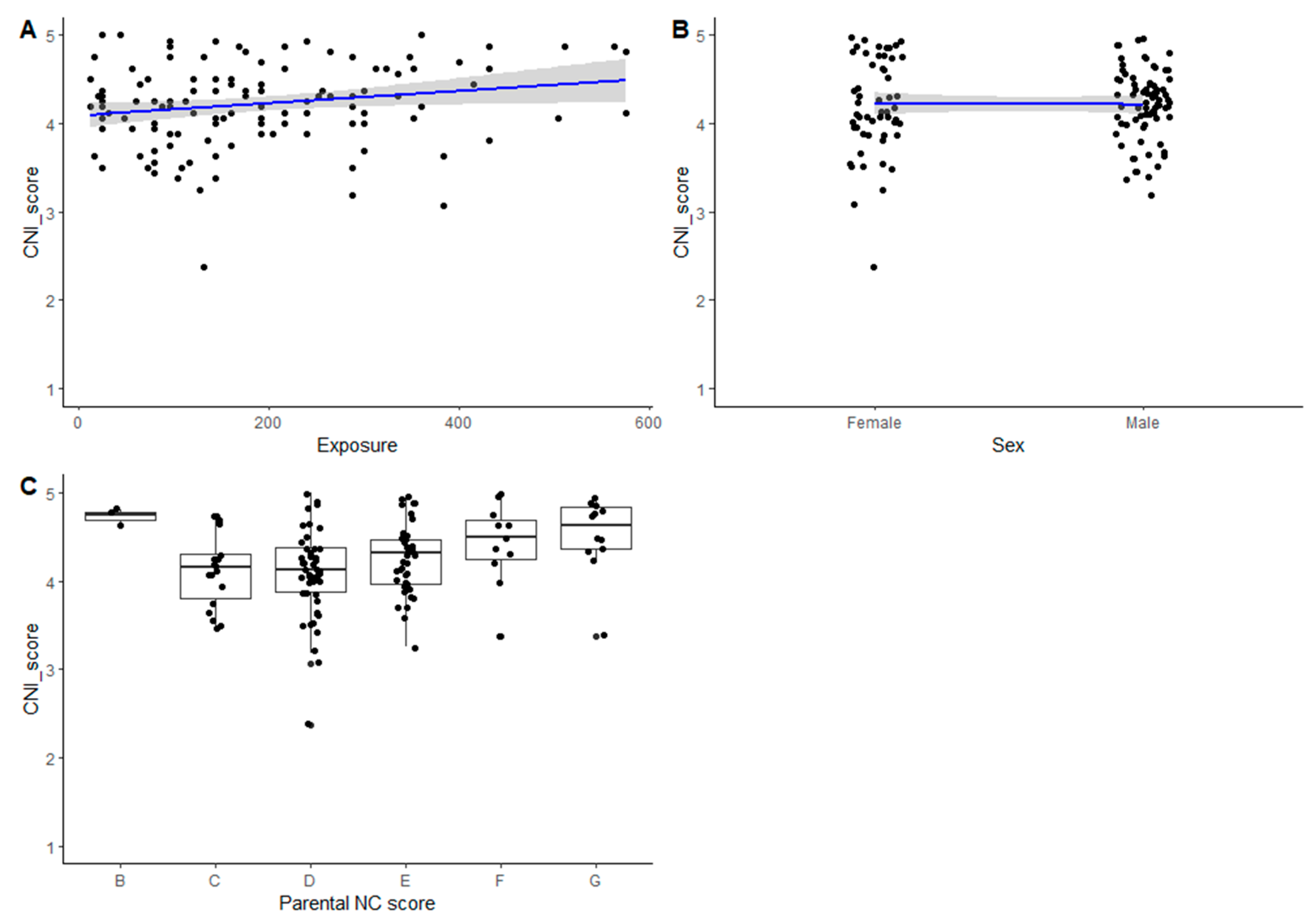
Simplification of the GLM for the overall CNI-PPC score led to a minimal adequate model with exposure (β = 1.06 × 10−3, p = 2.71 × 10−6) and parental nature connection score (β = −1.22, p = 3.88 × 10−5; β = −1.27, p = 1.33 × 10−5; β = −1.05, p = 3.21 × 10−3; β = −0.66, p = 0.03), but not sex of child, tending to increase overall CNI score with a medium effect size (McFadden’s R2 = 0.09) (see Table 7, Figure 4).
Table 7.
Minimal adequate model parental nature connection score and exposure to schooling effects on CNI score.
Figure 4.
Nature nursery subset. (A) CNI-PPC score against exposure (approximation of days attended); (B) CNI-PPC score against sex of child; (C) CNI-PPC against parental nature connection score (line of best fit given by coefficients of generalised linear model (GLM), with shaded component indicating the standard error of the fit).
3.3. CNI Dimensions in Nature Nurseries
The parental nature connection score from B to G tended to increase enjoyment (β = −1.31 × 10−3, p = 0.01) and empathy (β = −2.88, p = 4.94 × 10−3; β = −2.79, p = 6.11 × 10−3; β = −2.76, p = 6.76 × 10−3) with a small and medium sized effect; sex was found to have a small effect of a generally higher empathy (β = −0.32, p = 5.06 × 10−3) in females; and finally increasing exposure to nature nurseries was found to have a small sized effect of a higher responsibility (β = 1.60 × 10−3, p = 8.16 × 10−4) and awareness (β = 1.51 × 10−3, p = 3.20 × 10−3) score (see Table 8, Figure 5).
Table 8.
Minimal adequate model of CNI dimensions for nature nursery children after Bonferroni correction.
Figure 5.
Relationship of CNI dimensions against predictors within nature nurseries (A) Empathy for nature (EMN) sub-score against sex of child; (B) awareness of nature (AN) and responsibility towards nature (RN) sub-score against exposure to nature nurseries; (C) enjoyment of nature (ENN) and EMN against parental nature connection score. (Lines of best fit given by coefficients of GLM, with shaded component indicating the standard error of the fit).
4. Discussion
The overall nature connection mean score for both groups was found to be 4.1 (SD 0.54), as presented above in Table 2. This is in line with the 2013 Royal Society for the Protection of Birds (RSPB) report that looked at a slightly older age group in the UK, which presented a mean of 4.05 for children aged 8–12 [47]. Comparing this study with a smaller quantitative study by McCree et al. [41] which similarly looked at children who had attended forest schools versus traditional nurseries, the mean scores tend to be very similar. McCree et al. report a mean of 4.5 on the CNI (self-report) for forest school participants, while our study found a mean of 4.22 (SD 0.47). On the other hand, children from traditional settings had a mean CNI of 3.9 in the McCree study, which was identical to our mean score for children in traditional settings.
The RSPB study also reported on the percentage of children that scored above 4.5, a target that the report sets for all children in the UK [47]. In this RSPB report 21% of all children score 4.5 or above, while in the current study 25% of all children met that target (traditional nursery = 19%, nature preschool = 29%).
Results, as expressed in Figure 1, indicate that there is a difference between the nature connection of young children who attend nature nurseries when compared to those who attend traditional settings. This is supportive of H1, as well as previous qualitative literature [27,29], and the small quantitative study by McCree et al. [41]. However this study extends our prior knowledge in several ways, as the aforementioned studies focused on older children, and were either qualitative in nature or had very small sample sizes. This study found no correlation between age and CNI-PPC score.
Exposure to nature nursery (an approximation of time spent in attendance) was found to be a predictive factor of nature connection in the children who attended such settings, although the effect was small (4% of deviance in CNI score accounted for by exposure). This is in support of H2. Previous literature has suggested that this would be a very plausible finding, in that nature-rich routines, but not nature nurseries in particular, were found to increase children’s affinity towards nature [38]. Our study adds a quantitative dimension to prior research in the field, as well as exploring a younger age group than previous studies.
The CNI-PPC has four separate dimensions, each of which was looked at separately against all the variables, as well as the two settings (see Figure 3). In all four dimensions children who attended nature nurseries scored more highly than the control group, though the difference was only significant in the case of ENN and AN. Interestingly, females of both settings showed higher empathy and responsibility towards nature. Previous literature in children and adults has found that females do tend to have a higher nature connection score overall [39], though, interestingly, this was not found in this study for the overall score. However, our findings relating to empathy could be an actual representation of females’ increased empathy and responsibility, or a reflection of gender bias on the part of the reporting parent. Such gender bias has been reported in the literature before [48].
For overall nature connection, as well as for three of the four separate dimensions (engagement, awareness, and responsibility), parental connection to nature was found to be a predictor of the child’s connection to nature. The effect of parental nature connection is smaller for children who attend nature nurseries, than for children in traditional nurseries. As we can ascertain no causality given the design of the study; this may be an effect of parental behaviour, such as spending time in nature and the sharing of values, onto a child’s connection to nature, or it may represent the higher likelihood of a nature connected parent sending their child to an outdoor nursery. The limitations of the reporting method may also play a role here. These are discussed below.
4.1. Significance of the Study
This was the first study to date that explores, in a quantitative way, nature connection in preschool aged children in the UK. This was also the first large scale study internationally, to look at nature connection in alternative settings such as nature nurseries, despite the rise in popularity of such settings across Europe [21,22], the United States [17], Australia [23], and the rest of the world [22]. It was also the first study internationally to compare levels of nature connection in forest schools vs. general population of the same age. Finally, it was the first study to look at associations between parental nature connection and child nature connection in the UK, following on from literature that highlights the importance of experience, shared values, and home environment as predictors for nature connection [37,49]. Putting this into the context of early childhood and the critical developmental stages that children undergo at this age, this study has shown one possible process of building a sustainable and positive relationship with nature starting in early childhood, by incorporating nature-rich routines, such as those practised in nature nurseries, into more traditional settings.
4.2. Limitations and Future Research
Although this was the first quantitative study looking at comparing nature connection in nature and traditional nurseries, there were several limitations that should be taken into account when interpreting the results. These mainly centre around the validity of the measure used to capture the child’s nature connection, due to the fact that it depended on parental reporting. In this sense, it was likely capturing some component of the adult’s perception of the child’s connection. In previous studies that look at comparisons between self-reporting and parental-reporting (see for example Reference [50]), parental reports tend to reflect the subjective perception of the parent to the child. Moreover, other studies have presented low consistency between parental (proxy) and child (self) report [51], while the parent’s own experience has been found to impact the proxy-report on their child [52]. We should, therefore, be cautious in the interpretation of the data, especially given the findings relating to the association between parental nature connection (as reported by the INS) and parental report of child’s nature connection (as reported by the CNI-PPC). Even so, the findings of this study could form a preliminary framework for developing a larger, more robust longitudinal study that could explore causal relationships between nature connection, pro-environmental attitudes, and attendance at nature kindergartens.
The second major limitation relates to the study design and has implications on the way the data is interpreted. This was a cross-sectional study, with an element of comparison. It does not provide evidence of causality, neither does it offer information on the direction of the relationship. Therefore, we may conclude that nature nurseries promote connection to nature; or alternatively that children who attend nature nurseries, or their parents who exercise choice in nursery, are more connected to nature to start with. A randomised, controlled longitudinal study that follows children before and after attendance would yield insight into the causal nature of the effect we have observed.
Finally it should be noted that information pertaining to the sex of the parent was not collected and this may present some form of bias with regards to INS parental score, and the parents’ perception of the nature connection of their child.
4.3. Conclusion
Aside from the original contribution to academic knowledge of this study, certain real-life implications should be considered. It is of interest that nature nurseries seem to have an impact on children’s nature connection, although the exact mechanisms behind this trend are not within the scope of this study. It is useful to point out that as the popularity of nature nurseries increases, the evidence-base behind them should also respond to the needs of children and practitioners. Moreover, if we are to look more closely at pedagogy and routines, as proposed in Barrable [53] rather than simply focus on contact, a set of baseline goals should be established. It is the aim of this paper to put nature connection at the centre of nature settings’ practice, and open the way for more robust methodologies to be employed in establishing what works in outdoor settings, with the aim to eventually put forward best practice guidelines. In order for that to happen a clear articulation of goals should underline nature nurseries, with evaluation of those goals being an integral part of the building of best practice. This paper aims to begin this conversation, and to provide some observations that can be used as a baseline for nature connection in early childhood (All data for this paper can be found at Figshare [54]).
Author Contributions
A.B. and D.B. both contributed to study design, data curation, and the final version of the manuscript. A.B. wrote the original draft of the article, applied for ethics and acted as programme administrator. D.B. conducted the formal analysis and visualization of results. All authors have read and agreed to the published version of the manuscript.
Funding
This research received no external funding.
Acknowledgments
The authors would like to thank all the nurseries and families who took part in this research project.
Conflicts of Interest
The authors declare no conflict of interest.
References
- Louv, R. Last Child in the Woods: Saving Our Children from Nature-Deficit Disorder; Algonquin Books: Chapel Hill, NC, USA, 2008. [Google Scholar]
- Zylstra, M.J.; Knight, A.T.; Esler, K.J.; Le Grange, L.L. Connectedness as a core conservation concern: An interdisciplinary review of theory and a call for practice. Springer Sci. Rev. 2014, 2, 119–143. [Google Scholar] [CrossRef]
- National Trust Connecting Children with Nature. Available online: https://www.nationaltrust.org.uk/features/connecting-kids-with-nature (accessed on 19 December 2019).
- Ives, C.D.; Abson, D.J.; von Wehrden, H.; Dorninger, C.; Klaniecki, K.; Fischer, J. Reconnecting with nature for sustainability. Sustain. Sci. 2018, 13, 1389–1397. [Google Scholar] [CrossRef] [PubMed]
- Kals, E.; Schumacher, D.; Montada, L. Emotional affinity toward nature as a motivational basis to protect nature. Environ. Behav. 1999, 31, 178–202. [Google Scholar] [CrossRef]
- Capaldi, C.A.; Passmore, H.A.; Nisbet, E.K.; Zelenski, J.M.; Dopko, R.L. Flourishing in nature: A review of the benefits of connecting with nature and its application as a wellbeing intervention. Int. J. Wellbeing 2015, 5. [Google Scholar] [CrossRef]
- Uhlmann, K.; Lin, B.; Ross, H. Who cares? The importance of emotional connections with nature to ensure food security and wellbeing in cities. Sustainability 2018, 10, 1844. [Google Scholar] [CrossRef]
- Wells, N.M.; Lekies, K.S. Nature and the life course: Pathways from childhood nature experiences to adult environmentalism. Child. Youth Environ. 2006, 16, 1–24. [Google Scholar]
- Otto, S.; Pensini, P. Nature-based environmental education of children: Environmental knowledge and connectedness to nature, together, are related to ecological behaviour. Glob. Environ. Chang. 2017, 47, 88–94. [Google Scholar] [CrossRef]
- Rosa, C.D.; Profice, C.C.; Collado, S. Nature experiences and adults’ self-reported pro-environmental behaviors: The role of connectedness to nature and childhood nature experiences. Front. Psychol. 2018, 9, 1055. [Google Scholar] [CrossRef]
- Soga, M.; Gaston, K.J.; Yamaura, Y. Gardening is beneficial for health: A meta-analysis. Prev. Med. Rep. 2017, 5, 92–99. [Google Scholar] [CrossRef]
- Frantz, C.M.; Mayer, F.S. The importance of connection to nature in assessing environmental education programs. Stud. Educ. Eval. 2014, 41, 85–89. [Google Scholar] [CrossRef]
- Barrable, A.; Arvanitis, A. Flourishing in the forest: Looking at Forest School through a self-determination theory lens. J. Outdoor Environ. Educ. 2019, 22, 39–55. [Google Scholar] [CrossRef]
- Barrable, A. The Case for Nature Connectedness as a Distinct Goal of Early Childhood Education. Int. J. Early Child. 2019, 6, 59–70. [Google Scholar]
- Lumber, R.; Richardson, M.; Sheffield, D. Beyond knowing nature: Contact, emotion, compassion, meaning, and beauty are pathways to nature connection. PLoS ONE 2017, 12, e0177186. [Google Scholar] [CrossRef] [PubMed]
- Knight, S. Forest School and Outdoor Learning in the Early Years; Sage: Thousand Oaks, CA, USA, 2013. [Google Scholar]
- North American Association for Environmental Education (NAAEE). Nature Preschools and Forest Kindergartens: National Survey; NAAEE: Washington, DC, USA, 2017. [Google Scholar]
- My World Outdoors. Available online: https://hub.careinspectorate.com (accessed on 1 January 2020).
- Early Education and Care. Available online: https://www.gov.scot (accessed on 1 January 2020).
- Bentsen, P.; Jensen, F.S. The nature of udeskole: Outdoor learning theory and practice in Danish schools. J. Adventure Educ. Outdoor Learn. 2012, 12, 199–219. [Google Scholar] [CrossRef]
- Federation for Nature and Nature Kindergartens in Germany. Available online: http://bvnw.de/uber-uns (accessed on 1 January 2020).
- Knight, S. International Perspectives on Forest School: Natural Spaces to Play and Learn; Sage: Thousand Oaks, CA, USA, 2013. [Google Scholar]
- Elliott, S.; Chancellor, B. From forest preschool to bush kinder: An inspirational approach to preschool provision in Australia. Australas. J. Early Child. 2014, 39, 45–53. [Google Scholar] [CrossRef]
- O’Brien, L. Learning outdoors: The Forest School approach. Education 3–13 2009, 37, 45–60. [Google Scholar]
- Slade, M.; Lowery, C.; Bland, K. Evaluating the impact of Forest Schools: A collaboration between a university and a primary school. Support Learn. 2013, 28, 66–72. [Google Scholar] [CrossRef]
- O’Brien, L.; Murray, R. Forest School and its impacts on young children: Case studies in Britain. Urban For. Urban Green. 2007, 6, 249–265. [Google Scholar] [CrossRef]
- Ridgers, N.D.; Knowles, Z.R.; Sayers, J. Encouraging play in the natural environment: A child-focused case study of Forest School. Child. Geogr. 2012, 10, 49–65. [Google Scholar] [CrossRef]
- Cordiano, T.S.; Lee, A.; Wilt, J.; Elszasz, A.; Damour, L.K.; Russ, S.W. Nature-Based Education and Kindergarten Readiness: Nature-Based and Traditional Preschoolers Are Equally Prepared for Kindergarten. Int. J. Early Child. Environ. Educ. 2019, 6, 18–36. [Google Scholar]
- Woolley, H.; Pattacini, L.; Somerset Ward, A. Children and the Natural Environment: Experiences, Influences and Interventions-Summary; Number 040 Natural; England Research Reports: Peterborough, UK, 2011. [Google Scholar]
- Mayer, F.S.; Frantz, C.M. The connectedness to nature scale: A measure of individuals’ feeling in community with nature. J. Environ. Psychol. 2004, 24, 503–515. [Google Scholar] [CrossRef]
- Schultz, P.W. Inclusion with nature: The psychology of human-nature relations. In Psychology of Sustainable Development; Springer: Berlin/Heidelberg, Germany, 2002; pp. 61–78. [Google Scholar]
- Nisbet, E.K.; Zelenski, J.M.; Murphy, S.A. The nature relatedness scale: Linking individuals’ connection with nature to environmental concern and behavior. Environ. Behav. 2009, 41, 715–740. [Google Scholar] [CrossRef]
- Pritchard, A.; Richardson, M.; Sheffield, D.; McEwan, K. The relationship between nature connectedness and eudaimonic well-being: A meta-analysis. J. Happiness Stud. 2019, 1–23. [Google Scholar] [CrossRef]
- Pereira, M.; Forster, P. The relationship between connectedness to nature, environmental values, and pro-environmental behaviours. Reinvent. Int. J. Undergrad. Res. 2015, 8. Available online: https://warwick.ac.uk/fac/cross_fac/iatl/reinvention/archive/volume8issue2 (accessed on 1 January 2020).
- Bragg, R.; Wood, C.; Barton, J.; Pretty, J. Measuring Connection to Nature in Children Aged 8–12: A Robust Methodology for the RSPB; RSPB: Sandy, UK, 2013. [Google Scholar]
- Cheng, J.C.H.; Monroe, M.C. Connection to nature: Children’s affective attitude toward nature. Environ. Behav. 2012, 44, 31–49. [Google Scholar] [CrossRef]
- Andrejewski, R.; Mowen, A.J.; Kerstetter, D.L. An Examination of Children’s Outdoor Time, Nature Connection, and Environmental Stewardship. In Proceedings of the 2011 Northeastern Recreation Research Symposium, Annapolis, MD, USA, 10–12 April 2011; ScholarWorks@UMass Amherst: Amherst, MA, USA, 2011. [Google Scholar]
- Giusti, M.; Barthel, S.; Marcus, L. Nature routines and affinity with the biosphere: A case study of preschool children in Stockholm. Child. Youth Environ. 2014, 24, 16–42. [Google Scholar] [CrossRef]
- Richardson, M.; Hunt, A.; Hinds, J.; Bragg, R.; Fido, D.; Petronzi, D.; Barbett, L.; Clitherow, T.; White, M. A Measure of Nature Connectedness for Children and Adults: Validation, Performance, and Insights. Sustainability 2019, 11, 3250. [Google Scholar] [CrossRef]
- Meidenbauer, K.L.; Stenfors, C.U.; Young, J.; Layden, E.A.; Schertz, K.E.; Kardan, O.; Decety, J.; Berman, M.G. The gradual development of the preference for natural environments. J. Environ. Psychol. 2019, 65, 101328. [Google Scholar] [CrossRef]
- McCree, M.; Cutting, R.; Sherwin, D. The hare and the tortoise go to forest school: Taking the scenic route to academic attainment via emotional wellbeing outdoors. Early Child Dev. Care 2018, 188, 980–996. [Google Scholar] [CrossRef]
- Sobko, T.; Jia, Z.; Brown, G. Measuring connectedness to nature in preschool children in an urban setting and its relation to psychological functioning. PLoS ONE 2018, 13, e0207057. [Google Scholar] [CrossRef]
- R Core Team. R: A Language and Environment for Statistical Computing. Available online: https://www.R-project.org/ (accessed on 19 December 2019).
- Curtin, J. LmSupport: Support for Linear Models. R Package Version 2.9.13. Available online: https://CRAN.R-project.org/package=lmSupport (accessed on 1 January 2020).
- Furr, M. Scale Construction and Psychometrics for Social and Personality Psychology; SAGE Publications Ltd.: Thousand Oaks, CA, USA, 2011. [Google Scholar]
- Benjamini, Y.; Hochberg, Y. Controlling the false discovery rate: A practical and powerful approach to multiple testing. J. R. Stat. Soc. Ser. B Methodol. 1995, 57, 289–300. [Google Scholar] [CrossRef]
- The Royal Society for the Protection of Birds. Connecting with Nature: Finding Out How Connected to Nature the UK’s Children Are; RSPB: Sandy, UK, 2013. [Google Scholar]
- Baez, S.; Flichtentrei, D.; Prats, M.; Mastandueno, R.; Garcia, A.M.; Cetkovich, M.; Ibáñez, A. Men, women… who cares? A population-based study on sex differences and gender roles in empathy and moral cognition. PLoS ONE 2017, 12, e0179336. [Google Scholar] [CrossRef] [PubMed]
- Ahmetoglu, E. The contributions of familial and environmental factors to children’s connection with nature and outdoor activities. Early Child Dev. Care 2019, 189, 233–243. [Google Scholar] [CrossRef]
- Manne, S.L.; Jacobsen, P.B.; Redd, W.H. Assessment of acute pediatric pain: Do child self-report, parent ratings, and nurse ratings measure the same phenomenon? Pain 1992, 48, 45–52. [Google Scholar] [CrossRef]
- Senner, J.E.; Fish, T. Comparison of child self-report and parent report on the sibling need and involvement profile. Remedial Spec. Educ. 2012, 33, 103–109. [Google Scholar] [CrossRef]
- Cremeens, J.; Eiser, C.; Blades, M. Factors influencing agreement between child self-report and parent proxy-reports on the Pediatric Quality of Life Inventory™ 4.0 (PedsQL™) Generic Core Scales. Health Qual. Life Outcomes 2006, 4, 58. [Google Scholar] [CrossRef]
- Barrable, A. Refocusing environmental education in the early years: A brief introduction to a pedagogy for connection. Educ. Sci. 2019, 9, 61. [Google Scholar] [CrossRef]
- Barrable, A.; Booth, D. n = 251 UK Preschoolers—Data Collected on Nature Connection (CNI PPC), School Type, Sex, Age, and Parental Nature Connection (INS). 2019, Figshare. Available online: https://figshare.com/s/97ef25a1a1b594a7175a (accessed on 1 January 2020).
© 2020 by the authors. Licensee MDPI, Basel, Switzerland. This article is an open access article distributed under the terms and conditions of the Creative Commons Attribution (CC BY) license (http://creativecommons.org/licenses/by/4.0/).




