Shifts in the Microbial Community of Activated Sludge with Different COD/N Ratios or Dissolved Oxygen Levels in Tibet, China
Abstract
1. Introduction
2. Materials and Methods
2.1. Reactor and Operation
2.2. Collection of Samples and Analytical Methods
2.3. Pyrosequencing Analysis
3. Results and Discussion
3.1. Richness and Evenness of Microbial Communities of Activated Sludge
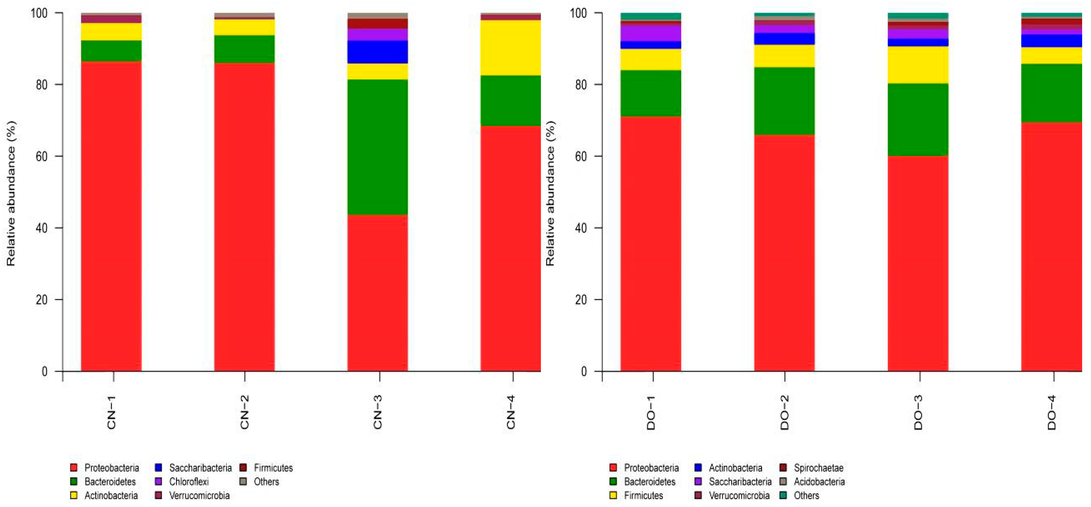
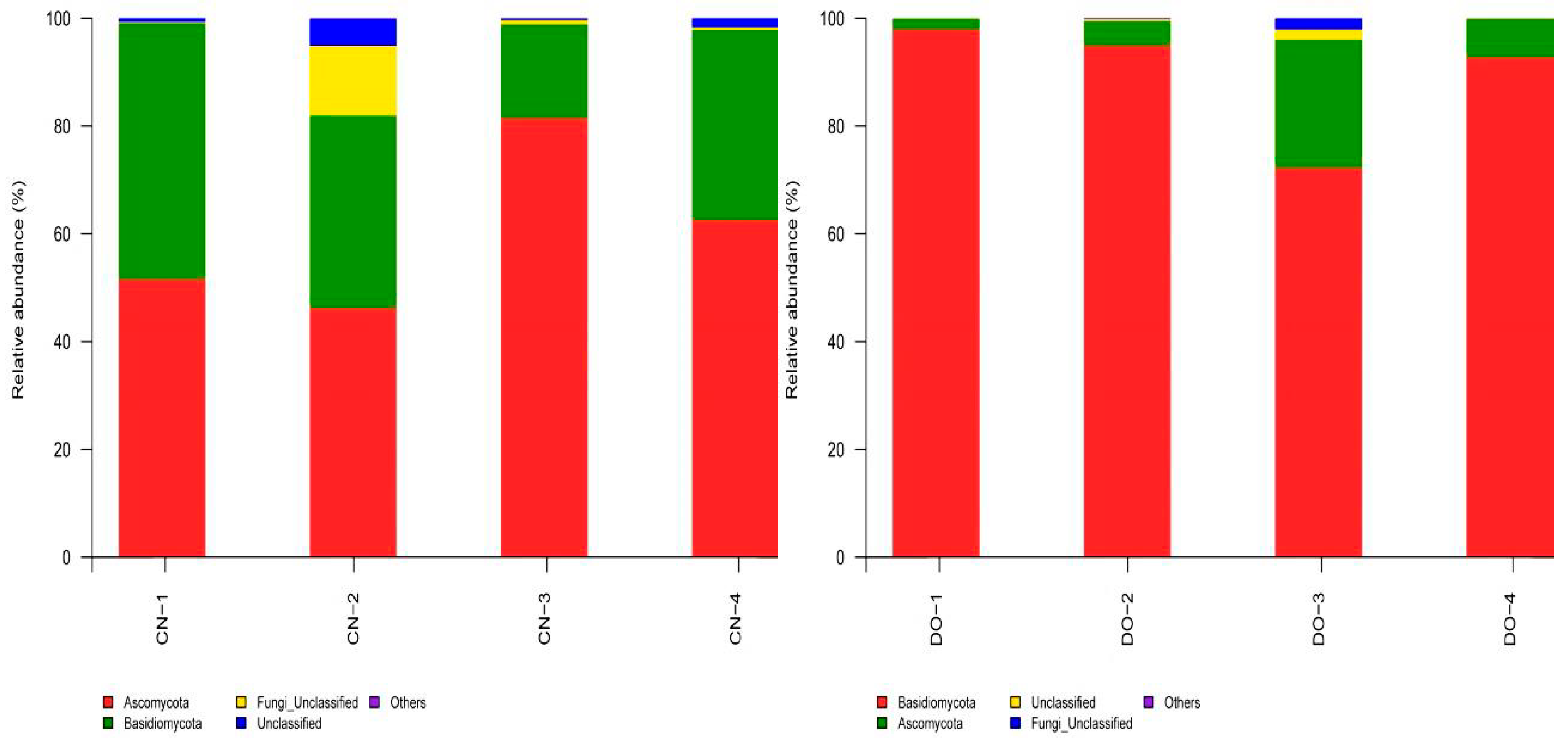
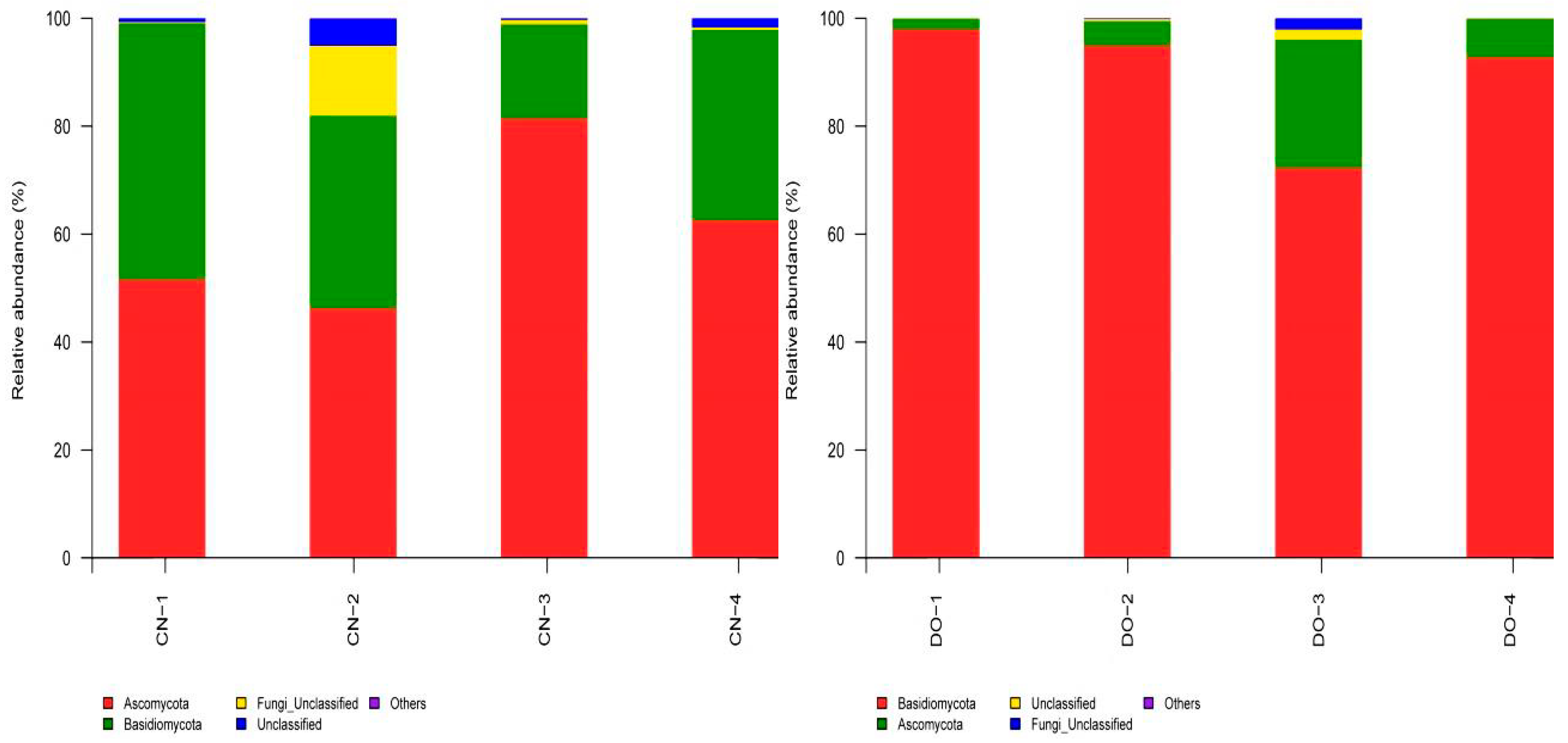
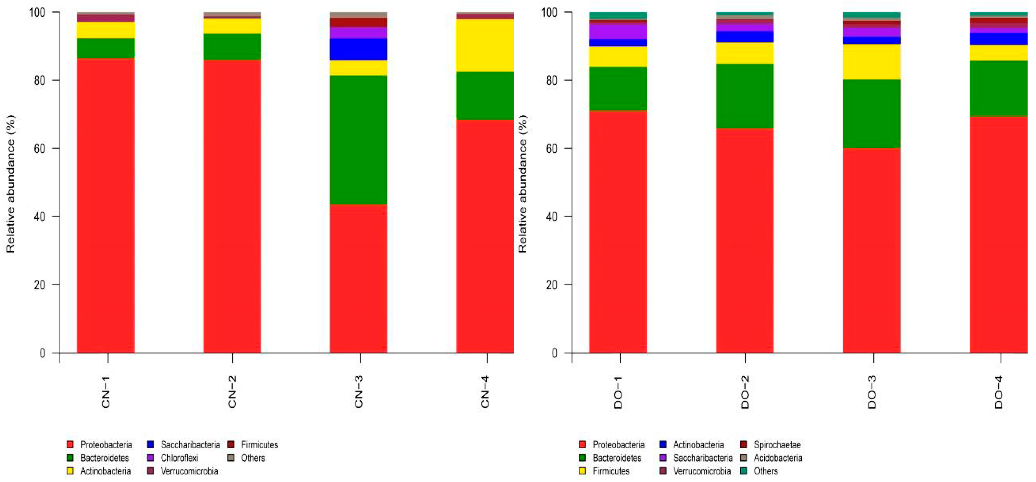
3.2. Microbial Community Structures
3.3. Process Performance
3.4. The Relationship among the Changes of Pollutants, Microbial Community Structure, and Species Diversity
4. Conclusions
Author Contributions
Funding
Conflicts of Interest
References
- Xu, J.; Wang, P.F.; Li, Y.; Niu, L.H. Performance and characterization of the microbial community structures in the activated sludge from wastewater treatment plant at high altitudes in Tibet of China. Desalin. Water. Treat. 2018, 106, 108–115. [Google Scholar] [CrossRef]
- Yang, M.; Liu, X.C.; Zhang, Y. Analysis of bacterial community structures in two sewage treatment plants with different sludge properties and treatment performance by nested PCR-DGGE method. J. Environ. Sci. 2007, 19, 60–66. [Google Scholar]
- Juanico, M.; Weinberg, H.; Soto, N. Process design of waste stabilization ponds at high altitude in Bolivia. Water Sci. Technol. 2000, 42, 307–313. [Google Scholar] [CrossRef]
- Strauss, E.A.; Lamberti, G.A. Regulation of nitrification in aquatic sediments by organic carbon. Limnol. Oceanogr. 2000, 45, 1854–1859. [Google Scholar] [CrossRef]
- Yun, Z.; Jung, Y.H.; Lim, B.R. The stability of nitrite nitrification with strong nitrogenous wastewater: Effects of organic concentration and microbial diversity. Water Sci. Technol. 2004, 49, 89–96. [Google Scholar] [CrossRef]
- Sharma, R.; Gupta, S.K. Influence of chemical oxygen demand to total Kjeldahl nitrogen ratio and sludge age on nitrification of nitrogenous wastewater. Water Environ. Res. 2004, 76, 155–161. [Google Scholar] [CrossRef]
- Luo, J.H.; Hao, T.W.; Wei, L. Impact of Influent COD/N Ratio on Disintegration of Aerobic Granular Sludge. Water Res. 2014, 62, 127–135. [Google Scholar] [CrossRef]
- Gieseke, A.; Purkhold, U.; Wagner, M.; Amann, R.; Schramm, A. Community structure and activity dynamics of nitrifying bacteria in a phosphate-removing biofilm. Appl. Environ. Microbiol. 2001, 67, 1351–1362. [Google Scholar] [CrossRef]
- Zielinska, M.; Bernat, K.; Cydzik-Kwiatkowsa, A.; Sobolewska, J.; Wojnowska-Baryla, I. Nitrogen removal from wastewater and bacterial diversity in activated sludge at different COD/N ratios or dissolved oxygen concentrations. J. Environ. Sci. 2012, 24, 990–998. [Google Scholar] [CrossRef]
- Kapley, A.; Tolmare, A.; Purohit, H.J. Role of oxygen in the utilization of phenol by Pseudomonas CF600 in continuous culture. J. Microbiol. Biotechnol. 2001, 17, 801–804. [Google Scholar] [CrossRef]
- Wells, G.F.; Park, H.D.; Yeung, C.H.; Eggleston, B.; Francis, C.A.; Criddle, C.S. Ammonia-oxidizing communities in a highly aerated full-scale activated sludge bioreactor: Betaproteobacterial dynamics and low relative abundance of Crenarchaea. Environ. Microbiol. 2009, 11, 2310–2328. [Google Scholar] [CrossRef]
- Garrido, J.M.; van Benthum, W.A.J.; van Loosdrecht, M.C.M.; Heijnen, J.J. Influence of dissolved oxygen concentration on nitrite accumulation in a biofilm airlift suspension reactor. Biotechnol Bioeng. 1997, 53, 168–178. [Google Scholar] [CrossRef]
- Ganigué, R.; López, H.; Balaguer, M.D.; Colprim, J. Partial ammonium oxidation to nitrite of high ammonium content urban landfill leachates. Water Res. 2007, 41, 3317–3326. [Google Scholar] [CrossRef] [PubMed]
- Pollice, A.; Tandoi, V.; Lestingi, C. Influence of aeration and sludge retention time on ammonium oxidation to nitrite and nitrate. Water Res. 2002, 36, 2541–2546. [Google Scholar] [CrossRef]
- Ma, Y.; Peng, Y.Z.; Wang, S.Y.; Yuan, Z.G.; Wang, X.L. Achieving nitrogen removal via nitrite in a pilot-scale continuous pre-denitrification plant. Water Res. 2009, 43, 563–572. [Google Scholar] [CrossRef]
- Chandra Yadav, T.; Khardenavis, A.A.; Kapley, A. Shifts in microbial community in response to dissolved oxygen Levels in activated sludge. Bioresour. Technol. 2014, 165, 257–264. [Google Scholar] [CrossRef] [PubMed]
- The State Environmental Protection Administration. Water and Wastewater Monitoring Analysis Method, 4th ed.; China Environmental Science Press: Beijing, China, 2002. (In Chinese) [Google Scholar]
- Xu, J.; Li, S.W. The Changes of Pollutants and Microbial Community Structures of the Activated Sludge in Response to Different Temperature Levels in Tibet of China. IOP Conf. Ser. Earth Environ. Sci. 2018, 189, 052080. [Google Scholar] [CrossRef]
- Xu, J.; Wang, P.F.; Li, Y.; Niu, L.H. Activated sludge culture domestication at high altitudes in Tibet of China. Desalin. Water. Treat. 2019, 142, 98–103. [Google Scholar] [CrossRef]
- Zhang, T.; Shao, M.F.; Ye, L. 454 pyrosequencing reveals bacterial diversity of activated sludge from 14 sewage treatment plants. ISME J. 2012, 6, 1137–1147. [Google Scholar] [CrossRef]
- Xia, S.; Duan, L.; Song, Y.; Li, J.; Piceno, Y.M.; Andersen, G.L.; Alvarez-Cohen, L.; Moreno-Andrade, I.; Huang, C.L.; Hermanowicz, S.W. Bacterial community structure in geographically distributed biological wastewater treatment reactors. Environ Sci. Technol. 2010, 44, 7391–7396. [Google Scholar] [CrossRef] [PubMed]
- Flint, H.J.; Scott, K.P.; Duncan, S.H.; Louis, P.; Forano, E. Microbial degradation of complex carbohydrates in the gut. Gut Microbes 2010, 3, 289–306. [Google Scholar] [CrossRef]
- Větrovský, T.; Steffen, K.T.; Baldrian, P. Potential of cometabolic transformation of polysaccharides and lignin in lignocellulose by soil actinobacteria. PLoS ONE 2014, 9, 1–9. [Google Scholar]
- Gao, F.; Nan, J.; Zhang, X.H.; Wu, T.H. A dynamic modelling of nutrient metabolism in a cyclic activated sludge technology (CAST) for treating low carbon source wastewater. Environ. Sci. Pollut. Res. 2017, 24, 17016–17030. [Google Scholar] [CrossRef] [PubMed]
- LeCleir, G.R.; Buchan, A.; Hollibaugh, J.T. Chitinase gene sequences retrieved from diverse aquatic habitats reveal environment-specific distributions. Appl. Environ. Microbiol. 2004, 70, 6977–6983. [Google Scholar] [CrossRef]
- Zang, K.; Kurisu, F.; Kasuga, I.; Furumai, H.; Yagi, O. Analysis of the phylogenetic diversity of estrone-degrading bacteria in activated sewage sludge using microautoradiography–fluorescence in situ hybridization. Syst. Appl. Microbiol. 2008, 31, 206–214. [Google Scholar] [CrossRef] [PubMed]
- Niu, L.H.; Li, Y.; Wang, P.F. Understanding the linkage between elevation and activated sludge bacterial community along a 3600 m elevational gradient in China. Appl. Environ. Microbiol. 2015, 81, 6567–6576. [Google Scholar] [CrossRef] [PubMed]
- Ryu, H.D.; Lee, S.I. Comparison of 4-stage biological aerated filter (BAF) with MLE process in nitrogen removal from low carbon-to-nitrogen wastewater. Environ. Eng. Sci. 2009, 26, 163–170. [Google Scholar] [CrossRef]
- Her, J.J.; Huang, J.S. Influences of carbon source and C/N ratio on nitrate/nitrite denitrification and carbon breakthrough. Bioresour. Technol. 1995, 54, 45–51. [Google Scholar] [CrossRef]
- Liu, H.B.; Yang, C.Z.; Pu, W.H. Removal of nitrogen from wastewater for reusing to boiler feed-water by an anaerobic/aerobic/membrane bioreactor. Chem. Eng. J. 2008, 140, 122–129. [Google Scholar] [CrossRef]
- Sheng, P.S.; Carles, P.N.; Brian, M. Effective Biological Nitrogen Removal Treatment Processes for Domestic Wastewaters with Low C/N Ratios: A Review. Environ. Eng. Sci. 2010, 27, 111–126. [Google Scholar]
- Puigagut, J.; Salvadó, H.; García, J. Short-term harmful effects of ammonia nitrogen on activated sludge microfauna. Water Res. 2005, 39, 4397–4404. [Google Scholar] [CrossRef]
- Khardenavis, A.A.; Kapley, A.; Purohit, H.J. Simultaneous nitrification and denitrification by diverse Diaphorobacter sp. Appl. Microbiol. Biotechnol. 2007, 77, 403–409. [Google Scholar] [CrossRef] [PubMed]
- Rajagopal, R.; Massé, D.I.; Singh, G. A critical review on inhibition of anaerobic digestion process by excess ammonia. Bioresour. Technol. 2013, 143, 632–641. [Google Scholar] [CrossRef]
- Shen, H.Y.; Guo, Y.; Wang, Y.Y.; Shen, Y.T. Case study on engineering projects of sewage treatment plants in plateau region. Water. Pure Technol. 2014, 33, 9–12. (In Chinese) [Google Scholar]
- Cui, J. Discussion on the calculation of air supply for sewage treatment plant in plateau region. Water Wastewater Eng. 2012, 38, 41–45. (In Chinese) [Google Scholar]
- Johnson, D.R.; Lee, T.K.; Park, J.; Fenner, K.; Helbling, D.E. The functional and taxonomic richness of wastewater treatment plant microbial communities are associated with each other and with ambient nitrogen and carbon availability. Environ. Microbiol. 2015, 17, 4851–4860. [Google Scholar] [CrossRef]
- Wittebolle, L.; Marzorati, M.; Clement, L.; Balloi, A.; Daffonchio, D.; Heylen, K.; De Vos, P.; Verstraete, W.; Boon, N. Initial community evenness favours functionality under selective stress. Nature 2009, 458, 623–626. [Google Scholar] [CrossRef] [PubMed]
- Werner, J.J.; Knights, D.; Garcia, M.L.; Scalfone, N.B.; Smith, S.; Yarasheski, K.; Cummings, T.A.; Beers, A.R.; Knight, R.; Angenent, L.T. Bacterial community structures are unique and resilient in full-scale bioenergy systems. Proc. Natl. Acad. Sci. USA 2011, 108, 4158–4163. [Google Scholar] [CrossRef]










| Species | Composition | Concentration (mg/L) | Confect |
|---|---|---|---|
| Organics | COD | 120, 150, 210, 300 | glucose |
| Nitrogen compounds | NH4+–N | 30 | NH4CI |
| Phosphorus compounds | TP | 5 | K2HPO4 |
| Other additions and trace elements (mg/L) | MgSO4·7H2O(12); FeSO4·7H2O(10); CaCl2(30); NaHCO3(50); pH (7.2–8.4); H3BO3(0.15); CoCl2·6H2O(0.15); CuSO4·6H2O(0.03); FeCl3·6H2O(1.5); KI(0.03); MnCl2·2H2O(0.12); (NH4)2Mo7O24·2H2O(0.06); ZnSO4·7H2O(0.12) | ||
| Species | Composition | Concentration (mg/L) | Confect |
|---|---|---|---|
| Organics | COD | 210 | glucose |
| Nitrogen compounds | NH4+–N | 30 | NH4CI |
| Phosphorus compounds | TP | 5 | K2HPO4 |
| Other additions and trace elements (mg/L) | MgSO4·7H2O(12); FeSO4·7H2O(10); CaCl2(30); NaHCO3(50); pH (7.2–8.4); H3BO3(0.15); CoCl2·6H2O(0.15); CuSO4·6H2O(0.03); FeCl3·6H2O(1.5); KI(0.03); MnCl2·2H2O(0.12); (NH4)2Mo7O24·2H2O(0.06); ZnSO4·7H2O(0.12) | ||
| Shannon Index | CN-1 | CN-2 | CN-3 | CN-4 | DO-1 | DO-2 | DO-3 | DO-4 |
|---|---|---|---|---|---|---|---|---|
| bacterial | 2.27 | 1.93 | 3.29 | 2.39 | 2.62 | 3.23 | 3.37 | 2.61 |
| fungal | 1.26 | 2.53 | 1.10 | 1.52 | 0.13 | 0.38 | 1.13 | 0.38 |
| archaeal | 2.21 | 2.22 | 3.38 | 2.17 | 3.05 | 3.06 | 3.37 | 2.87 |
© 2019 by the authors. Licensee MDPI, Basel, Switzerland. This article is an open access article distributed under the terms and conditions of the Creative Commons Attribution (CC BY) license (http://creativecommons.org/licenses/by/4.0/).
Share and Cite
Xu, J.; Wang, P.; Li, Y.; Niu, L.; Xing, Z. Shifts in the Microbial Community of Activated Sludge with Different COD/N Ratios or Dissolved Oxygen Levels in Tibet, China. Sustainability 2019, 11, 2284. https://doi.org/10.3390/su11082284
Xu J, Wang P, Li Y, Niu L, Xing Z. Shifts in the Microbial Community of Activated Sludge with Different COD/N Ratios or Dissolved Oxygen Levels in Tibet, China. Sustainability. 2019; 11(8):2284. https://doi.org/10.3390/su11082284
Chicago/Turabian StyleXu, Jin, Peifang Wang, Yi Li, Lihua Niu, and Zhen Xing. 2019. "Shifts in the Microbial Community of Activated Sludge with Different COD/N Ratios or Dissolved Oxygen Levels in Tibet, China" Sustainability 11, no. 8: 2284. https://doi.org/10.3390/su11082284
APA StyleXu, J., Wang, P., Li, Y., Niu, L., & Xing, Z. (2019). Shifts in the Microbial Community of Activated Sludge with Different COD/N Ratios or Dissolved Oxygen Levels in Tibet, China. Sustainability, 11(8), 2284. https://doi.org/10.3390/su11082284
