Next Article in Journal
Conceptualising the Factors that Influence the Commercialisation of Non-Timber Forest Products: The Case of Wild Plant Gathering by Organic Herb Farmers in South Tyrol (Italy)
Previous Article in Journal
On the Inevitable Bounding of Pluralism in ESE—An Empirical Study of the Swedish Green Flag Initiative
 
 
Font Type:
Arial Georgia Verdana
Font Size:
Aa Aa Aa
Line Spacing:
Column Width:
Background:
Article

Who Supports International Development Cooperation in Times of Crisis? Public Opinion in Rural Spain

by
Juan David Gómez-Quintero
1,*,
Pilar Gargallo Valero
2 and
Jesús Miguel Álvarez
2
1
Department of Psychology and Sociology, Universidad de Zaragoza, Zaragoza 50009, Spain
2
Department of Structure and Economic History and Economics Public, Universidad de Zaragoza, Zaragoza 50005, Spain
*
Author to whom correspondence should be addressed.
Sustainability 2019, 11(7), 2027; https://doi.org/10.3390/su11072027
Submission received: 28 February 2019 / Revised: 2 April 2019 / Accepted: 3 April 2019 / Published: 5 April 2019

Abstract

The official development aid provided by donor countries does not solely depend on government decisions; it is also affected by trends in public opinion. This means that it is important to find out more about the opinions, views and attitudes of the citizens of donor countries. In spite of this, very few research studies have specifically analysed the opinions of people from rural areas. The aim of this research is to analyse the attitudes of the inhabitants of rural areas in northeast Spain to assess the degree of support for policies of international cooperation and development. To this end we carried out a survey of 403 people resident in small towns, selected using a stratified sampling process. We then conducted multivariate statistical techniques of the information we had gathered, in which we found that there were three types of individuals according to their level of interest, concern and action: aware but not actively involved, not interested and passive, and proactive with strong convictions. This research has shown that educational level, size of the town and age all influence the person’s interest in the problems affecting the rest of the world and their support for international cooperation.

1. Introduction

Global issues such as international development cooperation are on the foreign policy agenda of most developed states. Their importance on these agendas varies in line with the interests and ideologies of the government in power and is also affected by public opinion. Cooperation policies and the proportion of government expenditure devoted to them are influenced to some degree by social perceptions, and the opinions and attitudes of the population. With this in mind, in this paper our aim is to identify and analyze social perceptions, opinions and attitudes on international development cooperation and other global issues. The target group for our analysis was the rural population of northeastern Spain.
This research is of great interest from both a political and an academic perspective. Firstly, because rural public opinion on these issues provides an insight into social inclusion in country areas, a priority area in European rural policies. In its rural development programme for 2014–2020, the European Union (EU) established a series of common priorities such as agriculture, forestry, food, water, animal welfare and preserving ecosystems, along with the need to promote “social inclusion, poverty reduction and economic development in rural areas” (https://ec.europa.eu/agriculture/rural-development-2014-2020_en). Research into public opinion in rural areas can help improve social inclusion and education for development and global citizenship. In 2015, the EU launched a project called Rural DEAR (Development, Education and Awareness Raising) Agenda-EYD (European Year Development) 2015 the aim of which was to support projects that engage the EU public in worldwide issues of social, economic and environmental development (EuropeAid/134863/C/ACT/Multi). The project [1], which was applied in seven country areas of Europe including Spain, found that there is very little education for development in Spanish rural areas and that the few programmes that are delivered in these areas are not as successful as in urban areas. The authors of this project noted that Spain’s rural population viewed international cooperation as a lower priority than their urban counterparts, believing it had little relation with their daily lives or local realities. In view of the apparent shortfall in education for development in rural areas, in 2016–2017 a group of researchers (the authors and others) were engaged by the Provincial Council of Zaragoza to investigate the level of information and knowledge of global issues amongst the rural population and their attitudes towards development cooperation and global citizenship in the province.
From an academic perspective this subject is important because little research has been done on public opinion in rural areas on international cooperation. Most of the comparative studies in this topic have focused on whole states, but there are few comparative studies between the different regions within these states and even fewer comparing opinions in urban and rural areas.
We decided to fill this gap by asking three main questions: What are the opinions, attitudes and perceptions of the rural population about development cooperation and other global issues? How are these attitudes and opinions distributed within the rural population? Are they due to specific variables?
This paper also seeks to help public administrations and institutions implement effective policies in favor of social cohesion and development cooperation; our analysis of public opinion identifies profiles of individuals with similar levels of knowledge, interest and involvement in global problems and development cooperation. With this in mind, we applied multivariate statistical techniques such as factor analysis to summarize the information contained in the main questions, and cluster analysis to classify respondents according to their degree of support for cooperation.
This research is important for the following reasons, which we will now go on to address in more detail: (1) public opinion is important for development aid because it creates a context in which Governments can operate; (2) previous research into public opinion on aid is dominated by comparative studies between countries and ignores internal variations within each country and the attitudes of people from non-urban areas; (3) this paper addresses this gap by observing attitudes about global problems and aid to development from a rural perspective.

1.1. Why Is Public Opinion Important for Development Aid?

A great deal of research has been done on the levels of public support for development cooperation policies [2,3,4,5,6,7,8,9]. These studies began in the second half of the 20th century [10] at around about the same time as the first studies relating public opinion and government policy: “As early as 1952, Berelson [11] noted that―public opinion research can help a democracy to know itself, evaluate itself and bring its practices more nearly in accord with its own fundamental ideas” [8].
Public opinion studies analyzed different socio-demographic variables to identify patterns of attitudes and opinions favorable and unfavorable to support international development cooperation. These variables include gender, educational level, age and nationality. In the last 10 years many studies in this field have measured these variables within the context of the global economic crisis. Henson and Lindstrom [10] analyzed variables such as gender, age and education in a study of public support for cooperation in the United Kingdom. They concluded that most of the variables play a limited role except for age. For their part, Chong and Gradstein [12] did not find any difference in terms of gender, although there was a noticeable difference according to disposable income, such that the higher the level of individual income the more likely the person was to support international aid.
Much of the research finds that the attitudes of public opinion depend on the cost/benefit ratio and the national interests and that in times of economic crisis, in particular, public opinion is more sympathetic to the poor “at home” than to poor people from other countries. Heinrich, Kobayashi and Bryant [2], who “examined three kinds of beliefs that are relevant for the attitudes of voters towards external aid: the tangible benefits from providing foreign aid, how much foreign aid costs and how many resources are available to the government from which the aid is drawn”. They developed the argument that spending cuts in development aid occurred because the voters regarded it as a lower priority during periods of economic recession and politicians responded by reducing aid. Using data from the Eurobarometer, they showed that economic recessions lead to a reduction in public support for aid to poor people abroad. This is not due to any real lack of resources and instead is a political strategy related to public perceptions of the national economic recession and low levels of optimism about their own personal financial situation. Milner and Tingley [5] suggest that in the relationship between public opinion and politicians, influence is not purely one-directional. They argue that it is likely that interaction takes place in both directions. While public opinion restrains leaders from going too far, the attitudes and actions of the elites also help shape public beliefs. Chong and Gradstein [12] explore the factors determining support for foreign aid, discovering that many researchers choose to analyse individual opinion without considering the larger social and institutional structures within which public opinion is embedded. These authors observed a wider range of factors that might affect support for foreign aid but are not usually specified.

1.2. Research into Public Opinion on Aid Is Dominated by Comparative Studies between Countries

Most of the studies on political economy and development analyze the reasons for supporting development cooperation between countries. As a result, they tend to focus above all on the financing, allocation, distribution, efficiency and efficacy of the funds provided for aid and cooperation development, and their effects in terms of economic growth, public investment and the reduction of poverty in receiver countries.
Pratt [13] argued that there were two main approaches: international realism and human internationalism. The relationship between wealth and support for cooperation is undeniable, a fact that was confirmed, for example, by Zimmerman [9], who cited a large bibliography that related support for development cooperation policies with the wealth of the donor states. However, not all equally rich countries provide aid in the same proportion and their aid budgets often fluctuate.
There have been various research papers that have shown a direct relationship between national welfare and the relative levels of foreign aid [6,14]. Particularly, an interesting research along these lines, was done by Lumsdaine [4], who investigated national and international concerns about poverty. He argued that foreign aid was the product of humanitarian ideas and values which found support in internal political agreements and in the religious and moral traditions of the West. Noël and Thérien [6] reached similar conclusions when they found that policies on development aid and the welfare state were generally based on similar values. Likewise, in a study of public attitudes towards poverty in developing countries, Van Heerde and Hudson [8] showed that interest in moral questions is positively associated with concern about poverty in the developing world, while, by contrast, expressions of worry about one’s own selfish interests are negatively associated with concern for others.
Paxton and Knack [15] analysed 19 donor countries according to the World Values Survey and the Gallup International Voice of the People Survey, finding that attitudes of support for aid are influenced by religious belief, beliefs about the causes of poverty, awareness of international affairs and confidence in people and institutions. They [15] point out that individual attention to international affairs may affect foreign aid. People who are more aware of international affairs may be more likely to support foreign aid. Not only can individuals who are more exposed to events outside their own national borders better understand the problems facing other countries, they are also more likely to be aware of the inequality between (and within) these countries. Evidence suggests that individuals’ breadth of perspective regarding international affairs and the economy can affect their views on foreign aid.
Henson and Lindstrom [10] conducted research for the UK Department for International Development and found that the perceptions regarding the causes of global poverty are a key driver of support for aid. They confirm the findings of other studies in that support for aid is greater when people think that poverty is imposed from the outside, even in the case of developing countries or poor people. However, for most of those interviewed, the main cause of poverty in developing countries was the fact that the leaders of these countries were corrupt (over 50%), the lack of a proper education system (20%), demographic problems (18%), natural disasters (16%), wars and conflicts (14%) and foreign debt (9%). They [10] found that most sociodemographic variables, such as gender, level of education, having children, practicing a religion and ethnic background have no appreciable impact on one’s propensity to support cuts in aid expenditure. They observed however that the age of the person being interviewed had a considerable influence on their support (or otherwise) for cuts in aid expenditure. The likelihood of supporting cuts in aid expenditure increased significantly with age. In fact, those interviewed from the 18–24 and 25–34 year-old age groups are 20.6% and 23.4% less likely to support cuts in aid expenditure than those in the over-55 age group (reference group) respectively.
In research based on data from the European Social Survey into civic attitudes and the dimensions of citizenship in Europe, Jaime Castillo [16] concluded that European citizens with a higher educational level also had a higher level of civic commitment, thus confirming that the educational system has an important role in the transmission of civic attitudes. In this line of research, various other recent studies highlight the role of income and education in forming attitudes in favour of the environment and against climate change [17,18].

1.3. Attitudes about Global Problems and Aid to Development from a Rural Perspective.

Although there are few studies that specifically analyse public opinion in rural areas regarding aid to development or compare opinions in rural and urban areas, Llopis [19] found that there was an unequal distribution of feelings of global solidarity within Spanish society. He discovered statistically significant differences in terms of age, level of studies, employment situation, and size of town. Global solidarity among Spanish people reached highest levels amongst adults in the 36- to 45-year-old age group, with university education and resident in towns with more than 400,000 inhabitants. By contrast the lowest levels of solidarity were expressed by people who were over 55 years old, with a basic level of education, retired, homemakers, and from small and medium-sized towns [19].
The most relevant research in Spain comparing opinions in rural and urban areas was conducted in the Castilla-León Region [1,20]. These researchers found that country people in Spain view international cooperation as a lower priority than their urban counterparts. This study opened a new research path which we are continuing in this paper.

2. Materials and Methods

In this section we describe the questionnaire and the sample we used. We also make a preliminary study of the most suitable variables for investigating people’s knowledge and opinions about global problems, and the degree of support for development cooperation policies amongst the inhabitants of rural areas in the province of Zaragoza (Spain).
The questionnaire was made up of 32 questions divided into six blocks. The first block sought to provide a sociodemographic characterization of the individual. The second block gathered information about their views of the world situation. The third block assessed their knowledge of international cooperation, while the fourth evaluated their support for cooperation. In the fifth we asked them about their personal commitment and participation in development cooperation and in the last about their reasons for making this commitment.
The sample population covered all the inhabitants of the province of Zaragoza living outside its capital city (Zaragoza), of more than 15 years of age. This is because in the census data, the age groups are organized into five-year periods: from 15 to 19, from 20 to 24, from 25 to 29,… from 85 to 89, and over 90s.
This province is in the northeast of the Iberian Peninsula (Figure 1. Map 1), and contains 292 towns and villages (not including the provincial capital), which are divided into 17 comarcas. According to the Aragonese Institute of Statistics (Instituto Aragonés de Estadística, IAEST), these 292 towns had a total of 213,350 inhabitants in 2015 (Figure 1. Map 2). The province has 261 municipalities with less than 2500 inhabitants, and 22 municipalities with between 2500 and 10,000 inhabitants. These towns and villages are rural according to the definition of the National Institute of Statistics of Spain, which defines rural municipalities as those with less than 10,000 inhabitants. Our survey included a statistical sample of 21 municipalities with less than 10,000 inhabitants. The province of Zaragoza is a good place to assess rural opinions. While Spain as a whole has a population density of 91 people/km2, the province has 55 people/km2, and if we remove the five most populated municipalities in the metropolitan area of the city of Zaragoza, the density drops to 36 people/km2.
Map 2 (Figure 1) shows the distribution of population within the province of Zaragoza and highlights the dispersion of population and the small size of many towns and villages.
The sampling procedure we used was a stratified method that takes into account the following three criteria: age, size of town and gender. We used the following age groups: 15–24, 25–34, 35-44, 45–54, 55–64, and over 65. Town size was divided into the following groups: less than 2500 inhabitants, 2500–10,000 inhabitants and over 10,000 inhabitants. We used a proportional allocation for each gender option (man/woman), size of town and age group, so obtaining the size of the corresponding sub-sample. A confidence level of 95.5% was established with a P = Q = 50% and a sampling error of 5%. The resulting sample size was 403 interviewees.
As can be seen in Table 1, 48% of those interviewed were women. 25% were under 35, 38% were aged between 35 and 54 and the rest (37%) were 55 or over. As regards their educational level, 3% had no formal schooling; 23% had completed primary education; 33% secondary education; 16% had a baccalaureate certificate and 25% had a university degree. As regards their town or village, 38% lived in villages with less than 2500 inhabitants, 35% lived in towns with a population of between 2500 and 10,000 inhabitants, and finally 27% lived in large towns, i.e., with more than 10,000 inhabitants.
When asked about their level of interest in development issues, the people we interviewed expressed most interest and knowledge of general issues commonly featured in the media, i.e., news and information about international events and news about human rights. However, we noticed that specific subjects such as the progress of the Millennium/Sustainable Development Goals (MDG-SDG) (the survey was conducted in December 2016 and January 2017; we asked about the MDG, a project that came to an end in 2015 and the SDG, which started in 2016) aroused little interest and were given an average score of 1.67 points (on a scale of 1 to 4). Similarly, almost all the questions about international cooperation were given low scores in the bottom half of the scale, above all the question about their knowledge of MDG-SDG, which scored an average of 1.71. The only questions with scores in the top half of the scale were those relating to humanitarian aid (2.69), responsible consumption (2.77) and the relationship between education and development (2.82). As regards the actions to reduce the problems in poor countries, the people we interviewed were generally in favour of the various actions we proposed, except for the possibility of intervention in foreign countries for which the average score was 2.41, just below the halfway point on the scale. As regards the commitment of people towards development cooperation the most important aspect was the purchase of fair trade products (2.65) and donations to organizations which help poor countries (2.96). In other kinds of activities the level of commitment was quite low. Finally, as regards what caused people to get involved in development cooperation, the two main reasons put forward were the fact that the distribution of wealth is unfair (3.89) and because the current situation is unsustainable (3.79), while the most personal reason “because it makes me feel a better person” was the least valued with a score of 2.89.
When asked about what they considered the three most important problems in the world today, the interviewees chose wars and armed conflict, terrorism and violation of human rights (see Table 2). The economic crisis and unemployment and political corruption were also considered as serious problems. The problems that they were least concerned about were natural disasters and migration.
After identifying the problems, we then looked at the causes cited in Table 2. The most commonly cited causes for the current situation of world poverty selected by the people interviewed in this province were political corruption, war and political instability and an unfair world economy. It is important to note that discrimination and social inequality is another important cause. At the other extreme, the causes considered least important by the interviewees were low national income and vulnerability to natural disasters.
As regards their opinion as to the most important aspects of cooperation, interviewees selected basic population needs, the eradication of poverty, and the protection of human rights. However, they did not consider the achievement of the Sustainable/Millennium Goals, support for institutional reforms and global access to information and communication technology (ICT) as priority issues, as can be seen in the percentages in Table 3.

3. Results

On the basis that greater citizen participation would be desirable in order to combat global inequality, poverty, injustice, human rights and environmental degradation more effectively, it is necessary to improve the means of assessing the perceptions and understanding of the people in these situations. To this end, we applied the most appropriate unsupervised classification technique, cluster analysis, to classify individuals in terms of their perception and understanding of situations related to global inequality, poverty, injustice, human rights and environmental degradation. Prior to the application of this technique and given that a very high number of variables were involved, we decided to reduce the dimensionality of the problem by conducting a factorial analysis.
Another important aim was to find out which aspects lead to greater knowledge, interest and involvement in the different issues linked with education for development amongst the general public (in this case inhabitants of the province of Zaragoza), who may then become agents of social, economic and political change.
The procedure followed to reduce the dimensionality of the problem had two stages. In the first stage, five factorial analyses were carried out to synthesize each one of the following blocks of questions into its most basic, underlying dimensions: “Perception of the world situation”, “Knowledge of international cooperation”, “Assessment of international cooperation”, “Personal commitment and participation” and “Reasons why you became involved”. In the first stage, 32 variables were reduced to 16 factors (see Table 4). However, these 16 factors still shared some common elements and a further factorial analysis was required. This last analysis simplified the 16 factors into 6 indicators (see Table 5), thus enabling greater understanding and interpretation of the opinions of those interviewed.
Table 4 shows the 16 factors determined in the first stage of this process, together with the most strongly related variables and their corresponding factor loadings. In the set on the interviewees’ perception of the world situation, we obtained three factors, dividing the degree of interest shown by people into three different spheres: specific interest in actions and activities to improve human development (F1), general interest in international news of a general nature (F2), and interest in progress towards the Millennium Development Goals and reports from international organizations (F3).
The second group of questions, which deals with knowledge of development cooperation, was reduced to four factors distinguishing the knowledge displayed by people on international development (F4), responsibility (F5), solidarity (F6) and the Millennium projects and goals (F7). The third group, devoted to the actions to reduce the problems of poor countries, was condensed into two factors that differentiate changes in habits in poor countries and in the world economic system (F8), and internal domestic changes, improving international aid and our own consumption habits (F9). The fourth group of questions, on personal commitment and participation, is reduced to four factors that distinguish between personal (F10), intervention (F11), economic (F12) and educational (F13) commitment. The first factor assesses the degree of commitment as a member of an NGDO or as a volunteer. The second factor assesses the frequency with which an individual gets involved in activities whose direct effects take place in poor countries. The third factor assesses the frequency with which the interviewees make financial commitments to improve poor countries, either by buying fair trade products or by making donations. The educational commitment measures the degree of involvement in educational activities to improve development. Finally, in the set of questions on what led or caused people to get involved, we obtained three factors: external (F14), internal (F15) and global (F16) motivation. Internal motivation covers aspects relating to the personal conviction that aid is necessary and also that it makes them feel better people. External motivation evaluates whether the greatest influence is unfair distribution of wealth and the fact that the current situation is unsustainable. Overall motivation assesses whether the main reason for getting involved is that they feel they are part of the problem.
In the factorial analysis of the second stage (see Table 5), we found that all the final indicators are positively related to the intermediate factors. Indicator 1 has been called specific information and ethical commitment because it is related with F3, F7 and F11. A high score on this indicator means that the person keeps themselves informed about specific projects, is concerned about development projects and goals and gets involved in activities with direct effects on poor countries. Indicator 2, Individual concern and Responsibility, emphasizes that the most important factors are F1, F9 and F16. A person with a high score in this indicator is someone who is interested in specific subjects (actions, activities or facts to improve human development), believes that change must come from the inhabitants of rich countries (increasing international aid and changing consumption habits) and understands that both the problem and the solution are everyone’s responsibility. Indicator 3, Responsibility of Others is related to F8 and F14. A person with a high score on this indicator thinks that the distribution of wealth is unfair and that the current situation is unsustainable but believes that the solution must come from governments and political leaders, changing the world economic system and promoting political, social and economic changes in poor countries. Indicator 4, General Information and Economic Commitment is related to F2, F5, F6 and F12. People that obtain high scores on this indicator keep themselves informed about the international situation and general aspects about human development, and have a broad knowledge about international issues (foreign debt, objectives of the anti-globalization organizations, fair trade, humanitarian aid and responsible consumption) and their involvement is mainly of a financial nature, by making donations to organizations that help poor countries or buying fair trade products. Indicator 5, Proactive involvement with conviction is related to F10 and F15. A person with a high score on this indicator is an active member of organizations for development or takes part in voluntary programmes. They are also internally motivated in that they feel that their help is necessary and that it makes them feel better people. Finally, Indicator 6, Education for Development is obtained from factors F4 and F13. A high score means someone that keeps themselves informed about the challenges facing sustainable human development, international child sponsorship schemes and their relationship with education. By extension their involvement centres above all on educational programmes for development.
In order to clarify the dimension reduction process described above, Figure 2 briefly illustrates the details of the procedure in which 32 variables were simplified into 6 indicators.
After the process of dimension reduction by which 32 variables were compressed into 6 indicators, our main objective was to identify groups of similar individuals according to their perception, knowledge, interest and involvement in development cooperation. Interpreting and understanding the profile of the individuals in each group was simplified by working with the 6 final indicators instead of the initial 32 variables. In order to identify the groups, we applied a cluster analysis with the SPSS TwoStep method. This procedure is an exploration tool designed to discover the natural groupings of a set of data that uses as a measurement of the distance between two individuals the likelihood provided by the distribution of probability between the variables. The first stage consists of a pre-classification that builds a tree in sequential form, whose nodes represent the different groups, and in the second stage we refined the previous solution by means of an agglomerative hierarchical clustering procedure. The final algorithm automatically selects the number of clusters using a selection criterion from the model for different grouping solutions. In our case the six indicators are continuous variables and the selection criterion used was the Bayesian information criterion (BIC). All the results were obtained with the IBM SPSS Statistics 22.
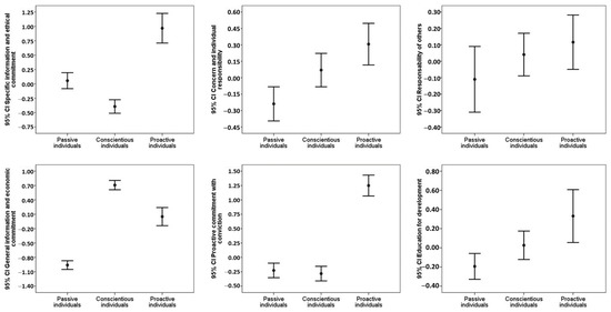
The result of this analysis leads us to three groups which are differentiated according to the previous indicators, as shown in Figure 3. Group 1, referred to as passive individuals, comprises 35.7% of those interviewed. This group is made up of people with low scores on almost all the indicators and in particular on indicator 4 (general information and economic commitment) and indicator 2 (concern and individual responsibility). These individuals are therefore uninterested in information, they are not concerned about human development and feel that the current situation is not going to change and for this reason do not get involved in any way. Group 2 is made up of individuals who are aware of the problem, and comprises 47.1% of those interviewed. This group is made up of individuals with high scores on indicator 4 (general information and economic commitment) and low scores on indicator 1 (specific information and ethical commitment). These people are very well informed about general matters but do not have specific knowledge of human development issues. They feel a certain degree of economic commitment via donations and fair trade but they do not participate in direct activities in poor countries. Finally, Group 3, proactive individuals, who make up 17.1% of the total sample. These individuals obtain high scores on almost all the indicators and in particular on indicator 1 (specific information and ethical commitment) and indicator 5 (proactive commitment with conviction). This means that they are very well informed about specific aspects of development, which in turn makes them highly motivated and personally committed to organizations for development or volunteer programmes.
Having presented the three groups, we then analysed the rest of the variables so as to describe the type of individuals that make up each cluster and find out the differences between the three groups of individuals (passive, conscientious and proactive).
When we analysed the sociodemographic profile of the groups obtained, we found that there were no differences in terms of sex or nationality between the individuals in the three groups. As far as the age of the interviewees was concerned (see Figure 4), we recoded the data to assess its influence. People up to 34 years old were classified as young, between 35 and 55 as adults, while over 55s were called older people. We observe that in Group 1 (passive individuals) there were large numbers of older people, while in Group 2 (conscientious individuals) and above all in Group 3 (proactive individuals) the largest numbers were from the adult age-group. We conducted a Pearson’s Chi-Square test with a p-value of 0.039, which indicated a significant statistical dependence between the two variables.
We also found some differences as regards the size of the town or village the interviewee comes from (see Figure 4). Most of the individuals in Group 1 live in medium-sized (between 2500 and 10,000 inhabitants) and small (less than 2500 inhabitants) communities, while in Group 2 there is a predominance of people from small villages with less than 2500 inhabitants and in Group 3 from large towns with over 10,000 inhabitants. We conducted a Pearson’s Chi-Square test with a p-value of 0.001, which indicated a statistical dependence between the two variables.
We also found differences in terms of the educational level of the individuals in each group, as can be seen in Figure 4. In Group 1 for example there were more people with primary and secondary education, while Groups 2 and 3 were dominated by people with secondary and further education. There was an obvious statistically significant dependence as shown by the Pearson’s Chi-Square test with a p-value of less than 0.001.
As regards the contribution to changing the current situation in poor countries, most of the individuals in Group 1 considered that their actions could not contribute to changing the situation in poor countries. The members of Groups 2 and 3 on the other hand thought that their actions could contribute to changing the situation in poor countries and indeed tried to make this happen. The difference lies in the fact that in Group 2 there is a high percentage who do not believe they can change the situation of poor countries, while in Group 3 there is a high percentage of people who believe that they can contribute to change but do not know how to do so. There is an obvious statistically significant dependence as shown by the Pearson’s Chi-Square test with a p-value of less than 0.001.
We also found differences in terms of what the interviewees considered to be the three most serious problems in the world today, as is shown in Table 6. All three groups agreed that wars and armed conflicts were the most serious problem, however there were differences in their second and third choices. Group 1 (passive individuals) opted for terrorism and the economic crisis and unemployment as the second and third most serious problems; while the members of Group 2 (conscientious individuals) chose political corruption and violation of human rights. Finally, those in Group 3 (pro-active individuals) went for terrorism and the violation of human rights.
When we analysed the three causes of the current situation put forward by the interviewees (see Table 7), we found that the individuals in Group 1 (passive) suggested political corruption, wars and political instability and unemployment as the main causes. Those in Group 2 (conscientious) stated that the root of these inequalities lay in political corruption, wars and political instability and an unfair world economy. Finally, those in Group 3 (pro-active) believed that the main causes were wars and political instability, political corruption and social inequality and discrimination.
All three groups highlighted the same three aspects as the most important aspects of cooperation as shown in Table 8. However, the priority or urgency they attributed to each was different. The three most important aspects were eradication of poverty, basic population needs and protection of human rights. The conscientious individuals put the protection of human rights first while the passive and proactive individuals said that the most important aspect of cooperation was the eradication of poverty.

4. Conclusions

The analysis presented in this paper attempts to evaluate the degree of support for cooperation policies amongst the inhabitants of rural areas in north east Spain. Using the data collected in a survey of 403 people, we established that the three world issues that most concern these people are wars and armed conflicts, terrorism, and the violation of human rights. They considered that the three most important causes of the current situation in poor countries were political corruption, war and political instability, and an unfair world economy. As a result, they considered that the three priority areas for development cooperation should be basic population needs, the eradication of poverty, and the protection of human rights. However, they did not consider the achievement of the Millennium/Sustainable Development Goals to be important and support for institutional reforms and global access to ITC were also towards the bottom of their list.
In a multivariate analysis we detected three groups of individuals according to their perceptions, knowledge, interest and commitment to world issues and development cooperation. This classification could help public administrations and institutions implement policies in favour of social cohesion and development cooperation adapted to the different inhabitants of rural areas. The first group is made up of passive individuals who are not interested in international information, unconcerned about human development and feel that the current situation is not going to change. This group is dominated by people of over 55 years old with primary and secondary education who live in medium-sized (from 2500 to 10,000 inhabitants) and small (less than 2500 inhabitants) towns and villages. The second group was made up of conscientious individuals who are very well informed about general issues, who have a certain degree of economic commitment, via donations and free trade, but do not take part in direct activities in poor countries. This group is predominantly made up of young people of between 15 and 34 years old, who have secondary or further education studies and live in small towns and villages with less than 2500 inhabitants. Lastly, the third group is made up of proactive individuals with specific information and ethical commitment and conviction. This group mainly comprises adults between 35 and 55 years old with secondary or further education studies who live in large towns with more than 10,000 inhabitants.
The identification of the types of attitudes using sociodemographic variables will enable us to focus the policies aimed at raising awareness and promoting global citizenship in rural areas in donor countries such as Spain. In the case of the group of conscientious individuals, we found that they are very well informed about general matters, feel a certain degree of economic commitment via donations and fair trade, but do not participate in direct activities in poor countries. This may be due to the fact that they usually live in small towns and are, therefore, unable to become personally involved in a more active way. In this case, public administrations should promote activities and initiatives to motivate these aware citizens and enable them to be more proactive. For their part, the group of passive individuals needs information and training on development cooperation so that they can become aware of the problem and can get involved in actions that seek to address it. This research is, therefore, useful in highlighting the shortcomings in terms of cooperation for development in rural areas, so enabling us to look for dynamics and proposals to encourage support for human development.
Finally, future lines of research could consider the rural/urban variable to confirm or refute the trends identified in this research. It would also be a good idea to further analyse public opinion and the varying degrees of empathy shown by the inhabitants of rural areas of donor countries with regard to global issues and the challenges of development cooperation. Another insightful path of research would be to determine whether the attitudes of rural populations actually inform Spanish aid policies. This would strengthen the claim that these attitudes actually matter.

Author Contributions

J.D.G.-Q. was responsible for the conceptualization, review of the literature, the section “development cooperation in Spain” and the conclusions. The methodology, design of the questionnaire, survey analysis and validation were done by P.G.V. J.M.Á. performed the factorial analysis and cluster analysis, and created the figures and graphics.

Funding

This research was funded by the Gobierno de Aragón, Group Reference: (S28_17R), FEDER 2014-2020 “Construyendo Europa desde Aragón”; and co-financed by the Provincial Council of Zaragoza.

Acknowledgments

The authors wish to thank the Provincial Council of Zaragoza, Chair for Development Cooperation of the University of Zaragoza and the Aragonese Solidarity Federation, who financed and supported this research in 2016 and 2017.

Conflicts of Interest

The authors are researchers and university lecturers and have no economic, commercial or business interest in this research. Neither are we seeking other kinds of benefit such as an institutional position, grants or fundraising.

References

  1. Carracedo, M.; Domenech, E.; Duce, C.; Frutos, R.A.; Gómez, J.; Marbán, J.M.; Martínez, S.; Miguel, L.J.; Ortega, S.; Pérez, L. Diagnóstico de la educación para el desarrollo en el ámbito rural. Resumen ejecutivo. Proyecto Rural Dear Agenda-EYD 2015. Observatorio de Cooperación Internacional para el desarrollo de la Universidad de Valladolid, 2016. Available online: www.uva.es/cooperacion (accessed on 4 April 2018).
  2. Heinrich, T.; Kobayashi, Y.; Bryant, K.A. Public opinion and foreign aid cuts in economic crises. World Dev. 2016, 77, 66–79. [Google Scholar] [CrossRef]
  3. Imbeau, L. Donor Aid-The Determinants of Development Allocations to Third World Countries: A Comparative Analysis; Peter Lang Pub Incorporated: New York, NY, USA, 1989; pp. 149–164. [Google Scholar]
  4. Lumsdaine, D.H. Moral Vision in International Politics: The Foreign Aid Regime, 1949–1989; Princeton University Press: Princeton, NJ, USA, 1993. [Google Scholar]
  5. Milner, H.V.; Tingley, D.H. The Choice for Multilateralism: Foreign Aid and American Foreign Policy. Rev. Int. Organ. 2013, 8, 313–341. [Google Scholar] [CrossRef]
  6. Noël, A.; Thérien, J.P. From domestic to international justice: The welfare state and foreign aid. Int. Organ. 1995, 49, 523–554. [Google Scholar] [CrossRef]
  7. Noël, A.; Thérien, J.P. Public Opinion and Global Justice. Comp. Political Stud. 2002, 35, 631. [Google Scholar] [CrossRef]
  8. Van Heerde, J.; Hudson, D. The Righteous Considereth the Cause of the Poor? Public Attitudes towards Poverty in Developing Countries. Political Stud. 2010, 58, 389–409. [Google Scholar] [CrossRef]
  9. Zimmerman, R.A. The Determinants of Foreign Aid. An Inquiry into the Consequences of Welfare State Institutions and Public Opinion; OECD Development Centre: Paris, France, 2007. [Google Scholar]
  10. Henson, S.; Lindstrom, J. “A mile wide and an inch deep”? Understanding public support for aid: The case of the United Kingdom. World Dev. 2013, 42, 67–75. [Google Scholar] [CrossRef]
  11. Berelson, B. Democratic Theory and Public Opinion. Public Opin. Q. 1952, 16, 313–330. [Google Scholar] [CrossRef]
  12. Chong, A.; Gradstein, M. Who’s Afraid of Foreign Aid? The Donor’s Perspective. CESifo Working Paper. 2006. N° 1833. Available online: https://publications.iadb.org/en/publication/whos-afraid-foreign-aid-donors-perspective (accessed on 24 June 2018).
  13. Pratt, C. Internationalism Under Strain: The North-South Policies of Canada, The Netherlands, Norway, and Sweden; University of Toronto Press: Toronto, ON, Canada, 1989. [Google Scholar]
  14. Stokke, O. The determinants of aid policies: General introduction. In Western Middle Powers and Global Poverty: The Determinants of the Aid Policies of Canada, Denmark, the Netherlands, Norway, and Sweden; Stokke, O., Ed.; Scandinavian Institute of African Studies: Uppsala, Sweden, 1989; pp. 9–31. [Google Scholar]
  15. Paxton, P.; Knack, S. Individual and country-level factors affecting support for foreign aid. Int. Political Sci. Rev. 2012, 33, 171–192. [Google Scholar] [CrossRef]
  16. Jaime Castillo, A.M. Actitudes cívicas y dimensiones de la ciudadanía democrática en Europa. Rev. Española De Investig. Sociol. 2009, 125, 47–80. [Google Scholar]
  17. Robison, R.A.V.; Jansson-Boyd, C.V. Perspectives on Sustainability: Exploring the Views of Tenants in Supported Social Housing. Sustainability 2013, 5, 5249–5271. [Google Scholar] [CrossRef]
  18. Rajapaksa, D.; Islam, M.; Managi, S. Pro-Environmental Behavior: The Role of Public Perception in Infrastructure and the Social Factors for Sustainable Development. Sustainability 2018, 10, 937. [Google Scholar] [CrossRef]
  19. Llopis Goig, R. ONG internacionales y solidaridad global. Un análisis referido a la sociedad española. Reis 2007, 120, 117–132. [Google Scholar] [CrossRef]
  20. Miguel González, L.J.; Domenech Llorente, E.; Carracedo Bustamante, M.; Gómez González, J.; Pérez Miguel, L.; Temprano García, V. Educación para el Desarrollo en Castilla y León: Cómo Vemos el Mundo; Observatorio de Cooperación Internacional para el Desarrollo, Universidad de Valladolid: Valladolid, Spain, 2012. [Google Scholar]
Figure 1. Location and distribution of population of Zaragoza.
Figure 1. Location and distribution of population of Zaragoza.
Sustainability 11 02027 g001
Figure 2. Diagram illustrating the factor reduction process.
Figure 2. Diagram illustrating the factor reduction process.
Sustainability 11 02027 g002
Figure 3. Error bars for the indicators for each group of individuals.
Figure 3. Error bars for the indicators for each group of individuals.
Sustainability 11 02027 g003
Figure 4. Bar charts for groups of individuals.
Figure 4. Bar charts for groups of individuals.
Sustainability 11 02027 g004
Table 1. Descriptive statistics for the variables we analysed.
Table 1. Descriptive statistics for the variables we analysed.
VariableMeanStd.Dev.
Sociodemographic Data (category ratio)
Gender (1 = female, 0 = male)0.480.50
Age 15 to 34 years0.250.43
Age 35 to 54 years0.380.49
Age 55 years or more0.370.48
No studies0.030.17
Primary education0.230.42
Secondary education0.340.47
Pre-University education0.160.43
University studies0.250.37
Less than 2500 inhabitants0.380.49
2500–10,000 inhabitants0.350.48
More than 10,000 inhabitants0.270.44
Perception of the World Situation (1 = “I am not interested”, 4 = “I follow them closely”)
News and information on international events, problems and policies2.560.99
News and information on Human Development2.340.94
Reports on the international situation of international organizations2.190.97
Progress of the Millennium Development Goals (MDGs)1.670.89
Activities of international non-profit organizations (NGDOs)2.190.96
News on Human Rights in the world2.580.92
Knowledge of International Cooperation (1 = ”I don’t know anything”, 5 = ”I know a lot”)
Objectives and projects of Education for Development2.121.04
The Millennium Development Goals (MDGs–Sustainable Development Goals (SDGs))1.710.91
Fair Trade2.511.07
Humanitarian Aid2.691.11
Objectives of anti-globalization organizations2.031.05
External debt2.531.14
Responsible consumption2.771.17
Challenges for Sustainable Human Development2.431.15
International sponsorship programs2.451.18
The relationship between education and development2.821.24
Assessment of International Cooperation (1 = “disagree strongly”, 5 = “agree strongly”)
International aid should increase3.581.29
The current global economic system must change3.981.11
Our consumption habits must change3.671.22
Political, social and economic changes must be promoted in these countries4.141.06
Personal Commitment and Participation (1 = “never”, 5 = “always”)
Educational programs for development1.941.12
Purchase of fair trade products2.651.22
Sponsorship of minors from other countries1.941.31
Policy actions to help impoverished countries1.931.18
Donations to organizations that help impoverished countries2.961.36
Active participation as a member of a development organization1.911.28
Volunteering2.051.32
Reasons Why You Became Involved (1 = “very low”, 5 = “very high”)
Because it makes me feel a better person2.891.34
Because I feel my help is necessary3.631.17
Because the distribution of wealth is unfair3.891.23
Because the current situation is unsustainable3.791.18
Because we are part of the problem3.571.30
Table 2. Most serious problems in the world today and their causes (choose three of each).
Table 2. Most serious problems in the world today and their causes (choose three of each).
ProblemsPercentageCausesPercentage
Wars and armed conflict16.05%Political corruption 15.30%
Terrorism 10.75%War and political instability12.74%
Violation of human rights9.93%Unfair world economy 9.84%
Economic crisis and unemployment 9.26%Discrimination and social inequality9.68%
Political corruption 9.10%Rich government policies 8.19%
Inequality of gender6.20%Unemployment7.61%
Inequality between rich and poor 6.04%Lack of access to education 6.87%
Lack of access to education5.71%Multinational policies 5.29%
Individualism and loss of values 4.55%Lack of democracy 4.63%
Lack of access to food 4.22%Historical reasons3.31%
Lack of access to health care3.89%External debt3.23%
Climate change3.72%Insufficient legislation and stability 3.14%
Degradation of the environment3.31%Decisions of big lobbies3.06%
Lack of access to drinking water2.89%Labour laws2.48%
Migration2.73%Vulnerability to natural disasters2.40%
Natural disasters1.65%Low national income2.23%
Table 3. The most important aspects of cooperation.
Table 3. The most important aspects of cooperation.
Cooperation AreasPercentage
Basic population needs 16.63%
Eradication of poverty 16.29%
Protection of human rights 15.47%
Rural development 8.77%
Social cohesion and employment 6.70%
Help in post-crisis situations 6.37%
Environmental protection5.87%
Economic integration5.46%
Infrastructure development4.63%
Sustainable energy technologies4.55%
Migration and asylum3.80%
Achieving the Millennium Development Goals (MDGs)1.99%
Support for institutional reforms1.99%
Global access to information and communication technology (ICT)1.49%
Table 4. Relation between the factors and the variables.
Table 4. Relation between the factors and the variables.
FactorsVariablesFactor Loadings
F1- Specific interestActivities of international non-profit organizations (NGDOs)0.860
News on Human Rights in the world0.755
F2-General interestNews on international events, problems and policies 0.919
News on human development 0.622
F3-Interest in developmentProgress towards the Millennium Development Goals (MDGs)0.920
Reports on the international situation by international organizations0.613
F4-Knowledge about developmentInternational sponsorship programs 0.838
The relationship between education and development 0.685
Challenges for sustainable human development 0.618
F5- Knowledge about responsibilityObjectives of anti-globalization organizations 0.775
External debt0.737
Responsible consumption0.507
F6-Knowledge about solidarityFair trade0.808
Humanitarian aid0.713
F7-Knowledge on projectsThe Millennium Development Goals (MDGs–SDGs)0.899
Objectives and projects of education for development0.569
F8-External changePolitical, social and economic changes in poor countries 0.915
The current global economic system must change0.706
F9-Internal changeOur consumption habits must change0.880
International aid should increase0.687
F10-Personal commitmentActive participation as a member of a development organization 0.861
Volunteering 0.824
F11-Commitment to interventionSponsorship of children from other countries0.825
Policy actions to help poor countries0.660
F12-Economic commitmentDonations to organizations that help poor countries0.902
Purchase of fair trade products0.576
F13-Educational commitmentEducational programmes for development0.874
F14-External motivationBecause the distribution of wealth is unfair 0.898
Because the current situation is unsustainable 0.832
F15-Internal motivationBecause it makes me feel a better person0.943
Because I feel my help is necessary0.561
F16-Global motivationBecause we are part of the problem0.964
Table 5. Relation between indicators and the previous factors.
Table 5. Relation between indicators and the previous factors.
IndicatorsFactorsFactor Loadings
I1-Specific information and ethical commitmentF3-Interest in development0.790
F7-Knowledge about projects0.772
F11-Commitment to intervention0.589
I2-Concern and individual responsibilityF16- Overall motivation0.721
F1-Specific interest 0.675
F9-Internal change0.519
I3- Responsibility of othersF14-External motivation0.891
F8-External change0.633
I4-General information and economic commitmentF2-General interest0.777
F6-Knowledge about solidarity0.533
F5-Knowledge about responsibility0.465
F12-Economic commitment0.444
I5-Proactive involvement with convictionF10-Personal commitment0.799
F15-Internal motivation0.657
I6-Education for developmentF13-Educational commitment0.804
F4-Knowledge about development0.508
Table 6. Opinions of the different groups about the three worst problems facing the world.
Table 6. Opinions of the different groups about the three worst problems facing the world.
ProblemsPassiveConscientiousProactive
Wars and armed conflict15.51%17.54%13.04%
Violation of human rights9.26%10.18%10.63%
Terrorism12.50%9.12%11.59%
Inequality of gender5.32%5.96%8.70%
Degradation of the environment2.55%4.56%1.45%
Economic crisis and unemployment11.57%7.54%9.18%
Natural disasters2.78%1.05%0.97%
Inequality between rich and poor countries5.56%6.32%6.28%
Climate change2.78%4.39%3.86%
Migration2.55%2.98%2.42%
Political corruption7.87%10.53%7.73%
Lack of access to food3.94%4.91%2.90%
Individualism and loss of values3.24%4.91%6.28%
Lack of access to drinking water3.47%2.46%2.90%
Lack of access to health care3.94%2.81%6.76%
Lack of access to education7.18%4.74%5.31%
Table 7. Opinions of the different groups regarding the causes of the world’s problems.
Table 7. Opinions of the different groups regarding the causes of the world’s problems.
CausesPassiveConscientiousProactive
Historical reasons3.47%2.28%5.80%
War and political instability11.81%13.33%13.04%
External debt4.40%2.28%3.38%
Discrimination and social inequality9.72%9.65%9.66%
Vulnerability to natural disasters3.01%1.40%3.86%
Political corruption16.90%15.26%12.08%
Lack of democracy4.63%4.56%4.83%
Insufficient legislation and stability3.24%3.33%2.42%
Labour laws3.47%0.70%5.31%
Lack of access to education5.32%7.37%8.70%
Unemployment11.34%4.91%7.25%
Low national income2.08%2.28%2.42%
Unfair world economy7.41%12.46%7.73%
Rich government policies6.71%9.82%6.76%
Multinational policies4.40%6.14%4.83%
Decisions of big lobbies2.08%4.21%1.93%
Table 8. Opinions of the different groups about the most important aspects of cooperation.
Table 8. Opinions of the different groups about the most important aspects of cooperation.
Cooperation areasPassiveConscientiousProactive
Eradication of poverty16.67%15.61%17.39%
Social cohesion and employment7.41%7.02%4.35%
Achieving the MDGs2.08%1.58%2.90%
Support for institutional reforms3.24%1.58%0.48%
Sustainable energy technologies3.94%4.91%4.83%
Global access to ICT1.16%1.40%2.42%
Help in post-crisis situations7.87%5.79%4.83%
Economic integration4.86%4.91%8.21%
Basic population needs15.51%17.37%16.91%
Protection of human rights11.34%18.60%15.46%
Environmental protection5.79%5.44%7.25%
Infrastructure development4.63%5.26%2.90%
Rural development10.88%7.19%8.70%
Migration and asylum4.63%3.33%3.38%

Share and Cite

MDPI and ACS Style

Gómez-Quintero, J.D.; Gargallo Valero, P.; Miguel Álvarez, J. Who Supports International Development Cooperation in Times of Crisis? Public Opinion in Rural Spain. Sustainability 2019, 11, 2027. https://doi.org/10.3390/su11072027

AMA Style

Gómez-Quintero JD, Gargallo Valero P, Miguel Álvarez J. Who Supports International Development Cooperation in Times of Crisis? Public Opinion in Rural Spain. Sustainability. 2019; 11(7):2027. https://doi.org/10.3390/su11072027

Chicago/Turabian Style

Gómez-Quintero, Juan David, Pilar Gargallo Valero, and Jesús Miguel Álvarez. 2019. "Who Supports International Development Cooperation in Times of Crisis? Public Opinion in Rural Spain" Sustainability 11, no. 7: 2027. https://doi.org/10.3390/su11072027

APA Style

Gómez-Quintero, J. D., Gargallo Valero, P., & Miguel Álvarez, J. (2019). Who Supports International Development Cooperation in Times of Crisis? Public Opinion in Rural Spain. Sustainability, 11(7), 2027. https://doi.org/10.3390/su11072027

Note that from the first issue of 2016, this journal uses article numbers instead of page numbers. See further details here.

Article Metrics

Back to TopTop