Performance Assessment of a Laboratory Scale Prototype Biofiltration System in Tropical Region
Abstract
:1. Introduction
2. Materials and Methods
2.1. Prototype Design and Establishment
2.2. Filter Media
2.3. Synthetic Stormwater
2.4. Plant Selection
2.5. Sampling and Testing
2.6. Analytical Methods
2.7. Statistical Analysis
3. Results and Discussion
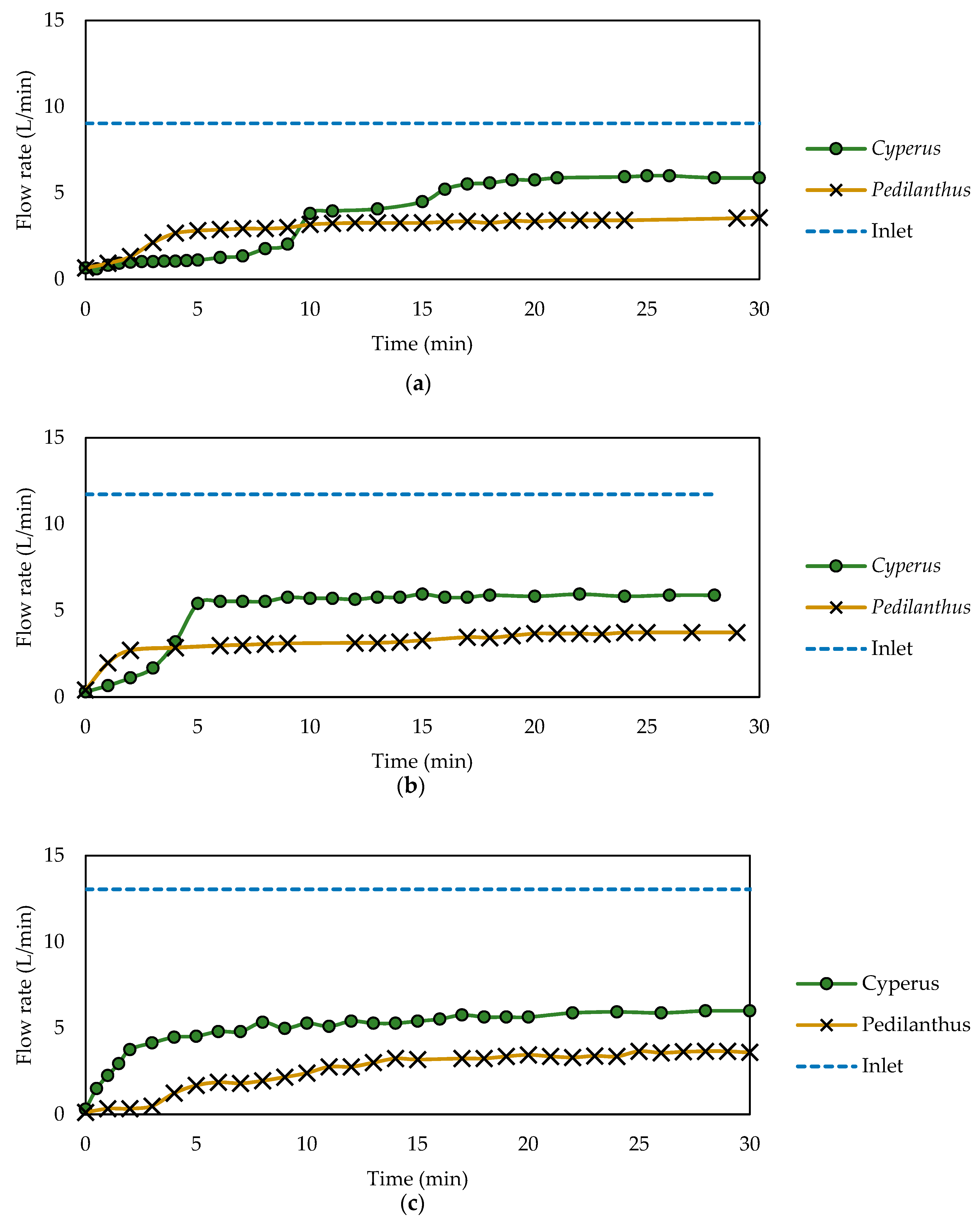
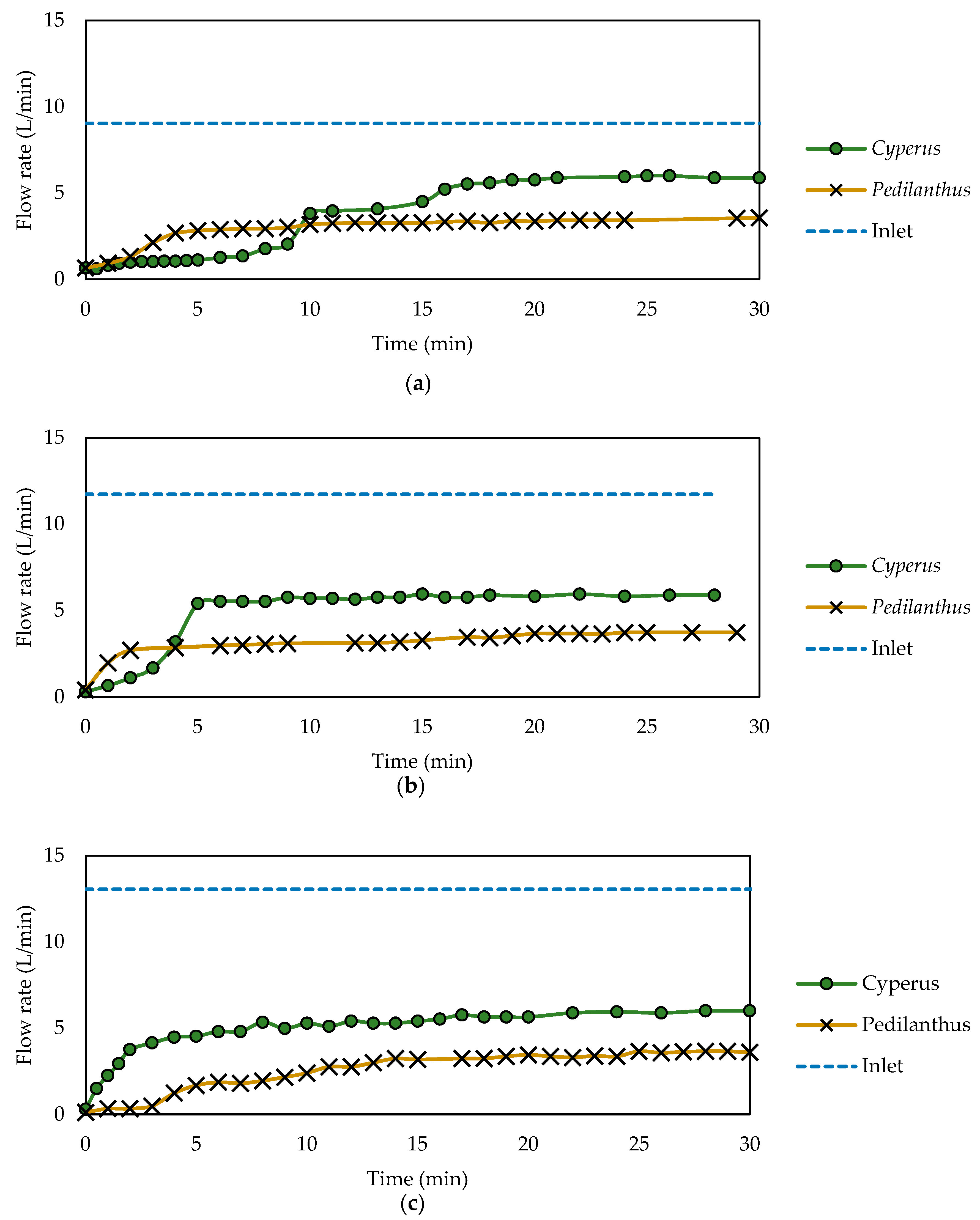
3.1. Hydraulic Performance
3.2. Pollutants Removal
3.2.1. Nutrients
3.2.2. Heavy Metals
4. Conclusions
Author Contributions
Funding
Acknowledgments
Conflicts of Interest
References
- United Nations (UN). World Urbanization Prospects: The 2014 Revision-Highlights; UN: New York, NY, USA, 2014. [Google Scholar]
- Davis, A.P.; Hunt, W.F.; Traver, R.G.; Clar, M. Bioretention technology: Overview of current practice and future needs. J. Environ. Eng. 2009, 135, 109–117. [Google Scholar] [CrossRef]
- Dietz, M.E. Low impact development practices: A review of current research and recommendations for future directions. Water Air Soil Pollut. 2007, 186, 351–363. [Google Scholar] [CrossRef]
- Olszewski, J.M.; Davis, A.P. Comparing the hydrologic performance of a bioretention cell with predevelopment values. J. Irrig. Drain. Eng. 2012, 139, 124–130. [Google Scholar] [CrossRef]
- Davis, A.P.; Shokouhian, M.; Sharma, H.; Minami, C.; Winogradoff, D. Water quality improvement through bioretention: Lead, copper, and zinc removal. Water Environ. Res. 2003, 75, 73–82. [Google Scholar] [CrossRef] [PubMed]
- Hatt, B.; Fletcher, T.; Deletic, A. Pollutant removal performance of field-scale stormwater biofiltration systems. Water Sci. Technol. 2009, 59, 1567–1576. [Google Scholar] [CrossRef]
- Hatt, B.E.; Fletcher, T.D.; Deletic, A. Hydraulic and pollutant removal performance of fine media stormwater filtration systems. Environ. Sci. Technol. 2008, 42, 2535–2541. [Google Scholar] [CrossRef]
- Moglen, G.E. Hydrology and impervious areas. J. Hydrol. Eng. 2009, 14, 303–304. [Google Scholar] [CrossRef]
- Hunt, W.; Jarrett, A.R.; Smith, J.T.; Sharkey, L.J. Evaluating bioretention hydrology and nutrient removal at three field sites in North Carolina. J. Irrig. Drain. Eng. 2006, 132, 600–608. [Google Scholar] [CrossRef]
- Todeschini, S. Hydrologic and environmental impacts of imperviousness in an industrial catchment of northern Italy. J. Hydrol. Eng. J. Hydrol. Eng. 2016, 21, 05016013. [Google Scholar] [CrossRef]
- Ahammed, F. A review of water-sensitive urban design technologies and practices for sustainable stormwater management. Sustain. Water Resour. Manag. 2017, 3, 269–282. [Google Scholar] [CrossRef]
- Bratieres, K.; Fletcher, T.D.; Deletic, A.; Zinger, Y. Nutrient and sediment removal by stormwater biofilters: A large-scale design optimisation study. Water Res. 2008, 42, 3930–3940. [Google Scholar] [CrossRef]
- Chen, X.; Peltier, E.; Sturm, B.S.M.; Young, C.B. Nitrogen removal and nitrifying and denitrifying bacteria quantification in a stormwater bioretention system. Water Res. 2013, 47, 1691–1700. [Google Scholar] [CrossRef]
- Hsieh, C.-H.; Davis, A.P.; Needelman, B.A. Bioretention column studies of phosphorus removal from urban stormwater runoff. Water Environ. Res. 2007, 79, 177–184. [Google Scholar] [CrossRef] [PubMed]
- Kim, H.; Seagren, E.A.; Davis, A.P. Engineered bioretention for removal of nitrate from stormwater runoff. Water Environ. Res. 2003, 75, 355–367. [Google Scholar] [CrossRef]
- Davis, A.P.; Shokouhian, M.; Sharma, H.; Minami, C. Water quality improvement through bioretention media: Nitrogen and phosphorus removal. Water Environ. Res. 2006, 78, 284–293. [Google Scholar] [CrossRef]
- Facility for Advancing Water Biofiltration (FAWB). Adoption Guidelines for Stormwater Biofiltration Systems, Facility for Advancing Water Biofiltration; Version 1; Monash University: Melbourne, Australia, 2009. [Google Scholar]
- MSMA. Manual Saliran Mesra Alam; Department of Irigation and Drainage: Kuala Lumpur, Malaysia, 2012.
- Siriwardene, N.; Deletic, A.; Fletcher, T. Clogging of stormwater gravel infiltration systems and filters: Insights from a laboratory study. Water Res. 2007, 41, 1433–1440. [Google Scholar] [CrossRef]
- Hermawan, A.A.; Chang, J.W.; Pasbakhsh, P.; Hart, F.; Talei, A. Halloysite nanotubes as a fine grained material for heavy metal ions removal in tropical biofiltration systems. Appl. Clay Sci. 2018, 160, 106–115. [Google Scholar] [CrossRef]
- Sileshi, R.; Pitt, R.; Clark, S. Prediction of Flow Rates through Various Stormwater Biofilter Media Mixtures. In Proceedings of the World Environmental and Water Resources Congress 2016, West Palm Beach, FL, USA, 22–26 May 2016. [Google Scholar]
- Kandra, H.S.; McCarthy, D.; Fletcher, T.D.; Deletic, A. Assessment of clogging phenomena in granular filter media used for stormwater treatment. J. Hydrol. 2014, 512, 518–527. [Google Scholar] [CrossRef]
- Le Coustumer, S.; Fletcher, T.D.; Deletic, A.; Barraud, S.; Poelsma, P. The influence of design parameters on clogging of stormwater biofilters: A large-scale column study. Water Res. 2012, 46, 6743–6752. [Google Scholar] [CrossRef] [PubMed]
- Read, J.; Wevill, T.; Fletcher, T.; Deletic, A. Variation among plant species in pollutant removal from stormwater in biofiltration systems. Water Res. 2008, 42, 893–902. [Google Scholar] [CrossRef]
- Payne, E.G.; Pham, T.; Deletic, A.; Hatt, B.E.; Cook, P.L.M.; Fletcher, T.D. Which species? A decision-support tool to guide plant selection in stormwater biofilters. Adv. Water Resour. 2018, 113, 86–99. [Google Scholar] [CrossRef]
- Blecken, G.-T.; Zinger, Y.; Deletić, A.; Fletcher, T.D.; Viklander, M. Impact of a submerged zone and a carbon source on heavy metal removal in stormwater biofilters. Ecol. Eng. 2009, 35, 769–778. [Google Scholar] [CrossRef]
- Goh, H. Mesocosm study of enhanced bioretention media in treating nutrient rich stormwater for mixed development area. Urban Water J. 2017, 14, 134–142. [Google Scholar] [CrossRef]
- Ong, G.; Kalyanaraman, G. Monitoring Singapore’s first bioretention system: Rain garden at Balam Estate. In Proceedings of the WSUD 2012: Water Sensitive Urban Design; Building the Water Sensiitve Community, 7th International Conference on Water Sensitive Urban Design, Melbourne, Australia, 21–23 February 2012. [Google Scholar]
- Salih, G.H.A.; Adnan, S.N.B.; Perumulselum, P. Removal of Pollutants using Bio-filtration with Three Different Plants as Bio-filter. J. Energy Environ. 2017, 9, 47–50. [Google Scholar]
- Payne, E. Adoption Guidelines for Stormwater Biofiltration Systems—Summary Report; Cooperative Research Centre for Water Sensitive Cities: Melbourne, Australia, 2015. [Google Scholar]
- ASTM Standard. Standard Test Method for Sieve Analysis of Fine and Coarse Aggregates; ASTM International: West Conshohocken, PA, USA, 1998. [Google Scholar]
- Duncan, H. Urban Stormwater Quality: A Statistical Overview; CRC for Catchment Hydrology: Clayton, Australia, 1999. [Google Scholar]
- Taylor, G.D.; Fletcher, T.D. Nitrogen composition in urban runoff—Implications for stormwater management. Water Res. 2005, 39, 1982–1989. [Google Scholar] [CrossRef]
- Yusop, Z.; Tan, L.W.; Ujang, Z.; Mohamed, M.; Nasir, K.A. Runoff quality and pollution loadings from a tropical urban catchment. Water Sci. Technol. 2005, 52, 125–132. [Google Scholar] [CrossRef]
- ASTM D2434-68. Standard Test Method for Permeability of Granular Soils (Constant Head); ASTM International: West Conshohocken, PA, USA, 2006. [Google Scholar]
- Ghasemi, A.; Zahediasl, S. Normality tests for statistical analysis: A guide for non-statisticians. Int. J. Endocrinol. Metab. 2012, 10, 486. [Google Scholar] [CrossRef] [PubMed]
- Thode, H.C. Testing for Normality; CRC Press: Boca Raton, FL, USA, 2002. [Google Scholar]
- McKight, P.E.; Najab, J. The Corsini Encyclopedia of Psychology; Kruskal-Wallis Test; John Wiley & Sons: New York, NY, USA, 2010; p. 1. [Google Scholar]
- Zar, J.H. Biostatistical Analysis: Pearson New International Edition; Pearson Higher Ed.: London, UK, 2013. [Google Scholar]
- Dinno, A. Nonparametric pairwise multiple comparisons in independent groups using Dunn’s test. Stata J. 2015. [Google Scholar] [CrossRef]
- Hatt, B.E.; Fletcher, T.D.; Deletic, A. Hydrologic and pollutant removal performance of stormwater biofiltration systems at the field scale. J. Hydrol. 2009, 365, 310–321. [Google Scholar] [CrossRef]
- Hunt, W.; Smith, J.T.; Jadlocki, S.J.; Hathaway, J.M.; Eubanks, P.R. Pollutant removal and peak flow mitigation by a bioretention cell in urban Charlotte, NC. J. Environ. Eng. 2008, 134, 403–408. [Google Scholar] [CrossRef]
- Hermawan, A.A.; Talei, A. Removal Process of Nutrients and Heavy Metals in Tropical Biofilters. In Proceedings of the International Conference on Civil and Environmental Engineering, ICCEE2018, Kuala Lumpur, Malaysia, 2–5 October 2018. E3S Web of Conferences: Vol. 65. [Google Scholar]
- Li, L.; Davis, A.P. Urban Stormwater Runoff Nitrogen Composition and Fate in Bioretention Systems. Environ. Sci. Technol. 2014, 48, 3403–3410. [Google Scholar] [CrossRef]
- Glaister, B.J. Interactions between design, plant growth and the treatment performance of stormwater biofilters. Ecol. Eng. 2017, 105, 21–31. [Google Scholar] [CrossRef]
- Morse, N.; Payne, E. Plant-microbe interactions drive denitrification rates, dissolved nitrogen removal, and the abundance of denitrification genes in stormwater control measures. Environ. Sci. Technol. 2018, 52, 9320–9329. [Google Scholar] [CrossRef]
- Morse, N.R.; McPhillips, L.E. The role of denitrification in stormwater detention basin treatment of nitrogen. Environ. Sci. Technol. 2017, 51, 7928–7935. [Google Scholar] [CrossRef] [PubMed]
- Roy-Poirier, A.; Champagne, P.; Filion, Y. Bioretention processes for phosphorus pollution control. Environ. Rev. 2010, 18, 159–173. [Google Scholar] [CrossRef]
- Jay, J.G.; Brown, S.L.; Kurtz, K.; Grothkopp, F. Predictors of Phosphorus Leaching from Bioretention Soil Media. J. Environ. Qual. 2017, 46, 1098–1105. [Google Scholar] [CrossRef]
- Wang, M.; Zhang, D. Effect of a Submerged Zone and Carbon Source on Nutrient and Metal Removal for Stormwater by Bioretention Cells. Water 2018, 10, 1629. [Google Scholar] [CrossRef]
- Brix, H. Functions of Macrophytes in Constructed Wetlands. Water Sci. Technol. 1994, 29, 71–78. [Google Scholar] [CrossRef]
- Passeport, E.; Hunt, W. Field study of the ability of two grassed bioretention cells to reduce storm-water runoff pollution. J. Irrig. Drain. Eng. 2009, 135, 505–510. [Google Scholar] [CrossRef]
- Lucke, T.; Nichols, P.W. The pollution removal and stormwater reduction performance of street-side bioretention basins after ten years in operation. Sci. Total Environ. 2015, 536, 784–792. [Google Scholar] [CrossRef]
- Al-Ameri, M.; Hatt, B. Accumulation of heavy metals in stormwater bioretention media: A field study of temporal and spatial variation. J. Hydrol. 2018, 567, 721–731. [Google Scholar] [CrossRef]
- Lim, H.S.; Limb, W. Comparison of filter media materials for heavy metal removal from urban stormwater runoff using biofiltration systems. J. Environ. Manag. 2015, 147, 24–33. [Google Scholar] [CrossRef] [PubMed]
- Reddy, K.R.; Xie, T.; Dastgheibi, S. Removal of heavy metals from urban stormwater runoff using different filter materials. J. Environ. Chem. Eng. 2014, 2, 282–292. [Google Scholar] [CrossRef]
- Wang, J.; Zhao, Y. Removal of Heavy Metals from Urban Stormwater Runoff Using Bioretention Media Mix. Water 2017, 9, 854. [Google Scholar] [CrossRef]
- Zhang, W.; Brown, G.; Storm, D. Enhancement of heavy metals retention in sandy soil by amendment with fly ash. Trans. ASABE 2008, 51, 1247–1254. [Google Scholar] [CrossRef]
- Mohan, S.; Gandhimathi, R. Removal of heavy metal ions from municipal solid waste leachate using coal fly ash as an adsorbent. J. Hazard. Mater. 2009, 169, 351–359. [Google Scholar] [CrossRef]
- Babel, S.; Kurniawan, T.A. Low-cost adsorbents for heavy metals uptake from contaminated water: A review. J. Hazard. Mater. 2003, 97, 219–243. [Google Scholar] [CrossRef]
- Fassman, E. Stormwater BMP treatment performance variability for sediment and heavy metals. Sep. Purif. Technol. 2012, 84, 95–103. [Google Scholar] [CrossRef]
- Hatt, B.E.; Steinel, A.; Deletic, A.; Fletcher, T.D. Retention of heavy metals by stormwater filtration systems: Breakthrough analysis. Water Sci. Technol. 2011, 64, 1913–1919. [Google Scholar] [CrossRef]
- Li, H.; Davis, A.P. Heavy metal capture and accumulation in bioretention media. Environ. Sci. Technol. 2008, 42, 5247–5253. [Google Scholar] [CrossRef]







| Parameter | Chemical Salt | Target Concentration (mg/L) |
|---|---|---|
| TN * (as N) | NH4Cl | 4.32 |
| KNO3 | ||
| C6H5NO2 | ||
| TP ** (as PO43−) | KH2PO4 | 1.12 |
| Zn | ZnCl2 | 0.25 |
| Cu | CuSO4·5H2O | 0.15 |
| Pb | Pb(NO3)2 | 0.14 |
| Ni | Ni(NO3)2·6H2O | 0.03 |
| Fe | Fe(NO3)3·9H2O | 0.86 |
| Mn | Mn(NO3)2·xH2O | 0.23 |
| Round | Plant | Inlet Flow (L/min) | Overflown Volume (L) | Infiltration Rate (mm/h) | Stormwater Retention Performance (%) |
|---|---|---|---|---|---|
| 1 | Cyperus | 9.0 | 0.0 | 289.4 | 100.0 |
| Pedilanthus | 9.0 | 46.8 | 236.0 | 92.2 | |
| 2 | Cyperus | 11.7 | 0.0 | 375.4 | 100.0 |
| Pedilanthus | 11.8 | 59.2 | 295.6 | 90.1 | |
| 3 | Cyperus | 12.7 | 28.4 | 350.2 | 95.3 |
| Pedilanthus | 13.0 | 112.2 | 269.4 | 81.3 |
| Depth (mm) | n | Min | Max | Mean | Std. dev. | CRE (%) | |
|---|---|---|---|---|---|---|---|
| Cyperus (p = 0.30) | 0 * | 11 | 3.00 | 5.50 | 4.07 | 0.73 | 0.0% |
| 100 | 16 | 2.10 | 7.80 | 4.31 | 1.50 | −5.9% | |
| 250 | 18 | 2.50 | 5.40 | 3.99 | 0.92 | 2.0% | |
| 400 | 14 | 2.60 | 4.20 | 3.53 | 0.40 | 13.3% | |
| 800 ** | 5 | 2.90 | 4.90 | 3.68 | 0.81 | 9.6% | |
| Pedilanthus (p = 0.15) | 0 * | 10 | 4.00 | 5.40 | 4.56 | 0.44 | 0.0% |
| 100 | 17 | 3.40 | 8.30 | 5.41 | 1.25 | −18.6% | |
| 250 | 17 | 2.80 | 6.30 | 4.72 | 1.22 | −3.5% | |
| 400 | 17 | 2.60 | 7.60 | 4.48 | 1.42 | 1.75% | |
| 800 ** | 4 | 5.00 | 5.40 | 5.20 | 0.16 | −14.0% |
| Depth (mm) | n | Min | Max | Mean | Std. dev. | CRE (%) | |
|---|---|---|---|---|---|---|---|
| Cyperus (p < 0.0001) | 0 | 9 | 1.33 | 1.90 | 1.56 | 0.19 | 0.0% |
| 100 | 13 | 0.70 | 1.20 | 0.89 | 0.13 | 42.9% | |
| 250 | 15 | 0.61 | 1.10 | 0.84 | 0.14 | 46.2% | |
| 400 | 13 | 0.38 | 1.07 | 0.75 | 0.17 | 51.9% | |
| 800 | 4 | 0.35 | 0.66 | 0.51 | 0.13 | 67.3% | |
| Pedilanthus (p < 0.0001) | 0 | 9 | 1.38 | 1.79 | 1.60 | 0.14 | 0.0% |
| 100 | 14 | 0.33 | 1.85 | 1.16 | 0.38 | 27.5% | |
| 250 | 15 | 0.54 | 1.18 | 0.85 | 0.19 | 46.9% | |
| 400 | 14 | 0.45 | 1.16 | 0.80 | 0.19 | 50.0% | |
| 800 | 5 | 0.37 | 0.79 | 0.60 | 0.18 | 62.5% |
| TP | Depth (mm) | 0 | 100 | 250 | 400 | 800 |
|---|---|---|---|---|---|---|
| Cyperus | 0 | 1 | 0.0025 | 0.0004 | <0.0001 | <0.0001 |
| 100 | 0.0025 | 1 | 0.6002 | 0.0776 | 0.0051 | |
| 250 | 0.0004 | 0.6002 | 1 | 0.1928 | 0.0127 | |
| 400 | <0.0001 | 0.0776 | 0.1928 | 1 | 0.1121 | |
| 800 | <0.0001 | 0.0051 | 0.0127 | 0.1121 | 1 | |
| Pedilanthus | 0 | 1 | 0.0515 | <0.0001 | <0.0001 | <0.0001 |
| 100 | 0.0515 | 1 | 0.0205 | 0.0055 | 0.0016 | |
| 250 | <0.0001 | 0.0205 | 1 | 0.6100 | 0.1302 | |
| 400 | <0.0001 | 0.0055 | 0.6100 | 1 | 0.2559 | |
| 800 | <0.0001 | 0.0016 | 0.1302 | 0.2559 | 1 |
| Inlet Concentration (mg/L) | Outlet Concentration (mg/L) | Overall CRE (%) | ||||
|---|---|---|---|---|---|---|
| Pollutant | Cyperus | Pedilanthus | Cyperus | Pedilanthus | Cyperus | Pedilanthus |
| Cu | 0.122 | 0.122 | 0.002 | 0.001 | 98.4% | 99.5% |
| Fe | 0.783 | 0.779 | 0.387 | 0.186 | 50.6% | 76.1% |
| Mn | 0.153 | 0.146 | 0.005 | 0.005 | 96.7% | 96.6% |
| Ni | 0.027 | 0.025 | 0.002 | 0.002 | 92.5% | 91.9% |
| Pb | 0.119 | 0.118 | 0.005 | 0.004 | 96.1% | 96.6% |
| Zn | 0.152 | 0.145 | 0.001 | 0.000 | 99.5% | 100.0% |
| Depth (mm) | n | Min | Max | Mean | Std. dev. | CRE (%) | |
|---|---|---|---|---|---|---|---|
| Cyperus (p < 0.0001) | 0 | 12 | 0.114 | 0.131 | 0.122 | 0.006 | 0.0 |
| 100 | 14 | 0.002 | 0.011 | 0.006 | 0.002 | 95.1 | |
| 250 | 18 | 0.002 | 0.007 | 0.005 | 0.002 | 95.9 | |
| 400 | 18 | 0.001 | 0.007 | 0.004 | 0.002 | 96.7 | |
| 800 | 6 | 0.000 | 0.005 | 0.002 | 0.002 | 98.4 | |
| Pedilanthus (p < 0.0001) | 0 | 12 | 0.114 | 0.138 | 0.122 | 0.007 | 0.0 |
| 100 | 13 | 0.010 | 0.040 | 0.023 | 0.010 | 81.1 | |
| 250 | 18 | 0.002 | 0.014 | 0.007 | 0.004 | 94.3 | |
| 400 | 15 | 0.001 | 0.007 | 0.004 | 0.002 | 96.7 | |
| 800 | 6 | 0.000 | 0.001 | 0.001 | 0.001 | 99.2 |
© 2019 by the authors. Licensee MDPI, Basel, Switzerland. This article is an open access article distributed under the terms and conditions of the Creative Commons Attribution (CC BY) license (http://creativecommons.org/licenses/by/4.0/).
Share and Cite
Hermawan, A.A.; Talei, A.; Leong, J.Y.C.; Jayatharan, M.; Goh, H.W.; Alaghmand, S. Performance Assessment of a Laboratory Scale Prototype Biofiltration System in Tropical Region. Sustainability 2019, 11, 1947. https://doi.org/10.3390/su11071947
Hermawan AA, Talei A, Leong JYC, Jayatharan M, Goh HW, Alaghmand S. Performance Assessment of a Laboratory Scale Prototype Biofiltration System in Tropical Region. Sustainability. 2019; 11(7):1947. https://doi.org/10.3390/su11071947
Chicago/Turabian StyleHermawan, Andreas Aditya, Amin Talei, Janet Yip Cheng Leong, Mayuran Jayatharan, Hui Weng Goh, and Sina Alaghmand. 2019. "Performance Assessment of a Laboratory Scale Prototype Biofiltration System in Tropical Region" Sustainability 11, no. 7: 1947. https://doi.org/10.3390/su11071947
APA StyleHermawan, A. A., Talei, A., Leong, J. Y. C., Jayatharan, M., Goh, H. W., & Alaghmand, S. (2019). Performance Assessment of a Laboratory Scale Prototype Biofiltration System in Tropical Region. Sustainability, 11(7), 1947. https://doi.org/10.3390/su11071947

