Spatial–Temporal Analysis of Urban Land-Use Efficiency: An Analytical Framework in Terms of Economic Transition and Spatiality
Abstract
1. Introduction
2. An Analytical Framework
2.1. Economic Transition and Land-Use Efficiency
2.2. Construction of the Conceptual Framework
3. Research Setting and Methods
3.1. Study Area and Data
3.2. Methods
3.2.1. Kernel Density Estimation (KDE)
3.2.2. Exploratory Spatial Data Analysis
3.2.3. Panel Data Regression Analysis
3.2.4. Variables
4. Results
4.1. Distributional Dynamics of Land-Use Efficiency
4.2. Spatial Heterogeneity of Land-Use Efficiency
4.3. Economic Transition and Land-Use Efficiency: Evidence from Panel Data Analysis
4.3.1. Results of Static Panel Data Analysis
4.3.2. Robustness Test
5. Conclusions and Implications
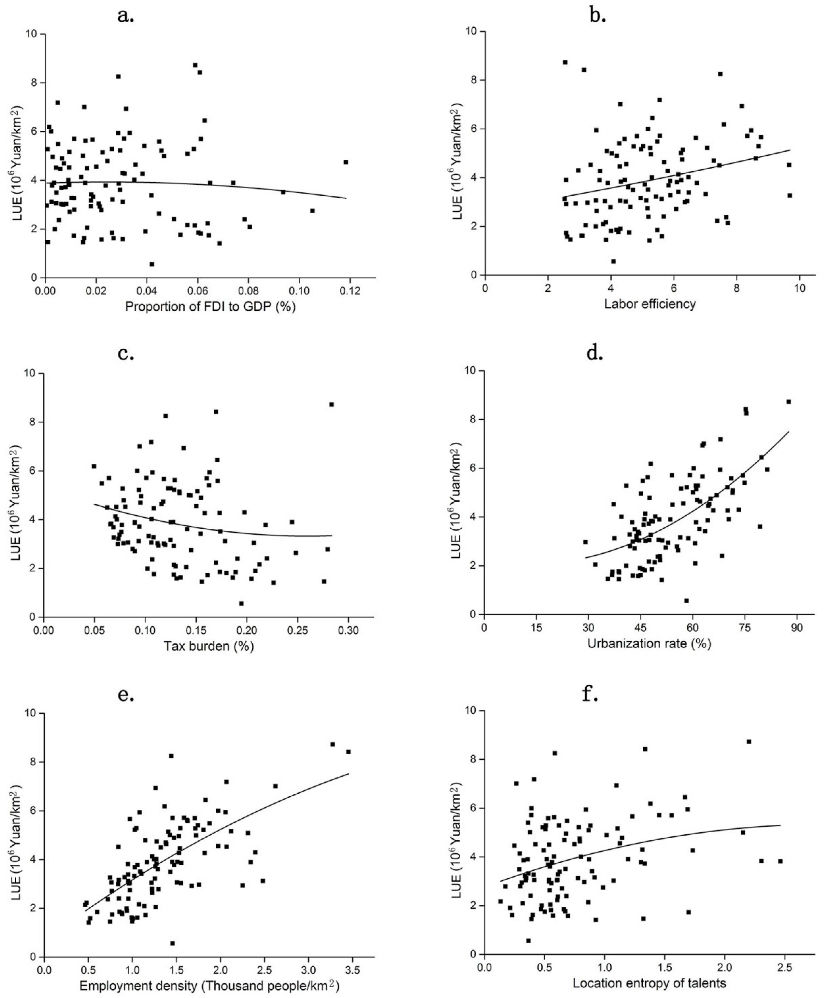
- A rational use of foreign capital and strengthening of technological innovation. Capital flows from outside the country impose significant impacts on urban land expansion and land-use efficiency. Local governments should introduce FDI reasonably, and guide industrial agglomeration properly. The construction of industrial districts and development zones should avoid blind expansion, and satisfy the requirements of regional market development. Besides, strengthening technological innovation is important in the process of globalization. As urban managers, local officials need to seek innovative ways to stimulate economic growth, and improve LUE through the upgrading of technics, cultivation of talents, improvement in labor productivity promotion, and so on.
- Further improvements to the land market mechanism and financial management mechanism. The paid use of land and free pricing under the market mechanism help improve LUE. For the future development of the land market, the land pricing mechanism needs to be gradually improved. The role of market regulation and price constraints should be fully utilized to explore the competitive land prices, especially the price of industrial land. In addition, a balance of the fiscal revenue power and expenditure responsibility between central and local governments needs to be realized through tax reforms. Meanwhile, the central government should increase fiscal transfer payments to poor regions, so as to alleviate their tax burdens in urban development.
- Transformation of the developing concept of urbanization and the development of differentiated land-use policies. With the contradiction between more populations and less land, urban development should pursue smart growth. The process of urbanization should be built on a coordinated relationship between population and land. At the same time, the governments should focus on cultivating urban agglomerations and industrial belts, and gradually strengthen the spatial spillover effects of core cities. For developed cities, the land-use efficiency should be further improved through the transformation and upgrading of industries. For underdeveloped areas, it is necessary to cultivate bigger cities gradually to realize a spatial spillover effect. In addition, the government ought to further strengthen land reclamation, and continuously improve the utilization efficiency of urban land.
Author Contributions
Acknowledgments
Conflicts of Interest
References
- Turner, B.L.; Meyer, W.B.; Skole, D.L. Global land-use/land-cover change: Towards an integrated study. Ambio: A J. Hum. Environ. 1994, 23, 91–95. [Google Scholar]
- Michael, F.L.; Noor, Z.Z.; Figueroa, M.J. Review of urban sustainability indicators assessment - Case study between Asian countries. Habitat Int. 2014, 44, 491–500. [Google Scholar] [CrossRef]
- La Rosa, D.; Barbarossa, L.; Privitera, R.; Martinico, F. Agriculture and the city: A method for sustainable planning of new forms of agriculture in urban contexts. Land Use Pol. 2014, 41, 290–303. [Google Scholar] [CrossRef]
- Brown, L.R. Who Will Feed China? Wake-up Call for a Small Planet; Earthscan Publications: London, UK, 1995. [Google Scholar]
- Scolozzi, R.; Geneletti, D. A multi-scale qualitative approach to assess the impact of urbanization on natural habitats and their connectivity. Environ. Impact Assess. Rev. 2012, 36, 9–22. [Google Scholar] [CrossRef]
- Steeneveld, G.J.; Koopmans, S.; Heusinkveld, B.G.; van Hove, L.W.A.; Holtslag, A.A.M. Quantifying urban heat island effects and human comfort for cities of variable size and urban morphology in the Netherlands. J. Geophys. Res. 2011, 116. [Google Scholar] [CrossRef]
- Tan, P.; Chou, C.; Chou, C.C.K. Impact of urbanization on the air pollution “holiday effect” in Taiwan. Atmos. Environ. 2013, 70, 361–375. [Google Scholar] [CrossRef]
- Hui, E.C.M.; Wu, Y.; Deng, L.; Zheng, B. Analysis on coupling relationship of urban scale and intensive use of land in China. Cities 2015, 42, 63–69. [Google Scholar] [CrossRef]
- Burchell, R. Economic and fiscal costs (and benefits) of sprawl. Urban Lawyer. 1997, 29, 159–181. [Google Scholar]
- Gabriel, S.A.; Faria, J.A.; Moglen, G.E. A multiobjective optimization approach to smart growth in land development. Socio-Econ. Plan. Sci. 2006, 40, 212–248. [Google Scholar] [CrossRef]
- Hepinstall-Cymerman, J.; Coe, S.; Hutyra, L.R. Urban growth patterns and growth management boundaries in the Central Puget Sound, Washington, 1986–2007. Urban Ecosyst. 2013, 16, 109–129. [Google Scholar] [CrossRef]
- Long, H.; Li, Y.; Liu, Y.; Woods, M.; Zou, J. Accelerated restructuring in rural China fueled by “increasing vs. decreasing balance” land-use policy for dealing with hollowed villages. Land Use Pol. 2012, 29, 11–22. [Google Scholar] [CrossRef]
- Ding, C. Building height restrictions, land development and economic costs. Land Use Pol. 2013, 30, 485–495. [Google Scholar] [CrossRef]
- Li, H.; Wei, Y.D.; Liao, F.H.; Huang, Z. Administrative hierarchy and urban land expansion in transitional China. Appl. Geogr. 2015, 56, 177–186. [Google Scholar] [CrossRef]
- Zhang, Q.; Su, S. Determinants of urban expansion and their relative importance: A comparative analysis of 30 major metropolitans in China. Habitat Int. 2016, 58, 89–107. [Google Scholar] [CrossRef]
- Zhang, S. Land-centered urban politics in transitional China—Can they be explained by Growth Machine Theory? Cities 2014, 41, 179–186. [Google Scholar] [CrossRef]
- Zhong, T.; Huang, X.; Wang, B. On the degrees of decoupling and recoupling of economic growth and expansion of construction land in China from 2002–2007. J. Nat. Resour. 2010, 25, 18–31. [Google Scholar]
- Wang, L.J.; Li, H.; Shi, C. Urban land-use efficiency, spatial spillover, and determinants in China. Acta Geogr. Sin. 2015, 70, 1788–1799. [Google Scholar]
- Lu, X.H.; Chen, D.L.; Kuang, B. Coupling effect of industrial integration and urban land use effciency: Taking the urban agglomeration of the middle reaches of the Yangtze River as a case. China Land Sci. 2018, 32, 66–73. [Google Scholar]
- Feng, K.; Wu, C.F.; Lu, Z.W.; Bei, H.L. Discussions about spatial-temporal characters and the law of land use efficiency distribution—Evidence from provincial panel data in China. Econ. Geogr. 2008, 28, 817–820. [Google Scholar]
- Behan, K.; Maoh, H.; Kanaroglou, P. Simulating and evaluating smart growth strategies: Evidence from the CMA of Hamilton, Ontario. Can. Geogr. 2008, 52, 291–308. [Google Scholar] [CrossRef]
- Miller, E.J.; Douglas Hunt, J.; Abraham, J.E.; Salvini, P.A. Microsimulating urban systems. Comput. Environ. Urban Syst. 2004, 28, 9–44. [Google Scholar] [CrossRef]
- Wei, Y.H.D. Regional development in China: Transitional institutions, embedded globalization, and hybrid economies. Eurasian Geogr. Econ. 2007, 48, 16–36. [Google Scholar] [CrossRef]
- Wu, L.; Wu, W.; Wu, T. From the world urbanization trends to see China’s urbanization development. Sci. News. 2003, 17, 7–8. [Google Scholar]
- He, C.; Huang, Z.; Wang, R. Land use change and economic growth in urban China: A structural equation analysis. Urban Stud. 2014, 51, 2880–2898. [Google Scholar] [CrossRef]
- Ping, Y.C. Explaining land use change in a Guangdong county: The supply side of the story. China Q. 2011, 207, 626–648. [Google Scholar] [CrossRef]
- Skonhoft, A.; Solem, H. Economic growth and land-use changes: The declining amount of wilderness land in Norway. Ecol. Econ. 2001, 37, 289–301. [Google Scholar] [CrossRef]
- Lambin, E.F.; Geist, H.J. Global land-use and land-cover change: What have we learned so far? Glob. Chang. Newsl. 2001, 46, 27–30. [Google Scholar]
- Chen, W.; Yan, C.; Wu, Q.; Li, Y. Study on the contribution of land element to economic growth of development zones: Based on panel data estimation and measurement in Jiangsu province. Areal Res. Dev. 2011, 30, 146–149. [Google Scholar]
- Liu, T.; Cao, G.; Yan, Y.; Wang, R.Y. Urban land marketization in China: Central policy, local initiative, and market mechanism. Land Use Pol. 2016, 57, 265–276. [Google Scholar] [CrossRef]
- Du, J.F.; Thill, J.C.; Peiser, R.B.; Feng, C.C. Urban land market and land-use changes in post-reform China: A case study of Beijing. Landsc. Urban Plan. 2014, 124, 118–128. [Google Scholar] [CrossRef]
- Zeng, C.; Zhang, A.; Liu, L.; Liu, Y. Administrative restructuring and land-use intensity—A spatial explicit perspective. Land Use Pol. 2017, 67, 190–199. [Google Scholar] [CrossRef]
- Tu, F.; Yu, X.; Ruan, J. Industrial land use efficiency under government intervention: Evidence from Hangzhou, China. Habitat Int. 2014, 43, 1–10. [Google Scholar] [CrossRef]
- Liu, Y.; Fan, P.; Yue, W.; Song, Y. Impacts of land finance on urban sprawl in China: The case of Chongqing. Land Use Pol. 2018, 72, 420–432. [Google Scholar] [CrossRef]
- Pan, A.; Liu, Y. The degree of imbalance between population urbanization and land urbanization of Xiangjiang river basin. Econ. Geogr. 2014, 34, 63–68. [Google Scholar]
- Wey, W. Smart growth and transit-oriented development planning in site selection for a new metro transit station in Taipei, Taiwan. Habitat Int. 2015, 47, 158–168. [Google Scholar] [CrossRef]
- Zhou, D.; Xu, J.; Wang, L.; Lin, Z. Assessing urbanization quality using structure and function analyses: A case study of the urban agglomeration around Hangzhou Bay (UAHB), China. Habitat Int. 2015, 49, 165–176. [Google Scholar] [CrossRef]
- Wei, Y.D. Spatiality of regional inequality. Appl. Geogr. 2015, 61, 1–10. [Google Scholar] [CrossRef]
- He, C.; Liu, Z.; Wang, L. Economic transition and convergence of regional industrial structure in China. Acta Geogr. Sin. 2008, 63, 807–819. [Google Scholar]
- Zhu, H. The mechanism and course of economical activity spatial agglomeration of new economical geography and its significance. Econ. Geogr. 2005, 25, 753–756. [Google Scholar]
- Myrdal, G. Economic Theory and Under-Developed Regions; Ducksworth: London, UK, 1957. [Google Scholar]
- Yang, G.S.; Xu, X.B.; Li, P.X. Research on the construction of green ecological corridors in the Yangtze River Economic Belt. Progress Geogr. 2015, 34, 1356–1367. [Google Scholar]
- National Bureau of Statistics of China. Available online: http://www.yearbookchina.com (accessed on 25 March 2019).
- Botev, Z.I.; Grotowski, J.F.; Kroese, D.P. Kernel density estimation via diffusion. Ann. Stat. 2010, 38, 2916–2957. [Google Scholar] [CrossRef]
- Shi, Z.L.; Huang, Z.H. A dynamic analysis of the economic growth on the provincial level in China: Based on Kernel density estimation method. Econ. Surv. 2009, 4, 60–63. [Google Scholar]
- Sun, C.Z.; Li, X. Dynamic evolution analysis of China’s marine economy development based on Kernel density estimation. Econ. Geogr. 2015, 35, 96–103. [Google Scholar]
- Ni, P.; Kresl, P.; Li, X. China urban competitiveness in industrialization: Based on the panel data of 25 cities in China from 1990 to 2009. Urban Stud. 2014, 51, 2787–2805. [Google Scholar] [CrossRef]
- Baltagi, B.H. Testing for random individual and time effects using a Gauss-Newton regression. Econ. Lett. 1996, 50, 189–192. [Google Scholar] [CrossRef]
- Sun, X.H.; Li, M.S.; Wang, Y. Marketization process and regional economic development differences. J. Quant. Tech. Econ. 2015, 32, 39–55. [Google Scholar]
- Arellano, M.; Bond, S. Some tests of specification for panel data: Monte carlo evidence and an application to employment equations. Rev. Econ. Stud. 1991, 58, 277–297. [Google Scholar] [CrossRef]
- Blundell, R.; Bond, S. Initial conditions and moment restrictions in dynamic panel data models. J. Econom. 1998, 87, 115–143. [Google Scholar] [CrossRef]
- Zhang, W.; Wang, W.; Li, X.; Ye, F. Economic development and farmland protection: An assessment of rewarded land conversion quotas trading in Zhejiang, China. Land Use Pol. 2014, 38, 467–476. [Google Scholar] [CrossRef]
- Wei, Y.D.; Yuan, F.; Liao, H. Spatial mismatch and determinants of foreign and domestic ICT firms in China. Prof. Geogr. 2013, 65, 247–264. [Google Scholar] [CrossRef]
- Jia, J.; Guo, Q. The effects of intergovernmental assignment of public revenue and expenditure responsibility on the regional economic growth. Econ. Res. J. 2008, 6, 37–49. [Google Scholar]
- Huang, M.Y.; Yue, W.Z.; He, X. Decoupling relationship between urban expansion and economic growth and its spatial heterogeneity in the Yangtze Economic Belt. J. Nat. Resour. 2017, 33, 219–232. [Google Scholar]
- Li, H.; Wei, Y.D.; Zhou, Y. Spatiotemporal analysis of land development in transitional China. Habitat Int. 2017, 67, 79–95. [Google Scholar] [CrossRef]
- Guo, Q.W.; Jia, J.X. Fiscal decentralization, government structure and local government’s expenditure size. Econ. Res. J. 2010, 45, 59–72. [Google Scholar]








| Variables | Definition | Abbreviation |
|---|---|---|
| Land-use efficiency | Non-agricultural output value/the area of cities, towns, and transportation space [108 Yuan/km2 (log)] | LUE |
| Globalization | Regional foreign direct investment/gross domestic production (%) | RFDI |
| Marketization | (The number of non-agricultural employees/non-agricultural output value)/average wages of staff and workers (%) | LE |
| Decentralization | Per-capita fiscal expenditure of prefecture-level cities/the sum of per-capita fiscal expenditure of prefecture-level cities, provinces, and the central government (%) | FEDEC |
| Tax revenue/gross domestic production (%) | TAXB | |
| Urbanization | Added value of the secondary industry/added value of the tertiary industry (%) | IDU |
| Number of population in cities and towns/total number of population (%) | URB | |
| Agglomeration | The number of non-agricultural employees/construction land area [person/km2 (log)] | EMD |
| (Technical employees/urban non-agricultural employees)/(total technical employees/total urban non-agricultural employees in the whole region) (%) | TLE | |
| Location | Per-capita gross domestic production [Yuan/person (log)] | AGDP |
| Control variable | Population density (person/km2) | POPD |
| Variables | LLC | IPS | ADF | PP |
|---|---|---|---|---|
| RFDI | −24.737 *** | −7.734 *** | 4.366 *** | 17.228 *** |
| LE | −42.2237 *** | −34.874 *** | 5.979 *** | 1.938 ** |
| FEDEC | −19.099 *** | −12.783 *** | 6.606 *** | 38.017 *** |
| TAXB | −6.517 *** | −2.186 ** | 5.677 *** | 2.614 *** |
| IDU | −28.081 *** | −3.573 *** | 24.986 *** | 5.451 *** |
| URB | −41.108 *** | −5.517 *** | 33.189 *** | 11.367 *** |
| TLE | −30.425 *** | −38.496 *** | 6.873 *** | 17.473 *** |
| EMD | −2.224 ** | −19.524 *** | 7.486 *** | 2.162 ** |
| AGDP | −19.469 *** | −8.029 *** | 30.816 *** | 9.481 *** |
| POPD | −18.871 *** | −4.253 *** | 9.909 *** | 10.253 *** |
| Method | OLS | Fixed effects | TSLS |
|---|---|---|---|
| RFDI | −1.8147 *** (−2.74) | −0.6408 *** (−2.94) | −0.8455 ** (−2.70) |
| LE | 0.0796 *** (11.12) | 0.0568 *** (10.39) | 0.0605 *** (9.09) |
| FEDEC | 0.4051 (1.54) | 0.3252 *** (3.42) | 0.5577 *** (3.62) |
| TAXB | −1.8204 *** (−2.73) | −0.9455 *** (−4.76) | −0.7557 *** (−3.16) |
| IDU | 0.0037 (0.18) | 0.1401 *** (6.71) | 0.0831 *** (3.37) |
| URB | −0.0030 (−1.24) | 0.0037 * (1.67) | 0.0012 (0.47) |
| TLE | 0.0701 ** (2.44) | 0.0207 ** (1.95) | 0.0222 ** (2.14) |
| EMD | 0.6746 *** (14.65) | 0.5397 *** (18.15) | 0.4936 *** (13.49) |
| AGDP | 0.3947 *** (8.54) | 0.2091 *** (4.31) | 0.1783 *** (3.52) |
| POPD | 0.0204 *** (4.79) | 0.0031 (0.14) | 0.0004 (0.02) |
| Constant | −8.6946 *** (−18.58) | −6.2149 *** (−12.82) | |
| Time effects | Yes | Yes | Yes |
| R2 (overall) | 0.8486 | 0.7975 | 0.9534 |
| Kleibergen–Paap LM | 29.959 *** | ||
| Hansen J | 10.350 | ||
| Observations | 1080 | 1080 | 864 |
| Method | OLS | Fixed-effects | Sys-GMM |
|---|---|---|---|
| (lnLUE)t-1 | 0.9358 *** (19.84) | 0.3360 *** (10.07) | 0.8197 *** (11.44) |
| (lnLUE)t-2 | 0.0010 (0.04) | −0.0081 (−0.38) | −0.0099 (−0.40) |
| RFDI | −0.2242 * (−1.88) | −0.3086 * (−1.89) | −0.5620 * (−1.68) |
| LE | 0.0077 ** (2.04) | 0.0398 *** (8.58) | 0.0151 ** (2.38) |
| FEDEC | −0.0086 (−0.38) | 0.1242 (1.41) | 0.0194 (0.17) |
| TAXB | −0.0018 (−0.02) | −0.3408 ** (−2.30) | −0.2945 * (−1.75) |
| IDU | 0.0041 (1.3) | 0.0459 ** (2.47) | 0.0140 (1.58) |
| URB | −0.0011 *** (−2.70) | 0.0028 (1.48) | −0.0027 (−1.22) |
| TLE | 0.0118 *** (2.87) | 0.0186 ** (2.47) | −0.0048 (−0.38) |
| EMD | 0.0759 ** (2.53) | 0.3732 *** (12.33) | 0.1485 *** (3.0) |
| AGDP | 0.0278 (1.41) | 0.1280 *** (3.51) | 0.1010 * (1.92) |
| POPD | 0.001 (0.78) | −0.0003 (−0.02) | 0.01 * (1.94) |
| Constant | −0.6994 ** (−1.92) | −3.8966 *** (−9.92) | |
| R2 | 0.9861 | 0.9141 | |
| Time-fixed effects | Yes | Yes | Yes |
| Hansen OverID test(p-value) | 0.141 | ||
| Number of instruments | 91 | ||
| Arellano–Bond test for AR(1) | 0.000 | ||
| Arellano–Bond test for AR(2) | 0.168 | ||
| Observations | 864 | 864 | 864 |
© 2019 by the authors. Licensee MDPI, Basel, Switzerland. This article is an open access article distributed under the terms and conditions of the Creative Commons Attribution (CC BY) license (http://creativecommons.org/licenses/by/4.0/).
Share and Cite
Liu, S.; Ye, Y.; Li, L. Spatial–Temporal Analysis of Urban Land-Use Efficiency: An Analytical Framework in Terms of Economic Transition and Spatiality. Sustainability 2019, 11, 1839. https://doi.org/10.3390/su11071839
Liu S, Ye Y, Li L. Spatial–Temporal Analysis of Urban Land-Use Efficiency: An Analytical Framework in Terms of Economic Transition and Spatiality. Sustainability. 2019; 11(7):1839. https://doi.org/10.3390/su11071839
Chicago/Turabian StyleLiu, Shuchang, Yanmei Ye, and Linlin Li. 2019. "Spatial–Temporal Analysis of Urban Land-Use Efficiency: An Analytical Framework in Terms of Economic Transition and Spatiality" Sustainability 11, no. 7: 1839. https://doi.org/10.3390/su11071839
APA StyleLiu, S., Ye, Y., & Li, L. (2019). Spatial–Temporal Analysis of Urban Land-Use Efficiency: An Analytical Framework in Terms of Economic Transition and Spatiality. Sustainability, 11(7), 1839. https://doi.org/10.3390/su11071839
