Impact of Biogas and Waste Fats Methyl Esters on NO, NO2, CO, and PM Emission by Dual Fuel Diesel Engine
Abstract
1. Introduction
2. Materials and Methods
3. Results and Discussion
4. Conclusions
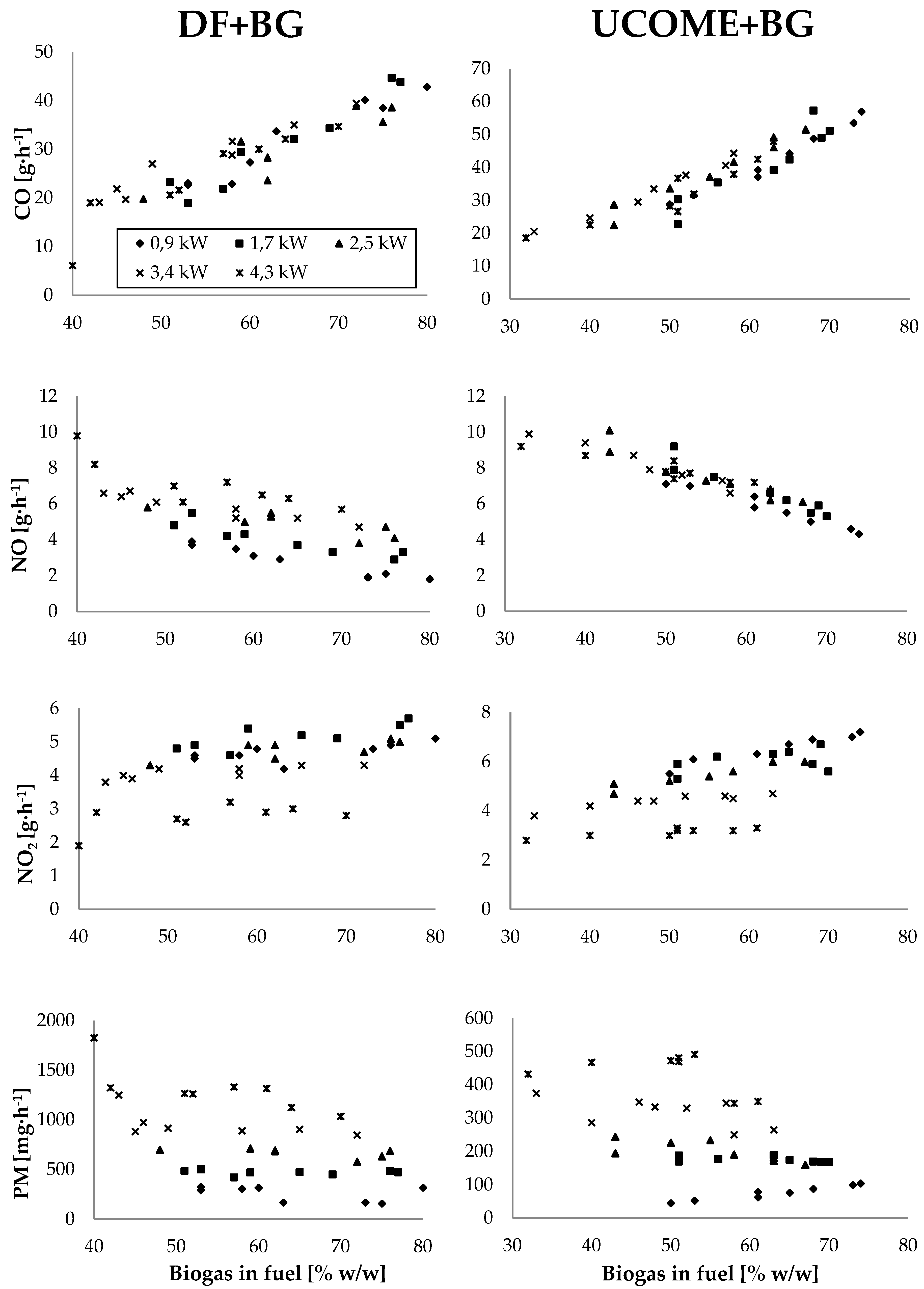
- With the increase of the BG share in the engine fuel supply, the amount of carbon oxides increases significantly. It is caused by the change of parameters of the engine fuel supply at constant operating parameters. A change in the injection angle may result in CO emission reduction; however, the reduction is slight in relation to the engine emission powered solely by DF, as evidenced in other tests [42,45,47,49]. The place and method of BG injection is also important, i.e., the injection into the inlet manifold. The use of multi-point or even direct injection could clearly reduce CO emission.
- The presence of BG in the engine feed mixture significantly reduces NOx. However, if we analyze the emission of NO and NO2 separately, we can see a clear increase in the emission of NO2 toxic particles. It follows that the presence of BG in fuels has a negative impact on the qualitative and quantitative composition of nitrogen oxides emitted in exhaust fumes.
- Replacing DF with UCOME fuel reduces both NO and NO2. The use of UCOME + BG mixture in comparison to the engine power supply with DF + BG fuel shows a negligible reduction in the amount of NO2.
- A three- to four-times reduction of PM emission was detected when the liquid fuel DF was replaced by UCOME. On the other hand, the presence of BG had no significant effect on the amount of PM in the exhaust fumes, regardless of the liquid fuel used.
- The improvement of the composition of exhaust emissions can also be performed using other constructions of a diesel engine. The use of a turbocharged engine will result in better reduction of exhaust gases or the introduction of water into the combustion chamber.
Author Contributions
Funding
Conflicts of Interest
List of Symbols and Acronyms
| A* | mass amount of gases, kmol·h−1 |
| AF | air filter |
| AM | synchronous engine |
| B | share of x gas (CO, NO, NO2) in the exhaust, mg·kg−1 |
| BG | biogas |
| BGT | biogas tank |
| CFPP | cold filter plugging point |
| CH4 | methane |
| CO | carbon monoxide |
| CO2 | carbon dioxide |
| CS | control system |
| CSM | control system monitor |
| DE | diesel engine |
| DF | diesel fuel |
| DFT | diesel fuel tank |
| DM | diesel (liquid fuel) mass flow meter |
| EA | emission analyzation system |
| EP | exhaust pipe |
| EPM | measurement probe for exhaust gases |
| ES | exhaust silencer |
| FT | fuel temperature measurement |
| GC | gas pressure regulator and flow control value |
| GSI | gas injector control system |
| H2S | hydrogen sulfide |
| IM | intake manifold |
| kWhe | electricity unit |
| M | molar mass of the i-th gas, kg·kmol−1 |
| NO | nitric oxide |
| NO2 | nitrogen dioxide |
| NOx | oxides of nitrogen |
| O2 | oxygen |
| P | pressure in the exhaust manifold, Pa |
| PC | computer |
| PM | particulate matter |
| R | universal gas constant, J·kg−1·K−1 |
| T | exhaust gases temperature, K |
| UCO | used cooking oil |
| UCOME | use cooking oil methyl ester |
| UCOMET | waste cooking oil methyl ester tank |
| V* | exhaust gases flow, in normal m3·h−1 |
| WCO | waste cooking oil |
| WS | weather station |
| X | mass stream for NO, NO2, PM, and CO, mg·h−1 |
| y | quantitative share of the i-th gas |
References
- Li, H.; Shi, L.; Deng, K. Development of turbocharging system for diesel engines of power generation application at different altitudes. J. Energy Inst. 2016, 89, 755–765. [Google Scholar] [CrossRef]
- Shelar, M.N.; Bagade, S.D.; Kulkarni, G.N. Energy and Exergy Analysis of Diesel Engine Powered Trigeneration Systems. Energy Proc. 2016, 90, 27–37. [Google Scholar] [CrossRef]
- Seifi, M.R.; Hassan-Beygi, S.R.; Ghobadian, B.; Desideri, U.; Antonelli, M. Experimental investigation of a diesel engine power, torque and noise emission using water-diesel emulsions. Fuel 2016, 166, 392–399. [Google Scholar] [CrossRef]
- Mikulski, M.; Wierzbicki, S. Numerical investigation of the impact of gas composition on the combustion process in a dual-fuel compression-ignition engine. J. Nat. Gas Sci. Eng. 2016, 31, 525–537. [Google Scholar] [CrossRef]
- Wasilewski, J.; Krzaczek, P. Emission of toxic compounds from combustion of biodiesel: A report from studies. Przem. Chem. 2014, 93, 343–346. [Google Scholar] [CrossRef]
- Zając, G.; Węgrzyn, A. Analysis of work parameters changes of diesel engine powered with diesel fuel and faee blends. Eksploat. Niezawodn. 2008, 38, 17–24. [Google Scholar]
- Hoseini, S.S.; Najafi, G.; Ghobadian, B.; Mamat, R.; Sidik, N.A.C.; Azmi, W.H. The effect of combustion management on diesel engine emissions fueled with biodiesel-diesel blends. Renew. Sustain. Energy Rev. 2017, 73, 307–331. [Google Scholar] [CrossRef]
- Asokan, M.A.; Senthur prabu, S.; Kamesh, S.; Khan, W. Performance, combustion and emission characteristics of diesel engine fuelled with papaya and watermelon seed oil bio-diesel/diesel blends. Energy 2018, 145, 238–245. [Google Scholar] [CrossRef]
- Hossain, F.M.; Rainey, T.J.; Ristovski, Z.; Brown, R.J. Performance and exhaust emissions of diesel engines using microalgae FAME and the prospects for microalgae HTL biocrude. Renew. Sustain. Energy Rev. 2018, 82, 4269–4278. [Google Scholar] [CrossRef]
- Zhang, Z.; Zhang, Z.; Jiaqiang, E.; Deng, Y.; Pham, M.H.; Zuo, W.; Peng, Q.; Yin, Z. Effects of fatty acid methyl esters proportion on combustion and emission characteristics of a biodiesel fueled marine diesel engine. Energy Convers. Manag. 2018, 159, 244–253. [Google Scholar] [CrossRef]
- Gopal, K.; Sathiyagnanam, A.P.; Kumar, B.R.; Saravanan, S.; Rana, D.; Sethuramasamyraja, B. Prediction of emissions and performance of a diesel engine fueled with n-octanol/diesel blends using response surface methodology. J. Clean. Prod. 2018, 184, 423–439. [Google Scholar] [CrossRef]
- Bhuiya, M.M.K.; Rasul, M.G.; Khan, M.M.K.; Ashwath, N.; Azad, A.K.; Hazart, M.A. Prospects of 2nd generation biodiesel as a sustainable fuel—Part 2: Properties, performance and emission characteristics. Renew. Sustain. Energy Rev. 2016, 55, 1129–1146. [Google Scholar] [CrossRef]
- Czechlowski, M.; Golimowski, W.; Sęk, T.; Szymanowicz, J. Exhaust opacity in a diesel engine powered with animal fats. Eksploat. Niezawodn. 2015, 7, 49–53. [Google Scholar] [CrossRef]
- Canakci, M.; Sandli, H. Biodiesel production from various feedstocks and their effects on the fuel properties. J. Ind. Microbiol. Biotechnol. 2008, 35, 431–441. [Google Scholar] [CrossRef]
- Rehan, M.; Gardy, J.; Demirbas, A.; Rashid, U.; Budzianowski, W.M.; Pant, D.; Nizami, A.S. Waste to biodiesel: A preliminary assessment for Saudi Arabia. Bioresour. Technol. 2018, 250, 17–25. [Google Scholar] [CrossRef]
- Sander, A.; Košćak, M.A.; Kosir, D.; Milosavljević, N.; Vuković, J.P.; Magić, L. The influence of animal fat type and purification conditions on biodiesel quality. Renew. Energy 2018, 118, 752–760. [Google Scholar] [CrossRef]
- Bhuiya, M.M.K.; Rasul, M.G.; Khan, M.M.K.; Ashwath, N.; Azad, A.K.; Hazart, M.A. Prospects of 2nd generation biodiesel as a sustainable fuel—Part 1: Selection of feedstocks, oil extraction techniques and conversion technologies. Renew. Sustain. Energy Rev. 2016, 55, 1109–1128. [Google Scholar] [CrossRef]
- Cubas, A.L.V.; Machado, M.M.; Pinto, C.R.S.C.; Moecke, E.H.S.; Dutra, A.R.A. Biodiesel production using fatty acids from food industry waste using corona discharge plasma technology. Waste Manag. 2016, 47, 149–154. [Google Scholar] [CrossRef] [PubMed]
- Corro, G.; Sánchez, N.; Pal, U.; Bañuelos, F. Biodiesel production from waste frying oil using waste animal bone and solar heat. Waste Manag. 2016, 47, 105–113. [Google Scholar] [CrossRef] [PubMed]
- Lin, L.; Ying, D.; Chaitep, S.; Vittayapadung, S. Biodiesel production from crude rice bran oil and properties as fuel. Appl. Energy 2009, 86, 681–688. [Google Scholar] [CrossRef]
- Lu, H.; Liu, Y.; Zhou, H.; Yang, Y.; Chen, M.; Liang, B. Production of biodiesel from Jatropha curcas L. oil. Comput. Chem. Eng. 2009, 33, 1091–1096. [Google Scholar] [CrossRef]
- Mekhilef, S.; Siga, S.; Saidur, R. A review on palm oil biodiesel as a source of renewable fuel. Renew. Sustain. Energy Rev. 2011, 15, 1937–1949. [Google Scholar] [CrossRef]
- Qiu, F.; Li, Y.; Yang, D.; Li, X.; Sun, P. Biodiesel production from mixed soybean oil and rapeseed oil. Appl. Energy 2011, 88, 2050–2055. [Google Scholar] [CrossRef]
- Matwijczuk, A.; Zając, G.; Kowalski, R.; Kachel-Jakubowska, M.; Gagoś, M. Spectroscopic studies of the quality of fatty acid methyl esters derived from waste cooking oil. Pol. J. Environ. Stud. 2017, 26, 2643–2650. [Google Scholar] [CrossRef]
- Marcinkowski, D.; Rukowicz, B.; Golimowski, W.; Czechlowski, M.; Krzaczek, P.; Piekarski, W. Effect of selected depressants on cold filter plugging point for methyl esters obtained from transesterification of waste vegetable and animal fats. Przem. Chem. 2017, 96, 1927–1930. [Google Scholar] [CrossRef]
- Krzaczek, P.; Rybak, A.; Bochniak, A. The impact of selected biofuels on the performance parameters of the Common Rail power system in the utility engine. In Proceedings of the BulTrans-2018—10th International Scientific Conference on Aeronautics, Automotive and Railway Engineering and Technologies, Sozopol, Bulgaria, 15–17 September 2018. [Google Scholar] [CrossRef]
- Szmigielski, M.; Piekarski, W.; Andrejko, D.; Ślaska-Grzywna, B.; Masłowski, A.; Zając, G.; Sagan, A.; Jaśkiewicz, T.; Rachańczyk, I. Recovery of fatty substances from post-frying waste materials by extraction with hexane. Przem. Chem. 2014, 93, 649–651. [Google Scholar] [CrossRef]
- Giakoumis, E.G.; Sarakatsanis, C.K. A Comparative Assessment of Biodiesel Cetane Number Predictive Correlations Based on Fatty Acid Composition. Energies 2019, 12, 422. [Google Scholar] [CrossRef]
- Muradin, M.; Foltynowicz, Z. Potential for Producing Biogas from Agricultural Waste in Rural Plants in Poland. Sustainability 2014, 6, 5065–5074. [Google Scholar] [CrossRef]
- Yontar, A.A.; Doğu, Y. Investigation of the effects of gasoline and CNG fuels on a dual sequential ignition engine at low and high load conditions. Fuel 2018, 232, 114–123. [Google Scholar] [CrossRef]
- Budzianowski, W.M.; Budzianowska, D.A. Economic analysis of biomethane and bioelectricity generation from biogas using different support schemes and plant configurations. Energy 2015, 88, 658–666. [Google Scholar] [CrossRef]
- Nitsche, M.; Hensgen, F.; Wachendorf, M. Energy Generation from Horse Husbandry Residues by Anaerobic Digestion, Combustion, and an Integrated Approach. Sustainability 2017, 9, 358. [Google Scholar] [CrossRef]
- Szymańska, D.; Lewandowska, A. Biogas Power Plants in Poland—Structure, Capacity, and Spatial Distribution. Sustainability 2015, 7, 16801–16819. [Google Scholar] [CrossRef]
- Akbarian, E.; Najafi, B. A novel fuel containing glycerol triacetate additive, biodiesel and diesel blends to improve dual-fuelled diesel engines performance and exhaust emissions. Fuel 2019, 236, 666–676. [Google Scholar] [CrossRef]
- Cucui, G.; Ionescu, C.A.; Goldbach, I.R.; Coman, M.D.; Marin, E.L.M. Quantifying the Economic Effects of Biogas Installations for Organic Waste from Agro-Industrial Sector. Sustainability 2018, 10, 2582. [Google Scholar] [CrossRef]
- Pillay, A.; Molki, A.; Elkadi, M.; Manuel, J.; Bojanampati, S.; Khan, M.; Stephen, S. Real-Time Study of Noxious Gas Emissions and Combustion Efficiency of Blended Mixtures of Neem Biodiesel and Petrodiesel. Sustainability 2013, 5, 2098–2107. [Google Scholar] [CrossRef]
- Basavarajappa, Y.H.; Banapurmath, N.R.; Pradeep, G.; Vinod, R.; Yaliwal, V. Performance and emission characteristics of a CNG-Biodiesel dual fuel operation of a single cylinder four stroke CI engine. IOP Conf. Ser. Mater. Sci. Eng. 2018, 376, 012028. [Google Scholar] [CrossRef]
- Duda, K.; Wierzbicki, S.; Śmieja, M.; Mikulski, M. Comparison of performance and emissions of a CRDI diesel engine fueled with biodiesel of different origin. Fuel 2018, 212, 202–222. [Google Scholar] [CrossRef]
- Wu, D.; Zhang, F.; Lou, W.; Li, D.; Chen, J. Chemical characterization and toxicity assessment of fine particulate matters emitted from the combustion of petrol and diesel fuels. Sci. Total Environ. 2017, 605–606, 172–179. [Google Scholar] [CrossRef] [PubMed]
- Lozhkina, O.V.; Lozhkin, V.N. Estimation of nitrogen oxides emissions from petrol and diesel passenger cars by means of on-board monitoring: Effect of vehicle speed, vehicle technology, engine type on emission rates. Transp. Res. D 2016, 47, 251–264. [Google Scholar] [CrossRef]
- Oczkowski, E.; Wong, A.; Sharma, K. The impact of major fuel retailers on regional New South Wales petrol prices. Econ. Anal. Policy 2018, 57, 44–59. [Google Scholar] [CrossRef]
- Verma, S.; Das, L.M.; Bhatti, S.S.; Kaushik, S.C. A comparative exergetic performance and emission analysis of pilot diesel dual-fuel engine with biogas, CNG and hydrogen as main fuel. Energy Convers. Manag. 2017, 151, 764–777. [Google Scholar] [CrossRef]
- Mikulski, M.; Wierzbicki, S.; Piętak, A. Numerical studies on controlling gaseous fuel combustion process of diesel pilot dose in a dual-fuel engine. Chem. Process. Eng. 2015, 36, 225–238. [Google Scholar] [CrossRef]
- Barik, D.; Murugan, S.; Samal, S.; Sivaram, N.M. Combined effect of compression ratio and diethyl ether (DEE) port injection on performance and emission characteristics of a DI diesel engine fueled with upgraded biogas (UBG)-biodiesel dual fuel. Fuel 2017, 209, 339–349. [Google Scholar] [CrossRef]
- Ibrahim, M.M.; Narasimhan, J.V.; Ramesh, A. Comparison of the predominantly premixed charge compression ignition and the dual fuel modes of operation with biogas and diesel as fuels. Energy 2015, 89, 990–1000. [Google Scholar] [CrossRef]
- Bora, B.J.; Saha, U.K.; Chatterjee, S.; Veer, V. Effect of compression ratio on performance, combustion and emission characteristics of a dual fuel diesel engine run on raw biogas. Energy Convers. Manag. 2014, 87, 1000–1009. [Google Scholar] [CrossRef]
- Aklouche, F.Z.; Loubar, K.; Bentebbiche, A.; Awad, S.; Tazerout, M. Experimental investigation of the equivalence ratio influence on combustion, performance and exhaust emissions of a dual fuel diesel engine operating on synthetic biogas fuel. Energy Convers. Manag. 2017, 152, 291–299. [Google Scholar] [CrossRef]
- Barik, D.; Murugan, S. Experimental investigation on the behavior of a DI diesel engine fueled with raw biogas–diesel dual fuel at different injection timing. J. Energy Inst. 2016, 89, 373–388. [Google Scholar] [CrossRef]
- Kalsi, S.S.; Subramanian, K.A. Effect of simulated biogas on performance, combustion and emissions characteristics of a bio-diesel fueled diesel engine. Renew. Energy 2017, 106, 78–90. [Google Scholar] [CrossRef]
- Kim, Y.; Kawahara, N.; Tsuboi, K.; Tomita, E. Combustion characteristics and NOX emissions of biogas fuels with various CO2 contents in a micro co-generation spark-ignition engine. Appl. Energy 2016, 182, 539–547. [Google Scholar] [CrossRef]
- Luijten, C.C.M.; Kerkhof, E. Jatropha oil and biogas in a dual fuel CI engine for rural electrification. Energy Convers. Manag. 2011, 52, 1426–1438. [Google Scholar] [CrossRef]
- Tippayawong, N.; Promwungkwa, A.; Rerkkriangkrai, P. Long-term operation of a small biogas/diesel dual-fuel engine for on-farm electricity generation. Biosyst. Eng. 2007, 98, 26–32. [Google Scholar] [CrossRef]
- Bedoya, I.D.; Arrieta, A.A. Francisco Javier Cadavid. Effects of mixing system and pilot fuel quality on diesel–biogas dual fuel engine performance. Bioresour. Technol. 2009, 100, 6624–6629. [Google Scholar] [CrossRef] [PubMed]
- Bora, B.J.; Saha, U.K. Optimisation of injection timing and compression ratio of a raw biogas powered dual fuel diesel engine. Appl. Therm. Eng. 2016, 92, 111–121. [Google Scholar] [CrossRef]
- Barik, D.; Murugan, S. Simultaneous reduction of NOx and smoke in a dual fuel DI diesel engine. Energy Convers. Manag. 2014, 84, 217–226. [Google Scholar] [CrossRef]
- Cacua, K.; Amell, A.; Cadavid, F. Effects of oxygen enriched air on the operation and performance of a diesel-biogas dual fuel engine. Biomass Bioenergy 2012, 45, 159–167. [Google Scholar] [CrossRef]
- Kim, Y.; Kawahara, N.; Tomita, E.; Oshibe, H.; Nishikawa, K. Effect of Bio-Gas Contents on SI Combustion for a Co-Generation Engine; SAE Technical Paper 2015-01-1946; SAE: Warrendale, PA, USA, 2015. [Google Scholar] [CrossRef]
- Yoon, S.H.; Lee, C.S. Experimental investigation on the combustion and exhaust emission characteristics of biogas–biodiesel dual-fuel combustion in a CI engine. Fuel Process. Technol. 2011, 92, 992–1000. [Google Scholar] [CrossRef]
- Koszałka, G.; Hunicz, J. Detailed speciation of emissions from a diesel engine fuelled with canola methyl ester. In Proceedings of the BulTrans-2018—10th International Scientific Conference on Aeronautics, Automotive and Railway Engineering and Technologies, Sozopol, Bulgaria, 15–17 September 2018. [Google Scholar] [CrossRef]
- Koszałka, G.; Hunicz, J.; Niewczas, A. A Comparison of Performance and Emissions of an Engine Fuelled with Diesel and Biodiesel. SAE Int. J. Fuels Lubr. 2010, 3, 77–84. [Google Scholar] [CrossRef]
- Hunicz, J.; Krzaczek, P. Detailed speciation of emissions from low-temperature combustion in a gasoline HCCI engine. Pol. J. Environ. Stud. 2016, 25, 137–145. [Google Scholar] [CrossRef]
- Bueschke, W.; Wisłocki, K.; Pielecha, I.; Skowron, M.; Cieślik, W. Influence of the distance between gas injector and intake valve on combustion indicators and NOx emission in dual fuel CI engine. J. Mech. Transp. Eng. 2017, 69. [Google Scholar] [CrossRef]
- Kuranc, A. Exhaust emission test performance with the use of the signal from air flow meter. Eksploat. Niezawodn. 2015, 17, 129–134. [Google Scholar] [CrossRef]
- Chybowski, L.; Laskowski, R.; Gawdzińska, K. An overview of systems supplying water into the combustion chamber of diesel engines to decrease the amount of nitrogen oxides in exhaust gas. J. Mar. Sci. Technol. 2015, 20, 393. [Google Scholar] [CrossRef]
- Kim, H.; Kim, Y.; Lee, K. An Experimental Study on the Spray, Combustion, and Emission Characteristics of Two Types of Biodiesel Fuel. Energy Fuel 2013, 27, 5182–5191. [Google Scholar] [CrossRef]






| Parameter | Engine |
|---|---|
| Engine type/model | Vertical in-line diesel engine |
| Application | Power generator |
| No. of cylinders | 2 |
| Rated speed (rpm) | 3600 |
| Rated power (kW) | 9.76 @ 3600 rpm |
| Rated torque (Nm) | 30 @ 2600 rpm |
| Displacement (cm3) | 570 |
| Aspiration system Combustion system | Natural Ball-type swirl chamber |
| Injection system | IDI Engine |
| Common Name of Fatty Acids UCO (Used Cooking Oil) | (%) | |
|---|---|---|
| Myristic | (C 14:0) | 0.23 |
| Palmitic | (C 16:0) | 8.56 |
| Palmitoleic | (C 16:1) | 0.42 |
| Stearic | (C 18:0) | 2.11 |
| Oleic | (C 18:1) | 61.72 |
| Linoleic | (C 18:2) | 18.18 |
| Linolenic | (C 18:3) | 6.0 |
| Arachidic | (C 20:0) | - |
| Eicosenoic | (C 20:1) | - |
| Other | 2.78 | |
| Fuel Property | Unit | UCOME | DF | BG |
|---|---|---|---|---|
| Viscosity @ 40 °C | mm2·s−1 | 4.79 | 2.91 | - |
| Density @ 15 °C | kg·m−3 | 884.9 | 836.7 | 1.25 |
| Calorific value | MJ·kg−1 | 38.2 | 42.6 | 17.15 |
| CFPP | °C | −2 | −22 | - |
| Cetane number | - | 57 | 52 | - |
| Octane number | - | - | - | 110 [48] |
| Flash point | °C | 244 | 59 | 630 [48] |
| Component | Content | Uncertainty Level | |
|---|---|---|---|
| Hydrogen sulfide | H2S | 28 ppm | ± 10% |
| Methane | CH4 | 59.9% (v/v) | ± 3% |
| Carbon dioxide | CO2 | 41.7% (v/v) | ± 3% |
| Oxygen | O2 | 0.7% (v/v) | ± 1% |
| Emission [mg·h−1] | The Impact of Biogas | DF/UCOME | |
|---|---|---|---|
| DF+BG | UCOME+BG | ||
| CO | +0.93 | +0.93 | + |
| NO | +(−0.72) | +(−0.93) | + |
| NO2 | +0.52 | −0.51 | + |
| PM | −(−0.48) | −(−0.57) | + |
© 2019 by the authors. Licensee MDPI, Basel, Switzerland. This article is an open access article distributed under the terms and conditions of the Creative Commons Attribution (CC BY) license (http://creativecommons.org/licenses/by/4.0/).
Share and Cite
Golimowski, W.; Krzaczek, P.; Marcinkowski, D.; Gracz, W.; Wałowski, G. Impact of Biogas and Waste Fats Methyl Esters on NO, NO2, CO, and PM Emission by Dual Fuel Diesel Engine. Sustainability 2019, 11, 1799. https://doi.org/10.3390/su11061799
Golimowski W, Krzaczek P, Marcinkowski D, Gracz W, Wałowski G. Impact of Biogas and Waste Fats Methyl Esters on NO, NO2, CO, and PM Emission by Dual Fuel Diesel Engine. Sustainability. 2019; 11(6):1799. https://doi.org/10.3390/su11061799
Chicago/Turabian StyleGolimowski, Wojciech, Paweł Krzaczek, Damian Marcinkowski, Weronika Gracz, and Grzegorz Wałowski. 2019. "Impact of Biogas and Waste Fats Methyl Esters on NO, NO2, CO, and PM Emission by Dual Fuel Diesel Engine" Sustainability 11, no. 6: 1799. https://doi.org/10.3390/su11061799
APA StyleGolimowski, W., Krzaczek, P., Marcinkowski, D., Gracz, W., & Wałowski, G. (2019). Impact of Biogas and Waste Fats Methyl Esters on NO, NO2, CO, and PM Emission by Dual Fuel Diesel Engine. Sustainability, 11(6), 1799. https://doi.org/10.3390/su11061799

