Spatial Heterogeneity and Coupling of Economy and Population Gravity Centres in the Hengduan Mountains
Abstract
1. Introduction
2. Materials and Methods
2.1. Study Area
2.2. Method
2.2.1. ESDA Method
2.2.2. Gravity Centre Model
2.2.3. Migratory Distance Model
2.2.4. Spatial Coupling Model
3. Results and Discussion
3.1. Spatial Heterogeneity
3.2. Dynamic Evolution Trends
3.3. Spatial Coupling
3.4. Hotspots for Economic Development
4. Discussion
5. Conclusions
- (1)
- According to the global Moran’s I for the economy and the population, there was positive clustering and we confirmed the presence of strong positive spatial autocorrelation among the counties. The distribution of the economy and population was a nature clustering.
- (2)
- According to the Moran scatter plot, the scatter plots of the economy and the population were mainly distributed in quadrant III, with an L–L gathering. With the passage of time, the scatter plots of the economy distributed in quadrant I tended to increase, showing that the agglomeration and driving effects of the economy increased.
- (3)
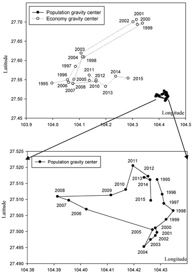
- Due to the dynamic evolution process of the economy and the population, the migratory distance of the GE was larger than that of the GP, but they were mainly concentrated in the border area between Zhenxiong and Yiliang Counties in Yunnan Province. The GE and GP are approaching each other, and their regional disparities are decreasing. The equilibrium points followed an inverted U-shaped curve every year. In terms of spatial overlap, the spatial coupling of the GE and GP increased year by year. The spatial relationship between them was more coordinated and the degree of balanced regional development continuously improved.
- (4)
- The point–axis spatial development pattern was presented, with two economic hotspots and three sub-hotspots in the JRSYG. If further advantages from policy and infrastructure support are obtained, the growth poles can promote provincial cooperation, alleviate regional differences, and achieve a high level of balanced development in the future, which could increase the competitiveness of the west and promote regional sustainable development.
Author Contributions
Funding
Acknowledgments
Conflicts of Interest
References
- World Bank. China Overview. 2015. Available online: www.worldbank.org/en/country/china/overview (accessed on 8 December 2015).
- Lu, W.M.; Lo, S.F. A closer look at the economic-environmental disparities for regional development in China. Eur. J. Oper. Res. 2007, 183, 882–894. [Google Scholar] [CrossRef]
- Fleisher, B.; Li, H.; Zhao, M. Human capital, economic growth and regional inequality in China. J. Dev. Econ. 2010, 92, 215–231. [Google Scholar] [CrossRef]
- Fan, S.G.; Kanbur, R.; Zhang, X.B. China′s regional disparities: Experience and policy. Rev. Dev. Financ. 2011, 1, 47–56. [Google Scholar] [CrossRef]
- Wang, Y.; Chen, Y.N.; Li, Z. Evolvement Characteristics of Population and Economy gravity Centers in Tarim River Basin, Uygur Autonomous Region of Xinjiang, China. Chin. Geogr. Sci. 2013, 23, 765–772. [Google Scholar] [CrossRef]
- Tu, J.J.; Liu, L.; Zhang, Y.; Li, Q.; Zhu, Y.; Xiang, W. Temporal and Spatial Evolution of China’s Economic Center of Gravity in 1996-2015—Based on the 291 Prefecture-Level Data. Econ. Geogr. 2018, 38, 18–26. [Google Scholar] [CrossRef]
- Xu, G.L.; Huang, X.J.; Wu, C.Y. Evolvement Analysis of the Economy gravity Center and Economic Development Gravity Center in the Regions of South China Sea during 1991–2011. Resour. Sci. 2014, 36, 682–690. [Google Scholar]
- Dai, H.H.; Chen, J.H.; Fang, Y. Evolution of spatial pattern of province-level population distribution in Iran during 1986–2016. World Reg. Stud. 2017, 26, 29–38. [Google Scholar]
- Klein, L.R. Measurement of a shift in the world′s center of economy gravity. J. Policy Model. 2009, 31, 489–492. [Google Scholar] [CrossRef]
- Grether, G.M.; Mathys, A. Is the world’s economic center of gravity already in Asia? Gen. Introd. Geogr. 2010, 42, 47–50. [Google Scholar] [CrossRef]
- Wang, S.J.; Wang, Z.C. Studies on Spatial Consistency between Population Agglomeration and Economic Agglomeration in China. Popul. J. 2017, 39, 43–50. [Google Scholar]
- Xu, Y.Q.; Li, S.C. Dynamic evolvement of the population and the social economy gravity center in China. Hum. Geogr. 2005, 1, 117–120. [Google Scholar] [CrossRef]
- Fan, J.; Tao, A.J.; Lu, C. The coupling mechanism of the centroids of economy gravity and population gravity and its effect on the regional gap in China. Prog. Geogr. 2010, 29, 87–95. [Google Scholar] [CrossRef]
- Qiao, J.J.; Li, X.J. The Shift Route of Chinese Economy gravity Center in Recent 50 Years. Areal Res. Dev. 2005, 24, 12–16. [Google Scholar]
- Hen, X.L.; Wang, G.X.; Kong, C. Comparative study on the spatial disequilibrium between China′s population distribution and economic development. Popul. Dev. 2009, 15, 69–73. (In Chinese) [Google Scholar]
- Qin, Z.X.; Li, H.L.; Su, C.Y. Evolvement and comparative analysis of population gravity center and economy gravity center from 1987 to 2006 in Henan. Res. Agric. Mod. 2009, 30, 16–19. (In Chinese) [Google Scholar]
- Bai, X.; Fan, D.L.; Yin, P.D. Research on the Economy gravity Center Evolution in Guangdong Province from 1979 to 2014. Areal Res. Dev. 2015, 34, 17–22. [Google Scholar]
- Wang, S.P.; Fang, Y.L. Research on Spatio-temporal Coupling Characteristics of “Population-economy” in Counties of Anhui Province from 1998 to 2015. Resour. Dev. Mark. 2017, 33, 1364–1370. [Google Scholar]
- Ye, X.S.; Lie, M.; Ye, K.H.; Chen, J.T.; Xie, Q. Analysis of Regional Inequality from Sectoral Structure, Spatial Policy and Economic Development: A Case Study of Chongqing, China. Sustainability 2017, 9, 633. [Google Scholar] [CrossRef]
- Porter, J.R.; Purser, C.W. Social disorganization, marriage and reported crime: A spatial econometrics examinations of family formation and criminal offending. J. Crim. Justice 2010, 38, 942–950. [Google Scholar] [CrossRef]
- Yu, H.; Liu, S.Q.; Wang, Y.; Liu, W.D.; Zheng, Z.J. Analysis of the spatial disparities of mountain settlement livability in southwest Sichuan. Resour. Environ. Yangtze Basin 2014, 23, 1236–1241. [Google Scholar] [CrossRef]
- Li, Y.R.; Wei, Y.H.D. The spatial-temporal hierarchy of regional inequality of China. Appl. Geogr. 2010, 30, 303–316. [Google Scholar] [CrossRef]
- Goodchild, M.F.; Anselin, L.; Appelbaum, R.; Harthorn, B.H. Toward spatially integrated social science. Int. Reg. Sci. Rev. 2000, 23, 139–159. [Google Scholar] [CrossRef]
- Yao, J.; Murray, A.T.; Agadjanian, V.; Hayford, S.R. Geographic influences on sexual and reproductive health service utilization in rural Mozambique. Appl. Geogr. 2012, 32, 601–607. [Google Scholar] [CrossRef] [PubMed]
- Xiong, W.; Xu, Y.L.; Wang, Y.Y. Temporal-spatial change of the county-level economic disparities in Jiangsu Province. Prog. Geogr. 2011, 30, 224–230. (In Chinese) [Google Scholar]
- Liu, Q.C.; Wang, Z. Research on geographical elements of economic difference in China. Geogr. Res. 2009, 28, 430–440. [Google Scholar] [CrossRef]
- Pan, W.Q. The economic disparity between different regions of China and its reduction: An analysis from the geographical perspective. Soc. Sci. China 2010, 1, 72–84. (In Chinese) [Google Scholar]
- Wang, Q.L. Spatial pattern of rural urbanization on Henan province based on ESDA. Chin. J. Agric. Resour. Reg. Plan. 2016, 37, 119–125. [Google Scholar] [CrossRef]
- Hong, M.Y.; Pan, D.Y.; Wu, Z.Y.; He, Y.F. The Efficiency of rural poverty reduction and its spatial disparities—based on the DEA-ESDA MODEL. Chin. J. Agric. Resour. Reg. Plan. 2017, 38, 179–184. [Google Scholar] [CrossRef]
- Wu, S.D.; Wang, Q. Regional economic disparities and coordination of economic development in coastal areas of southeastern China, 1995–2005. Acta Geogr. Sin. 2008, 63, 123–134. [Google Scholar] [CrossRef]
- Yu, F.M.; Zhang, Y.S.; Zhou, D.H.; Du, Z.C. Analyzing provincial border-regional economic disparities based on ESDA and GIS: A case study of Hohhot-Baotou-Ordos-Yulin Economic Zone. Prog. Geogr. 2012, 31, 997–1004. [Google Scholar] [CrossRef]
- Anonymous. China: Yangtze River Economic Zone Proposal. Available online: http://www.gov.uk/government/publications/china-premier-li-proposes-gigantic-yangtze-river-economic-zone-may-2014/china-premier-li-proposes-gigantic-yangtze-river-economic-zone-may-2014 (accessed on 17 February 2015).
- Yang, Z.S.; Cai, J.M. Progress of spatial statistics and its application in economic geography. Prog. Geogr. 2010, 29, 757–768. (In Chinese) [Google Scholar]
- Ertur, C.; Koch, W. Regional disparities in the European Union and the enlargement process: An exploratory spatial data analysis, 1995–2000. Ann. Reg. Sci. 2006, 40, 723–765. [Google Scholar] [CrossRef]
- Celebioglu, F.; Dall’Erba, S. Spatial disparities across the regions of Turkey: An exploratory spatial data analysis. Ann. Reg. Sci. 2010, 45, 379–400. [Google Scholar] [CrossRef]
- Ye, X.Y.; Wu, L. Analyzing the dynamics of homicide patterns in Chicago: ESDA and spatial panel approaches. Appl. Geogr. 2011, 31, 800–807. [Google Scholar] [CrossRef]
- Pu, Y.X.; Ge, Y.; Ma, R.H.; Huang, X.Y.; Ma, X.D. Analyzing regional economic disparities based on ESDA. Geogr. Res. 2005, 24, 965–974. [Google Scholar] [CrossRef]
- Dong, G.P.; Guo, T.Y.; Ma, J. GIS based analysis on spatial disparity of economic growth in Beijing-Tianjin-Hebei Metropolitan Region. J. Geo-Inf. Sci. 2010, 12, 797–805. (In Chinese) [Google Scholar]
- Anselin, L. Local indicators of spatial association LISA. Geogr. Anal. 1995, 27, 93–115. [Google Scholar] [CrossRef]
- Yu, H.; Liu, S.Q.; Guo, S.L.; Zhang, H.Q. Border effect of non-equilibrium economy in contiguous areas of Sichuan, Yunnan and Guizhou Provinces. Urban Environ. Urban Ecol. 2011, 24, 29–32. [Google Scholar]
- Zhang, J.F.; Deng, W. Multiscale Spatio-Temporal Dynamics of Economic Development in an Interprovincial Boundary Region: Junction Area of Tibetan Plateau, Hengduan Mountain, Yungui Plateau and Sichuan Basin, Southwestern China Case. Sustainability 2016, 8, 215. [Google Scholar] [CrossRef]
- Chen, G.J. Anprobing on several problems of development strategy for the borden area between Sichuan, Yunan and Guizhou provience. Yunnan Geogr. Environ. Res. 1994, 6, 54–62. (In Chinese) [Google Scholar]
- Li, Y.R.; Liu, Y.S.; Long, H.L. Spatio-temporal Analysis of Population and Residential Land Change in Rural China. J. Nat. Resour. 2010, 10, 1629–1638. [Google Scholar] [CrossRef]
- Guo, F.; Li, C.; Cheng, C.; Gan, J. Spatial-temporal coupling characteristics of population urbanization and land urbanization in northeast China. Econ. Geogr. 2015, 35, 49–56. [Google Scholar]
- Brückner, M. Economic growth, size of the agricultural sector and urbanization in Africa. J. Urban Econ. 2012, 71, 26–36. [Google Scholar] [CrossRef]
- Deng, X.; Huang, J.; Rozelle, S. Growth, population and industrialization and urban land expansion of China. J. Urban Econ. 2008, 63, 96–115. [Google Scholar] [CrossRef]
- Xu, D.; Hou, G.L. The Spatiotemporal Coupling Characteristics of Regional Urbanization and Its Influencing Factors: Taking the Yangtze River Delta as an Example. Sustainability 2019, 11, 822. [Google Scholar] [CrossRef]










© 2019 by the authors. Licensee MDPI, Basel, Switzerland. This article is an open access article distributed under the terms and conditions of the Creative Commons Attribution (CC BY) license (http://creativecommons.org/licenses/by/4.0/).
Share and Cite
Luo, Y.; Yu, H.; Liu, S.; Liang, Y.; Liu, S. Spatial Heterogeneity and Coupling of Economy and Population Gravity Centres in the Hengduan Mountains. Sustainability 2019, 11, 1508. https://doi.org/10.3390/su11061508
Luo Y, Yu H, Liu S, Liang Y, Liu S. Spatial Heterogeneity and Coupling of Economy and Population Gravity Centres in the Hengduan Mountains. Sustainability. 2019; 11(6):1508. https://doi.org/10.3390/su11061508
Chicago/Turabian StyleLuo, Yong, Hui Yu, Siyuan Liu, Yuting Liang, and Shaoquan Liu. 2019. "Spatial Heterogeneity and Coupling of Economy and Population Gravity Centres in the Hengduan Mountains" Sustainability 11, no. 6: 1508. https://doi.org/10.3390/su11061508
APA StyleLuo, Y., Yu, H., Liu, S., Liang, Y., & Liu, S. (2019). Spatial Heterogeneity and Coupling of Economy and Population Gravity Centres in the Hengduan Mountains. Sustainability, 11(6), 1508. https://doi.org/10.3390/su11061508
