Next Article in Journal
Depression, Acculturative Stress, and Social Connectedness among International University Students in Japan: A Statistical Investigation
Previous Article in Journal
Toward a Sustainable Future: The Case of the Municipality of Milan
 
 
Font Type:
Arial Georgia Verdana
Font Size:
Aa Aa Aa
Line Spacing:
Column Width:
Background:
Article

Research on Reference Indicators for Sustainable Pavement Maintenance Cost Control through Data Mining

1
School of Civil Engineering and Transportation, South China University of Technology, Guangzhou 510640, China
2
State Key Laboratory of Subtropical Building Science, South China University of Technology, Guangzhou 510640, China
*
Author to whom correspondence should be addressed.
Sustainability 2019, 11(3), 877; https://doi.org/10.3390/su11030877
Submission received: 23 January 2019 / Accepted: 30 January 2019 / Published: 8 February 2019

Abstract

:
Maintenance management has become increasingly important in the development of highways and government investment, but the shortage of funds is still a serious problem. When the administrative department reviews expense, the existing evaluation methodology cannot be applied to the current national condition and its calculation process is too complicated. Therefore, in order to improve this situation, this paper analyses various factors affecting maintenance costs, and obtains the quantitative relationship between the six main influencing factors such as traffic volume, using time, location, the number of lanes, overlays, and major rehabilitation. Based on regression analysis, an accuracy-based and cost-oriented control methodology is proposed, which can be dynamically updated according to the market conditions. This method is built on the data of 18 typical highways in Guangdong Province, China. The control reference indicators consist of a set of models and confidence intervals, and the actual cost needs to meet the corresponding requirements. In addition, the expenditure characteristics of rehabilitation and reconstruction in China are summarized. Experiments showed that this methodology can be used to guide cost planning and capital allocation in sustainable maintenance and achieved good results in application, making it worthwhile to promote them in other areas.

1. Introduction

With growing significant traffic and limited resources, highway maintenance has become increasingly complicated and valued. The limited funds are the main problem which legislators, budget planners, and superior managers control are facing today [1,2]. A highway routine maintenance plan is generally established by subordinate or private maintenance companies then audited by management, so that intuitive auditing standards are need. The highway networks of a developed area are mature and market-oriented. The main research in these areas has the following steps: establishing the maintenance estimation model based on PMS (Pavement Management System) or LCCA [2,3], optimizing the allocation of maintenance cost rationally, finally determining the plan of preventive maintenance based on a standard which is usually a model. In fact, all purposes of most existing PMSs are developed at minimum cost [4,5]. In the last decade, this has been the true goal of pavement maintenance—a goal that the Federal Highway Administration (FHWA) [6], in partnership with states, industry organizations, and other interested stakeholders, have been committed to achieving [1]. Currently, in the US, the FHWA signs fee contracts with private maintenance companies [7,8]. The increased expenses resulting from uncontrollable factors are at the expense of private companies. This method is not conducive to the promotion of new processes and new materials. In other countries, this responsibility is undertaken by the management department. To control the fee better, the price list is updated annually by the relevant agencies [9], leading to complexity and diversity due to differences in the regions while a large amount of historical maintenance cost data, during the maintenance process, is stored and not utilized properly.
Highway maintenance in China has the same dilemma. By the end of 2017, the highway mileage had reached 4.77 million kilometers. Maintenance had become the focus of metropolitan highways development and government investment [10]. In China, it is expected that the demand for maintenance cost will exceed 1.5 trillion CNY during the 13th Five-Year Plan period (the year 2016 to the year 2020). However, the maintenance management market in China is still immature. There are still problems such as shortage of funds, imperfect mechanisms, irregular management of cost, and a closed management market. A large body of work to solve these problems has been conducted on practical projects in the last twenty years, while most of them are determined through the Pavement index (Pi) and the Pavement Condition Index (PCI) [11] rather than through data mining for historical maintenance. Models based on these studies are still being adopted by the Chinese government (the British asphalt pavement management system around the 1990s, the model established by Tongji University in the 1990s, the World Bank HDM-III model and the model established by Chang’an University [11]). Additionally, predictive analysis methods for data mining can usually be divided into two categories: dependency based on time series and causal relationship based on indicators, mainly including regression analysis, the moving average method, the exponential smoothing method, periodic variation analysis, and random variation analysis [12]. However, these models and data mining methods lack timeliness, generalization ability, sample capacity [13], accuracy, and research on intermediate maintenance and major rehabilitation. The process of data acquisition and modelling is complex [14] simultaneously because in engineering practices, many factors affect pavement preservation in the long term as well as maintenance cost, such as traffic diversifications, regional differences, pavement types, inflation and discount rate fluctuations, etc. These factors inevitably generate potential sources of uncertainty. The factors are not independent from each other and the combined effects of the factors need to be investigated critically [10]. In addition, due to market uncertainty and lack of standards, routine maintenance cost cannot be controlled through the list quotation. As such, a dynamic-based and multifactor-based cost control methodology has become a significant research content in the fund-allocating process for the current market.
The main purpose of this paper is to propose a cost-oriented and experience-based control methodology, which integrated with data mining and market performance can address the dynamic nature of control indexes. In this methodology, two reference indicators, either predicted values or confidence intervals, are used as trigger values to judge rationalization of actual cost values, determine maintenance treatment planning, and guide capital allocation during the pavement service life span. The influencing factors associated with maintenance cost are analyzed comprehensively. The relevancy degree between maintenance costs and primary influencing factors, i.e. traffic volumes, using time, the number of lanes, location, major rehabilitation, and overlay is calculated in order to investigate the combined effects of different variables and derive the regional maintenance habits. Next, multiple regression analysis and retail price index are used to establish the prediction model of routine maintenance cost and normal distribution is used to calculate the cost interval.
The remainder of this paper analyses the characteristics of major rehabilitation and reconstruction in China in Section 3. Section 4 discusses and calculates the actual case of 18 typical freeways in Guangdong Province, the area with the most developed economy and the most complicated road network in China. All data of this paper are investigated from research processes of the past seven years. The reliability of this methodology has been fully discussed in this part. Section 5 concludes the paper with the main findings. The ultimate goals are to realize the scientific, legalization, standardization, and informatization of maintenance management, and to alleviate the shortage of provincial highway maintenance cost in ordinary countries indirectly.

2. Control Model of Routine Maintenance Cost

In China, routine maintenance is more regular and has intuitive influencing factors, so it can the calculation model can be used to control the cost. On the contrary, the intermediate maintenance and major rehabilitation determined by road conditions cannot be controlled only from historical data. To ensure the model can meet the cost control requirements and provide scientific and effective reference and guidance for cost management, especially practical, the selected forecasting method should follow the following principles:
  • The principle of simplicity. The selected indicators should satisfy the simple relationship between the conforming variable and the dependent variable, with no cross relationship and common problem between these indicators. The index data should be easy to obtain. The calculation should be simple and intuitive.
  • The principle of flexibility. It can be flexibly changed according to the forecast inflation rate and material price in the current year, and then promoted to all provinces in the country, and dynamically adjusted according to the local economic level.
  • The principle of reliability. Considering the worst condition, the forecasting traffic volume is used as the basis for the establishment of the model. The forecasting cost curve is reliable enough to basically cover the actual cost curve, to achieve the purpose of controlling the cost.

2.1. Evaluation of Factors Affecting Routine Maintenance

In the integrated environment of people, vehicles and roads, there are plenty of complex factors affecting highway maintenance cost. Therefore, to manage the cost reasonably, it is necessary to clarify the characteristics of the influencing factors of maintenance cost.
The existing methods for predicting maintenance cost are as follows: structural relationship estimation, causal relationship estimation, time-series relationship estimation, and the estimation method based on uncertainty mathematical theory [12]. According to the above principles, in this paper, the causal relationship estimation is selected as the modelling method, combined with qualitative analysis to summarize the influencing factors and establish the functional relationship among these factors. This estimation has fast calculation speed and high precision. In this paper, these factors [15,16,17] are divided into four categories: human factors, natural factors, road factors, and policy factors, as shown in Figure 1.
The above factors are numerous and correlate with some others. In order to reduce the dimensions of variables, the important relevant factors serving as variables should be screened out. In this paper, the questionnaire method is adopted, combined with previous studies [18]. All questionnaires are aimed at professionals in road maintenance and are used to select the most important influencing factors. At least one factor in each category is selected. Through the above research, the following five factors are selected: traffic volumes, geographic location, the number of lanes, using time, and maintenance.
Based on the results of qualitative analysis, differences exist in the correlations between the factors and maintenance cost. Using time, traffic volumes, and the number of lanes are positively correlated with the increasing trend of routine maintenance cost. After intermediate maintenance and major rehabilitation, pavement performance is restored and the routine maintenance cost has been reduced. Besides, differences in economic structure and social status due to geographical location lead to differences in the allocation of funds for maintenance cost.

2.2. Model Boundary Condition

Because some data has a long history and has not been recorded clearly by the pricing list, in the analysis, the real reliability is doubtful. National inspection (comprehensive measuring every five years in China) and geological disasters also have great impacts on maintenance cost. Therefore, the model should satisfy the boundary conditions.
First, the proportional relationship in the model should be consistent with the qualitative analysis results.
Second, in order to simplify the model, improve the accuracy of the model, and avoid interference from other factors, only one factor is different at a time when quantitatively analyzing the proportional relationship between the actual routine maintenance cost and a single factor.
Third, the cost is reduced after a slight decrease within three years after major rehabilitation or within two years after pavement overlays.
Data that does not meet the above boundary conditions is doubtful. If the cost increases abnormally, or fluctuates greatly and gratuitously, such data will cause large errors as well as poor stability and fitting degree in the resulting model, and thus should be verified and excluded.

2.3. Model Boundary Condition

In order to construct a precise and reliable model, the modelling process is classified into three steps:

2.3.1. Independent Variable Selection

To simplify the calculation, the multiple linear regression and nonlinear regression are combined, and the routine maintenance cost is used as the dependent variable Y to establish the first type of nonlinear regression model.
Y = K (X1, X2, X3, X4, X5)
where X1 represents traffic volumes. The age of some highways has not yet reached the design working life, but the actual traffic volumes are far greater than the predicted traffic volumes for the rapid development of the economy in China. In this paper, actual traffic volumes are used.
X2 represents using time.
X3 represents the number of lanes.
X4 represents the major rehabilitation coefficient. This coefficient is considered within three years. Highway expansion and construction are treated as major rehabilitation.
X5 represents the overlay coefficient. This coefficient is considered within two years.
K represents regional coefficient. This coefficient is related to the location and function of the highway.

2.3.2. Data processing flow

Follow the calculation steps below to process the data:
First, filter data according to the model boundary conditions.
Second, convert the maintenance cost to 2016 based on the existing retail price index (RPI) [11]. The fixed asset investment price index has a great effect on the cost [14,19]. In this paper, the base year is 2016.
Third, group all data by the using time. The highway maintenance period and the national inspection every five years have significant influence, and the quantity of sample data is large. Therefore, the data is divided into four groups: five years or less, five to 10 years, 10 to 15 years, more than 15 years.
Fourth, sensitivity analysis is used to study and establish the functional relationship between influencing factors and cost.
Finally, determine the regional coefficients of the different highways on the grounds of the region division and traffic density distribution.

2.3.3. Parameter Calculation

The parameter values are determined by regression analysis in SPSS. The R2 is used as the determination coefficient which is close to one, the better the fitting effect of the model.

2.4. Model Verification and Application

It is doubtful whether this model can be applied to other regions because it was established on the historical data resulting from a few specific roads. Therefore, another highway maintenance cost is selected and substituted into the model for verification. The predicted results must be greater than or equal to the actual result, otherwise the relevant coefficients need to be adjusted.

3. Maintenance Cost Control Interval

The above estimation model for the routine maintenance cost is based on the analysis of a large amount of data, but in practice, the maintenance cost is often increased due to certain unpredictable factors. Therefore, it is necessary to control the cost according to the control interval. In this paper, the W-test method (Shapiro–Wilk Test) [20] with high sensitivity is used to perform the normality test on the routine maintenance cost and the intermediate maintenance cost, which requires that the samples are of normal distribution to improve the sampling efficiency further:
W = L 2 k = 2 l a k ( ξ ( n + 1 k ) ξ ( k ) )
Among them,
l = { n 2 , w h e n   n   i s   e v e n n 1 2 , w h e n   n   i s   o d d
If the observed value of W calculated for the sample value of any distribution with n ≤ 50 satisfies Wα < W < 1, it obeys the normal distribution law x ~ N(μ,δ2), then the value range of x is:
μ μ α 2 × δ n < x < μ + μ α 2 × δ n
where μ α 2 represents the Guarantee rate coefficient, when the freeway confidence factor is 95%, μ α 2 = 1.96; μ represents the average of samples; n represents the number of samples; δ represents the mean deviation of samples; ak and Wα can be referred to the Shapiro–Wilk Test list.
After the above test, if the maintenance cost meets the requirements of normal distribution, the interval is estimated to be ( μ 1.96 × δ n ,   μ + 1.96 × δ n ) . The actual cost should be included in this range [21].

4. Major Rehabilitation Cost Analysis

In China, asphalt pavement structure is usually applied to freeways. The design period of asphalt pavement structure is generally 15 years, and the design period of cement concrete pavement is 30 years [22,23]. However, the service life of the road surface is not up to the design life because of overload transportation, reflection cracks, surface quality problems, etc. The road capacity has become saturated so that it cannot meet the demand with the traffic volumes increasing sharply. The cost of solving atraffic jam is high, which seriously restricts regional economic development. In general, the cost of major rehabilitation which can improve road performance and extend the service life of the freeway is high.
The cost of major rehabilitation is mainly composed of construction and installation fees, equipment and tools purchase expenditure, and other construction costs, including subgrade engineering, pavement engineering, bridge and culvert works, etc. In this paper, only the relationship between the major rehabilitation cost of typical highways and maintenance investment and the average cost level are analyzed because the maintenance cost investment is related to the highway road operation status and road characteristics, and the regularity is poor.

5. Analysis of Maintenance Cost in Guangdong Province

By the end of 2017, the total mileage of freeways opened to traffic in Guangdong Province was 8338 km and the density was 4.64 km/100 km2. The maintenance mode—“A company is responsible for the construction and maintenance of a highway”—is widely used. The administration needs to invest a large amount of funds and this shows an increasing trend for maintenance every year. According to research data, the financing gap of trunk highways in Guangdong Province reached 2.47 billion CNY. The average cost level in 2011–2015 was 801,700 CNY/km per year.
Guangdong Province which has about 11 major outbound provinces is divided into four major regions—the Pearl River Delta, West, East and North. Among the four regions, the traffic volumes of freeways in the Pearl River Delta are significantly higher than that of other regions. Therefore, the difficulty, cost investment, and unit mileage of the maintenance work on the same scale are significantly larger than those in the other regions of Guangdong.

5.1. Routine Maintenance Cost Control Model Establishment

Routine maintenance in Guangdong Province includes daily cleaning and minor repairs. Daily cleaning refers to regular cleaning and daily inspection work. The minor repair project refers to the treatment of various minor ailments and supporting facilities, mainly based on artificial consumption, with a small amount of material consumption.
The values of the RPI in Guangdong Province are shown in Table 1. The maintenance cost of 18 freeways is shown in Table 2 after screening and conversion. The specific parameters are shown in Table 3. The traffic volumes over the years are shown in Table 4. Traffic growth rates in the last 7 years are 66.5% to 30.2%, it is necessary to rule out the impact of road network changes on costs.
The model was established based on the modelling principle, which is:
Y = K × (a × X1 + b × X2 + c × X3 + d) × e ^ (X4) × f ^ (X5)
Multi-factor sensitivity analysis needs to consider various combinations of various factors and different degrees of change, which is more complicated. Therefore, this paper adopts the grey correlation analysis. Based on the above data, the relevancy degree is calculated and shown in Table 5. The Tornado Diagram shown in Figure 2 is further used to indicate the relevance degree. The influence level of each factor is sorted as follows: traffic volumes ≈ using time > the number of lanes > location ≈ major rehabilitation ≈ overlay.
The coefficient values are as shown in Table 6:
After removing the abnormal point with the normalized residual absolute value greater than three (>3) under 95% confidence, the SPSS software is used to obtain the routine maintenance cost estimation model of the freeway as follows:
5 years or less.
Y = K × (2.181 × 10 ^ (− 6) × X1 + 0.44 × X2 + 5.456) × 0.714 ^ (X4) × 0.759 ^ (X5)
5 to 10 years.
Y = K × (1.080× 10 ^ (− 5) × X1 + 0.113 × X2 − 0.243 × X3 + 9.611) × 0.715 ^ (X4) × 0.801 ^ (X5)
10 to 15 years.
Y = K × (3.277× 10 ^ (− 5) × X1 −0.124 × X2 − 0.447 X3+10.987) × 0.969 ^ (X4) × 1.013 ^ (X5)
more than 15 years.
Y = K × (0.970 × X2 + 5.574 × X3 − 43.87) × 1.901 ^ (X4) × 1.000 ^ (X5)
The calculated R2 = 0.982, 0.782, 0.652, and 0.998 respectively. The R2 is not big enough because of the large amount and doubtful authenticity of the data. The regional coefficients used in this model can be adjusted according to the relevant divisions in the planning of routine maintenance areas in Guangdong Province.

5.2. Maintenance Cost Control Interval

Based on these historical rates, routine and intermediate maintenance costs are assumed to have a normal distribution. By analyzing each type of maintenance cost and the proportion of the sum of routine maintenance and intermediate maintenance cost, the maintenance cost control intervals can be shown as in Table 7.
The largest proportion of routine maintenance costs between different regions reached 118.02%, and that of intermediate maintenance costs 268.11%. This difference proves the rationality of calculating each road separately. This finding can be used as a basis for funding allocation.

5.3. Methodology Verification

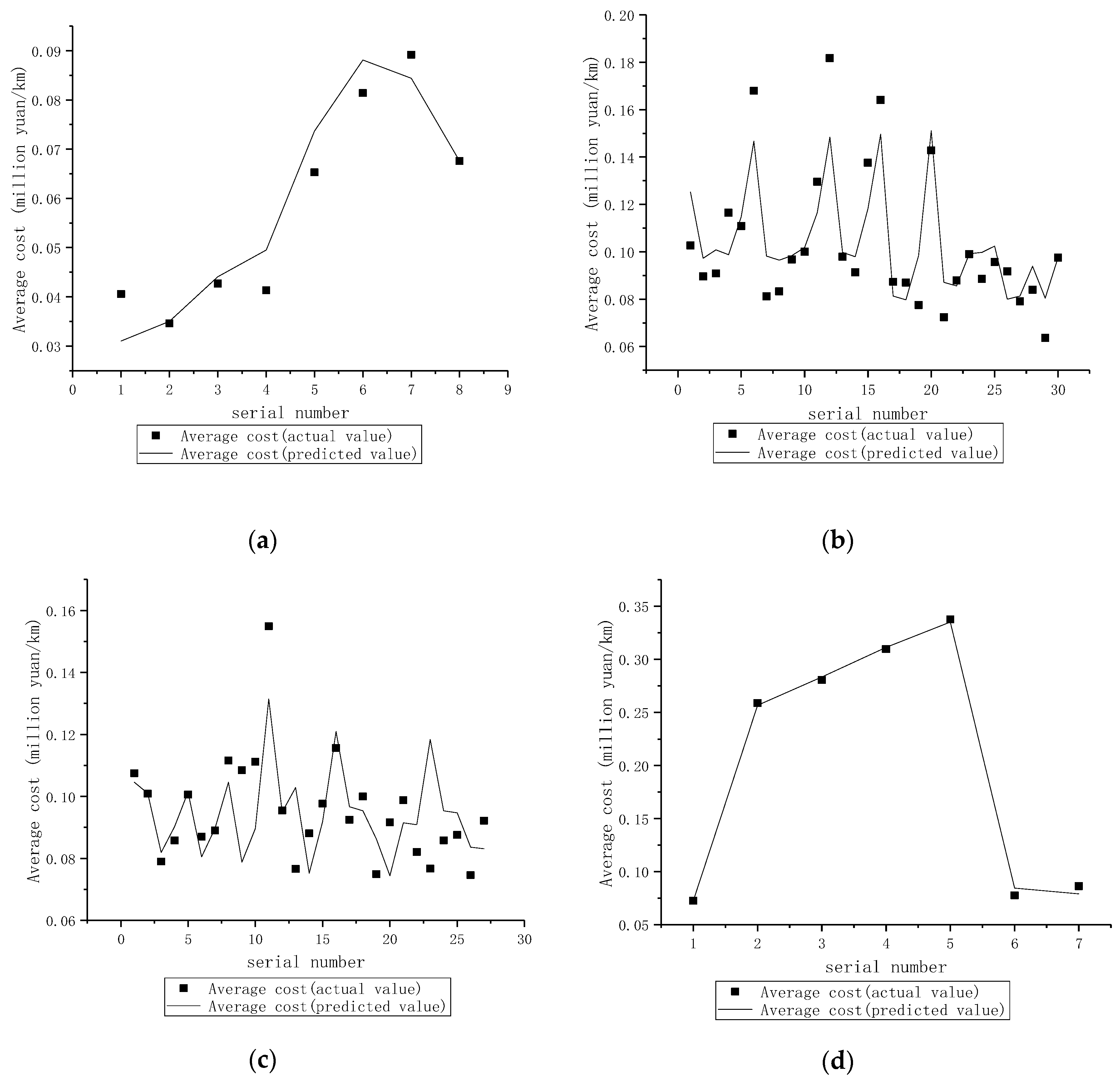
The relationship between the predicted value and the actual value calculated according to the above model is shown in Figure 3, which shows that the predicted value curve is basically the envelope of the actual value curve.
To further test the applicability of the model to other freeways in Guangdong Province, the data of other two freeways in the region was investigated (Table 8). It can be seen that the model basically meets the actual requirements after testing the model of this group.
In the above verification process, the predicted cost can cover the actual cost. The actual cost of highway 17 is within the confidence interval, while highway 18 is not. The reasons are as follows: (1) The using time of highway 18 is extremely long, so the road performance is seriously attenuated; (2) the traffic volume is very large; (3) lane expansion has been carried out, which is one of the few eight-lane highways in Guangdong Province.
For economic verification, the methodology was applied to three trunk highways in Guangdong Province. The economic and social benefits obtained are as follows: (1) Saving of about 3% of maintenance costs, increasing investment in construction of other projects and promoting local development; (2) increased the road capacity and toll income due to the timely and reasonable maintenance measures; (3) reduced the circulation time of personnel and goods, so industry development is accelerated, production and sales costs are reduced, and the market is expanded for products and human resources; (4) improved the technical level of cost management so that the benefits of maintenance funds are maximized.

5.4. Major Rehabilitation Cost Analysis

The freeways in Guangdong Province, especially built during "The eighth Five-Year Plan"(the year of 1991 to the year of 1995) and "The ninth Five-Year Plan"(the year of 1996 to the year of 2000), began to enter the peak period of maintenance [24], reconstruction and expansion. The following three typical freeways were opened to traffic in 1996 and their quality levels of major rehabilitation acceptance were all qualified. Therefore, these three freeways are comparable. The specific details are shown in Table 9 and Table 10.
Through analysis and comparison between the costs of rehabilitation, reconstruction, and expansion, the conclusions are as follows:
  • The proportion of major rehabilitation costs to infrastructure investment is 77.93% and 111.65% respectively, where the excess is less than 15%. So, infrastructure investment can basically meet the major rehabilitation cost requirements.
  • The range of major rehabilitation costs is [363.77, 680.62]. However, due to the small number of samples and the individuality of the major rehabilitation, existing data is not enough to determine the interval of major rehabilitation cost.
  • The freeways strictly enforced the contract terms, carried out the bidding system better, controlled the changes of engineering quantity and unit price effectively, proposed an optimization plan and adopted other measures in the whole process of the project. Therefore, the total cost of the final audit was within the approved design estimates and was balanced.
  • The average cost level of the renovation and expansion was significantly higher than that of the major rehabilitation.

5.5. Comparison with Existing Methodology

Based on the discussion and calculation from the Guangdong Province highway case, a control index with high fitting degree is being performed and having remarkable economic and social benefits. However, it is too early to select this methodology as the best strategy to control maintenance costs only according to the qualitative analysis results. As such, this makes a comparison with the latest available methods indispensable. As for previous assumption, three elements are selected in this comparison as the criteria: sample capacity, accuracy, dynamics. The comparison results are described in detail as follows:
  • Sample capacity. It is observed that small sample capacity causes regression analysis results to be less resistant to risk. Models established by Chang’an University [11] and Wu’s [12] only used the cost data of the highway for a certain year and a certain region, while this paper investigated and screened 18 highways in different geographical locations for nearly seven years.
  • Accuracy. The fitting degrees R2 of all existing models are higher than 0.85 (11–13, 15–17), but neither of them validated the calculation results and actual benefits. As such, this makes the accuracy suspect. Based on the above research, this paper analyzed the correlation and further expressed it with Tornado Diagrams. At the same time, the calculation results were verified in depth.
  • Dynamics. The existing analysis of maintenance cost control in China did not consider the discount rate or convert the cost through a fixed value rather than market fluctuation. In contrast, this paper proposes to convert the RPI over the years and determine the threshold and principle of the corresponding coefficients of the main influencing factors.

6. Conclusions and Recommendations

This paper analyzed a comprehensive situation of sustainable pavement maintenance cost in China, dynamically and empirically. In conclusion, the major findings from this study can be described as follows:
  • Multiple statistical methods are conducted to reduce the dimension of influencing factors of maintenance cost and a sensitivity analysis is conducted to calculate the impact levels of different factors. The influence level of each factor is sorted as follows: traffic volumes ≈ using time > the number of lanes > location ≈ major rehabilitation ≈ overlay. Based on this calculation, it is serviceable for the administrative department to develop countermeasures and allocate funds reasonably in order to mitigate pavement management risks.
  • This paper proposes how to establish control reference indicators of routine and intermediate maintenance costs for the case of the highways in Guangdong. The coefficients of six major factors mentioned above are summarized through the analysis of historical data and can change dynamically with market conditions. The cost model and confidence interval are determined in the best fitting perspective. The basic model of routine maintenance costs is as follows: Y = K × (a × X1 + b × X2 + c × X3 + d) × e ^ (X4) × f ^ (X5). The control intervals are (8.73, 11.91) and (41.12, 59.32) respectively. These findings have been proved to be beneficial for social and economy benefits when applied to the practical application of the highways in Guangdong Province.
  • Through the analysis of typical highways, the contract terms and bidding system should be strictly implemented, in order to guarantee that the total cost meets the design budget requirements. “Construction is more important than maintenance” is still the dominant ideology of highway construction in China. The major rehabilitation cost range cannot be determined, in this paper, due to its uniqueness and individuality, which needs to be studied in depth.
During the investigation, some construction and maintenance costs for rural roads in China were found to be self-raised by residents. The existing PMS is not widely used for practical application while data of road maintenance are still unavailable and opaque in China at present. It is strongly suggested to conduct a further study on the maintenance costs of rural roads and national roads and establish a road open information platform with the ability of popularization.

7. Patents

The patents and software copyrights generated by the work of this research are under review.

Author Contribution

Formal analysis, Lan Huang; Investigation, Yonghong Yang and Jiecong Wang; Project administration, Yonghong Yang; Software, Yuanbo xia; Writing—original draft, Lan Huang.

Funding

This research was supported by the National Natural Science Foundation of China (Grant No. 51508204) and the Scientific Fund of Guangdong Provincial Department of Transportation (Grant Number 2013-02-077) and was sponsored by the State Key Laboratory of Subtropical Building Science (Grant Number 2018ZB32) and was sponsored by the Key Laboratory of Highway Engineering of the Ministry of Education, Changsha University of Science & Technology (Grant Number kfj160203) in China.

Acknowledgments

The authors are grateful for the support of the project panel, project team and all persons who helped with the research.

Conflicts of Interest

The authors declare no conflict of interest. The funders had no role in the design of the study; in the collection, analyses, or interpretation of data; in the writing of the manuscript, or in the decision to publish the results.

References

  1. Robert, M.D. Pavement Preservation: Preserving Our Investment in Highways. 2000. Available online: https://www.fhwa.dot.gov (accessed on 30 September 2018).
  2. Bagdatli, M.E.C. Fuzzy Logic-Based Life-Cycle Cost Analysis of Road Pavements. J. Transp. Eng. Part B-Pavements 2018, 144. [Google Scholar] [CrossRef]
  3. Venkata, M.; Imad, B.; Khushminder, S. Mechanistic-Empirical and Life-Cycle Cost Analysis for Optimizing Flexible Pavement Maintenance and Rehabilitation. J. Transp. Eng. 2012. [Google Scholar] [CrossRef]
  4. Panagiotis, C.; Bob, G.; Konstantina, G.; Fred, L.; Kumares, C. Cost Savings Analysis of Performance-Based Contracts for Highway Maintenance Operations. J. Infrastruct. Syst. 2010, 16, 251–263. [Google Scholar] [CrossRef]
  5. Arthur, C.; Gregory, K.; Eric, G. Evaluation of Life-Cycle Cost Analysis Practices Used by the Michigan Department of Transportation. J. Transp. Eng. 2008, 134, 236–245. [Google Scholar] [CrossRef]
  6. Federal Highway Administration (FHWA). Life-Cycle Cost Analysis Real Cost User Manual; Office of Asset Management: Washington, DC, USA, 2004. [Google Scholar]
  7. AASHTO. MMS-1-2005 “Guidelines for Maintenance Management Systems”; AASHTO: Washington, DC, USA, 2005. [Google Scholar]
  8. AASHTO. PMG-1-2001 “Pavement Management Guide”; AASHTO: Washington, DC, USA, 2001. [Google Scholar]
  9. AASHTO. A Policy on Geometric Design of Highways and Streets, 7th ed.; American Association of State Highway and Transportation Officials: Washington, DC, USA, 2011. [Google Scholar]
  10. Wu, D.; Yuan, C.; Liu, H. A risk-based optimization for pavement preventative maintenance with probabilistic LCCA: A Chinese case. Int. J. Pavement Eng. 2015, 18, 11–25. [Google Scholar] [CrossRef]
  11. Jin, M.; Yang, M.R.; Wang, X.C. Research on Evaluation Model and Evaluation System of Highway Maintenance Cost. Road Mach. Construct. Mech. 2015, 32, 63–66. [Google Scholar] [CrossRef]
  12. Wu, C.L. Research on the Estimation Model of Highway Asphalt Pavement Maintenance Cost Based on Target Maintenance Cycle. Master’s Thesis, Chongqing Jiaotong University, Chongqing, China, 2016. [Google Scholar]
  13. Yue, S. Life Cycle Cost Calculation Model of Freeway Whole Society. Master’s Thesis, Harbin Institute of Technology, Harbin, China, 2014. [Google Scholar]
  14. Osorio, A.; Chamorro, A.; Tighe, S.; Videla, C. Calibration and Validation of Condition Indicator for Managing Urban Pavement Networks. Transportation Research Record: J. Transp. Res. Board 2014, 2455, 28–36. [Google Scholar] [CrossRef]
  15. Zhang, Y.F.; Gu, J. Research on Evaluation of Influencing Factors of Highway Maintenance Engineering Cost. Highway Eng. 2014, 39, 247–251. [Google Scholar] [CrossRef]
  16. Zheng, K.J. Research on Maintenance Cost and Control of Freeway. Master’s Thesis, Chongqing Jiaotong University, Chongqing, China, 2017. [Google Scholar]
  17. Zhao, H.Y. Research on Road Maintenance Cost Control Technology Based on Life Cycle; Chang’an University: Xi’an, China, 2012. [Google Scholar]
  18. Shi, X.L.; Yang, M.R. Evaluation for Investment Cost Influence Factors of Expressway Project. In Proceedings of the 2011 Asia-Pacific Power and Energy Engineering Conference (APPEEC), Wuhan, China, 25–28 March 2011; pp. 1–5. [Google Scholar] [CrossRef]
  19. Federal Highway Administration (FHWA). Life-Cycle Cost Analysis in Pavement Design-In Search of Better Investment Decisions; Office of Asset Management: Washington, DC, USA, 1998. [Google Scholar]
  20. Shapiro, S.S.; Wilk, M.B. An Analysis of Variance Test for Normality (Complete Samples). Biometrika 1965, 52, 591. [Google Scholar] [CrossRef]
  21. Yang, M.R. Research on Cost Management Technology of Highway Maintenance Process. Master’s Thesis, Chang’an University, Xi’an, China, 2013. [Google Scholar]
  22. Design Specification for Highway Alignment; JTG D20; China Communications Press: Beijing, China, 2017.
  23. Technical Standard of Highway Engineering; JTG B01; China Communications Press: Beijing, China, 2014.
  24. Budget Compilation Method of Highway Operation and Maintenance, Beijing, China, Haven’t been published.
Figure 1. The influence factors of highway maintenance cost.
Figure 1. The influence factors of highway maintenance cost.
Sustainability 11 00877 g001
Figure 2. Tornado diagram for factors.
Figure 2. Tornado diagram for factors.
Sustainability 11 00877 g002
Figure 3. Verified model. (a) Using time is five years or less; (b) using time is between five years to 10 years; (c) using time is between 10 years to 15 years; (d) using time is 15 years or more.
Figure 3. Verified model. (a) Using time is five years or less; (b) using time is between five years to 10 years; (c) using time is between 10 years to 15 years; (d) using time is 15 years or more.
Sustainability 11 00877 g003
Table 1. Retail price index (RPI) in Guangdong Province.
Table 1. Retail price index (RPI) in Guangdong Province.
Year20102011201220132014201520162017
RPI103.31105.08102.19100.98101.4499.65100.78101.59
Table 2. Routine maintenance cost of freeways in Guangdong Province (0.01 million CNY/km).
Table 2. Routine maintenance cost of freeways in Guangdong Province (0.01 million CNY/km).
Year2010201120122013201420152016
Name
Highway 119.0823.1518.9317.6515.9412.5912.91
Highway 28.069.498.528.939.148.627.77
Highway 310.2710.7510.0910.0611.167.667.25
Highway 49.029.287.357.839.909.177.49
Highway 58.969.687.908.7010.858.819.17
Highway 69.0910.008.588.9011.129.779.88
Highway 76.938.826.707.758.867.918.21
Highway 811.6514.0111.2414.5213.159.8910.67
Highway 911.0912.9613.7612.6711.511
Highway 1016.8018.1816.4114.2815.4911.577.67
Highway 118.129.798.737.249.559.258.58
Highway 128.339.138.708.799.5710.008.76
Highway 134.064.276.533.648.928.40
Highway 143.464.139.448.146.766.37
Highway 1523.8025.8528.0430.9533.76
Highway 169.757.469.22
1 The spaces in the above table are missing parts of the investigation.
Table 3. Freeway model parameter value.
Table 3. Freeway model parameter value.
NameOpening Time to TrafficThe Number of LanesThe Time of Major RehabilitationThe Time of OverlayRegional Coefficient
Highway 12005411
Highway 21996411/20091
Highway 3200042011 & 2012 & 201520141.25
Highway 42005420151
Highway 5200142005 & 201520121
Highway 620014200320151
Highway 72005420151
Highway 82001420121
Highway 9200341.2
Highway 102003420141.5
Highway 11200342012 & 20151
Highway 12200442012 & 20151
Highway 13201041
Highway 142010420151
Highway 15199761
Highway 16200461
1 The space indicates that the highway has not been overhauled or overlaid since it was opened to traffic.
Table 4. AADT of freeways in Guangdong Province (pcu/d).
Table 4. AADT of freeways in Guangdong Province (pcu/d).
Year2010201120122013201420152016
Name
Highway 140,73639,35343,33848,10552,4354738749173
Highway 239,94341,45244,51447,64647,21949,31344,825
Highway 322,81124,24326,29627,36128,59932,56740,366
Highway 414,16612,01815,62319,23624,78920,61921,323
Highway 57,2076,8777,3587,7498,6579,0989,692
Highway 639,75238,51836,14738,31841,75348,87552,349
Highway 729,71124,76525,15627,29929,90135,38135,270
Highway 821,06823,21022,70624,29824,58032,00132,865
Highway 912,55215,14318,82119,75017,66118,06217,754
Highway 1032,29432,66830,47228,18424,5178,2179,239
Highway 1136,01740,73745,38348,35350,69455,71256,607
Highway 1230,50833,64337,64341,55143,79347,97550,485
Highway 133,4053,9965,0325,6906,6797,263
Highway 1410,33511,07012,53713,60916,68117,832
Highway 1574,67476,75376,38388,71196,364107,095108,480
Highway 1640,56640,08846,51437,37243,44843,28245,515
Table 5. Calculated relevancy degree of correlation coefficient.
Table 5. Calculated relevancy degree of correlation coefficient.
CoefficientYX1X2X3X4X5K
Y1
X10.71481
X20.55860.61151
X30.62550.65760.41191
X4−0.1925−0.21740.0469−0.14211
X5−0.17910.04920.1507−0.2265−0.17051
K0.2118−0.17720.0908−0.17580.1611−0.06911
Table 6. Coefficient values.
Table 6. Coefficient values.
CoefficientDefinitionConditionValues
X4Major rehabilitation coefficientOne year after major rehabilitation1
Two year after major rehabilitation0.9
Three year after major rehabilitation0.55
X5Overlay coefficientOne year after overlay1
Two year after overlay0.75
KRegional coefficientThe general highway with poor geographical location and environment1.1–1.2
The general trunk highway1.2–1.3
The trunk highway with poor geographical location environment1.5–1.7
Note. The above values are based on existing research [21] and statistical analysis of large amounts of data. If the major rehabilitation or overlay is carried out for consecutive years, the coefficient of the next year is superimposed while the values can be adjusted according to the actual conditions of each province.
Table 7. Guangdong Province freeway maintenance cost intervals (0.01 million CNY/km * year).
Table 7. Guangdong Province freeway maintenance cost intervals (0.01 million CNY/km * year).
The Type of MaintenanceAverage ValueMaximum ValueMinimum ValueControl IntervalThe Proportion of the Sum (%)
Routine maintenance10.3217.187.88[8.73, 11.91][15.18, 20.36]
Intermediate maintenance50.2286.9123.61[41.12, 59.32][79.64, 84.82]
Table 8. Freeway model parameter value for verification
Table 8. Freeway model parameter value for verification
NameOpening Time to TrafficThe Number of LanesRegional CoefficientThe Year of 2016
Traffic Volumes (pcu/d)Actual Value (0.01 million CNY/km)Predicted Value (0.01 million CNY/km)
Highway 1720106123,7228.629.11
Highway 181989 & 199981.2103,54325.530.05
Table 9. General situation of typical freeway major rehabilitation in Guangdong Province (0.01 million CNY) .
Table 9. General situation of typical freeway major rehabilitation in Guangdong Province (0.01 million CNY) .
NameThe Period of Major RehabilitationBudgetary EstimateActual CostAverage Cost (km*year) Proportion of Investment (%)Proportion of Budgetary Estimate (%)
Highway 211/2008–11/2009106,518.6999,744.88680.6277.9393.64
Highway 173/2009–6/201354,858.6667,805.70363.77123.6
Highway 189/2004–200519,782.3717,621.11450.55111.6589.07
12/2005–12/200649,936.2543,784.76445.3787.68
Average485.08
Table 10. General situation of reconstruction and expansion in Guangdong Province.
Table 10. General situation of reconstruction and expansion in Guangdong Province.
NameThe Period of Reconstruction and ExpansionContentMileage (km) Basic Investment (billion CNY) Average Cost Level (0.01 million CNY/km)
Highway 2In the early stage until 2018146.55
Highway 172008–12/2012Expansion to eight lanes46.640.028,587.98
12/2016–12/2020Expansion to eight lanes33.435.61510,663.17
Highway 18In the early stage until 2018140

Share and Cite

MDPI and ACS Style

Yang, Y.; Huang, L.; Wang, J.; Xia, Y. Research on Reference Indicators for Sustainable Pavement Maintenance Cost Control through Data Mining. Sustainability 2019, 11, 877. https://doi.org/10.3390/su11030877

AMA Style

Yang Y, Huang L, Wang J, Xia Y. Research on Reference Indicators for Sustainable Pavement Maintenance Cost Control through Data Mining. Sustainability. 2019; 11(3):877. https://doi.org/10.3390/su11030877

Chicago/Turabian Style

Yang, Yonghong, Lan Huang, Jiecong Wang, and Yuanbo Xia. 2019. "Research on Reference Indicators for Sustainable Pavement Maintenance Cost Control through Data Mining" Sustainability 11, no. 3: 877. https://doi.org/10.3390/su11030877

APA Style

Yang, Y., Huang, L., Wang, J., & Xia, Y. (2019). Research on Reference Indicators for Sustainable Pavement Maintenance Cost Control through Data Mining. Sustainability, 11(3), 877. https://doi.org/10.3390/su11030877

Note that from the first issue of 2016, this journal uses article numbers instead of page numbers. See further details here.

Article Metrics

Back to TopTop