Knowledge Sharing Willingness and Leakage Risk: An Evolutional Game Model
Abstract
1. Introduction
2. Theoretical Background
2.1. KS in SCs
2.2. Factors Influencing Willingness for KS
2.3. Application of Game Theory to Analyse KS in SC Relationships
3. Model Descriptions and Assumptions
3.1. Model Assumptions and Variables
- (1)
- Both Firm 1 and Firm 2 choose KS.
- The revenue of Firm 1 is defined as: .
- The revenue of Firm 2 is defined as: .
- Firm 1 chooses KS, and Firm 2 chooses NKS.
- The revenue of Firm 1 is defined as: .
- The revenue of Firm 2 is defined as:
- (2)
- Firm 1 chooses NKS, and Firm 2 chooses KS.
- The revenue of Firm 1 is defined as:
- The revenue of Firm 2 is defined as:
- (3)
- Both Firm 1 and Firm 2 choose NKS.
- The revenue of Firm 1 is defined as: .
- The revenue of Firm 2 is defined as: .
3.2. Evolutionary Stable Strategy by Applying Replicator Dynamic Equation
3.3. An Analysis of Stable Strategy under Different Scenarios
4. Analysis Results and Discussion
4.1. Parameter Sensitivity Analysis and Sharing Strategy Simulation
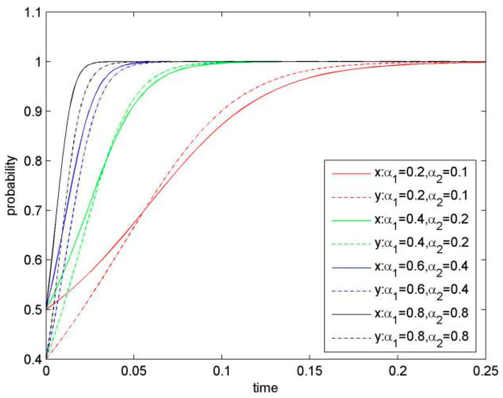
4.1.1. Effect of Knowledge-Sharing Index
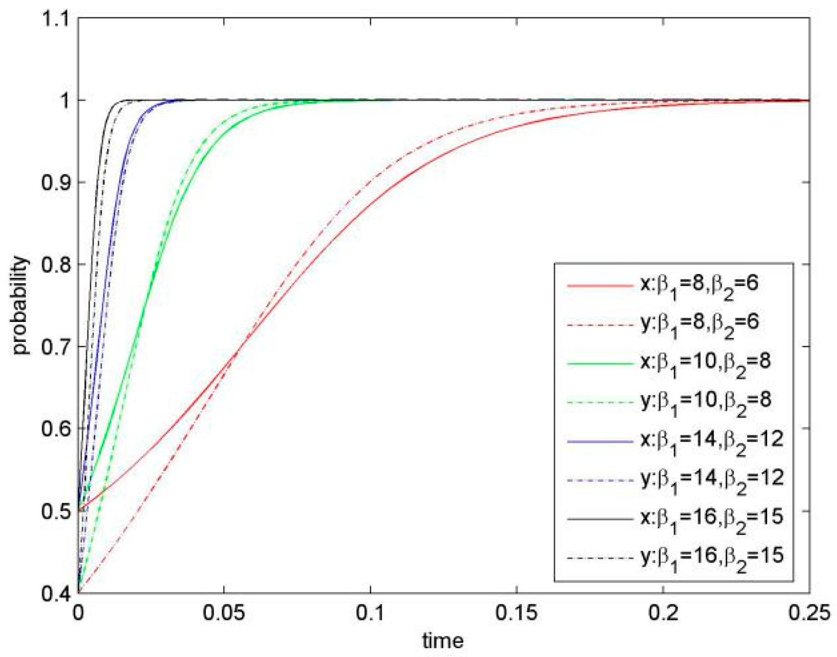
4.1.2. Effect of Revenue Coefficient
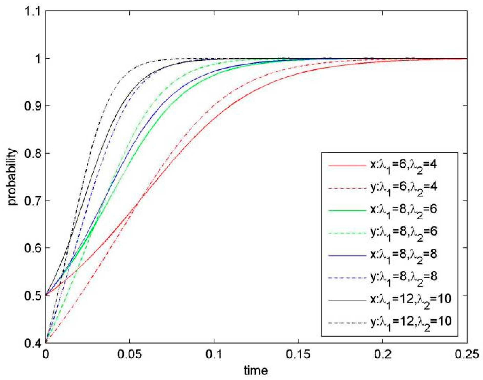
4.1.3. Effect of Synergy Revenue Coefficient
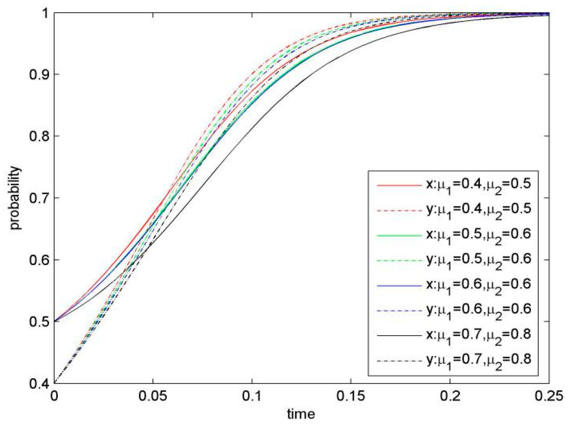
4.1.4. Effect of Rewards
4.1.5. Effect of Knowledge Inference Ability
4.1.6. Effect of Knowledge Relevancy
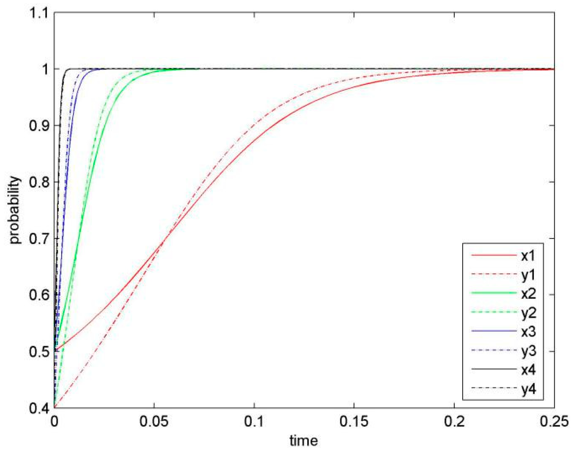
4.1.7. Dissimilarity for Different Game Systems
- (α1 = 0.2, α2 = 0.1; β1 = 8, β2 = 6; λ1 = 6, λ2 = 4; η1 = 2, η2 = 1.5; μ1 = 0.4, μ2 = 0.5; δ1 = 0.3, δ2 = 0.2),
- (α1 = 0.4, α2 = 0.2; β1 = 10, β2 = 8; λ1 = 8, λ2 = 6; η1 = 4, η2. = 3; μ1 = 0.5, μ2 = 0. 6; δ1 = 0.5, δ2 = 0.3),
- (α1 = 0.6, α2 = 0.4; β1 = 14, β2 = 12; λ1 = 8, λ2 = 8; η1 = 6, η2 = 4; μ1 = 0.6, μ2 = 0.6; δ1 = 0.5, δ2 = 0.5),
- (α1 = 0.8, α2 = 0.8; β1 = 16, β2 = 15; λ1 = 12, λ2 = 10; η1 = 8, η2 = 7; μ1 = 0.7, μ2 = 0.8; δ1 = 0.8, δ2 = 0.6).
4.2. Theoretical Implications
4.3. Managerial Implications
5. Discussion
Author Contributions
Funding
Conflicts of Interest
References
- Li, S.; Ragu-Nathan, B.; Ragu-Nathan, T.S.; Rao, S.S. The impact of supply chain management practices on competitive advantage and organizational performance. Omega 2006, 34, 107–124. [Google Scholar] [CrossRef]
- Christopher, M.; Towill, D. An Integrated Model for the Design of Agile Supply Chains. Int. J. Phys. Distrib. Logist. Manag. 2011, 31, 235–246. [Google Scholar] [CrossRef]
- Wang, C.; Fergusson, C.; Perry, D.; Antony, J. A conceptual case-based model for knowledge sharing among supply chain members. Bus. Process Manag. J. 2008, 2, 147–165. [Google Scholar] [CrossRef]
- Bagnoli, C.; Giachetti, C. Aligning knowledge strategy and competitive strategy in small firms. J. Bus. Econ. Manag. 2015, 3, 571–598. [Google Scholar] [CrossRef]
- Cheng, J.H.; Fu, Y.C. Inter-organizational relationships and knowledge sharing through the relationship and institutional orientations in supply chains. Int. J. Inf. Manag. 2013, 33, 473–484. [Google Scholar] [CrossRef]
- Marra, M.; Ho, W.; Edwards, J.S. Supply chain knowledge management: A literature review. Expert Syst. Appl. 2012, 39, 6103–6110. [Google Scholar] [CrossRef]
- Shih, S.C.; Hsu, S.H.Y.; Zhu, Z.; Balasubramanian, S.K.; Shih, S.C. Knowledge sharing—A key role in the downstream supply chain. Inf. Manag. 2012, 49, 70–80. [Google Scholar] [CrossRef]
- Lee, H.L. The Triple-A Supply Chain. Harv. Bus. Rev. 2004, 82, 102–112. [Google Scholar]
- Larsson, R.; Bengtsson, L.; Henriksson, K.; Sparks, J. The interorganizational learning dilemma: Collective knowledge development in strategic alliances. Organ. Sci. 1998, 9, 285–305. [Google Scholar] [CrossRef]
- Dyer, J.H.; Hatch, N.W. Using supplier networks to learn faster. MIT Sloan Manag. Rev. 2004, 45, 57. [Google Scholar]
- Martins, J.T. Relational capabilities to leverage new knowledge: Managing directors’ perceptions in UK and Portugal old industrial regions. Learn. Organ. 2016, 6, 398–414. [Google Scholar] [CrossRef]
- Nalebuff, B.J.; Brandenburger, A.; Maulana, A. Co-Opetition; Harper Collins Business: London, UK, 1996. [Google Scholar]
- Spekman, R.E.; Spear, J.; Kamauff, J. Supply chain competency: Learning as a key component. Supply Chain Manag. Int. J. 2002, 7, 41–55. [Google Scholar] [CrossRef]
- Cheng, J.H.; Yeh, C.H.; Tu, C.W. Trust and knowledge sharing in green supply chains. Supply Chain Manag. Int. J. 2008, 13, 283–295. [Google Scholar] [CrossRef]
- Richard, J.B.; Gillian, F.; Thomas, S.; Ratchev, S.; Pawar, K.; Weber, F.; Wunram, M. Inter-and intra-organisational barriers to sharing knowledge in the extended supply-chain. In Proceedings of the eBusiness and eWork, Madrid, Spain, 18–20 October 2000. [Google Scholar]
- Cummings, J.L.; Teng, B.S. Transferring R&D knowledge: The key factors affecting knowledge transfer success. J. Eng. Technol. Manag. 2003, 20, 39–68. [Google Scholar]
- Cummings, J. Knowledge Sharing: A Review of the Literature; The World Bank Operations Evaluation Department (OED): Washington, DC, USA, 2003. [Google Scholar]
- Nooshinfard, F.; Nemati-Anaraki, L. Success factors of inter-organizational knowledge sharing: A proposed framework. Electron. Libr. 2014, 32, 239–261. [Google Scholar] [CrossRef]
- Cai, S.; Goh, M.; de Souza, R.; Li, G. Knowledge sharing in collaborative supply chains: Twin effects of trust and power. Int. J. Prod. Res. 2013, 51, 2060–2076. [Google Scholar] [CrossRef]
- Chen, Y.H.; Lin, T.P.; Yen, D.C. How to facilitate inter-organizational knowledge sharing: The impact of trust. Inf. Manag. 2014, 51, 568–578. [Google Scholar] [CrossRef]
- Tan, K.H.; Wong, W.P.; Chung, L. Information and Knowledge Leakage in Supply Chain. Inf. Syst. Front. 2016, 18, 621–638. [Google Scholar] [CrossRef]
- Frishammar, J.; Ericsson, K.; Patel, P.C. The dark side of knowledge transfer: Exploring knowledge leakage in joint R&D projects. Technovation 2015, 41, 75–88. [Google Scholar]
- Shih, M.H.; Tsai, H.T.; Wu, C.C.; Lu, C.H. A holistic knowledge sharing framework in high-tech firms: Game and co-opetition perspectives. Int. J. Technol. Manag. 2006, 36, 354–367. [Google Scholar] [CrossRef]
- Anand, K.; Goyal, M. Strategic information management under leakage in a supply chain. Manag. Sci. 2009, 55, 438–452. [Google Scholar] [CrossRef]
- Noseleit, F.; Faria, P. Complementarities of internal R&D and alliances with different partner types. J. Bus. Res. 2013, 66, 2000–2006. [Google Scholar]
- Agarwal, R.; Audretsch, D.; Sarkar, M. Knowledge spillovers and strategic entrepreneurship. Strat. Entrep. J. 2010, 4, 271–283. [Google Scholar] [CrossRef]
- Barney, J. Firm resources and sustained competitive advantage. J. Manag. 1991, 17, 99–120. [Google Scholar] [CrossRef]
- Hall, R.; Andriani, P. Analysing intangible resources and managing knowledge in a supply chain context. Eur. Manag. J. 1998, 16, 685–697. [Google Scholar] [CrossRef]
- Grant, R.M. Toward a knowledge-based theory of the firm. Strat. Manag. J. 1996, 17, 109–122. [Google Scholar] [CrossRef]
- Kogut, B.; Zander, U. Knowledge of the firm, combinative capabilities, and the replication of technology. Organ. Sci. 1992, 3, 383–397. [Google Scholar] [CrossRef]
- Lin, C.; Hung, H.C.; Wu, J.Y.; Lin, B. A knowledge management architecture in collaborative supply chain. J. Comput. Inf. Syst. 2002, 42, 83–94. [Google Scholar]
- Du, T.C.; Lai, V.S.; Cheung, W.; Cui, X. Willingness to share information in a supply chain: A partnership-data-process perspective. Inf. Manag. 2012, 49, 89–98. [Google Scholar] [CrossRef]
- Christopher, M. Logistics and Supply Chain Management: Strategies for Reducing Cost and Improving Service; Financial Times Pitman Publishing: London, UK, 1998. [Google Scholar]
- He, Q.; Gallear, D.; Ghobadian, A. Knowledge transfer: The facilitating attributes in supply-chain partnerships. Inf. Syst. Manag. 2011, 28, 57–70. [Google Scholar] [CrossRef]
- Hung, S.W.; Chen, P.C.; Chung, C.F. Gaining or losing? The social capital perspective on supply chain members’ knowledge sharing of green practices. Technol. Anal. Strat. Manag. 2014, 26, 189–206. [Google Scholar] [CrossRef]
- Karimi, J.; Somers, T.M.; Gupta, Y.P. Impact of environmental uncertainty and task characteristics on user satisfaction with data. Inf. Syst. Res. 2004, 15, 175–193. [Google Scholar] [CrossRef]
- Antonova, A.; Csepregi, A.; Marchev, J.A. How to extend the ICT used at organizations for transferring and sharing knowledge. IUP J. Knowl. Manag. 2011, 9, 37. [Google Scholar]
- Solli-Sæther, H.; Gottschalk, P. Stage-of growth in outsourcing, offshoring and backsourcing: Back to the future? J. Comput. Inf. Syst. 2015, 55, 88–94. [Google Scholar] [CrossRef]
- Williamson, O.E. Transaction-cost economics: The governance of contractual relations. J. Law Econ. 1979, 22, 233–261. [Google Scholar] [CrossRef]
- Williamson, O.E. Outsourcing: Transaction Cost Economics and Supply Chain Management. J. Supply Chain Manag. 2008, 44, 5–16. [Google Scholar] [CrossRef]
- Lawson, B.; Petersen, K.J.; Cousins, P.D.; Handfield, R.B. Knowledge sharing in interorganizational product development teams: The effect of formal and informal socialization mechanisms. J. Prod. Innov. Manag. 2009, 26, 156–172. [Google Scholar] [CrossRef]
- Quinn, J.B. Strategic outsourcing: Leveraging knowledge capabilities. Sloan Manag. Rev. 1999, 40, 9. [Google Scholar]
- Ahmad, A.; Bosua, R.; Scheepers, R. Protecting organizational competitive advantage: A knowledge leakage perspective. Comput. Secur. 2014, 42, 27–39. [Google Scholar] [CrossRef]
- Annansingh, F. Exploring the risks of knowledge leakage: An information systems case study approach. In New Research on Knowledge Management Models and Methods; InTech: London, UK, 2012. [Google Scholar]
- Ritala, P.; Hurmelinna-Laukkanen, P. What’s in it for me? Creating and appropriating value in innovation-related coopetition. Technovation 2009, 29, 819–828. [Google Scholar] [CrossRef]
- Li, Y.; Liu, Y.; Li, M.; Wu, H. Transformational offshore outsourcing: Empirical evidence from alliances in China. J. Oper. Manag. 2008, 26, 257–274. [Google Scholar] [CrossRef]
- Quinn, J.B.; Hilmer, F.G. Strategic outsourcing; The McKinsey Quarterly: Seattle, WA, USA, 1995; pp. 48–70. [Google Scholar]
- Zhang, D.Y.; Zeng, Y.; Wang, L.; Li, H.; Geng, Y. Modeling and evaluating information leakage caused by inferences in supply chains. Comput. Ind. 2011, 62, 351–363. [Google Scholar] [CrossRef]
- Liu, C.H. Network position and cooperation partners selection strategies for research productivity. Manag. Decis. 2015, 53, 494–511. [Google Scholar] [CrossRef]
- Easterby-Smith, M.; Lyles, M.A.; Tsang, E.W. Inter-organizational knowledge transfer: Current themes and future prospects. J. Manag. Stud. 2008, 45, 677–690. [Google Scholar] [CrossRef]
- Ritala, P.; Olander, H.; Michailova, S.; Husted, K. Knowledge sharing, knowledge leaking and relative innovation performance: An empirical study. Technovation 2015, 35, 22–31. [Google Scholar] [CrossRef]
- Inkpen, A.C.; Tsang, E.W. Social capital, networks, and knowledge transfer. Acad. Manag. Rev. 2005, 30, 146–165. [Google Scholar] [CrossRef]
- Liu, L.; Chen, G.; Niu, X. Game analysis of the knowledge sharing mechanism for the supply chain collaborative innovation. J. Ind. Eng. Manag. 2015, 8, 152–169. [Google Scholar] [CrossRef]
- Butler, J.K., Jr. Trust expectations, information sharing, climate of trust, and negotiation effectiveness and efficiency. Group Organ. Manag. 1999, 24, 217–238. [Google Scholar] [CrossRef]
- Butler, J.K., Jr. Behaviors, trust, and goal achievement in a win-win negotiating role play. Group Organ. Manag. 1995, 20, 486–501. [Google Scholar] [CrossRef]
- Kong, D.T.; Dirks, K.T.; Ferrin, D.L. Interpersonal trust within negotiations: Meta-analytic evidence, critical contingencies, and directions for future research. Acad. Manag. J. 2014, 57, 1235–1255. [Google Scholar] [CrossRef]
- Morgan, R.M.; Hunt, S.D. The Commitment-Trust Theory of Relationship Marketing. J. Mark. 1994, 3, 20–38. [Google Scholar] [CrossRef]
- Chow, W.S.; Chan, L.S. Social network, social trust and shared goals in organizational knowledge sharing. Inf. Manag. 2008, 45, 458–465. [Google Scholar] [CrossRef]
- Ho, S.; Hsu, Y.; Lin, E. Model for knowledge-sharing strategies: A game theory analysis. Eng. Proj. Organ. J. 2011, 1, 53–65. [Google Scholar] [CrossRef]
- Arsenyan, J.; Büyüközkan, G.; Feyzioğlu, O. Modeling collaboration formation with a game theory approach. Expert Syst. Appl. 2015, 42, 2073–2085. [Google Scholar] [CrossRef]
- Cachon, G.P.; Harker, P.T. Competition and outsourcing with scale economies. Manag. Sci. 2002, 48, 1314–1333. [Google Scholar] [CrossRef]
- Erkal, N.; Minehart, D. Optimal technology sharing strategies in dynamic games of R&D. J. Econ. Manag. Strategy 2014, 23, 149–177. [Google Scholar]
- Taylor, P.D.; Jonker, L.B. Evolutionary stable strategies and game dynamics. Math. Biosci. 1978, 40, 145–156. [Google Scholar] [CrossRef]
- Kankanhalli, A.; Tan, B.C.Y.; Wei, K.-K. Contributing Knowledge to Electronic Knowledge Repositories: An Empirical Investigation. MIS Q. 2005, 29, 113–143. [Google Scholar] [CrossRef]
- Dixon, N.M. Common Knowledge: How Companies Thrive on Sharing What They Know; Harvard University Press: New York, NY, USA, 2000. [Google Scholar]
- Bartol, K.M.; Srivastava, A. Encouraging Knowledge Sharing: The Role of Organizational Reward Systems. J. Leadersh. Organ. Stud. 2002, 9, 64–76. [Google Scholar] [CrossRef]
- Hofbauer, J.; Sigund, K. Evolutionary Game Dynamics. Bull. Am. Math. Soc. 2003, 40, 479–519. [Google Scholar] [CrossRef]








| Firm 2 KS, y | Firm 2 NKS, 1−y | |
| Firm 1 KS, x | ||
| Firm 1 NKS, 1− x |
| Parameters | π1 | π2 | k1 | k2 | α1 | α2 | β1 | β2 | λ1 | λ2 | η1 | η2 |
| Value | 100 | 80 | 10 | 8 | 0.2 | 0.1 | 8 | 6 | 6 | 4 | 2 | 1.5 |
| Parameters | μ1 | μ2 | δ1 | δ2 | r1 | r2 | c1 | c2 | ρ1 | ρ2 | x | y |
| Value | 0.4 | 0.5 | 0.3 | 0.2 | 3 | 2 | 2 | 1 | 4 | 3 | 0.5 | 0.4 |
© 2019 by the authors. Licensee MDPI, Basel, Switzerland. This article is an open access article distributed under the terms and conditions of the Creative Commons Attribution (CC BY) license (http://creativecommons.org/licenses/by/4.0/).
Share and Cite
Li, Q.; Kang, Y. Knowledge Sharing Willingness and Leakage Risk: An Evolutional Game Model. Sustainability 2019, 11, 596. https://doi.org/10.3390/su11030596
Li Q, Kang Y. Knowledge Sharing Willingness and Leakage Risk: An Evolutional Game Model. Sustainability. 2019; 11(3):596. https://doi.org/10.3390/su11030596
Chicago/Turabian StyleLi, Qian, and Yuanfei Kang. 2019. "Knowledge Sharing Willingness and Leakage Risk: An Evolutional Game Model" Sustainability 11, no. 3: 596. https://doi.org/10.3390/su11030596
APA StyleLi, Q., & Kang, Y. (2019). Knowledge Sharing Willingness and Leakage Risk: An Evolutional Game Model. Sustainability, 11(3), 596. https://doi.org/10.3390/su11030596

