Addressing the Role of Landraces in the Sustainability of Mediterranean Agroecosystems
Abstract
1. Introduction
2. Materials and Methods
2.1. Experimental Design and Locations Description
2.2. Plant Material
2.3. Agronomic Variables
2.4. Weed Biodiversity Indices
2.5. Statistical Analysis
3. Results
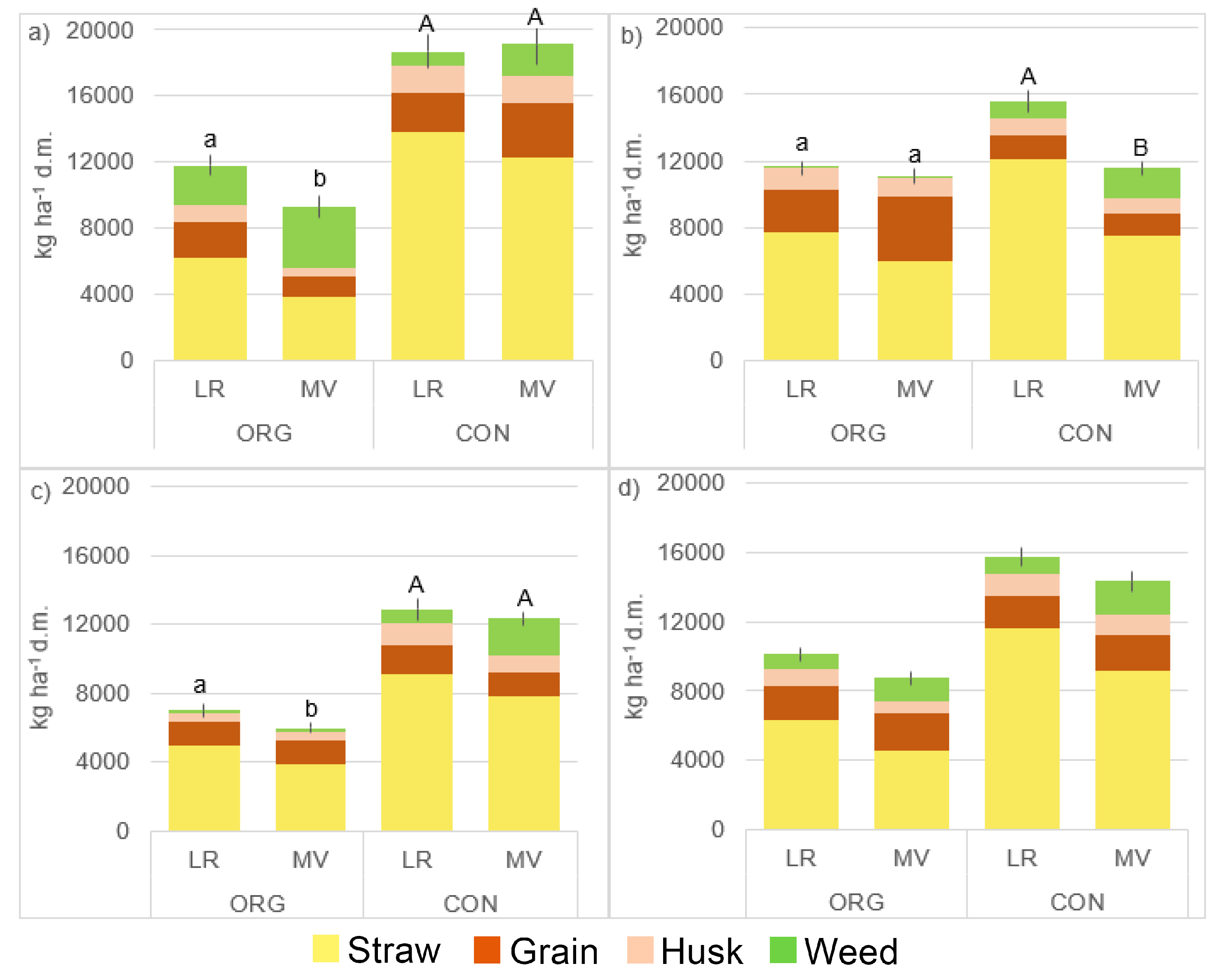
3.1. Net Primary Productivity, Crop Dry Matter, and Weed Biomass
3.2. Weed Density and Biodiversity
3.3. Grain Nitrogen and Straw Carbon Content
4. Discussion
4.1. Crop Dry Matter, Grain Yield, and Straw Biomass
4.2. Weed Biomass and Weed:NPP Ratio
4.3. Weed Density and Biodiversity
Lolium sp.
4.4. Grain Nitrogen and Straw Carbon Content
5. Conclusions
Supplementary Materials
Author Contributions
Funding
Conflicts of Interest
References
- FAOSTAT. FAO Database for Food and Agriculture, Food and Agriculture Organization of United Nations (FAO). 2016. Available online: http://www.fao.org/faostat/en/#home (accessed on 15 April 2018).
- Portmann, F.T.; Siebert, S.; Doell, P. MIRCA2000-Global monthly irrigated and rainfed crop areas around the year 2000: A new high-resolution data set for agricultural and hydrological modeling. Glob. Biogeochem. Cycles 2010, 24. [Google Scholar] [CrossRef]
- MAGRAMA. Ministerio de Agricultura Alimentación y Medio Ambiente. In Encuesta Sobre Superficie y Rendimiento de Cultivos; Resultados 2016; MAGRAMA: Madrid, Spain, 2018. [Google Scholar]
- Challinor, A.J.; Watson, J.; Lobell, D.; Howden, S.; Smith, D.; Chhetri, N. A meta-analysis of crop yield under climate change and adaptation. Nat. Clim. Chang. 2014, 4, 287–291. [Google Scholar] [CrossRef]
- Lobell, D.B.; Schlenker, W.; Costa-Roberts, J. Climate trends and global crop production since 1980. Science 2011, 333, 616–620. [Google Scholar] [CrossRef] [PubMed]
- Olesen, J.E.; Bindi, M. Consequences of climate change for European agricultural productivity, land use and policy. Eur. J. Agron. 2002, 16, 239–262. [Google Scholar] [CrossRef]
- Wolfe, M.S.; Baresel, J.P.; Desclaux, D.; Goldringer, I.; Hoad, S.; Kovacs, G.; van Bueren, E.T.L. Developments in breeding cereals for organic agriculture. Euphytica 2008, 163, 323–346. [Google Scholar] [CrossRef]
- Acreche, M.M.; Briceno-Felix, G.; Sanchez, J.A.M.; Slafer, G.A. Physiological bases of genetic gains in Mediterranean bread wheat yield in Spain. Eur. J. Agron. 2008, 28, 162–170. [Google Scholar] [CrossRef]
- Handmer, J.; Honda, Y.; Kundzewicz, Z.W.; Arnell, N.; Benito, G.; Hatfield, J.; Mohamed, I.F.; Peduzzi, P.; Wu, S.; Sherstyukov, B.; et al. Changes in impacts of climate extremes: Human systems and ecosystems. In Managing the Risks of Extreme Events and Disasters to Advance Climate Change Adaptation; Field, C.B., Barros, V., Stocker, T.F., Qin, D., Dokken, D.J., Ebi, K.L., Mastrandrea, M.D., Mach, K.J., Plattner, G.-K., Allen, S.K., et al., Eds.; Special Report of the Intergovernmental Panel on Climate Change; Cambridge University Press: Cambridge, UK; New York, NY, USA, 2012; pp. 231–290. [Google Scholar]
- Acevedo, E.H.; Silva, P.C.; Silva, H.R.; Solar, B.R. Wheat production in Mediterranean environments. In Wheat: Ecology and Physiology of Yield Determination, 1st ed.; Satorre, E.H., Slafer, G.A., Eds.; CRC Press: Boca Ratón, FL, USA, 1999; pp. 295–331. [Google Scholar]
- Eyzaguirre, P.; Iwanaga, M. Participatory plant breeding. In Proceedings of the a Workshop on Participatory Plant Breeding, Wageningen, The Netherlands, 26–29 July 1995; IPGRI: Rome, Italy, 1995; p. 29. [Google Scholar]
- Annicchiarico, P.; Pecetti, L. Developing a tall durum wheat plant type for semi-arid, Mediterranean cereal–livestock farming systems. Field Crops Res. 2003, 80, 157–164. [Google Scholar]
- Lopes, M.S.; El-Basyoni, I.; Baenziger, P.S.; Singh, S.; Royo, C.; Ozbek, K.; Aktas, H.; Ozer, E.; Ozdemir, F.; Manickavelu, A. Exploiting genetic diversity from landraces in wheat breeding for adaptation to climate change. J. Exp. Bot. 2015, 66, 3477–3486. [Google Scholar] [CrossRef]
- Liu, C.; Cutforth, H.; Chai, Q.; Gan, Y. Farming tactics to reduce the carbon footprint of crop cultivation in semiarid areas. A review. Agron. Sustain. Dev. 2016, 36, 69. [Google Scholar] [CrossRef]
- Baresel, J.; Reents, H.; Zimmermann, G. Field evaluation criteria for nitrogen uptake and nitrogen use efficiency. In Proceedings of the COST SUSVAR/ECO-PB Workshop on Organic Plant Breeding Strategies and the Use of Molecular Markers, Driebergen, The Netherlands, 17–19 January 2005; Lammerts van Bueren, E.T., Goldringer, I., Ostergard, H., Eds.; p. 49. [Google Scholar]
- Foulkes, M.; Sylvester-Bradley, R.; Scott, R. Evidence for differences between winter wheat cultivars in acquisition of soil mineral nitrogen and uptake and utilization of applied fertilizer nitrogen. J. Agric. Sci. 1998, 130, 29–44. [Google Scholar] [CrossRef]
- Calderini, D.F.; Torres-León, S.; Slafer, G.A. Consequences of wheat breeding on nitrogen and phosphorus yield, grain nitrogen and phosphorus concentration and associated traits. Ann. Bot. 1995, 76, 315–322. [Google Scholar] [CrossRef]
- Marshall, E.J.P.; Brown, V.K.; Boatman, N.D.; Lutman, P.J.W.; Squire, G.R.; Ward, L.K. The role of weeds in supporting biological diversity within crop fields. Weed Res. 2003, 43, 77–89. [Google Scholar] [CrossRef]
- Heap, I. The International Survey of Herbicide Resistant Weeds. Available online: www.weedscience.org (accessed on 12 December 2018).
- Mason, H.E.; Spaner, D. Competitive ability of wheat in conventional and organic management systems: A review of the literature. Can. J. Plant Sci. 2006, 86, 333–343. [Google Scholar] [CrossRef]
- Murphy, K.; Dawson, J.; Jones, S. Relationship among phenotypic growth traits, yield and weed suppression in spring wheat landraces and modern cultivars. Field Crops Res. 2008, 105, 107–115. [Google Scholar] [CrossRef]
- Chamorro, L.; Masalles, R.; Sans, F. Arable weed decline in Northeast Spain: Does organic farming recover functional biodiversity? Agric. Ecosyst. Environ. 2016, 223, 1–9. [Google Scholar] [CrossRef]
- Bista, P.; Norton, U.; Ghimire, R.; Norton, J.B. Effects of tillage system on greenhouse gas fluxes and soil mineral nitrogen in wheat (Triticum aestivum L.)-fallow during drought. J. Arid Environ. 2017, 147, 103–113. [Google Scholar] [CrossRef]
- Liu, C.; Lu, M.; Cui, J.; Li, B.; Fang, C. Effects of straw carbon input on carbon dynamics in agricultural soils: A meta-analysis. Glob. Chang. Biol. 2014, 20, 1366–1381. [Google Scholar] [CrossRef]
- Ayadi, S.; Karmous, C.; Chamekh, Z.; Hammami, Z.; Baraket, M.; Esposito, S.; Trifa, Y. Effects of nitrogen rates on grain yield and nitrogen agronomic efficiency of durum wheat genotypes under different environments. Ann. Appl. Biol. 2016, 168, 264–273. [Google Scholar] [CrossRef]
- De Vita, P.; Nicosia, O.L.D.; Nigro, F.; Platani, C.; Riefolo, C.; Di Fonzo, N.; Cattivelli, L. Breeding progress in morpho-physiological, agronomical and qualitative traits of durum wheat cultivars released in Italy during the 20th century. Eur. J. Agron. 2007, 26, 39–53. [Google Scholar] [CrossRef]
- Royo, C.; Alvaro, F.; Martos, V.; Ramdani, A.; Isidro, J.; Villegas, D.; Del Moral, L.F.G. Genetic changes in durum wheat yield components and associated traits in Italian and Spanish varieties during the 20th century. Euphytica 2007, 155, 259–270. [Google Scholar] [CrossRef]
- Townsend, T.J.; Sparkes, D.L.; Wilson, P. Food and bioenergy: Reviewing the potential of dualpurpose wheat crops. Glob. Chang. Biol. Bioenergy 2017, 9, 525–540. [Google Scholar] [CrossRef]
- García-Orenes, F.; Roldán, A.; Mataix-Solera, J.; Cerdà, A.; Campoy, M.; Arcenegui, V.; Caravaca, F. Soil structural stability and erosion rates influenced by agricultural management practices in a semi-arid Mediterranean agro-ecosystem. Soil Use Manag. 2012, 28, 571–579. [Google Scholar] [CrossRef]
- Giambalvo, D.; Ruisi, P.; Di Miceli, G.; Frenda, A.S.; Amato, G. Nitrogen use efficiency and nitrogen fertilizer recovery of durum wheat genotypes as affected by interspecific competition. Agron. J. 2010, 102, 707–715. [Google Scholar] [CrossRef]
- Barton, L.; Hoyle, F.C.; Stefanova, K.T.; Murphy, D.V. Incorporating organic matter alters soil greenhouse gas emissions and increases grain yield in a semi-arid climate. Agric. Ecosyst. Environ. 2016, 231, 320–330. [Google Scholar] [CrossRef]
- Wei, T.; Zhang, P.; Wang, K.; Ding, R.; Yang, B.; Nie, J.; Jia, Z.; Han, Q. Effects of Wheat Straw Incorporation on the Availability of Soil Nutrients and Enzyme Activities in Semiarid Areas. PLoS ONE 2015, 10, e0120994. [Google Scholar] [CrossRef] [PubMed]
- Li Liu, D.; Zeleke, K.T.; Wang, B.; Macadam, I.; Scott, F.; Martin, R.J. Crop residue incorporation can mitigate negative climate change impacts on crop yield and improve water use efficiency in a semiarid environment. Eur. J. Agron. 2017, 85, 51–68. [Google Scholar] [CrossRef]
- MAGRAMA, 2018. Ministerio de Agricultura, Pesca y Alimentación. Encuesta Sobre Superficie y Rendimiento de Cultivos. Resultados de Años Anteriores. 2015. Available online: https://www.mapa.gob.es/es/estadistica/temas/estadisticas-agrarias/boletin2015_tcm30-122275.pdf (accessed on 12 July 2019).
- MAGRAMA, 2018. Ministerio de Agricultura, Pesca y Alimentación. Encuesta Sobre Superficie y Rendimiento de Cultivos. Resultados de Años Anteriores. 2016. Available online: https://www.mapa.gob.es/es/estadistica/temas/estadisticas-agrarias/boletin2016_tcm30-420513.pdf (accessed on 12 July 2019).
- Guarda, G.; Padovan, S.; Delogu, G. Grain yield, nitrogen-use efficiency and baking quality of old and modern Italian bread-wheat cultivars grown at different nitrogen levels. Eur. J. Agron. 2004, 21, 181–192. [Google Scholar] [CrossRef]
- Lemerle, D.; Verbeek, B.; Orchard, B. Ranking the ability of wheat varieties to compete with Lolium rigidum. Weed Res. 2001, 41, 197–209. [Google Scholar] [CrossRef]
- Dawson, J.; Murphy, K.; Huggins, D.; Jones, S. Evaluation of winter wheat breeding lines for traits related to nitrogen use under organic management. Org. Agric. 2011, 1, 65–80. [Google Scholar] [CrossRef]
- Lazzaro, M.; Costanzo, A.; Bàrberi, P. Single vs multiple agroecosystem services provided by common wheat cultivar mixtures: Weed suppression, grain yield and quality. Field Crops Res. 2018, 221, 277–297. [Google Scholar] [CrossRef]
- Lemerle, D.; Verbeek, B.; Cousens, R.D.; Coombes, N.E. The potential for selecting wheat varieties strongly competitive against weeds. Weed Res. 1996, 36, 505–513. [Google Scholar] [CrossRef]
- Armengot, L.; José-María, L.; Chamorro, L.; Sans, F.X. Weed harrowing in organically grown cereal crops avoids yield losses without reducing weed diversity. Agron. Sustain. Dev. 2013, 33, 405–411. [Google Scholar] [CrossRef]
- Blum, A. Effective use of water (EUW) and not water-use efficiency (WUE) is the target of crop yield improvement under drought stress. Field Crops Res. 2009, 112, 119–123. [Google Scholar] [CrossRef]
- Bertholdsson, N.O. Early vigour and allelopathy—Two useful traits for enhanced barley and wheat competitiveness against weeds. Weed Res. 2005, 45, 94–102. [Google Scholar] [CrossRef]
- Carranza-Gallego, G.; Canabal, A.; Souto, X.C.; Pedrol, N.; Guzmán, G.I. Allelopathic Ability of Old and Modern Wheat Varieties under Organic Rainfed Mediterranean Conditions. A Filed and Laboratory Test (In press)
- Casagrande, M.; David, C.; Valantin-Morison, M.; Makowski, D.; Jeuffroy, M.-H. Factors limiting the grain protein content of organic winter wheat in south-eastern France: A mixed-model approach. Agron. Sustain. Dev. 2009, 29, 565–574. [Google Scholar] [CrossRef]
- Batáry, P.; Báldi, A.; Kleijn, D.; Tscharntke, T. Landscape-moderated biodiversity effects of agri-environmental management: A meta-analysis. Proc. R Soc. B 2011, 278, 1894–1902. [Google Scholar] [CrossRef]
- Paoletti, M.G.; Pimentel, D.; Stinner, B.; Stinner, D. Agroecosystem biodiversity: Matching production and conservation biology. Agric. Ecosyst. Environ. 1992, 40, 3–23. [Google Scholar] [CrossRef]
- Romero, A.; Chamorro, L.; Sans, F.X. Weed diversity in crop edges and inner fields of organic and conventional dryland winter cereal crops in NE Spain. Agric. Ecosyst. Environ. 2008, 124, 97–104. [Google Scholar] [CrossRef]
- Cirujeda, A.; Aibar, J.; Zaragoza, C. Remarkable changes of weed species in Spanish cereal felds from 1976 to 2007. Agron. Sustain. Dev. 2011, 31, 675–688. [Google Scholar] [CrossRef]
- Ercoli, L.; Lulli, L.; Arduini, I.; Mariotti, M.; Masoni, A. Durum wheat grain yield and quality as affected by S rate under Mediterranean conditions. Eur. J. Agron. 2011, 35, 63–70. [Google Scholar] [CrossRef]
- Austin, R.B.; Bingham, J.; Blackwell, R.D.; Evans, L.T.; Ford, M.A.; Morgan, C.L.; Taylor, M. Genetic improvements in winter-wheat yields since 1900 and associated physiological-changes. J. Agric. Sci. 1980, 94, 675–689. [Google Scholar] [CrossRef]
- Ruiz, M.; Zambrana, R.; Fite, R.; Sole, A.; Tenorio, J.L.; Benavente, E. Yield and quality performance of traditional and improved bread and durum wheat varieties under two conservation tillage systems. Sustainability 2019, 11, 4522. [Google Scholar] [CrossRef]
- Aguilera, E.; Lassaletta, L.; Gattinger, A.; Gimeno, B.S. Managing soil carbon for climate change mitigation and adaptation in Mediterranean cropping systems: A meta-analysis. Agric. Ecosyst. Environ. 2013, 168, 25–36. [Google Scholar] [CrossRef]
- Iglesias, A.; Mougou, R.; Moneo, M.; Quiroga, S. Towards adaptation of agriculture to climate change in the Mediterranean. Reg. Environ. Chang. 2011, 11, 159–166. [Google Scholar] [CrossRef]
- Parton, W.J.; Gutmann, M.P.; Merchant, E.R.; Hartman, M.D.; Adler, P.R.; McNeal, F.M.; Lutz, S.M. Measuring and mitigating agricultural greenhouse gas production in the US Great Plains, 1870–2000. Proc. Natl. Acad. Sci. USA 2015, 112, E4681–E4688. [Google Scholar] [CrossRef]
- Carranza-Gallego, G.; Guzmán, G.; García-Ruíz, R.; de Molina, M.G.; Aguilera, E. Contribution of old wheat varieties to climate change mitigation under contrasting managements and rainfed Mediterranean conditions. J. Clean. Prod. 2018, 195, 111–121. [Google Scholar] [CrossRef]
- Reynolds, M.; Acevedo, E.; Sayre, K.; Fischer, R. Yield potential in modern wheat varieties: Its association with a less competitive ideotype. Field Crops Res. 1994, 37, 149–160. [Google Scholar] [CrossRef]
- Vernooy, R.; Song, Y. New approaches to supporting the agricultural biodiversity important for sustainable rural livelihoods. Int. J. Agric. Sustain. 2004, 2, 55–66. [Google Scholar] [CrossRef]
- Sener, O.; Arslan, M.; Soysal, Y.; Erayman, M. Estimates of relative yield potential and genetic improvement of wheat cultivars in the Mediterranean region. J. Agric. Sci. 2009, 147, 323–332. [Google Scholar] [CrossRef]
- Garbach, K.; Milder, J.C.; DeClerck, F.A.J.; Montenegro de Wit, M.; Driscoll, L.; Gemmill-Herren, B. Examining multi-functionality for crop yield and ecosystem services in five systems of agroecological intensification. Int. J. Agric. Sustain. 2017, 15, 11–28. [Google Scholar] [CrossRef]
- Ceccarelli, S.; Grando, S. Barley landraces from the Fertile Crescent: A lesson for plant breeders. In Genes in the Field On-Farm Conservation of Crop Diversity; Brush, S.B., Ed.; International Plant Genetic Resources Institute: Rome, Italy, 2000; pp. 51–76. [Google Scholar]
- Adhikari, P.; Araya, H.; Aruna, G.; Balamatti, A.; Banerjee, S.; Baskaran, P.; Barah, B.; Behera, D.; Berhe, T.; Boruah, P. System of crop intensification for more productive, resource-conserving, climate-resilient, and sustainable agriculture: Experience with diverse crops in varying agroecologies. Int. J. Agric. Sustain. 2018, 16, 1–28. [Google Scholar] [CrossRef]
- Moragues, M.; del Moral, L.F.G.; Moralejo, M.; Royo, C. Yield formation strategies of durum wheat landraces with distinct pattern of dispersal within the Mediterranean basin: II. Biomass production and allocation. Field Crops Res. 2006, 95, 182–193. [Google Scholar] [CrossRef]
- Kan, M.; Kucukcongar, M.; Mourgounov, A.; Keser, M.; Ozdemir, F.; Muminjanov, H.; Qualset, C. Wheat landraces production on farm level in Turkey; who is growing in where? Pak. J. Agric. Sci. 2016, 53. [Google Scholar] [CrossRef]




| Properties | Sierra de Yeguas | La Zubia |
|---|---|---|
| CEC (meq/100 g) | 31.19 ± 0.93 | 16.86 ± 0.85 |
| Ca exchangeable (meq/100 g) | 21.94 ± 0.79 | 13.83 ± 0.93 |
| Mg exchangeable (meq/100 g) | 5.80 ± 0.54 | 2.05 ± 0.72 |
| Na exchangeable (meq/100 g) | 1.34 ± 0.07 | 0.50 ± 0.07 |
| K exchangeable (meq/100 g) | 2.12 ± 0.05 | 0.48 ± 0.02 |
| Carbonate (%) | 12.27 ± 3.17 | 18.62 ± 0.20 |
| Limestone (%) | 4.61 ± 1.71 | 4.71 ± 0.43 |
| Olsen P (ppm) | 33.7 ± 4.4 | 27.0 ± 6.6 |
| SOC (%) | 1.39 ± 0.11 | 1.51 ± 0.17 |
| N org (%) | 0.16 ± 0.01 | 0.17 ± 0.01 |
| pH | 8.18 ± 0.02 | 7.99 ± 0.05 |
| pH in ClK | 7.46 ± 0.02 | 7.46 ± 0.03 |
| Assimilable K (ppm) | 927.0 ± 27.3 | 208.4 ± 6.2 |
| Clay (%) | 42.2 ± 1.1 | 16.4 ± 1.2 |
| Sand (%) | 18.6 ± 1.4 | 28.7 ± 3.5 |
| Silt (%) | 39.1 ± 0.9 | 54.8 ± 2.4 |
| Texture | Clay | Silt-loam |
| ORG | CON | |
|---|---|---|
| Location Mean annual temperature (ºC) | Sierra de Yeguas | La Zubia |
| 2013–2014 | 16.0 | 15.3 |
| 2014–2015 | 16.6 | 17.0 |
| 2015–2016 | 16.9 | 15.4 |
| 1982–2012 average | 16.3 | 15.2 |
| Annual precipitation (mm) | ||
| 2013–2014 | 433 | 309 |
| 2014–2015 | 344 | 359 |
| 2015–2016 | 363 | 288 |
| 1982–2012 average | 673 | 462 |
| Farming system | Organic | Conventional |
| Rotation | Wheat-Faba bean | Monoculture |
| Fertilization | Poultry manure (3.6% N, d.m.) (3.0 Mg ha−1, f.m.) | NPK (8:15:15) (570 kg ha−1) |
| N (kg ha−1) | 54 (wheat) + 27 (faba bean) | 45.6 |
| P2O5 (kg ha−1) | n.d. | 85.5 |
| K2O (kg ha−1) | n.d. | 85.5 |
| Weed control | Manual weeding | MCPA 40% (2 l ha−1) |
| Irrigation | Rainfed | Rainfed |
| 2014 | 2015 | 2016 | |||||
|---|---|---|---|---|---|---|---|
| LR | MV | LR | MV | LR | MV | ||
| HI | ORG | 0.235a ± 0.02 | 0.206a ± 0.03 | 0.238b ± 0.01 | 0.393a ± 0.01 | 0.211a ± 0.02 | 0.262a ± 0.02 |
| CON | 0.133b ± 0.01 | 0.179a ± 0.02 | 0.105b ± 0.01 | 0.158a ± 0.03 | 0.145a ± 0.02 | 0.125a ± 0.02 | |
| Grain N uptake | ORG | 43.4a ± 5.0 | 19.7b ± 2.9 | 66.5b ± 2.6 | 87.8a ± 5.3 | 31.3a ± 2.9 | 27.9a ± 2.5 |
| CON | 72.8a ± 5.2 | 79.3a ± 6.9 | 29.1a ± 3.5 | 24.1a ± 4.1 | 34.8a ± 3.3 | 26.2b ± 2.9 | |
| Weed:NPP | ORG | 0.210b ± 0.04 | 0.371a ± 0.04 | 0.0003b ± 0.00 | 0.004a ± 0.00 | 0.019b ± 0.00 | 0.041a ± 0.01 |
| CON | 0.049b ± 0.01 | 0.101a ± 0.01 | 0.064b ± 0.01 | 0.159a ± 0.02 | 0.066b ± 0.02 | 0.181a ± 0.03 | |
| Richness | Density | Margalef | Simpson | Shannon | Pielou | |||
|---|---|---|---|---|---|---|---|---|
| 2015 | ORG | LR | 1.79b ± 0.19 | 9.08b ± 1.35 | 0.73a ± 0.12 | 0.37a ± 0.05 | 0.58a ± 0.08 | 0.71a ± 0.08 |
| MV | 2.63a ± 0.21 | 23.05a ± 3.32 | 0.71a ± 0.10 | 0.39a ± 0.04 | 0.66a ± 0.08 | 0.64a ± 0.07 | ||
| CON | LR | 3.92b ± 0.29 | 26.39b ± 3.59 | 1.26a ± 0.09 | 0.61a ± 0.03 | 1.14a ± 0.07 | 0.83a ± 0.02 | |
| MV | 5.54a ± 0.45 | 91.45a ± 10.79 | 1.23a ± 0.12 | 0.53a ± 0.04 | 1.09a ± 0.09 | 0.64b ± 0.04 | ||
| 2016 | ORG | LR | 3.71b ± 0.23 | 89.33b ± 11.86 | 0.77b ± 0.06 | 0.43a ± 0.03 | 0.77a ± 0.06 | 0.62a ± 0.04 |
| MV | 5.09a ± 0.44 | 140.70a ± 13.55 | 1.00a ± 0.11 | 0.42a ± 0.04 | 0.81a ± 0.09 | 0.50b ± 0.04 | ||
| CON | LR | 5.08a ± 0.43 | 50.35b ± 5.58 | 1.48a ± 0.18 | 0.61a ± 0.04 | 1.20a ± 0.09 | 0.77a ± 0.04 | |
| MV | 5.71a ± 0.46 | 124.90a ± 10.78 | 1.15a ± 0.11 | 0.55a ± 0.04 | 1.10a ± 0.09 | 0.63b ± 0.03 |
© 2019 by the authors. Licensee MDPI, Basel, Switzerland. This article is an open access article distributed under the terms and conditions of the Creative Commons Attribution (CC BY) license (http://creativecommons.org/licenses/by/4.0/).
Share and Cite
Carranza-Gallego, G.; Guzmán, G.I.; Garcia-Ruíz, R.; González de Molina, M.; Aguilera, E. Addressing the Role of Landraces in the Sustainability of Mediterranean Agroecosystems. Sustainability 2019, 11, 6029. https://doi.org/10.3390/su11216029
Carranza-Gallego G, Guzmán GI, Garcia-Ruíz R, González de Molina M, Aguilera E. Addressing the Role of Landraces in the Sustainability of Mediterranean Agroecosystems. Sustainability. 2019; 11(21):6029. https://doi.org/10.3390/su11216029
Chicago/Turabian StyleCarranza-Gallego, Guiomar, Gloria I. Guzmán, Roberto Garcia-Ruíz, Manuel González de Molina, and Eduardo Aguilera. 2019. "Addressing the Role of Landraces in the Sustainability of Mediterranean Agroecosystems" Sustainability 11, no. 21: 6029. https://doi.org/10.3390/su11216029
APA StyleCarranza-Gallego, G., Guzmán, G. I., Garcia-Ruíz, R., González de Molina, M., & Aguilera, E. (2019). Addressing the Role of Landraces in the Sustainability of Mediterranean Agroecosystems. Sustainability, 11(21), 6029. https://doi.org/10.3390/su11216029

