Spatio-Temporal Variability and the Factors Influencing Soil-Available Heavy Metal Micronutrients in Different Agricultural Sub-Catchments
Abstract
1. Introduction
2. Materials and Methods
2.1. Study Area
2.2. Date Collection
2.2.1. Soil Sampling and Measurement
2.2.2. Spatial Data Extraction
2.3. Data Analysis and Assessment
2.3.1. Descriptive Statistical Analysis
2.3.2. Geostatistical Analysis
2.3.3. Assessment of Soil-Available Microelements
3. Results
3.1. Soil-Available Micronutrients
3.2. Spatial Distribution of Soil-Available Micronutrients
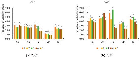
3.3. Assessment of Soil-Available Micronutrients in the Different Sub-Catchments
3.4. Influencing Factors
3.4.1. The Soils’ Chemical Properties
3.4.2. Correlation Analysis
3.4.3. Influencing Factors’ Analyses
4. Discussion
4.1. Spatial Variability of Available Micronutrients
4.2. Changes in Soil-Available Micronutrient Concentrations from 2007 to 2017
4.3. The Relationship between Soil-Available Micronutrients and Soil Properties
5. Conclusions
Author Contributions
Funding
Acknowledgments
Conflicts of Interest
References
- Wani, M.A.; Wani, J.A.; Bhat, M.A.; Kirmani, N.A.; Wani, Z.M.; Bhat, S.N. Mapping of soil micronutrients in Kashmir agricultural landscape using ordinary kriging and indicator approach. J. Indian Soc. Remote Sens. 2013, 41, 319–329. [Google Scholar] [CrossRef]
- Nath, A.J.; Lal, R.; Sileshi, G.W.; Das, A.K. Managing India’s small landholder farms for food security and achieving the “4 per Thousand” target. Sci. Total Environ. 2018, 634, 1024–1033. [Google Scholar] [CrossRef] [PubMed]
- Ye, H.C.; Shen, C.Y.; Huang, Y.F.; Zhang, S.W.; Jia, X.H. Spatial variability of available soil microelements in an ecological functional zone of Beijing. Environ. Monit. Assess. 2015, 187, 13. [Google Scholar] [CrossRef] [PubMed]
- Szopka, K.; Karczewska, A.; Jezierski, P.; Kabala, C. Spatial distribution of lead in the surface layers of mountain forest soils, an example from the karkonosze national park, poland. Geoderma 2013, 192, 259–268. [Google Scholar] [CrossRef]
- Ramzan, S.; Wani, M.A. Geographic Information System and geostatistical techniques to characterize spatial variability of soil micronutrients including toxic metals in an agricultural farm. Commun. Soil Sci. Plant Anal. 2018, 49, 463–477. [Google Scholar] [CrossRef]
- Zhu, H.; Hu, W.; Bi, R.; Peak, D.; Si, B. Scale-and location-specific relationships between soil available micronutrients and environmental factors in the Fen River basin on the Chinese Loess Plateau. Catena 2016, 147, 764–772. [Google Scholar] [CrossRef]
- Arvind, K.S.; Nishant, K.S.; Pankaj, K.T.; Chandra, P.; Sanjib, K.B.; Narendra, K.L.; Vinod, K.S.; Brahma, S.D.; Kaushik, M.; Anil, K.; et al. Spatial distribution and management zones for Sulphur and micronutrients in Shiwalik Himalayan Region of India. Land Degrad. Dev. 2017, 28, 959–969. [Google Scholar]
- Li, B.Y.; Zhou, D.M.; Cang, L.; Zhang, H.L.; Fan, X.H.; Qin, S.W. Soil micronutrient availability to crops as affected by long-term inorganic and organic fertilizer applications. Soil Tillage Res. 2007, 96, 166–173. [Google Scholar] [CrossRef]
- Wu, J.; Li, Y.H.; Li, Z.B.; Fang, Z.; Zhong, Y. Spatial distribution and influencing factors of farmland soil organic matter and trace elements in the nansihu region. Acta Ecol. Sin. 2014, 34, 1596–1605. [Google Scholar]
- Jiménez-Ballesta, R.; García-Navarro, F.J.; Bravo, S.; Amorís, J.A.; Pérez-de-los-Reyes, C.; Mejías, M. Environmental assessment of potential toxic trace element contents in the inundated floodplain area of Tablas de Daimiel wetland. Environ. Geochem. Health 2017, 39, 1159–1177. (In Spanish) [Google Scholar]
- Tesfahunegn, G.B.; Tamene, L.; Vlek, P.L.G. Catchment-scale spatial variability of soil properties and implications on site-specific soil management in northern Ethiopia. Soil Tillage Res. 2011, 117, 124–139. [Google Scholar] [CrossRef]
- Zhang, S.; Li, Z.; Yang, X. Effects of long-term inorganic and organic fertilization on soil micronutrient status. Commun. Soil Sci. Plant Anal. 2015, 46, 1778–1790. [Google Scholar] [CrossRef]
- Sanjeevani, U.K.P.S.; Indraratne, S.P.; Weerasooriya, R.; Vitharana, U.W.A.; Kumaragamage, D. Identifying the sources and contamination status of potentially toxic trace elements in agricultural soils. Commun. Soil Sci. Plant Anal. 2017, 48, 865–877. [Google Scholar] [CrossRef]
- Mansilla, R.; Nóvoa-Muñoz, J.C.; Pontevedra-Pombal, X.; Pancotto, V.; Gómez-Armesto, A.; Escobar, J.; Moretto, A. Temporal and spatial changes in soil micronutrients in managed Nothofagus pumilio, forest of Tierra del Fuego, Argentina. Environ. Earth Sci. 2016, 75, 738. [Google Scholar] [CrossRef]
- Lindsay, W.L.; Norvell, W.A. Development of a DTPA soil test for Zinc, Iron, Manganese, and Copper. Soil Sci. Soc. Am. J. 1978, 42, 421–428. [Google Scholar] [CrossRef]
- Walkley, A.; Black, C. Determination of organic carbon. Soil Sci. 1934, 37, 1372–1375. [Google Scholar]
- Olsen, S.J.; Kumnuan, U.; Ly, S.; Uyeki, T.M.; Dowell, S.F.; Cox, N.J.; Aldis, W.; Chunsuttiwat, S. Family clustering of avian influenza a (H5N1). Emerg. Infect. Dis. 2005, 11, 1799–1801. [Google Scholar] [CrossRef]
- Jackson, M.L. Soil Chemical Analysis. Soil Sci. 1973, 85, 288. [Google Scholar]
- Coburn, T.C. Geostatistics for natural resources evaluation. Technometrics 2000, 42, 437–438. [Google Scholar] [CrossRef]
- Burgess, T.M.; Webster, R. Optimal interpolation and isar1thmic mapping of soil properties: I the semi-variogram and punctual krig1ng. Eur. J. Soil Sci. 1980, 31, 315–331. [Google Scholar] [CrossRef]
- Wang, D.X.; Fu, D.Y. Evaluation of soil trace elements availability in western Jilin province. Soil 2002, 2, 86–89. [Google Scholar]
- Nielsen, D.R.; Bouma, J. Soil Spatial Variability. In Proceedings of a Workshop of the ISSS and the SSSA, Las Vegas, USA/Pdc296; Center Agricultural Pub and Document: Wageningen, The Netherlands, 1985. [Google Scholar]
- Zhang, F.; Yin, G.; Wang, Z.; McLaughlin, N.; Geng, X.; Liu, Z. Quantifying spatial variability of selected soil trace elements and their scaling relationships using multifractal techniques. PLoS ONE 2013, 8, e69326. [Google Scholar] [CrossRef] [PubMed][Green Version]
- Opfergelt, S.; Cornélis, J.T.; Houben, D.; Givron, C.; Burton, K.W.; Mattielli, N. The influence of weathering and soil organic matter on Zn isotopes in soils. Chem. Geol. 2017, 466, 140–148. [Google Scholar] [CrossRef]
- Choudhary, M.; Panday, S.C.; Meena, V.S.; Singh, S.; Yadav, R.P.; Mahanta, D.; Mondal, T.; Mishra, P.K.; Bisht, J.K.; Pattanayak, A. Long-term effects of organic manure and inorganic fertilization on sustainability and chemical soil quality indicators of soybean-wheat cropping system in the Indian mid-Himalayas. Agric. Ecosyst. Environ. 2018, 257, 38–46. [Google Scholar] [CrossRef]
- Ayoub, S.; Mehnatkesh, A.; Jalalian, A.S.; Sahrawat, K.L.; Gheysari, M. Relationships between grain protein, Zn, Cu, Fe and Mn contents in wheat and soil and topographic attributes. Arch. Agron. Soil Sci. 2014, 60, 625–638. [Google Scholar] [CrossRef]
- Reza, S.K.; Nayak, D.C.; Mukhopadhyay, S.; Chattopadhyay, T.; Singh, S.K. Characterizing spatial variability of soil properties in alluvial soils of India using geostatistics and geographical information system. Arch. Agron. Soil Sci. 2017, 63, 1489–1498. [Google Scholar] [CrossRef]
- Zhang, Z.; Ren, Y.; Lu, J.W.; Zheng, L.; Miao, J.; Li, X.K.; Ren, T.; Cong, R.H. Spatial distribution of micronutrients in farmland soils in the mid-reaches of the Yangtze River. Acta Pedol. Sin. 2016, 53, 1489–1496. [Google Scholar]
- Zia, M.H.; Watts, M.J.; Niaz, A.; Middleton, D.R.S.; Kim, A.W. Health risk assessment of potentially harmful elements and dietary minerals from vegetables irrigated with untreated wastewater, Pakistan. Environ. Geochem. Health 2017, 39, 707–728. [Google Scholar] [CrossRef]
- Kuppusamy, S.; Yoon, Y.E.; Kim, S.Y.; Kim, J.H.; Kim, H.T.; Lee, Y.B. Does long-term application of fertilizers enhance the micronutrient density in soil and crop? Evidence from a field trial conducted on a 47-year-old rice paddy. J. Soils Sediments 2018, 18, 49–62. [Google Scholar] [CrossRef]
- Verma, T.P.; Moharana, P.C.; Naitam, R.K.; Meena, R.L.; Kumar, S.; Singh, R.; Tailor, B.L.; Singh, R.S.; Singh, S.K. Impact of cropping intensity on soil properties and plant available nutrients in hot arid environment of North-Western India. J. Plant Nutr. 2017, 40, 2872–2888. [Google Scholar] [CrossRef]
- Lambert, R.; Grant, C.; Sauvé, S. Cadmium and zinc in soil solution extracts following the application of phosphate fertilizers. Sci. Total Environ. 2007, 378, 293–305. [Google Scholar] [CrossRef] [PubMed]
- Likar, M.; Vogel-Mikuš, K.; Potisek, M.; Hancevic, K.; Radic, T.; Necemer, M.; Regvar, M. Importance of soil and vineyard management in the determination of grapevine mineral composition. Sci. Total Environ. 2015, 505, 724–731. [Google Scholar] [CrossRef] [PubMed]
- Wei, X.; Hao, M.; Shao, M.; Gale, W.J. Changes in soil properties and the availability of soil micronutrients after 18 years of cropping and fertilization. Soil Tillage Res. 2006, 91, 120–130. [Google Scholar] [CrossRef]
- Gondek, K.; Mierzwa-Hersztek, M.; Adrain, U. Effect of low-temperature biochar derived from pig manure and poultry litter on mobile and organic matter-bound forms of Cu, Cd, Pb and Zn in sandy soil. Soil Use Manag. 2016, 32, 357–367. [Google Scholar] [CrossRef]
- Wang, L.Y.; Wang, S.W.; Chen, W.R. Roxarsone desorption from the surface of goethite by competitive anions, phosphate and hydroxide ions: Significance of the presence of metal ions. Chemosphere 2016, 152, 423–430. [Google Scholar] [CrossRef]
- Mi, W.; Sun, Y.; Xia, S.; Zhao, H.; Mi, W.; Brookes, P.C.; Liu, Y.; Wu, L. Effect of inorganic fertilizers with organic amendments on soil chemical properties and rice yield in a low-productivity paddy soil. Geoderma 2018, 320, 23–29. [Google Scholar] [CrossRef]





| Sub-Catchment | Years | Sample Points (n) | Orchard (%) | Crop Land (%) | Vegetable Land (%) |
|---|---|---|---|---|---|
| 1 | 2007 | 350 | 82.57% | 11.43% | 6.00% |
| 2017 | 362 | 86.74% | 7.73% | 5.52% | |
| 2 | 2007 | 137 | 81.75% | 13.87% | 4.38% |
| 2017 | 127 | 91.34% | 7.87% | 0.79% | |
| 3 | 2007 | 86 | 60.47% | 31.40% | 8.14% |
| 2017 | 76 | 82.89% | 11.84% | 5.26% | |
| 4 | 2007 | 91 | 32.97% | 37.36% | 29.67% |
| 2017 | 91 | 45.05% | 28.57% | 26.37% | |
| 5 | 2007 | 157 | 24.84% | 52.87% | 22.29% |
| 2017 | 156 | 44.87% | 37.18% | 17.95% |
| Elements | Very Low | Low | Medium | High | Very High | Critical Values |
|---|---|---|---|---|---|---|
| Cu | <0.20 | 0.20–0.50 | 0.50–1.00 | 1.00–2.00 | >2.00 | 0.50 |
| Zn | <0.50 | 0.50–1.00 | 1.00–2.00 | 2.00–5.00 | >5.00 | 1.00 |
| Fe | <5.00 | 5.00–7.00 | 7.00–10.00 | 10.00–20.00 | >20.00 | 7.00 |
| Mn | <5.00 | 5.00–10.00 | 10.00–20.00 | 20.00–30.00 | >30.00 | 10.00 |
| Indexes | Years | Samples | Range | Mean | CV (%) | Skewness | Distribution Type |
|---|---|---|---|---|---|---|---|
| Cu | 2007 | 821 | 0.63–6.17 | 1.49 | 29.61 | −0.92 | Lognormal |
| 2017 | 812 | 0.40–9.60 | 2.04 | 62.25 | 0.34 | Lognormal | |
| Zn | 2007 | 821 | 0.14–11.40 | 2.72 | 73.10 | −0.08 | Lognormal |
| 2017 | 812 | 0.21–72.70 | 4.90 | 128.47 | 0.08 | Lognormal | |
| Fe | 2007 | 821 | 0.34–63.86 | 18.25 | 57.64 | −0.58 | Lognormal |
| 2017 | 812 | 4.21–246.00 | 33.38 | 92.29 | 0.41 | Lognormal | |
| Mn | 2007 | 821 | 2.95–53.20 | 11.14 | 36.80 | −0.54 | Lognormal |
| 2017 | 812 | 5.27–403.00 | 31.67 | 95.09 | 0.33 | Lognormal |
| Elements | Years | Model | Nugget | Sill | Nugget/Sill (%) | Range (m) | RMSE |
|---|---|---|---|---|---|---|---|
| Cu | 2007 | Exponential | 0.003 | 0.037 | 8.11 | 1180.06 | 1.15 |
| 2017 | Exponential | 0.198 | 0.228 | 86.84 | 697.54 | 1.40 | |
| Zn | 2007 | Exponential | 1.040 | 3.242 | 32.08 | 720.43 | 0.81 |
| 2017 | Spherical | 0.747 | 0.965 | 77.41 | 6586.53 | 1.04 | |
| Fe | 2007 | Spherical | 0.334 | 0.418 | 79.90 | 3423.86 | 0.70 |
| 2017 | Gaussian | 0.070 | 0.338 | 20.71 | 503.27 | 1.09 | |
| Mn | 2007 | Exponential | 0.074 | 0.117 | 63.25 | 7333.00 | 0.94 |
| 2017 | Gaussian | 0.234 | 0.333 | 70.27 | 8213.58 | 1.16 |
| Sub-Catchments | Year | SOM (g∙kg−1) | TN (g∙kg−1) | AP (mg∙kg−1) | AK (mg∙kg−1) | pH |
|---|---|---|---|---|---|---|
| 1 | 2007 | 16.16 | 0.45 | 49.62 | 165.64 | 7.07 |
| 2017 | 21.07 | 1.39 | 132.80 | 178.00 | 6.50 | |
| 2 | 2007 | 16.62 | 0.10 | 23.72 | 128.26 | 7.55 |
| 2017 | 22.72 | 1.37 | 88.39 | 161.43 | 7.33 | |
| 3 | 2007 | 14.01 | 0.08 | 27.38 | 119.14 | 7.06 |
| 2017 | 20.51 | 1.31 | 173.39 | 165.29 | 6.95 | |
| 4 | 2007 | 14.77 | 0.10 | 36.55 | 130.31 | 8.15 |
| 2017 | 21.01 | 1.27 | 90.23 | 182.79 | 7.85 | |
| 5 | 2007 | 12.25 | 0.07 | 29.92 | 115.22 | 8.03 |
| 2017 | 15.57 | 1.09 | 92.56 | 163.53 | 7.66 |
| Elements | Year | SOM | TN | AP | AK | pH |
|---|---|---|---|---|---|---|
| Cu | 2007 | 0.049 | 0.035 | 0.088 ** | 0.072 * | −0.278 ** |
| 2017 | 0.148 ** | 0.263 ** | 0.358 ** | 0.324 ** | −0.203 ** | |
| Zn | 2007 | 0.240 ** | 0.351 ** | 0.599 ** | 0.444 ** | −0.534 ** |
| 2017 | 0.487 ** | 0.447 ** | 0.752 ** | 0.644 ** | −0.289 ** | |
| Fe | 2007 | 0.205 ** | 0.259 ** | 0.171 ** | 0.215 ** | −0.534 ** |
| 2017 | 0.306 ** | 0.356 ** | 0.579 ** | 0.295 ** | −0.820 ** | |
| Mn | 2007 | 0.158 ** | 0.223 ** | 0.068 | 0.148 ** | −0.490 ** |
| 2017 | 0.185 ** | 0.175 ** | 0.042 | 0.107 ** | −0.383 ** |
© 2019 by the authors. Licensee MDPI, Basel, Switzerland. This article is an open access article distributed under the terms and conditions of the Creative Commons Attribution (CC BY) license (http://creativecommons.org/licenses/by/4.0/).
Share and Cite
Zhuo, Z.; Xing, A.; Li, Y.; Huang, Y.; Nie, C. Spatio-Temporal Variability and the Factors Influencing Soil-Available Heavy Metal Micronutrients in Different Agricultural Sub-Catchments. Sustainability 2019, 11, 5912. https://doi.org/10.3390/su11215912
Zhuo Z, Xing A, Li Y, Huang Y, Nie C. Spatio-Temporal Variability and the Factors Influencing Soil-Available Heavy Metal Micronutrients in Different Agricultural Sub-Catchments. Sustainability. 2019; 11(21):5912. https://doi.org/10.3390/su11215912
Chicago/Turabian StyleZhuo, Zhiqing, An Xing, Yong Li, Yuanfang Huang, and Chaojia Nie. 2019. "Spatio-Temporal Variability and the Factors Influencing Soil-Available Heavy Metal Micronutrients in Different Agricultural Sub-Catchments" Sustainability 11, no. 21: 5912. https://doi.org/10.3390/su11215912
APA StyleZhuo, Z., Xing, A., Li, Y., Huang, Y., & Nie, C. (2019). Spatio-Temporal Variability and the Factors Influencing Soil-Available Heavy Metal Micronutrients in Different Agricultural Sub-Catchments. Sustainability, 11(21), 5912. https://doi.org/10.3390/su11215912

