New Green Tax Reforms: Ex-Ante Assessments for Spain
Abstract
1. Introduction
2. Theoretical Context
3. Methodology and Material
3.1. Data
3.2. Considered Reforms
3.2.1. Scenario 1. Increased Excise Taxes on Energy
3.2.2. Scenario 2. New Taxes on Emissions
3.2.3. Scenario 3. Eliminating the Electricity Tariff from the Support Costs for Renewable, Cogeneration and Waste
3.2.4. Scenario 4. Taxes on Emissions and the Financing of Renewables
4. Results
4.1. Scenario 1. Increase in the Excise Taxes on Energy
4.1.1. Reform 1A. Minimums for 2018 Directive Proposal. Fiscal Consolidation
4.1.2. Reform 1B. Weighted Average of the Main EU Countries. Fiscal Consolidation
4.2. Scenario 2. New Taxes on Emissions
4.2.1. Reform 2A. Taxes on Emissions for CO2 (€10/t), SO2 (€1000/t) and NOx (€1000/t). Fiscal Consolidation
4.2.2. Reform 2B. Taxes on CO2 Emissions (€30/t), SO2 (€2000/t) and NOx (€2000/t). Fiscal Consolidation
4.3. Scenario 3. Eliminating the Support costs for Renewable, Cogeneration and waste from the Electricity Bill
4.3.1. Reform 3A. Eliminating the Cost of Supporting Renewable Energies, Cogeneration and Waste from the Electricity Tariff, through a Tax on the Energy Sectors (Consumption)
4.3.2. Reform 3B. Suppression of the Costs of Supporting Renewable Energies, Cogeneration from Electricity Consumers and Financing these Costs with a Tax on the Energy Sectors that Considers Price Reaction (Ramsey)
4.4. Scenario 4. Taxes on Emissions and the Financing of Renewables
4.4.1. Reform 4A. Taxes on CO2 Emissions (€30/t), SO2 (€2000/t) and NOx (€2000/t) and the Suppression of the Cost of Promoting Renewables in the Electricity Bill
4.4.2. Reform 4B. Taxes on CO2, SO2 and NOx Emissions and Suppression of the Cost of Promoting Renewable Electricity Rates. Revenue Neutrality
5. Discussion
6. Conclusions
Author Contributions
Funding
Acknowledgments
Conflicts of Interest
References
- Labandeira, X.; Labeaga, J.M.; López-Otero, X. A meta-analysis on the price elasticity of energy demand. Energy Policy 2017, 102, 549–568. [Google Scholar] [CrossRef]
- Villar, E.; Quesada, J.M.; Molina, V. Environmental fiscal effort: Spatial convergence within economic policy on taxation. Rev. Econ. Mund. 2017, 45, 87–100. [Google Scholar]
- Intergovernmental Panel on Climate Change. Climate Change 2014. Mitigation of Climate Change. Working Group III Contribution to the Fifth Assessment Report of the Intergovernmental Panel on Climate Change; Cambridge University Press: Cambridge, UK; New York, NY, USA, 2014; ISBN 9781107058217. [Google Scholar]
- Ecofys. Subsidies and Costs of EU Energy. Final Report. Available online: https://ec.europa.eu/energy/sites/ener/files/documents/ECOFYS%202014%20Subsidies%20and%20costs%20of%20EU%20energy_11_Nov.pdf (accessed on 3 September 2019).
- Rabl, A.; Spadaro, J.V. External costs of energy: How much is clean energy worth? J. Sol. Energy Eng. 2016, 138, 040801. [Google Scholar] [CrossRef]
- OECD. Taxing Energy Use 2018; OECD Publishing: Paris, France, 2018; ISBN 9789264289437. [Google Scholar]
- European Commission. Proposal for a Council Directive Introducing a Tax on Carbon Dioxide Emissions and Energy. Available online: https://eur-lex.europa.eu/legal-content/EN/TXT/PDF/?uri=CELEX:51992PC0226&from=EN (accessed on 3 September 2019).
- European Commission. Proposal for a Council Directive amending Directive 2003/96/EC Restructuring the Community Framework for the Taxation of Energy Products and Electricity. Available online: https://eur-lex.europa.eu/legal-content/EN/TXT/PDF/?uri=CELEX:52011PC0169&from=EN (accessed on 26 July 2018).
- European Commission. A More Efficient and Democratic Decision Making in EU Energy and Climate Policy. Available online: https://ec.europa.eu/commission/sites/beta-political/files/communication-efficient-democratic-decision-making-eu-energy-climate-april2019_en.pdf (accessed on 3 September 2019).
- Labandeira, X.; López-Otero, X.; Picos, F. La fiscalidad energético-ambiental como espacio fiscal para las Comunidades Autónomas. In La Asignación de Impuestos a las Comunidades Autónomas: Desafíos y Oportunidades; Lago-Peñas, S., Martínez-Vázquez, J., Eds.; Instituto de Estudios Fiscales: Madrid, Spain, 2009; pp. 237–268. ISBN 9788480082983. [Google Scholar]
- European Commission. Taxation Trends in the European Union; Publications Office of the European Union: Luxembourg, 2019; ISBN 9789276006596. [Google Scholar]
- International Energy Agency. Energy Prices and Taxes. Quarterly Statistics; OECD/IEA: Paris, France, 2018. [Google Scholar]
- Eurostat. In 2018, CO2 Emissions in the EU Decreased Compared with 2017. Available online: https://ec.europa.eu/eurostat/documents/2995521/9779945/8-08052019-AP-EN.pdf/9594d125-9163-446c-b650-b2b00c531d2b (accessed on 26 July 2019).
- Eurostat. In 2017, CO2 Emissions in the EU Estimated to Have Increased Compared with 2016. Available online: http://ec.europa.eu/eurostat/documents/2995521/8869789/8-04052018-BP-EN.pdf/e7891594-5ee1-4cb0-a530-c4a631efec19 (accessed on 26 July 2019).
- Eurostat. Government Deficit/Surplus, Debt and Associated Data. Available online: http://appsso.eurostat.ec.europa.eu/nui/show.do?dataset=gov_10dd_edpt1&lang=en (accessed on 26 July 2019).
- Eurostat. Government Revenue, Expenditure and Main Aggregates. Available online: http://appsso.eurostat.ec.europa.eu/nui/show.do?dataset=gov_10a_main&lang=en (accessed on 26 July 2019).
- Tullock, G. Excess benefit. Water Resour. Res. 1967, 3, 643–644. [Google Scholar] [CrossRef]
- Pearce, D. The role of carbon taxes in adjusting to global warming. Econ. J. 1991, 101, 938–948. [Google Scholar] [CrossRef]
- Goulder, L.H. Environmental taxation and the double dividend: A reader’s guide. Int. Tax Public Finan. 1995, 2, 157–183. [Google Scholar] [CrossRef]
- Bovenberg, A.L.; de Mooij, R. Environmental levies and distortionary taxation. Am. Econ. Rev. 1994, 84, 1085–1089. [Google Scholar]
- Bovenberg, A.L.; Gouder, L.H. Optimal environmental taxation in the presence of other taxes: General-equilibrium analyses. Am. Econ. Rev. 1996, 86, 985–1000. [Google Scholar]
- Bovenberg, A.L.; de Mooij, R. Environmental tax reform and endogenous growth. J. Public Econ. 1997, 63, 207–237. [Google Scholar] [CrossRef]
- Bovenberg, A.L.; van der Ploeg, F. Consequences of environmental tax reform for unemployment and welfare. Environ. Resour. Econ. 1998, 12, 137–150. [Google Scholar] [CrossRef]
- Bovenberg, A.L.; van der Ploeg, F. Tax reform, structural unemployment and the environment. Scan. J. Econ. 1998, 100, 593–610. [Google Scholar] [CrossRef]
- Koskela, E.; Schöb, R. Alleviating unemployment: The case for green tax reforms. Eur. Econ. Rev. 1999, 43, 1723–1746. [Google Scholar] [CrossRef]
- Parry, I.W.H.; Bento, A.M. Tax deductions, environmental policy, and the “double dividend” hypothesis. J. Environ. Econ. Manag. 2000, 39, 67–96. [Google Scholar] [CrossRef]
- Sugeta, H.; Matsumoto, S. Green tax reform in an oligopolistic industry. Environ. Resour. Econ. 2005, 31, 253–274. [Google Scholar] [CrossRef]
- Bento, A.M.; Jacobsen, M. Ricardian rents, environmental policy and the ‘double-dividend’ hypothesis. J. Environ. Econ. Manag. 2007, 53, 17–31. [Google Scholar] [CrossRef]
- Bento, A.M.; Jacobsen, M.; Liu, A.A. Environmental policy in the presence of an informal sector. Available online: http://works.bepress.com/cgi/viewcontent.cgi?article=1041&context=antonio_bento (accessed on 26 July 2019).
- Liu, A.A. Tax evasion and optimal environmental taxes. J. Environ. Econ. Manag. 2013, 66, 656–670. [Google Scholar] [CrossRef]
- Bosquet, B. Environmental tax reform: Does it work? A survey of the empirical evidence. Ecol. Econ. 2000, 34, 19–32. [Google Scholar] [CrossRef]
- Barker, T.; Lutz, C.; Meyer, B.; Pollit, H. Models for projecting the impacts of ETR. In Environmental Tax Reform: A Policy for Green Growth; Ekins, P., Speck, S., Eds.; Oxford University Press: Oxford, UK, 2011; pp. 175–203. ISBN 9780199584505. [Google Scholar]
- Speck, S.; Gee, D. Implications of environmental tax reforms revisited. In Environmental Taxation and Climate Change; Kreisen, L., Sirisom, J., Ashiabor, H., Milne, J., Eds.; Edward Elgar Publishing: Cheltenham, UK, 2011; pp. 19–34. ISBN 9780857937865. [Google Scholar]
- Speck, S.; Summerton, P.; Lee, D.; Wiebe, K. Environmental taxes and ETRs in Europe: Current situation and a review of the modelling literature. In Environmental Tax Reform: A Policy for Green Growth; Ekins, P., Speck, S., Eds.; Oxford University Press: Oxford, UK, 2011; pp. 99–130. ISBN 9780199584505. [Google Scholar]
- Gago, A.; Labandeira, X.; López-Otero, X. A panorama on energy taxes and green tax reforms. Hacienda Publica Esp. 2014, 208, 145–190. [Google Scholar] [CrossRef]
- Gago, A.; Labandeira, X.; López-Otero, X. Las Nuevas Reformas Fiscales Verdes. Available online: https://www.google.com.hk/url?sa=t&rct=j&q=&esrc=s&source=web&cd=1&ved=2ahUKEwiW3NWij5jlAhVGGaYKHa32CAQQFjAAegQIBBAC&url=https%3A%2F%2Feforenergy.org%2Fdocpublicaciones%2Fdocumentos-de-trabajo%2Fwp_05_2016_v2.pdf&usg=AOvVaw0v5_oEcYCZX30lEgkXBvV0 (accessed on 26 July 2019).
- Agnolucci, P. The effect of the German and UK environmental tax reforms on the demand for labour and energy. In Environmental Tax Reform: A Policy for Green Growth; Ekins, P., Speck, S., Eds.; Oxford University Press: Oxford, UK, 2011; pp. 148–171. ISBN 9780199584505. [Google Scholar]
- Bakker, A. Tax and the Environment: A World of Possibilities; International Bureau of Fiscal Documentation: Amsterdam, The Netherlands, 2009; ISBN 9789087220464. [Google Scholar]
- Gago, A.; Labandeira, X. Cambio climático, impuestos y reformas fiscales. Princ. Estud. Econ. Política 2011, 19, 147–161. [Google Scholar]
- Federal Office for the Environment (FOEN. Fact Sheet on the Impact Assessment and Evaluation of the CO2 Levy on Thermal Fuels). Available online: https://www.bafu.admin.ch/bafu/en/home/topics/climate/info-specialists/climate-policy/co2-levy.html (accessed on 26 July 2019).
- Convery, F. Environmental tax reform and its contribution to dealing with the Irish budgetary crisis. In Proceedings of the Environmental Tax Reform. Learning from the Past, and Inventing the Future, Dublin, Ireland, 29–30 October 2010; Comhar Sustainable Development Council: Dublin, Ireland, 2010. [Google Scholar]
- Hogg, D.; Elliot, T.; Elliot, L.; Ettlinger, S.; Chowdhury, T.; Bapasola, A.; Norstein, H.; Emery, L.; Andersen, M.S.; ten Brick, P.; et al. Study on Assessing the Environmental Fiscal Reform Potential for the EU28; Publications Office of the European Union: Luxembourg, 2016; ISBN 9789279547010. [Google Scholar]
- Government of Japan. Details on the Carbon Tax (Tax for Climate Change Mitigation). Available online: https://www.env.go.jp/en/policy/tax/env-tax/20121001a_dct.pdf (accessed on 26 July 2019).
- European Commission. Annual Report on Energy Efficiency in the Netherlands. 2016. Available online: https://ec.europa.eu/energy/sites/ener/files/documents/NL%202016%20Energy%20Efficiency%20Annual%20Report%201_en.pdf (accessed on 26 July 2019).
- Bovenberg, A.L. Green tax reforms and the double dividend: An updated reader’s guide. Int. Tax Public Finan. 1999, 6, 421–443. [Google Scholar] [CrossRef]
- Fullerton, D.; Monti, H. Can pollution tax rebates protect low-wage earners? J. Environ. Econ. Manag. 2013, 66, 539–553. [Google Scholar] [CrossRef]
- Böhringer, C.; Keller, A.; van der Werf, E. Are green hopes too rosy? Employment and welfare impacts of renewable energy promotion. Energy Econ. 2013, 36, 277–285. [Google Scholar] [CrossRef]
- Chiroleu-Assouline, M.; Fodha, M. From regressive pollution taxes to progressive environmental tax reforms. Eur. Econ. Rev. 2014, 69, 126–142. [Google Scholar] [CrossRef]
- Chang, M.C. Electricity tax subsidizing the R&D of emission-reducing technology: The double dividend effect under FIT regime. Int. J. Elec. Power 2014, 62, 284–288. [Google Scholar] [CrossRef]
- Davies, J.B.; Shi, X.; Whalley, J. The possibilities for global inequality and poverty reduction using revenues from global carbon pricing. J. Econ. Inequal. 2014, 12, 363–391. [Google Scholar] [CrossRef][Green Version]
- Oueslati, W. Growth and welfare effects of environmental tax reform and public spending policy. Econ. Model. 2015, 45, 1–13. [Google Scholar] [CrossRef]
- Sajeewani, D.; Siriwardana, M.; McNeill, J. Household distributional and revenue recycling effects of the carbon price in Australia. Clim. Change Econ. 2015, 6, 1550012. [Google Scholar] [CrossRef]
- Silva, S.; López-Otero, X.; Labandeira, X.; Afonso, O. New Green Tax Reforms: An Economic Appraisal. Available online: https://eforenergy.org/publicaciones.php?cat=1 (accessed on 26 July 2019).
- Goulder, L.H.; Hafstead, M.A.C.; Kim, G.; Long, X. Impacts of a carbon tax across US household income groups: What are the equity-efficiency trade-offs? J. Public Econ. 2019, 175, 144–164. [Google Scholar] [CrossRef]
- Carraro, C.; Galeotti, M.; Gallo, M. Environmental taxation and unemployment: Some evidence on the ‘double dividend hypothesis’ in Europe. J. Public Econ. 1996, 62, 141–181. [Google Scholar] [CrossRef]
- Barker, T.; Köhler, J. Equity and ecotax reform in the EU: Achieving a 10 per cent reduction in CO2 emissions using excise duties. Fisc. Stud. 1998, 19, 375–402. [Google Scholar] [CrossRef]
- Conrad, K.; Schmidt, T.F.N. Economic effects of an uncoordinated versus a coordinated carbon dioxide poliy in the European Union: An applied general equilibrium analysis. Econ. Syst. Res. 1998, 10, 161–182. [Google Scholar] [CrossRef]
- Bosello, F.; Carraro, C. Recycling energy taxes. Impacts on a dissagregated labour market. Energy Econ. 2001, 23, 569–594. [Google Scholar] [CrossRef]
- Labandeira, X.; Labeaga, J.M.; Rodríguez, M. Green tax reforms in Spain. Eur. Env. 2004, 14, 290–299. [Google Scholar] [CrossRef]
- Labandeira, X.; Rodríguez, M.; Labeaga, J.M. Análisis de eficiencia y equidad de una reforma fiscal verde en España. Cuad. Económicos ICE 2005, 70, 207–225. [Google Scholar]
- Manresa, A.; Sancho, F. Implementing a double dividend: Recycling ecotaxes towards lower labour taxes. Energy Policy 2005, 33, 1577–1585. [Google Scholar] [CrossRef]
- Sancho, F. Double dividend effectiveness of energy tax policies and the elasticity of substitution: A CGE appraisal. Energy Policy 2010, 38, 2927–2933. [Google Scholar] [CrossRef]
- De Miguel, C.; Montero, M.; Bajona, C. Intergenerational effects of a green tax reform for a more sustainable social security system. Energy Econ. 2015, 52, S117–S129. [Google Scholar] [CrossRef]
- Cansino, J.M.; Cardenete, M.A.; Ordóñez, M.; Román, R. Taxing electricity consumption in Spain: Evidence design the post-Kyoto world. Carbon Manag. 2016, 7, 93–104. [Google Scholar] [CrossRef]
- García-Muros, X.; Burguillo, M.; González-Eguino, M.; Romero-Jordán, D. Local air pollution and global climate change taxes: A distributional analysis for the case of Spain. J. Environ. Plann. Man. 2017, 60, 419–436. [Google Scholar] [CrossRef]
- Labandeira, X.; Labeaga, J.; Rodríguez, M. Microsimulation in the analysis of environmental tax reforms: An application for Spain. In Microsimulation as a Tool for the Evaluation of Public Policies: Methods and Applications; Spadaro, A., Ed.; Fundación BBVA: Madrid, Spain, 2007; pp. 149–176. ISBN 9788496515178. [Google Scholar]
- André, F.; Cardenete, M.; Velázquez, E. Performing an environmental tax reform in a regional economy. A computable general equilibrium approach. Ann. Regional Sci. 2005, 39, 375–392. [Google Scholar] [CrossRef]
- Markandya, A.; González-Eguino, M.; Escapa, M. From shadow to green: Linking environmental fiscal reforms and the informal economy. Energy Econ. 2013, 40, S108–S118. [Google Scholar] [CrossRef]
- Freire-González, J.; Ho, M.S. Environmental fiscal reform and the double dividend: Evidence from a dynamic general equilibrium model. Sustainability 2018, 10, 501. [Google Scholar] [CrossRef]
- Comisión Nacional de los Mercados y la Competencia. Informe Sobre la Liquidación Provisional 14/2016 del Sector Eléctrico. Análisis de Resultados. Available online: https://www.cnmc.es/sites/default/files/1607528_5.pdf (accessed on 26 July 2019).
- CORES. Estadísticas. Available online: http://www.cores.es/es/estadisticas (accessed on 1 June 2018).
- IDAE. Balance de Energía Final. Available online: http://sieeweb.idae.es/consumofinal/ (accessed on 1 June 2018).
- Ministerio Para la Transición Ecológica. Inventario Nacional de Emisiones a la Atmósfera. Emisiones de Gases de Efecto Invernadero. Available online: https://www.miteco.gob.es/es/calidad-y-evaluacion-ambiental/temas/sistema-espanol-de-inventario-sei-/Inventario-GEI.aspx (accessed on 26 July 2019).
- International Energy Agency. Energy Prices and Taxes. Quarterly Statistics; OECD/IEA: Paris, France, 2017. [Google Scholar]
- European Commission. Commission Staff Working Document Accompanying the Document Report from the Commission to the European Parliament, the Council and Social Committee and the Committee of the Regions. Energy Prices and Costs in Europe; COM (2016) 769 Final; European Commission: Brussels, Belgium, 2016. [Google Scholar]
- Labandeira, X.; Labeaga, J.M.; López-Otero, X. Un metaanálisis sobre la elasticidad precio de la demanda de energía en España y la Unión Europea. Pap. Energía 2016, 2, 65–93. [Google Scholar]
- Oficina Catalana del Canvi Climàtic. Guia Pràctica per al Càlcul D’emissions de Gasos Amb Efecte D’hivernacle. 2017. Available online: http://canviclimatic.gencat.cat/web/.content/home/redueix_emissions/Com_calcular_emissions_GEH/guia_de_calcul_demissions_de_co2/170301_Guia-practica-calcul-emissions-2016-v2017.pdf (accessed on 3 July 2018).
- European Environmental Agency. EMEP/EEA Air Pollutant Emission Inventory Guidebook 2016; Publications Office of the European Union: Luxembourg, 2016; ISBN 9789292138066. [Google Scholar]
- Intergovernmental Panel on Climate Change. Revised 1996 IPCC Guidelines for National Greenhouse Gas Inventories: Reference Manual. Available online: https://www.ipcc-nggip.iges.or.jp/public/gl/invs6.html (accessed on 26 July 2019).
- Deru, M.; Torcellini, P. Source Energy and Emission Factors for Energy Use in Buildings. Technical Report NREL/TP-550-38617; National Renewable Energy Laboratory. Available online: https://www.nrel.gov/docs/fy07osti/38617.pdf (accessed on 26 July 2019).
- Gago, A.; Labandeira, X.; López-Otero, X. Impuestos Energético-Ambientales en España. Available online: https://eforenergy.org/publicaciones.php?cat=1 (accessed on 26 July 2019).
- Robinson, D.; Linares, P.; López-Otero, X.; Rodrigues, R. Fiscal policy for decarbonisation of energy in Europe, with a focus on urban transport: Case study and proposal for Spain. In Environmental Fiscal Challenges of Cities and Transport; Villar-Ezcurra, M., Milne, J., Ashiabor, H., Skou-Andersen, M., Eds.; Edward Elgar Publishing: Cheltenham, UK; Northampton, MA, USA, 2019; pp. 75–90. ISBN 9781789904178. [Google Scholar]
- Villar, E.; Quesada, J.M.; Molina, V. Convergence analysis of environmental fiscal pressure across EU-15 countries. Energy Environ. 2015, 26, 789–802. [Google Scholar] [CrossRef]
- European Commission. Commission Decision of 18 July 2007 Establishing Guidelines for the Monitoring and Reporting of Greenhouse Gas Emissions Pursuant to Directive 2003/87/EC of the European Parliament and of the Council. Available online: https://eur-lex.europa.eu/legal-content/EN/TXT/PDF/?uri=CELEX:32007D0589&from=EN (accessed on 26 July 2018).
- Pénard-Morand, C.; Annesi-Maesano, I. Air pollution: From sources of emissions to health effects. Breathe 2004, 1, 108–119. [Google Scholar] [CrossRef]
- Ministerio para la Transición Ecológica. Inventario Nacional de Emisiones a la Atmósfera. Emisiones de Gases de Efecto Invernadero. Available online: https://www.miteco.gob.es/es/calidad-y-evaluacion-ambiental/temas/sistema-espanol-de-inventario-sei-/resumeninventariogei-ed2019_tcm30-486322.pdf (accessed on 26 July 2019).
- Gallastegui, M.C.; González-Eguino, M.; Galarraga, I. Cost effectiveness of a combination of instruments for global warming: A quantitative approach for Spain. SERIEs 2012, 3, 111–132. [Google Scholar] [CrossRef][Green Version]
- Bellver, J.; Conchado, A.; Cossent, R.; Linares, P.; Pérez-Arriaga, I.; Romero, J.C. Observatorio de Energía y Sostenibilidad en España. Informe basado en indicadores. Edición 2016. Available online: https://www.comillas.edu/images/catedraBP/Obs_BP_2016.pdf (accessed on 26 July 2018).
- Rodrigues, R.; Linares, P. Electricity load level detail in computational general equilibrium—Par I—Data and calibration. Energy Econ. 2014, 46, 258–266. [Google Scholar] [CrossRef]
- Comisión de Expertos de Transición Energética. Análisis y Propuestas Para la Descarbonización. 2018. Available online: http://www6.mityc.es/aplicaciones/transicionenergetica/informe_cexpertos_20180402_veditado.pdf (accessed on 26 July 2018).
- Batlle, C. A method for allocating renewable energy source subsidies among final energy consumers. Energy Policy 2011, 39, 2586–2595. [Google Scholar] [CrossRef]
- Ramsey, F. A contribution to the theory of taxation. Econ. J. 1927, 37, 47–61. [Google Scholar] [CrossRef]
- Molina-Moreno, V.; Núñez-Cacho, P.; Cortés-García, F.J.; Peña-García, A. The use of led technology and biomass to power public lighting in a local context: The case of Baeza (Spain). Energies 2018, 11, 1783. [Google Scholar] [CrossRef]
- Lilleholt, L.C.; Poirson, B.; Tiilikainen, K.; Burton, R.; Costa, S.; Wiebes, E.; Matos, J.P.; Lövin, I.; Perry, H.C. Statement to Strengthen and Extend Carbon Pricing in Europe. Available online: https://ministeriefinancienconference-cms.lwprod.nl/uploads/1558958772_Theme3-StatementCarbonPricingDecember2018.pdf (accessed on 5 September 2019).
- European Commission. Tax Reforms in EU Member States 2015. Institutional Paper 008. Available online: https://ec.europa.eu/info/sites/info/files/file_import/ip008_en_2.pdf (accessed on 3 September 2019).









| Country | Electricity (Households) | Electricity (Industrial) | Natural Gas (Households) | Natural Gas (Industrial) | Automotive Diesel (Non-Commercial) | Automotive Diesel (Commercial) | Unleaded Gasoline (95 RON) |
|---|---|---|---|---|---|---|---|
| France | 36.20% | 22.08% | 27.04% | 16.23% | 59.41% | 51.29% | 62.43% |
| Germany | 53.83% | 49.10% | 24.38% | 15.67% | 52.40% | 42.61% | 60.64% |
| Italy | 32.82% | 34.83% | 35.80% | 11.93% | 59.87% | 51.01% | 63.58% |
| Spain | 21.39% | 4.88% | 20.25% | 2.16% | 47.65% | 36.66% | 52.89% |
| UK | 4.75% | 3.82% | 4.76% | 3.52% | 61.82% | 54.22% | 63.13% |
| EU-23 1 | 31.04% | 21.43% | 23.70% | 10.59% | 55.00% | 45.49% | 60.22% |
| Energy Product | Type of Consumer | Prices and Taxes on Energy Products (€/MWh). 2016 | Excise Tax | VAT | Costs of Support to Renewable, Cogeneration and Waste | Other Charges | Final Price |
|---|---|---|---|---|---|---|---|
| Electricity | Residential | 119.21 | 5.11% 2 | 21% 1 | 51.37 | 17.57 | 239.3 |
| Electricity | Industrial | 73.46 | 5.11% 2 | - | 14.34 | 11.62 | 104.5 |
| Natural gas | Residential | 63.91 | 2.34 | 21% 1 | - | - | 80.16 |
| Natural gas | Industrial | 23.35 | 0.54 | - | - | - | 23.89 |
| Diesel | Residential | 47.73 | 37.37 | 21% 1 | - | - | 102.97 |
| Diesel | Industrial | 47.73 | 37.37 | - | - | - | 85.1 |
| Gasoline | Residential | 53.82 | 50.85 | 21% 1 | - | - | 126.65 |
| Gasoline | Industrial | - | - | - | - | - | - |
| Product | Elasticity |
|---|---|
| Electricity | −0.203 |
| Natural gas | −0.242 |
| Diesel | −0.201 |
| Gasoline | −0.253 |
| Energy Product | Emissions (€/CO2 ton) | Energy Consumption (€/GJ) | Tax Rate |
|---|---|---|---|
| Electricity | 0 | 0.15 | 0.540 €/MWh |
| Natural gas | 20 | 0.15 | 4.579 €/MWh |
| Diesel | 20 | 9.6 | 0.397 €/L |
| Gasoline | 20 | 6.6 | 0.353 €/L |
| Energy Product | France | Germany | Italy | United Kingdom | Weighted Average |
|---|---|---|---|---|---|
| Electricity (residential) (€/MWh) | 34.86 | 110.70 | 69.00 | - | 56.73 |
| Electricity (industrial) (€/MWh) | 24.79 | 61.40 | 70.70 | 4.27 | 40.93 |
| Natural gas (residential) (€/MWh) | 5.58 | 5.50 | 15.22 | - | 6.34 |
| Natural gas (industrial) (€/MWh) | 3.94 | 4.03 | 4.46 | 0.77 | 3.32 |
| Diesel (€/L) | 0.511 | 0.470 | 0.617 | 0.708 | 0.569 |
| Gasoline (€/L) | 0.648 | 0.655 | 0.728 | 0.708 | 0.682 |
| Product | Consumption | Ramsey | ||
|---|---|---|---|---|
| Residential | Industrial | Residential | Industrial | |
| Electricity | 20.76% | 36.67% | 27.39% | 35.10% |
| Natural gas | 16.48% | 42.55% | 22.97% | 29.45% |
| Diesel | 48.43% | 20.79% | 27.66% | 35.45% |
| Gasoline | 14.33% | - | 21.98% | - |
| Product | Price Variation | Consumption Variation | |||
|---|---|---|---|---|---|
| Residential | Industrial | Residential | Industrial | Total | |
| Electricity | - | - | - | - | - |
| Natural gas | 3.38% | 6.27% | −0.82% | −1.52% | −1.36% |
| Diesel | 3.46% | 3.46% | −0.70% | −0.70% | −0.70% |
| Gasoline | - | - | - | - | - |
| Excise Tax | VAT | Total | Total (%) | ||
|---|---|---|---|---|---|
| Electricity | Residential | - | - | - | - |
| Industrial | - | - | - | - | |
| Total | - | - | - | - | |
| Natural gas | Residential | 125.81 | 20.15 | 145.96 | 15.72 |
| Industrial | 766.88 | - | 766.88 | 735.10 | |
| Total | 892.69 | 20.15 | 912.84 | 88.36 | |
| Diesel | Residential | 447.70 | 82.30 | 530.01 | 5.71 |
| Industrial | 251.52 | - | 251.52 | 7.13 | |
| Total | 699.23 | 82.30 | 781.53 | 6.10 | |
| Gasoline | Residential | - | - | - | - |
| Industrial | - | - | - | - | |
| Total | - | - | - | - | |
| Total | Residential | 573.52 | 102.45 | 675.97 | 3.16 |
| Industrial | 1018.40 | - | 1018.40 | 14.57 | |
| Total | 1591.92 | 102.45 | 1694.37 | 5.97 |
| Energy Product | Price Variation | Consumption Variation | |||
|---|---|---|---|---|---|
| Residential | Industrial | Residential | Industrial | Total | |
| Electricity | 23.82% | 34.30% | −4.84% | −6.96% | −6.32% |
| Natural gas | 6.04% | 4.31% | −1.46% | −1.04% | −1.14% |
| Diesel | 23.99% | 23.99% | −4.82% | −4.82% | −4.82% |
| Gasoline | 23.13% | - | −5.85% | - | −5.85% |
| Excise Tax | VAT | Renewables | Total | Total (%) | ||
|---|---|---|---|---|---|---|
| Electricity | Residential | 3194.66 | 533.30 | −188.17 | 3539.79 | 46.73 |
| Industrial | 5493.59 | - | −174.85 | 318.75 | 158.43 | |
| Total | 8688.25 | 533.30 | −363.02 | 8858.54 | 81.04 | |
| Natural gas | Residential | 223.30 | 35.69 | - | 258.98 | 27.88 |
| Industrial | 530.37 | - | - | 530.37 | 508.40 | |
| Total | 753.67 | 35.69 | - | 789.36 | 76.40 | |
| Diesel | Residential | 2961.56 | 540.74 | - | 3502.30 | 37.73 |
| Industrial | 1663.82 | - | - | 1663.82 | 47.17 | |
| Total | 4625.38 | 540.74 | - | 5166.12 | 40.33 | |
| Gasoline | Residential | 985.43 | 174.05 | - | 1159.48 | 32.02 |
| Industrial | - | - | - | - | ||
| Total | 985.43 | 174.05 | - | 1159.48 | 32.02 | |
| Total | Residential | 7364.95 | 1283.78 | −188.17 | 8460.55 | 39.52 |
| Industrial | 7687.79 | - | −174.85 | 7512.94 | 107.50 | |
| Total | 15052.73 | 1283.78 | −363.02 | 15973.49 | 56.25 |
| Energy Product | Price Variation | Consumption Variation | |||
|---|---|---|---|---|---|
| Residential | Industrial | Residential | Industrial | Total | |
| Electricity | 0.22% | 0.42% | −0.04% | −0.08% | −0.07% |
| Natural Gas | 3.02% | 3.10% | −0.73% | −0.75% | −0.75% |
| Diesel | 4.25% | 4.25% | −0.85% | −0.85% | −0.85% |
| Gasoline | 2.99% | - | −0.76% | - | −0.76% |
| Excise Tax | VAT | CO2 Tax | NOx/SO2 Tax | Renewables | Total | Total (%) | ||
|---|---|---|---|---|---|---|---|---|
| Electricity | Residential | −0.31 | 5.23 | - | 31.28 | −1.74 | 34.47 | 0.46 |
| Industrial | −0.71 | - | - | 72.30 | −2.12 | 69.46 | 2.07 | |
| Total | −1.02 | 5.23 | - | 103.58 | −3.86 | 103.93 | 0.95 | |
| Natural gas | Residential | −0.98 | 18.01 | 103.19 | 10.21 | - | 130.44 | 14.04 |
| Industrial | −0.78 | - | 348.77 | 34.51 | - | 382.50 | 366.65 | |
| Total | −1.76 | 18.01 | 451.96 | 44.72 | - | 512.93 | 49.65 | |
| Diesel | Residential | −53.69 | 100.96 | 423.43 | 179.59 | - | 650.29 | 7.01 |
| Industrial | −30.16 | - | 237.89 | 100.89 | - | 308.62 | 8.75 | |
| Total | −83.85 | 100.96 | 661.32 | 280.48 | - | 958.91 | 7.49 | |
| Gasoline | Residential | −19.10 | 24.13 | 119.26 | 34.93 | - | 159.22 | 4.40 |
| Industrial | - | - | - | - | - | - | - | |
| Total | −19.10 | 24.13 | 119.26 | 34.93 | - | 159.22 | 4.40 | |
| Total | Residential | −74.07 | 148.33 | 645.88 | 256.01 | −1.74 | 974.42 | 4.55 |
| Industrial | −31.66 | - | 586.65 | 207.70 | −2.12 | 760.58 | 10.88 | |
| Total | −105.73 | 148.33 | 1232.53 | 463.71 | −3.86 | 1735.00 | 6.11 |
| Product | Price Variation | Consumption Variation | |||
|---|---|---|---|---|---|
| Residential | Industrial | Residential | Industrial | Total | |
| Electricity | 2.11% | 3.99% | −0.43% | −0.81% | −0.70% |
| Natural Gas | 8.78% | 9.03% | −2.12% | −2.18% | −2.17% |
| Diesel | 11.49% | 11.49% | −2.31% | −2.31% | −2.31% |
| Gasoline | 8.28% | - | −2.09% | - | −2.09% |
| Excise Tax | VAT | CO2 Tax | NOx/SO2 Tax | Renewables | Total | Total (%) | ||
|---|---|---|---|---|---|---|---|---|
| Electricity | Residential | 6.59 | 50.02 | 186.96 | 102.67 | −16.67 | 329.58 | 4.35 |
| Industrial | 15.16 | - | 430.63 | 236.48 | −20.35 | 661.91 | 19.72 | |
| Total | 21.75 | 50.02 | 617.59 | 339.15 | −37.02 | 991.49 | 9.07 | |
| Natural Gas | Residential | −2.84 | 51.43 | 305.22 | 20.14 | - | 373.95 | 40.26 |
| Industrial | −2.28 | - | 1031.18 | 68.03 | - | 1096.93 | 1051.49 | |
| Total | −5.12 | 51.43 | 1336.41 | 88.17 | - | 1470.88 | 142.37 | |
| Diesel | Residential | −145.07 | 267.79 | 1251.65 | 353.90 | - | 1728.27 | 18.62 |
| Industrial | −81.50 | - | 703.18 | 198.82 | - | 820.51 | 23.26 | |
| Total | −226.57 | 267.79 | 1954.83 | 552.72 | - | 2548.78 | 19.90 | |
| Gasoline | Residential | -52.96 | 65.70 | 352.95 | 68.92 | - | 434.61 | 12.00 |
| Industrial | - | - | - | - | - | - | - | |
| Total | −52.96 | 65.70 | 352.95 | 68.92 | - | 434.61 | 12.00 | |
| Total | Residential | −194.28 | 434.94 | 2096.78 | 545.63 | −16.67 | 2866.41 | 13.39 |
| Industrial | −68.62 | - | 2165.00 | 503.33 | −20.35 | 2579.35 | 36.91 | |
| Total | −262.90 | 434.94 | 4261.78 | 1048.96 | −37.02 | 5445.76 | 19.18 |
| Product | Price Variation | Consumption Variation | |||
|---|---|---|---|---|---|
| Residential | Industrial | Residential | Industrial | Total | |
| Electricity | −18.86% | −9.33% | 3.83% | 1.89% | 2.48% |
| Natural Gas | 15.31% | 8.78% | −3.71% | −2.13% | −2.49% |
| Diesel | 12.57% | 7.24% | −2.53% | −1.46% | −2.14% |
| Gasoline | 10.70% | - | −2.71% | - | −2.71% |
| Excise Tax | VAT | New Tax | Renewables | Total | Total (%) | ||
|---|---|---|---|---|---|---|---|
| Electricity | Residential | −180.05 | −471.00 | 1458.84 | −3891.26 | −3083.47 | −40.71 |
| Industrial | −114.78 | - | 1035.43 | −2510.87 | −1590.22 | −47.37 | |
| Total | −294.83 | −471.00 | 2494.26 | −6402.13 | −4673.69 | −42.75 | |
| Natural Gas | Residential | −4.96 | 87.78 | 558.29 | - | 641.12 | 69.03 |
| Industrial | −2.22 | - | 1070.52 | - | 1068.30 | 1024.04 | |
| Total | −7.17 | 87.78 | 1628.82 | - | 1709.42 | 165.46 | |
| Diesel | Residential | −158.59 | 291.94 | 1751.33 | - | 1884.68 | 20.31 |
| Industrial | −51.35 | - | 573.26 | - | 521.92 | 14.80 | |
| Total | −209.94 | 291.94 | 2324.60 | - | 2406.60 | 18.79 | |
| Gasoline | Residential | −68.46 | 84.21 | 541.92 | - | 557.67 | 15.40 |
| Industrial | - | - | - | - | - | - | |
| Total | −68.46 | 84.21 | 541.92 | - | 557.67 | 15.40 | |
| Total | Residential | −412.06 | −7.07 | 4310.39 | −3891.26 | 0 | 0 |
| Industrial | −168.34 | - | 2679.21 | −2510.87 | 0 | 0 | |
| Total | −580.40 | −7.07 | 6989.60 | −6402.13 | 0 | 0 |
| Product | Price Variation | Consumption Variation | |||
|---|---|---|---|---|---|
| Residential | Industrial | Residential | Industrial | Total | |
| Electricity | −17.33% | −9.55% | 3.52% | 1.93% | 2.42% |
| Natural Gas | 21.72% | 6.04% | −5.26% | −1.46% | −2.33% |
| Diesel | 7.08% | 12.50% | −1.42% | −2.51% | −1.82% |
| Gasoline | 16.72% | - | −4.23% | - | −4.23% |
| Excise | VAT | New Tax | Renewables | Total | Total (%) | ||
|---|---|---|---|---|---|---|---|
| Electricity | Residential | −181.57 | −431.40 | 1678.73 | −3891.26 | −2825.50 | −37.30 |
| Industrial | −114.45 | - | 995.83 | −2510.87 | −1629.49 | −48.54 | |
| Total | −296.02 | −431.40 | 2674.56 | −6402.13 | −4454.99 | −40.75 | |
| Natural Gas | Residential | −7.03 | 121.84 | 779.20 | - | 894.00 | 96.25 |
| Industrial | −1.52 | - | 740.86 | - | 739.34 | 708.71 | |
| Total | −8.55 | 121.84 | 1520.06 | - | 1633.34 | 158.10 | |
| Diesel | Residential | −89.44 | 166.98 | 998.82 | - | 1076.36 | 11.60 |
| Industrial | −88.62 | - | 978.77 | - | 890.15 | 25.23 | |
| Total | −178.06 | 166.98 | 1977.59 | - | 1966.51 | 15.35 | |
| Gasoline | Residential | −106.95 | 128.77 | 833.31 | - | 855.13 | 23.62 |
| Industrial | - | - | - | - | - | - | |
| Total | −106.95 | 128.77 | 833.31 | - | 855.13 | 23.62 | |
| Total | Residential | −384.99 | −13.82 | 4290.06 | −3891.26 | 0 | 0 |
| Industrial | −204.59 | - | 2715.46 | −2510.87 | 0 | 0 | |
| Total | −589.58 | −13.82 | 7005.53 | −6402.13 | 0 | 0 |
| Product | Price Variation | Consumption Variation | |||
|---|---|---|---|---|---|
| Residential | Industrial | Residential | Industrial | Total | |
| Electricity | −26.61% | −11.18% | 5.40% | 2.26% | 3.22% |
| Natural gas | 8.78% | 9.03% | −2.12% | −2.18% | −2.17% |
| Diesel | 11.49% | 11.49% | −2.31% | −2.31% | −2.31% |
| Gasoline | 8.28% | - | −2.09% | - | −2.09% |
| Excise Tax | VAT | CO2 Tax | NOx/SO2 Tax | Renewables | Total | Total (%) | ||
|---|---|---|---|---|---|---|---|---|
| Electricity | Residential | −162.16 | −677.28 | 197.91 | 108.68 | −3891.26 | −4424.10 | −58.41 |
| Industrial | −89.39 | - | 444.00 | 243.82 | −2510.87 | −1912.43 | −56.97 | |
| Total | −251.54 | −677.28 | 641.91 | 352.50 | −6402.13 | −6336.54 | −57.97 | |
| Natural gas | Residential | −2.84 | 51.43 | 305.22 | 20.14 | - | 373.95 | 40.26 |
| Industrial | −2.28 | - | 1031.18 | 68.03 | - | 1096.93 | 1051.49 | |
| Total | −5.12 | 51.43 | 1336.41 | 88.17 | - | 1470.88 | 142.37 | |
| Diesel | Residential | −145.07 | 267.79 | 1251.65 | 353.90 | - | 1728.27 | 18.62 |
| Industrial | −81.50 | - | 703.18 | 198.82 | - | 820.51 | 23.26 | |
| Total | −226.57 | 267.79 | 1954.83 | 552.72 | - | 2548.78 | 19.90 | |
| Gasoline | Residential | −52.96 | 65.70 | 352.95 | 68.92 | - | 434.61 | 12.00 |
| Industrial | - | - | - | - | - | - | - | |
| Total | −52.96 | 65.70 | 352.95 | 68.92 | - | 434.61 | 12.00 | |
| Total | Residential | −363.03 | −292.36 | 2107.73 | 551.64 | −3891.26 | −1887.27 | −8.82 |
| Industrial | −173.16 | - | 2178.37 | 510.67 | −2510.87 | 5.01 | 0.07 | |
| Total | −536.19 | −292.36 | 4286.10 | 1062.32 | −6402.13 | −1882.27 | −6.63 |
| Product | Price Variation | Consumption Variation | |||
|---|---|---|---|---|---|
| Residential | Industrial | Residential | Industrial | Total | |
| Electricity | −25.62% | −9.30% | 5.20% | 1.89% | 2.89% |
| Natural gas | 11.60% | 11.92% | −2.81% | −2.88% | −2.87% |
| Diesel | 15.18% | 15.18% | −3.05% | −3.05% | −3.05% |
| Gasoline | 10.94% | - | −2.77% | - | −2.77% |
| Excise Tax | VAT | CO2 Tax | NOx/SO2 Tax | Renewables | Total | Total (%) | ||
|---|---|---|---|---|---|---|---|---|
| Electricity | Residential | −158.31 | −650.53 | 292.59 | 156.95 | −3891.26 | −4250.56 | −56.12 |
| Industrial | −81.32 | - | 655.21 | 351.47 | −2510.87 | −1585.51 | −47.23 | |
| Total | −239.63 | −650.53 | 947.80 | 508.42 | −6402.13 | −5836.07 | −53.39 | |
| Natural gas | Residential | −3.75 | 67.30 | 400.33 | 26.41 | - | 490.29 | 52.79 |
| Industrial | −3.01 | - | 1352.24 | 89.21 | - | 1438.44 | 1378.84 | |
| Total | −6.76 | 67.30 | 1752.57 | 115.62 | - | 1928.73 | 186.69 | |
| Diesel | Residential | −191.61 | 350.32 | 1640.64 | 463.89 | - | 2263.25 | 24.38 |
| Industrial | −107.65 | - | 921.72 | 260.61 | - | 1074.69 | 30.46 | |
| Total | −299.25 | 350.32 | 2562.37 | 724.50 | - | 3337.94 | 26.06 | |
| Gasoline | Residential | −69.95 | 85.97 | 462.97 | 90.41 | - | 569.41 | 15.73 |
| Industrial | - | - | - | - | - | - | - | |
| Total | −69.95 | 85.97 | 462.97 | 90.41 | - | 569.41 | 15.73 | |
| Total | Residential | −423.62 | −146.93 | 2796.54 | 737.66 | −3891.26 | −927.62 | −4.33 |
| Industrial | −191.97 | - | 2929.17 | 701.29 | −2510.87 | 927.62 | 13.27 | |
| Total | −615.60 | −146.93 | 5725.71 | 1438.95 | −6402.13 | 0 | 0 |
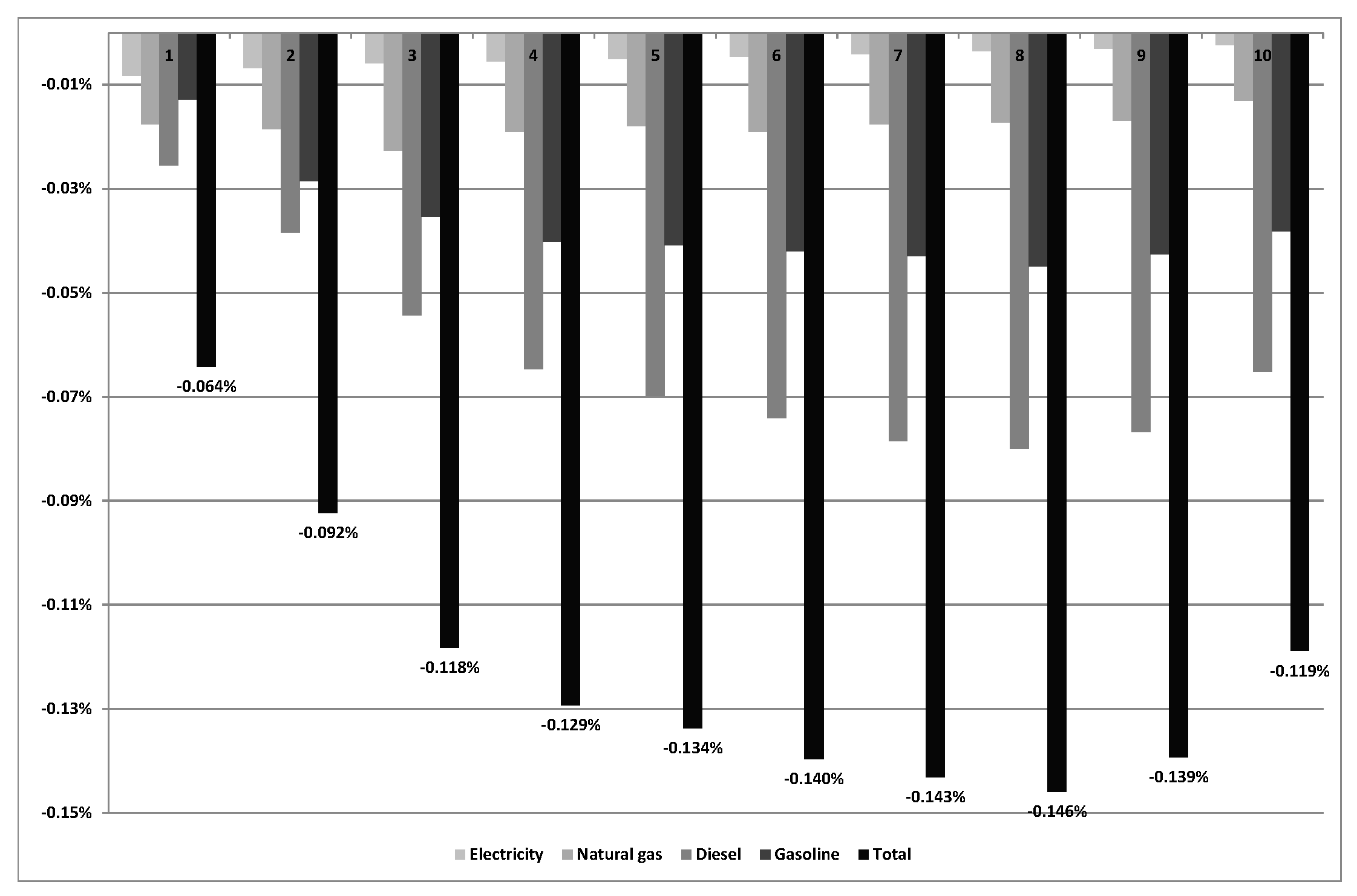
| Reform | Income | Energy Demand | Emissions CO2 | Distributive Impact (Deciles) | Gini Index |
|---|---|---|---|---|---|
| 1A | 5.97% | −0.65% | −0.55% | −0.041% (first) | −0.01% |
| −0.068% (tenth) | |||||
| −0.071% (average) | |||||
| 1B | 56.25% | −4.18% | −4.59% | −1.107% (first) | 0.18% |
| −0.899% (tenth) | |||||
| −1.139% (average) | |||||
| 2A | 6.11% | −0.58% | −0.53% | −0.064% (first) | −0.01% |
| −0.119% (tenth) | |||||
| −0.122% (average) | |||||
| 2B | 19.18% | −1.77% | −1.67% | −0.232% (first) | −0.01% |
| −0.338% (tenth) | |||||
| −0.365% (average) | |||||
| 3A | 0.00% | −0.91% | −0.54% | 0.540% (first) | −0.26% |
| −0.166% (tenth) | |||||
| 0.046% (average) | |||||
| 3B | 0.00% | −0.87% | −0.51% | 0.452% (first) | −0.23% |
| −0.199% (tenth) | |||||
| −0.016% (average | |||||
| 4A | −6.63% | −0.61% | −0.21% | 0.918% (first) | −0.36% |
| 0.001% (tenth) | |||||
| 0.319% (average) | |||||
| 4B | 0.00% | −1.21% | −0.79% | 0.829% (first) | −0.36% |
| −0.108% (tenth) | |||||
| 0.196% (average) |
© 2019 by the authors. Licensee MDPI, Basel, Switzerland. This article is an open access article distributed under the terms and conditions of the Creative Commons Attribution (CC BY) license (http://creativecommons.org/licenses/by/4.0/).
Share and Cite
Labandeira, X.; Labeaga, J.M.; López-Otero, X. New Green Tax Reforms: Ex-Ante Assessments for Spain. Sustainability 2019, 11, 5640. https://doi.org/10.3390/su11205640
Labandeira X, Labeaga JM, López-Otero X. New Green Tax Reforms: Ex-Ante Assessments for Spain. Sustainability. 2019; 11(20):5640. https://doi.org/10.3390/su11205640
Chicago/Turabian StyleLabandeira, Xavier, José M. Labeaga, and Xiral López-Otero. 2019. "New Green Tax Reforms: Ex-Ante Assessments for Spain" Sustainability 11, no. 20: 5640. https://doi.org/10.3390/su11205640
APA StyleLabandeira, X., Labeaga, J. M., & López-Otero, X. (2019). New Green Tax Reforms: Ex-Ante Assessments for Spain. Sustainability, 11(20), 5640. https://doi.org/10.3390/su11205640
