Abstract
The twenty-first century’s society experiences new challenges in being immersed in a new paradigm of the educational system. Higher education institutions should train professionals so that they are able to experience real situations in order to encourage reflection on affective, aesthetic, and ethical dimensions of these people in their relations with the natural and sociocultural environment. Learning strategies must allow the acquisition of creative, active, and applied knowledge as well as the development of critical thinking. According to the experiential learning theory, to achieve this, higher education should use student-centered interactive and collaborative teaching methodologies and focus studies on the skills that graduates must have, promoting student know-how, initiative, and autonomous learning. Business simulations are instruments that fulfil the above characteristics, facilitating learning. The objective of this research was to provide a model that identifies the determining factors (simulation’s realism and structure, perceived usefulness, and students’ learning motivation) in the effectiveness of using these tools to develop critical thinking focused on sustainability. Three hundred and twenty-six surveys completed by undergraduate students were obtained, which used a structural equation model (SEM) to analyze the influence of realism, simulation structure, perceived usefulness, and students’ motivations to develop critical thinking. The outcomes according to the experiential learning theory showed that the game’s realism lets students perceive its usefulness and, together with an adequate simulation structure, determines the students’ learning motivations by developing critical thinking.
1. Introduction
A Knowledge Society is characterized by scientific progress and globalizing interests. New communication channels that facilitate mass dissemination of information to all social and economic classes support the assimilation and systematization of knowledge, as well as creativity and innovation [1] and systematic thinking and teamwork [2].
Rapid technological evolution is transforming the world’s social, cultural, and ecological aspects. Given that the environment is everything around us and any activity we carry out generates an impact on it, economic development, understood as the use of resources to improve our lives, can cause negative impacts in the environment if indefinite economic growth is planned [3].
Sustainable development has taken on great importance; the United Nations [4] (p. 54) considers “sustainable development is development that meets the needs of the present without compromising the ability of future generations to meet their own needs”. It seeks to achieve economic and social development as well as environmental protection in a balanced way. However, despite all the initiatives undertaken to raise awareness of the need to conserve natural resources, because they are not an inexhaustible source of resources, environmental deterioration has not yet been stopped [5].
For this reason, in the 21st century, people not only need to know but also must develop skills and abilities that enable them to manage information and knowledge. To respond accordingly to these changes, a new pedagogical paradigm has been necessary, from which new content and teaching methods are designed, focusing on what is learned rather than what is taught, favoring students’ autonomous learning under the teachers’ guidance.
Thus, the educational model should facilitate students in observing, imagining, and doing, in such a way that they are able to grasp the meaning of what they study and develop skills and attitudes that allow them to successfully solve tasks in specific social contexts. Ultimately, this model is based on learning to think and do [6].
Business simulations are pedagogical tools adjusted to the new educational environment by providing a simplified model of reality that allows students to act under pressure without companies having to assume any additional costs due to mistakes made [7]. The participants are faced with problems that require their active involvement, forcing them to conduct investigations to subsequently make decisions that they deem appropriate. Therefore, students ask questions, generate and explore their own theories, and, throughout this process, construct their own knowledge.
However, there is no consensus on the usefulness of business management simulations to meet learning objectives. Thus, the objective of this research is to provide a model that reveals the determining factors in the effectiveness of using these simulations for the development of critical thinking.
2. Theoretical Framework
This section begins with an analysis of business simulations as a pedagogical tool. Next, the importance of educating for sustainability is analyzed. Then, critical thinking within higher education and the relationship between experiential learning and business simulations are discussed. Finally, the hypothesis and the research model to be analyzed is outlined.
2.1. Business Simulations as a Pedagogical Tool
A business simulation’s objective is to replicate the characteristics and behaviors of a real system, where game attributes such as competition, rules, and opportunities for cooperation have been incorporated [8,9].
The participants must face challenges based on a situation related to the business world. These participants assume a role (either individual or collectively, depending on the role), and they have to make decisions that will affect the outcomes of the environment they manage, generating different responses depending on the actions taken by the participants.
Although there are simulations that do not use computers, such as role play, laboratory experiences, problem-solving or the case method, this article focuses on computer simulations, also called business simulations.
Today, computer simulations are increasingly realistic, thanks to technological changes in the tangible components that make up computers (hardware) as well as the programs that enable their use (software) [10,11], making technological changes become cognitive tools that allow students to face real problems [12].
The participants must seek, understand, integrate, and apply the basic concepts of the subject addressed, as well as those related to it, preparing an assessment of information needs and, from this, constructing knowledge through the actions they perform [13]. In addition, once the simulation has been completed, the participants’ reasons for making the different decisions and the resulting outcomes encourages reflection, learning, and the development of creative, critical thinking [14,15,16].
There is extensive literature related to the competencies [17] or capabilities [18] that can be developed and put into practice using business simulations [19,20,21] (in advance, we used the term competencies considered from the perspective of European Higher Education Area-EHEA, since the study was developed in this area). Studies such as those of Herrington and Herrington [22] and Herrington et al. [23], based on the principles of authentic learning, affirm that having participants seek, understand, integrate, and apply the basic concepts of the subject dealt with, as well as related ones, managing to elaborate a diagnosis of information needs, and from this, build knowledge, is using technology as cognitive tools rather than for the dissemination of content and information. However, simulations are not always useful as pedagogical tools [24,25], and there are even studies that mention the drawbacks of this method compared to conventional methods [25,26]. One possible explanation for the discrepancies mentioned is that the success or failure of simulations in learning depends on the characteristics they present and how they are introduced in the classroom [27,28,29,30].
Hence, analyzing the variables or factors that play a relevant role in a learning environment is important so that a theoretical framework can be established to introduce this methodology and obtain the desired learning outcomes [31].
2.2. Sustainability and Education
In the current information and knowledge society, it is necessary to introduce an ethical component directly related to environmental protection, fostering actions aimed at sustainable production and consumption into higher education. Nature and environment are not an inexhaustible source of resources; therefore, their protection and rational use are necessary.
UNESCO, as a specialized agency of the United Nations, in its 2030 agenda analyzes education and its challenges for the future, pointing out that universities should exert leadership in promoting interdisciplinary and ethically forms of education oriented towards Sustainable Development Goals [32].
For this reason, higher education institutions have quickly assumed their role as trainers and have introduced into their curricular itinerary actions whose main objective is to join efforts towards a more inclusive, fair, and solidary society facilitating transformation towards sustainability [33].
2.3. Higher Education and Critical Thinking
When establishing their objectives, universities must consider the new social model based on knowledge. That is why higher education institutions are now changing the educational paradigm, from a model based almost exclusively on the transmission of knowledge to another that is based on flexibility and more involvement from teachers [34]. The objective of this model is the comprehensive education of individuals, involving social and affective behaviors as well as cognitive, psychological, sensory, and motor skills that allow them to respond successfully to a work or research activity.
Additionally, including work competencies in teaching guidelines compels academic institutions to consider the social, scientific, and technological changes that have occurred in recent years, which generate continuously renewing employment models and consequently require students to have an education that prepares them for jobs that do not yet exist [35]. Therefore, the knowledge society requires new graduates to be creative and have the ability to think critically and solve problems [7,36,37,38].
In this regard, critical thinking is a complex ability and is related to other abilities, such as having an open mind, being flexible, being able to identify arguments and assumptions, recognizing relationships, evaluating evidence, and drawing conclusions. For Ennis [39] (p. 6), this is understood as “rational and reflective thinking, when deciding what to do or believe.” Developing this way of thinking is therefore a priority in higher education [40,41,42,43].
Empirical studies have shown that critical thinking in students can be developed using student-based learning strategies and having them face everyday problems that require approaches to reasoning that allow them to construct new knowledge, based on the mindsets they already have [8,44,45,46]. Thus, by facilitating the planning, adaptation, and reflection used to solve the problems posed, business simulations constitute an adequate tool for students to construct knowledge and therefore represent an element that facilitates the development of critical thinking [7,47,48,49,50].
2.4. Experiential Learning and the Business Game
The concept of experiential learning, introduced by Carl Rogers in 1969 [51] and later developed by Kolb [52], is based on the idea that knowledge is constructed by transforming experience into a conceptualization.
The aim is to involve the individual in a direct interaction with what is being studied. However, experience alone does not guarantee learning. A process of personal reflection is also needed, in which meaning is constructed from the experience lived [53].
Thus, the theoretical framework that is used most to explain experiential learning is the Lewinian Model [52]. This model is made up of four phases or stages organized in a circular process, where students proceed through the phases successively. The model starts with a specific experience (immersion), which is observed and analyzed by the individual (reflection), creating abstract generalizations (conceptualization) that are later actively experienced or verified by the students (application). After applying a new specific experience, the learning cycle begins again.
By understanding learning as a continuous process of conflict resolution, it is possible to connect the aspects studied theoretically to their application in practice. A student can have unlimited information or ways to access it. However, it is when students face real situations and are able to directly apply the information they have, giving the information meaning and interacting with the information, that they achieve significant, contextualized, and transferable knowledge [53].
Within this line, heutagogy [54] defends the need for an educational methodology for adults, based on the study of self-determined learning under the concepts of autonomy and freedom. This approach considers the student as the main agent of their own learning that occurs as a result of personal experiences in interaction with their environment. Learning is considered an active and proactive process, a nonlinear process that strengthens the student’s ability of learning to learn through reflective processes, allowing deeper knowledge. The teacher is the facilitator of information, and the student determines what and how to learn [55,56,57].
All of the above leads to a change in the role of teachers, as they will no longer be responsible for transmitting the information. Instead, their mission will be to organize and facilitate meaningful experiences aimed at individual student needs [58].
Despite its pedagogical potential, experiential learning’s practical application has proven difficult [59]. The simulation method, and business simulations specifically, is a tool that has demonstrated its usefulness in experiential learning [60], since it provides “the confluence of systemic knowledge, practice, emotional involvement and social embeddedness that creates the potential to achieve results that no other methods can match” [61] (p. 824).
The necessary foundation for learning is the simulation game’s ability to develop a realistic and appealing experiential situation [62]. The circular experiential learning process begins with students interacting in a real-life situation confronted by business executives. The students must incorporate concepts to develop strategies, conduct analyses, and learn from the results obtained, which can all be completed individually or in teams [63].
2.5. Research Model and Working Hypothesis
Although business simulations must be entertaining by definition [64], if the ultimate goal is to support the learning activity and the development of critical thinking in students, they should incorporate rules, predetermined goals, and actions that allow experiencing uncertainty and unpredictability and let players immerse themselves, cognitively and effectively, in the competitive environments on which they are based [65]; that is, they must be realistic and well structured.
Realism refers to the extent to which the simulation emulates the real world and, although it cannot be an exact reflection of reality, it must be a reasonable abstraction of both physical and functional levels. The former refers to the environment that it represents, how it shows this, and what sounds it uses; the latter measures the different responses to the player’s actions, capturing the possible complexities in business as well as the situation’s narrative and interactivity.
According to the theories of experiential learning, students value learning from real cases [48], and although gaining knowledge in a virtual environment is comparable to that of an analogue environment [66], the realism presented by business simulations enhances the ability to associate prior experiences or knowledge with new situations, testing the participants’ abilities to analyze situations when making quick decisions about unexpected events, when optimizing resources and coordinating skills must also be considered.
Lemay et al. [67] show that students find learning environments that can reproduce real or potential situations using technology are useful because they allow the students to apply their knowledge and skills, facilitating reasoning in new situations they may later encounter in their jobs. In addition, studies such as those by Bambini et al. [68] and Burns et al. [69] reveal that students find simulations that are true to reality useful because this enables them to gain self-efficacy, confidence, and critical thinking. Therefore, from the above, we propose the first hypothesis:
Hypothesis 1 (H1).
The realism introduced by business simulations positively and significantly influences the perceived usefulness by students.
In addition, students perceive the activity as useful, and from its use, they can improve their performances in skills or the acquisition of knowledge [70,71,72] by immersing themselves cognitively and effectively in the environments and challenges that the activity presents.
Since motivation can be acquired, maintained or increased [73,74,75,76,77,78,79,80,81], when students have to overcome a challenge with characteristics analogous to reality, but at their own pace and without risks, they are able to relax and manage their stress. Consequently, they feel immersed in the process and thus increase their intention to understand, attempting to connect new ideas to prior knowledge and examining the logic of the facts. Ultimately, they can draw conclusions, all within an experience they find fun. From this approach, we provide the second hypothesis:
Hypothesis 2 (H2).
The perceived usefulness of the simulation positively and significantly influences the students’ learning motivation.
The computer simulation’s structure embodies the objectives, rules, explanations, and tasks that it presents. Since student satisfaction will depend on the game’s ability to meet the students’ expectations, the credibility of players’ involvement, and their degree of assimilation, business simulations must present a challenge that stimulates curiosity in the participants and thus actively involves the students in the learning process [82,83,84].
This challenge must test the knowledge or skill levels of students, but it should only minimally exceed the potential competence of the learners to overcome the obstacles. Otherwise, this feature could frustrate students before they complete the game [75,85,86,87,88].
By having to overcome real challenges to achieve the simulation’s objectives and by following clearly explained rules and principles, the participants face a competition with a designed challenge, which encourages curiosity and guides them towards the goal. In the case of education, the goal is to motivate students to learn or continue learning [89,90,91,92,93].
From the previous approach, we provide the third hypothesis:
Hypothesis 3 (H3).
The structure of business simulations positively and significantly influences students’ learning motivation.
Motivation and learning are interdependent processes because they are links between cognitive and motivational factors that directly influence the commitment students have towards their learning [94].
Much of the literature on motivation refers to the distinction between intrinsic motivation, which is inherent in the individual, and extrinsic motivation, which comes from external contingencies as positive or negative reinforcement, suggesting that different motivational aspects will have different consequences in learning [95,96].
In this study, motivation is considered the motivation students have to learn, conceptualized from the intrinsic perspective. One premise of the cognitive theories of motivation is that motivation is ever-changing and sensitive to the context [97]. Therefore, it is important to attend to the affective and motivational components of the teaching-learning process to promote willingness from students to learn and to continue learning [89,90,93].
Works such as those by Dondlinger [98], Ebner and Holzinger [99], and Shakroum et al. [100] show that business simulations, by providing a motivating and enjoyable learning environment, promote higher order cognition and the development of skills and knowledge necessary for academic and professional success. Hence, we provide the following hypothesis:
Hypothesis 4 (H4).
Students’ learning motivations positively and significantly influence critical thinking.
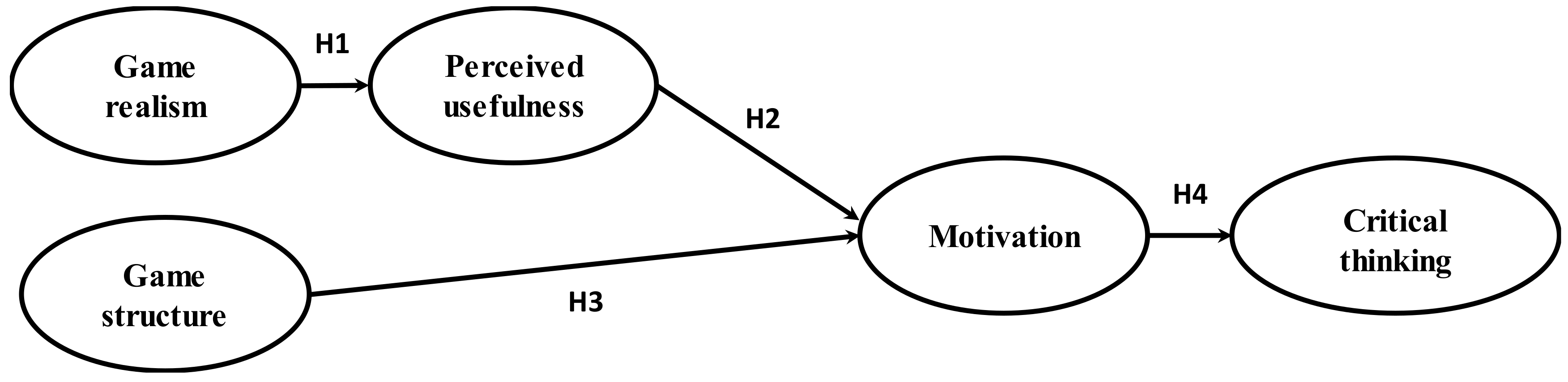
In Figure 1, the four hypotheses of this study are summarized in the research model to be analyzed.
Figure 1.
Research model.
3. Methodology
The study’s target population consisted of students enrolled in the School of Economics at the University of Valencia (Spain) during the 2017–2018 academic year. In total, 326 valid responses were obtained, representing 83% of the sample.
For three consecutive weeks, students participated in business simulations developed by the Massachusetts Institute of Technology (MIT). Ninety minutes were allocated for each business simulation, and the experience was divided into four stages, which we shall describe in detail.
We used 2 business simulations related with sustainability and climate change [101]: (1) Fishbanks: A Renewable Resource Management Simulation that “provides the opportunity for students to learn about the challenges of managing resources sustainably in a common pool resource setting, with realistic resource dynamics.” “Fishbanks is a multiplayer web-based simulation in which participants play the role of fishers and seek to maximize their net worth as they compete against other players and deal with variations in fish stocks and their catch. Participants buy, sell, and build ships; decide where to fish; and negotiate with one another.” (2) World Energy: A Climate and Energy Policy Negotiation Game, “to enable participants to learn about climate and energy policy in an interactive setting and explore the dynamics that arise between various stakeholders and economic sectors when addressing climate change. World Energy focuses on the climate impact of energy supply, agriculture, economic consumption, and more. Participants also develop skills in negotiation, presentation, and policy evaluation.” These simulations were selected because they offered a realistic scenario of sustainability and climate change, analyzing its ethical implications and encouraging critical analysis and teamwork.
In the first stage, the activity was explained, that is, how the simulation worked and what the objectives were, so that the participants had an idea of a situation they were going to face. In addition, the participants were allowed to access the game and all the provided materials related to it, so students became familiar with the tool. In a second stage, the participants had to complete a report in which they analyzed potential strategies to follow and their advantages and disadvantages. The game was played in the third stage. After each game, the participants obtained some results, and after analyzing the results, they could change the variables and the strategy or continue with the same variables and strategy. The fourth and final stage was individual reflection provided by the students about the results.
Once the simulation was finished, the teams explained their strategy, their decisions, and how the results evolved. The teachers knew the decisions made and the results obtained by all the participants, so they could point out, expand upon or highlight aspects they felt necessary, especially related to the learning objectives and the purpose of the activity.
At the end of the activity, a survey was distributed to the students, with completion being voluntary and anonymous. The questionnaire was prepared based on reviewing previous studies, which allows for continuity and comparability with the results of other research. A five-point Likert scale was used to measure the level of agreement or disagreement students had in relation to 18 items. Once the questionnaire was prepared, it was reviewed by a group of teachers with expertise in the subject, who evaluated the relevance of each of the items for the phenomenon that it was intended to measure. They also evaluated each item’s clarity and precision and changed any items that could cause problems when measuring or interpreting with respect to the theoretical concept and items that were initially considered confusing.
In Table 1, the items used to measure each of the study variables are summarized. Thus, to measure the realism of the simulation, three items are used [71,102], four items to measure perceived usefulness [29,71,103], three items to measure simulation structure [29,30], four items to measure learning motivation [29,71,104,105], and four items to measure the development of critical thinking [8,106].
Table 1.
Analysis of the dimensionality, reliability, and validity of the scales of measurement (fully standardized solution).
4. Results
In this section, scale validation and causal relationships are analyzed. In the first phase of the analysis, we focused on the study of the psychometric properties of the constructs considered. From the confirmatory factor analysis of the 18 items that ultimately make up the study, we obtained five dimensions: realism of the simulation, perceived usefulness, simulation structure, learning motivation, and development of critical thinking. As shown in Table 1, the probability associated with chi-squared reaches a value higher than 0.05 (0.26335), indicating an overall good fit of the scale [107]. The convergent validity is demonstrated in the following two ways: first, because the factor loadings were significant and greater than 0.5 [108,109,110]; and second, because the average variance extracted (AVE) for each of the factors was higher than 0.5 [111]. The reliability of the scale was demonstrated because the composite reliability (CR) of each of the dimensions obtained is higher than 0.6 [109].
Table 2 shows the discriminant validity of the construct considered, evaluated through AVE [111]. For this, a construct must share more variance with its indicators than with other constructs of the model. This occurs when the square root of the AVE between each pair of factors is higher than the estimated correlation between those factors—as does occur here, thus ratifying its discriminant validity.
Table 2.
Discriminant validity.
To test Hypotheses 1 to 4, we next performed an analysis of the causal relationships (Table 3). This analysis is adequate because the probability of the chi-squared is higher than 0.05 (0.07239), CFI (0.995) and NNFI (0.993) were close to unity, and RMSEA was close to zero (0.019). The result of the analysis shows that the four relationships posited in the model are supported. Thus, the realism of the simulation is an antecedent of the perceived usefulness (H1). Learning motivation is determined by perceived usefulness (H2) and simulation structure (H3). Finally, learning motivation acts as an antecedent of the development of critical thinking (H4).
Table 3.
Structural model relationships obtained.
5. Discussion
One learning objective in higher education is the ability to think critically and creatively to solve problems and respond to changes in economic and social conditions. University students have grown up in an environment where technologies follow one after another at a rapid pace, and they are used in all facets of their lives, that is, for entertainment, fun, communication, and information, which implies that these generations are developing new cognitive abilities and learning styles, where learning is more linked to trial and error processes than to logical procedures [112]. For this reason, this study has evaluated the effectiveness of using business simulations to develop critical thinking in higher education, analyzing the impact of the game’s realism and structure, the perceived usefulness by students, and the learning motivation.
The results obtained show that the realism of the game allows a student to perceive its usefulness, which, together with an appropriate simulation structure, determines the student’s motivation to learn, concerned with being well-informed (since problems have more than one solution) and keeping an open mind to other points of view, which ultimately develops critical thinking. Thus, a business simulation’s realism and structure are determinants in the effectiveness of this pedagogical tool on students’ learning motivations and improving their academic performance, which is consistent with previous findings [113].
The realism of the simulation catches the students’ attention and awakens their interest in the topics presented, which facilitates the perceived usefulness of these tools. If, in addition to being useful, these tools allow students to learn at their own pace, they are cognitively and effectively immersed. This result aligns with those of Bambini et al. [68], Burns et al. [69], and Ariza [53], who maintain that students, when faced with real-life situations, gain a better understanding of topics covered in theory, confirming that simulations are a good method for overcoming the breakdown that tends to exist between theory and practice. In addition, when there is no single solution to address the complexities of the environment, students must reflect and apply the knowledge acquired in theory classes or seek new knowledge, and if they are also able to find realistic solutions to the problems posed, they perceive the activity they are engaged in as useful.
However, an appropriate simulation structure generates motivation in students and, thus, critical thinking. In a virtual learning environment, a high degree of realism will not necessarily facilitate the development of conceptual understanding [71], as it is also important that the business simulation’s objectives, rules, and tasks are clearly explained and directed towards motivation to improve student learning experiences.
6. Conclusions
This study furthered our understanding in the effectiveness of the use of renewable resource management-based simulations to develop critical thinking. The results indicated that development of critical thinking is directly determined by learning motivation. Learning motivation is directly influenced by structure of the simulation and perceived usefulness. Finally, perceived usefulness is determined by realism of the simulation.
This contribution has conceptual and practical implications to achieve the learning objectives in higher education. In this regard, the results obtained provide evidence that renewable resource management-based simulations applied to higher education boost critical thinking, developing competencies related to sustainability. This result is in accordance with experiential theory, which proclaims that knowledge is constructed through the transformation of experience into a conceptualization [51], achieving learning by going through a process of reflection on the experience lived.
One of the practical implications is that the needs suggested by present-day society have made education systems adapt, promoting the learning of a set of abilities, skills, and criteria that allows for constantly evolving problems arising in the students’ environment to be solved responsibly and effectively. Higher education must design teaching strategies with instruments that contribute to achieving the proposed learning objectives. Business simulations are sophisticated instruments that reproduce reality with excellent precision and are a good tool, since they offer the opportunity to observe individual behavior under pressure, without companies having to assume any additional cost for the errors made.
The use of renewable resource management-based simulations could complement activities traditionally carried out in the classroom, since appropriately combining them with other material could encourage students to try to find bolder solutions, without any risk, allowing them to complete the simulation to achieve the objectives. By having the participants face economic, social, and environmental problems that require their active involvement, they have to investigate and make decisions. In addition, students can learn about the challenges of managing resources sustainably in a common pool resource setting. Therefore, students ask questions, generate and explore their own theories, and, throughout this process, create their knowledge.
Thus, simulations are a useful pedagogical tool in learning by promoting intrinsic motivation among students, fostering commitment, developing skills, and increasing the development of critical thinking. Higher education is advised to include simulations in their educational processes, since simulations support extensive learning from two different areas: (1) They are a bridge between theory and practice, allowing students the opportunity to gain experience through involvement, and (2) they facilitate learning through the actions they carry out and their consequences, since, when the participants perceive a reality, they think and make decisions to achieve their final objective [13]. Therefore, both universities and teachers should make an effort to encourage the use of business simulations to attain greater learning, and university professors thus must take on a new role, going from being transmitters of knowledge to being organizers of real experiences that generate knowledge, guiding students and setting clear rules and principles to generate motivation in students and, thus, critical thinking, which aligns with the results of Manolis et al. [58].
One of this study’s limitations involves the latent variables analyzed (game realism, simulation structure, perceived usefulness and motivation), which explain approximately 60% of critical thinking, but it would be interesting to extend this work by incorporating new constructs to increase the variance explained. Next, these results have been obtained from surveys of students in one academic year and in a specific school. The study should be carried out in other years, other schools, and other universities to see if similar results are found and thus obtain a greater degree of generalization of the results. Finally, these results have been obtained from surveys conducted with university students. We believe that it would be interesting to carry out studies that investigate the opinions of graduates, professors, and professionals regarding the usefulness of business simulations to generate learning.
Author Contributions
All authors contributed significantly to the writing of this paper. A.C.U.-M. and C.T.-A. contributed to theoretical framework, research design, manuscript writing, data collection, discussion and conclusions, and provided quality assurance for the research; J.S.-G. conducted the methodology, data collection, empirical analysis, data analysis, manuscript writing, and discussion. All authors read and approved the final manuscript.
Funding
This research received no external funding.
Conflicts of Interest
The authors declare no conflict of interest.
References
- Uggla, B.K. The Hermeneutics of Creativity and Innovation in Knowledge Society–between Structuralism and Pragmatism. Philos. Manag. 2017, 16, 253–264. [Google Scholar] [CrossRef]
- Li, Y.; Dong, M.; Huang, R. Designing Collaborative E-Learning Environments based upon Semantic Wiki: From Design Models to Application Scenarios. Educ. Technol. Soc. 2011, 14, 49–63. [Google Scholar]
- Rees, W.E. Economic development and environmental protection: An ecological economics perspective. Environ. Monit. Assess. 2003, 86, 29–45. [Google Scholar] [CrossRef] [PubMed]
- Report of the World Commission on Environment and Development-Our Common Future. Available online: https://sustainabledevelopment.un.org/milestones/wced (accessed on 28 September 2019).
- Jain, M.; Magpal, A. The Nexus between Climate Sustainability and Economic Growth: Evidence from G4 Nations. IUP J. Appl. Econ. Hyderabad 2019, 18, 7–32. [Google Scholar]
- Durham, Y.; Mckinnon, T. Classroom experiments: Not just fun and games. Econ. Inq. 2006, 45, 162–178. [Google Scholar] [CrossRef]
- Yang, Y.T.C.; Chang, C.H. Empowering students through digital game authorship: Enhancing concentration, critical thinking, and academic achievement. Comput. Educ. 2013, 68, 334–344. [Google Scholar] [CrossRef]
- Bell, R.; Loon, M. The Impact of Critical Thinking Disposition on Learning using Business Simulations. Int. J. Manag. Educ. 2015, 13, 119–127. [Google Scholar] [CrossRef]
- Farrenkopf, T.; Guckert, M.; Urquhart, N.; Wells, S. Ontology Based Business Simulations. J. Artif. Soc. Soc. Simul. 2016, 19, 14. [Google Scholar] [CrossRef]
- Kirriemuir, J. Video Gaming, Education and Digital Learning Technologies. D-Lib. Mag. 2002. Available online: http://www.dlib.org/dlib/february02/kirriemuir/02kirriemuir.html (accessed on 28 September 2019).
- Martín, D.; McEvoy, B. Business simulations: A balanced approach to tourism education. Int. J. Contemp. Hosp. Manag. 2003, 15, 336–339. [Google Scholar] [CrossRef]
- Herrington, J.; Kervin, L. Authentic Learning Supported by Technology: 10 Suggestions and Cases of Integration in Classrooms, University of Wollongong Research Online. 2007. Available online: http://citeseerx.ist.psu.edu/viewdoc/download?doi=10.1.1.657.1044&rep=rep1&type=pdf (accessed on 18 August 2019).
- Armstrong, S.J.; Hird, A. Cognitive style and entrepreneurial drive of new and mature business owner-managers. J. Bus. Psychol. 2009, 24, 429–430. [Google Scholar] [CrossRef]
- Andreu-Andreu, M.A.; García-Casas, M. Evaluación del pensamiento crítico en el trabajo en grupo. Rev. Investig. Educ. 2014, 32, 203–222. [Google Scholar] [CrossRef]
- Arellano, F.; Hine, S.; Thilmany, D.D. Using MANECSIM as a simulation for agribusiness capstone courses. Rev. Agric. Econ. 2001, 23, 275–285. [Google Scholar] [CrossRef]
- Kennedy, M.; Fisher, M.B.; Ennis, R.H. Critical thinking: Literature review and needed research. In Educational Values and Cognitive Instruction: Implications for Reform; Idol, L., Jones, B.F., Eds.; LEA: Hillsdale, NJ, USA, 1991. [Google Scholar]
- European Union. ECTS Users’ Guide; European Union: Brussels, Belgium, 2015; ISBN 978-92-79-43559-1. [Google Scholar] [CrossRef]
- Hase, S.; Kenyon, C. Heutagogy: A Child of Complexity Theory. Complic. Int. J. Complex. Educ. 2007, 4, 111–118. [Google Scholar] [CrossRef]
- Earp, J.; Ott, M.; Popescu, M.; Romero, M.; Usart, M. Supporting Human Capital development with Serious Games: An analysis of three experiences. Comput. Hum. Behav. 2014, 30, 715–720. [Google Scholar] [CrossRef]
- Fitó-Bertran, A.; Hernández-Lara, A.B.; Serradell-López, E. The effect of competences on learning results an educational experience with a business simulator. Comput. Hum. Behav. 2015, 51, 910–914. [Google Scholar] [CrossRef]
- Lohmann, G.; Pratt, M.A.; Benckendorff, P.; Strickland, P.; Reynolds, P.; Whitelaw, P.A. Online business simulations: Authentic teamwork, learning outcomes, and satisfaction. High. Educ. 2019, 77, 455–472. [Google Scholar] [CrossRef]
- Herrington, A.; Herrington, J. Authentic Learning Environments in Higher Education; Information Science Publishing: Hershy, PA, USA, 2006. [Google Scholar]
- Herrington, J.; Reeves, T.; Oliver, R. Immersive learning technologies: Realism and online authentic learning. J. Comput. High. Educ. 2007, 19, 80–99. [Google Scholar] [CrossRef]
- Ke, F. A case study of computer gaming for math: Engaged learning from gameplay? Comput. Educ. 2008, 52, 1609–1620. [Google Scholar] [CrossRef]
- Papastergiou, M. Digital game-based learning in high school computer science education: Impact on educational effectiveness and student motivation. Comput. Educ. 2009, 52, 1–12. [Google Scholar] [CrossRef]
- Kebritchi, M.; Himuri, A.; Bai, H. The effects of modern mathematics computer games on mathematics achievement and class motivation. Comput. Educ. 2010, 55, 427–443. [Google Scholar] [CrossRef]
- Curry, B.; Moutinho, L. Using Computer Simulations in Management Education. Manag. Educ. Dev. 1992, 23, 155–167. [Google Scholar] [CrossRef]
- Mayer, R.E.; Johnson, C.I. Adding instructional features that promote learning in a game-like environment. J. Educ. Comput. Res. 2010, 42, 241–265. [Google Scholar] [CrossRef]
- Tao, Y.H.; Cheng, C.J.; Sun, S.Y. What influences college students to continue using business simulation games? Taiwan Exp. Comput. Educ. 2009, 53, 929–939. [Google Scholar] [CrossRef]
- Wrzesien, M.; Alcañiz-Raya, M. Learning in serious virtual worlds: Evaluation of learning effectiveness and appeal to students in the E-Junior project. Comput. Educ. 2010, 55, 178–187. [Google Scholar] [CrossRef]
- Huang, D.W.; Johnson, T.E.; Han, S.H.C. Impact of online instructional game features on college students’ perceived motivational support and cognitive investment: A structural equation modeling study. Internet High. Educ. 2013, 17, 58–68. [Google Scholar] [CrossRef]
- UNESCO. Education 2030. Incheon Declaration and Framework for Action for the Implementation of Sustainable Development Goal 4. Ensure Inclusive and Equitable Quality Education and Promote Lifelong Learning Opportunities for All; UNESCO: Paris, France, 2016. [Google Scholar]
- Awuzie, B.; Abuzeinab, A. Modelling Organisational Factors Influencing Sustainable Development Implementation Performance in Higher Education Institutions: An Interpretative Structural Modelling (ISM) Approach. Sustainability 2019, 11, 4312. [Google Scholar] [CrossRef]
- Xianglan, C.h.; Liu, J.; Bai, Y. College environment, student involvement, and intellectual development: Evidence in China. High. Educ. 2017, 74, 81–99. [Google Scholar]
- Fisch, K.; McLeod, S. Did You Know? 2009. Available online: https://www.youtube.com/watch?v=PHmwZ96 (accessed on 18 August 2019).
- Kiener, M.; Ahuna, K.H.; Tinnesz, C.G. Documenting critical thinking in a capstone course: Moving students towards a professional disposition. Educ. Action Res. 2014, 22, 109–121. [Google Scholar] [CrossRef]
- Sellars, M.; Fakirmohammad, R.; Bui, L.; Fishetti, J.; Niyozov, S.; Reynolds, R.; Thapliyal, N.; Liu-Smith, Y.-L.; Ali, N. Conversations on Critical Thinking: Can Critical Thinking Find Its Way Forward as the Skill Set and Mindset of the Century? Educ. Sci. 2018, 8, 205. [Google Scholar] [CrossRef]
- Itatani, T.; Nagata, K.; Yanagihara, K.; Tabuchi, N. Analysis of Student Essays after Attending a Problem-Based Learning Course: Facilitating the Development of Critical Thinking and Communication Skills in Japanese Nursing Students. Healthcare 2017, 5, 47. [Google Scholar] [CrossRef]
- Ennis, R. Critical Thinking: A streamlined conception. Teach. Philos. 1991, 14, 5–24. [Google Scholar] [CrossRef]
- Halpern, D.F. Teaching critical thinking for transfer across domains: Disposition, skills, structure training, and metacognitive monitoring. Am. Psychol. 1998, 53, 449–455. [Google Scholar] [CrossRef] [PubMed]
- Kovalik, D.L.; Kovalik, L.M. Language simulations: The blending space for writing and critical thinking. Simul. Gaming 2007, 38, 310–322. [Google Scholar] [CrossRef]
- Roth, M.S. Beyond Critical Thinking. The Chronicle of Higher Education. 3 January 2010. Available online: https://chronicle.com/article/Beyond-Critical-Thinking/63288/ (accessed on 14 March 2012).
- Stassen, M.L.A.; Herrington, A.; Henderson, L. Defining critical thinking in higher education. In To improve the Academy: Resources for Faculty Instructional, and Organizational Development 2011; Jossey-Bas: San Francisco, CA, USA, 2011; pp. 126–141. [Google Scholar]
- Hill, M.E.; Cromartie, J.; McGinnis, J. Applying neuroplasticity to educating agile-thinking managers. Int. J. Manag. Educ. 2016, 14, 39–49. [Google Scholar] [CrossRef]
- Saiz, C.; Rivas, S.F. Evaluación en pensamiento crítico: Una propuesta para diferenciar formas de pensar. Ergo. Nueva Época. 2008, 22, 25–66. [Google Scholar]
- Yang, Y.T.C.; Wu, W.C.I. Digital storytelling for enhancing student academic achievement, critical thinking, and learning motivation: A year-long experimental study. Comput. Educ. 2012, 59, 339–352. [Google Scholar] [CrossRef]
- Kiili, K. Foundation for problem-based gaming. Br. J. Educ. Technol. 2007, 38, 394–404. [Google Scholar] [CrossRef]
- Levant, Y.Y.; Coulmont, M.; Sandu, R. Business simulation as an active learning activity for developing soft skills. Account. Educ. 2016, 25, 368–395. [Google Scholar] [CrossRef]
- Ray, B.; Faure, C.; Kelle, F. Using Social Impact Games (SIGs) to support constructivist learning: Creating a foundation for effective use in the secondary social studies education. Am. Second Educ. 2013, 41, 60–70. [Google Scholar]
- Straková, Z.; Cimermanová, I. Critical Thinking Development—A Necessary Step in Higher Education Transformation towards Sustainability. Sustainability 2018, 10, 3366. [Google Scholar] [CrossRef]
- Rogers, C.R. Freedom to Learn; Merrill: Columbus, OH, USA, 1969. [Google Scholar]
- Kolb, D.A. Experiential Learning: Experience as the Source of Learning and Development; Prentice-Hall: Englewood Cliffs, NJ, USA, 1984. [Google Scholar]
- Ariza, M.R. El aprendizaje experiencial y las nuevas demandas formativas. Rev. Antropol. Exp. (Espec. Educ.) 2010, 10, 89–102. [Google Scholar]
- Hase, S.; Kenyon, C. From Andragogy to Heutagogy; Ultibase, Royal Melbourne Institute of Technology: Melbourne, Australia, 2000. [Google Scholar]
- Hase, S. Learner defined learning. In Self-Determined Learning: Heutagogy in Action; Hase, S., Kenyon, C., Eds.; Bloomsbury: London, UK, 2013. [Google Scholar]
- Hase, S.; Kenyon, C. Self-Determined Learning: Heutagogy in Action; Bloomsbury: London, UK, 2013. [Google Scholar]
- Blaschke, L.M.; Hase, S. Heutagogy, technology, and lifelong learning: Curriculum geared for professional and part-time learners. In Transformative Perspectives and Processes in Higher Education; Springer-Verlag: Berlin, Germany, 2015; Chapter 4. [Google Scholar]
- Manolis, C.; Burns, D.J.; Assudani, R.; Chinta, R. Assessing experiential learning styles: A methodological reconstruction and validation of the Kolb Learning Style Inventory. Learn. Individ. Differ. 2013, 23, 44–52. [Google Scholar] [CrossRef]
- Bobbitt, L.M.; Tintas, S.A.; Kemp, K.J.; Mayo, D.T. Integración de cursos de marketing para mejorar el aprendizaje experiencial basado en equipos. Rev. Educ. En Mark. 2000, 22, 15–24. [Google Scholar] [CrossRef]
- Bascoul, G.; Schmitt, J.; Rasolofoarison, D.; Chamberlain, L.; Lee, N. Using an experiential business game to stimulate sustainable thinking in marketing education. J. Mark. Educ. 2013, 35, 168–180. [Google Scholar] [CrossRef]
- Hofstede, G.J.; de Caluwé, L.; Peters, V. Why simulation games work-in search of the active substance: A synthesis. Simul. Gaming 2010, 41, 824–843. [Google Scholar] [CrossRef]
- Salas, E.; Wildman, J.L.; Piccolo, R.F. Using simulation based training to enhance management education. Acad. Manag. Learn. Educ. 2009, 8, 559–573. [Google Scholar]
- Ranchhod, A.; Gurau, C.; Loukis, E.; Trivedi, R. Evaluating the educational effectiveness of simulation games: A value generation model. Inf. Sci. 2014, 264, 75–90. [Google Scholar] [CrossRef]
- Gredler, M.E. Learning and Instruction: Theory into Practice, 6th ed.; Pearson Prentice Hall: Upper Saddle River, NJ, USA, 2009. [Google Scholar]
- Abt, C. Serious Games; Viking Press: New York, NY, USA, 1970. [Google Scholar]
- Lamb, R.L.; Annetta, L.; Firestone, J.; Etopio, E. A meta-analysis with examination of moderators of student cognition, affect, and learning outcomes while using serious educational games, serious games, and simulations. Comput. Hum. Behav. 2018, 80, 158–167. [Google Scholar] [CrossRef]
- Lemay, D.J.; Morin, M.M.; Bazelais, P.; Doleck, T. Modeling students’ perceptions of simulation-based learning using the technology acceptance model. Clin. Simul. Nurs. 2018, 20, 28–37. [Google Scholar] [CrossRef]
- Bambini, D.; Washburn, J.; Perkins, R. Outcomes of clinical simulation for novice nursing students: Communication, confidence, clinical judgement. Nurs. Educ. Perspect. 2009, 30, 79–82. [Google Scholar] [PubMed]
- Burns, H.K.; O’Donell, J.; Artman, J. High fidelity simulation in teaching problem solving to 1st year nursing students. Clin. Simul. Nurs. 2010, 6, 87–95. [Google Scholar] [CrossRef]
- Islam, A.K.M.N. Investigating e-learning system usage outcomes in the university context. Comput. Educ. 2013, 69, 387–399. [Google Scholar] [CrossRef]
- Lee, E.A.-L.; Wong, K.W.; Fung, C.C. How does desktop virtual reality enhance learning outcomes? A structural equation modeling approach. Comput. Educ. 2010, 55, 1424–1442. [Google Scholar] [CrossRef]
- Sun, P.C.; Tsai, R.J.; Finger, G.; Chen, Y.Y.; Yeh, D. What drives a successful e-Learning? An empirical investigation of the critical factors influencing learner satisfaction. Comput. Educ. 2008, 50, 1183–1202. [Google Scholar] [CrossRef]
- Annetta, L.; Minogue, J.; Holmes, S.; Chen, M.T. Investigating the impact of video games on high school students’ engagement and learning about genetics. Comput. Educ. 2009, 3, 74–85. [Google Scholar] [CrossRef]
- Asgari, M. A three-factor model of motivation and game design. In Proceedings of the Digital Games Research. Presented at the Conference (DIGRA), Vancouver, BC, Canada, 16–20 June 2005. [Google Scholar]
- Csikszentmihalyi, M. Finding Flow: The Psychology of Optimal Experience; Harper Perennial: New York, NY, USA, 1990. [Google Scholar]
- De Freitas, S.; Oliver, M. How can exploratory learning with games and simulations within the curriculum be most effectively evaluated? Comput. Educ. (Spec. Issue) 2006, 46, 249–264. [Google Scholar] [CrossRef]
- Dickey, M.D. Engaging by design: How engagement strategies in popular computer and video games can inform instructional design. Educ. Technol. Res. Dev. 2005, 53, 67–83. [Google Scholar] [CrossRef]
- Hainey, T.; Westera, W.; Connolly, T.M.; Boyle, L.; Baxter, G.; Beeby, R.B.; Soflano, M. Students’ attitudes toward playing games and using games in education: Comparing Scotland and the Netherlands. Comput. Educ. 2013, 69, 474–484. [Google Scholar] [CrossRef]
- Moreno-Ger, P.; Burgos, D.; Torrente, J. Digital Games in eLearning Environments: Current Uses and Emerging Trends. Simul. Gaming 2009, 40, 669–687. [Google Scholar] [CrossRef]
- Sitzmann, T. A meta-analytic examination of the instructional effectiveness of computer-based simulation games. Pers. Psychol. 2011, 64, 489–528. [Google Scholar] [CrossRef]
- Wouters, P.; Van Mimwegen, C.; Van Oostendorp, H.; Van der Spek, E. A Meta-Analysis of the Cognitive and Motivational Effects of Serious Games. J. Educ. Psychol. 2013, 105, 249–265. [Google Scholar] [CrossRef]
- Blumberg, F.C.; Almonte, D.E.; Anthony, J.S.; Hashimoto, N. Serious games: What are they? What do they do? Why should we play them? In The Oxford Handbook of Media Psychology; Oxford University Press: Oxford, UK, 2012; pp. 334–351. [Google Scholar] [CrossRef]
- Huang, W.D.; Johnson, T. Instructional Game Design Using Cognitive Load Theory. In Handbook of Research on Effective Electronic Gaming in Education; Ferdig, R.E., Ed.; IGI Global: Pennsylvania, PA, USA, 2009; pp. 1143–1165. [Google Scholar] [CrossRef]
- Huang, W.H.; Huang, W.Y.; Tschopp, J.A. Sustaining iterative game playing processes in DGBL: The relationship between motivational processing and outcome processing. Comput. Educ. 2010, 55, 789–797. [Google Scholar] [CrossRef]
- Belanich, J.; Daragh, E.S.; Kara, L.O. Instructional Characteristics and Motivational Features of a PC-Based Game; U.S. Army Research Institute for the Behavioral and Social Sciences: Alexandria, VA, USA, 2004. [Google Scholar]
- Garris, R.; Ahlers, R.; Driskell, J.E. Games, motivation, and learning: A research and practice model. Simul. Gaming 2002, 33, 441–467. [Google Scholar] [CrossRef]
- Malone, T.W. What Makes Things Fun to Learn? A Study of Intrinsically Motivating Computer Games; Xerox Palo Alto Research Center: Palo Alto, CA, USA, 1980. [Google Scholar]
- Rieber, L.P.; Matzko, M.J. Serious design of serious play in physics. Educ. Technol. Res. Dev. 2001, 41, 14–24. [Google Scholar]
- Alonso-Tapia, J. Motivación para el aprendizaje: La perspectiva de los alumnos. In La Orientación Escolar en Centros Educativos; Ministerio de Educación y Ciencia: Madrid, Spain, 2005; pp. 209–242. [Google Scholar]
- Banyte, J.; Gadeikiene, A. The effect of consumer motivation to play games on video game-playing engagement. Proc. Econ. Financ. 2015, 26, 505–514. [Google Scholar] [CrossRef]
- Córdova, D.I.; Lepper, M.R. Intrinsic motivation and the process of learning: Beneficial effects of contextualization, personalization, and choice. J. Educ. Psychol. 1996, 88, 715–730. [Google Scholar] [CrossRef]
- Pekrun, R.; Goetz, T.; Daniels, L.M.; Stupnisky, R.H.; Perry, R.P. Boredom in achievement settings: Exploring control-value antecedents and performance outcomes of a neglected emotion. J. Educ. Psychol. 2010, 102, 531–549. [Google Scholar] [CrossRef]
- Rivero-Menéndez, M.J.; Urquía-Grande, E.; López-Sánchez, P.; Camacho-Miñano, M.M. Motivation and learning strategies in accounting: Are there differences in English as a medium of instruction (EMI) versus non-EMI students. Rev. De Contab. 2018, 21, 128–139. [Google Scholar] [CrossRef]
- Zimmerman, B.J. Self-regulation learning and academic achivement: An overview. Educ. Psychol. 1990, 25, 3–17. [Google Scholar] [CrossRef]
- Littlejohn, A.; Hood, N.; Milligan, C.; Mustain, P. Learning in MOOCs: Motivations and self-regulated learning in MOOCs. Internet High. Educ. 2016, 29, 40–48. [Google Scholar] [CrossRef]
- Ryan, R.M.; Deci, E.L. Self-determination theory and the facilitation of intrinsic motivation, social development, and well-being. Am. Psychol. 2000, 55, 68–78. [Google Scholar] [CrossRef] [PubMed]
- Linnenbrink, E.A.; Pintrich, P.R. Motivation as an enabler for academic success. Sch. Psychol. Rev. 2002, 31, 313–327. [Google Scholar]
- Dondlinger, M.J. Educational Video Game Design: A Review of the Literature. J. Appl. Educ. Technol. 2007, 4, 21–31. [Google Scholar]
- Ebner, M.; Holzinger, A. Successful implementation of user-centered game based learning in higher education: An example from civil engineering. Comput. Educ. 2007, 49, 873–890. [Google Scholar] [CrossRef]
- Shakroum, M.; Wong, K.W.; Fung, C.C. The influence of Gesture Based Learning System (GBLS) on Learnig Outcomes. Comput. Educ. 2018, 117, 75–101. [Google Scholar] [CrossRef]
- Management Simulation Games. Available online: https://mitsloan.mit.edu/LearningEdge/simulations/Pages/Overview.aspx (accessed on 16 August 2019).
- Dalgarno, B.; Hedberg, J.; Harper, B. The contribution of 3D environments to conceptual understanding. In Proceedings of the ASCILITE 2002, Auckland, New Zealand, 8–11 December 2002. [Google Scholar]
- Davis, F.D. Perceived usefulness, perceived ease of use, and user acceptance of information technology. Mis Q. 1989, 13, 319–340. [Google Scholar] [CrossRef]
- Duncan, T.; Mckeachie, W.J. The Making of the Motivated Strategies for Learning Questionnaire. Educ. Psychol. 2005, 40, 117–128. [Google Scholar] [CrossRef]
- Gresse von Wangenheim, C.; Savi, R.; Ferreti Borgatto, A. DELIVER! An educational game for teaching Earned Value Management in computing courses. Inf. Softw. Technol. 2012, 54, 286–298. [Google Scholar] [CrossRef]
- Sosu, E. The development and psychometric validation of a Critical Thinking Disposition Scale. Think. Ski. Creat. 2013, 9, 107–119. [Google Scholar] [CrossRef]
- Jöreskog, K.G.; Sörbom, D. LISREL 8: User’s Reference Guide; Scientific Software: Chicago, IL, USA, 1996. [Google Scholar]
- Bagozzi, R.P. Causal Models in Marketing; Wiley: New York, NY, USA, 1980. [Google Scholar]
- Bagozzi, R.P.; Yi, T. On the evaluation of structural equation models. J. Acad. Mark. Sci. 1988, 16, 74–94. [Google Scholar] [CrossRef]
- Hair, J.F.; Black, W.C.; Babin, J.B.; Anderson, R.E.; Tatham, R.L. Multivariate Data Analysis, 6th ed.; Pearson Education Inc.: Upper Saddle River, NJ, USA, 2006. [Google Scholar]
- Fornell, C.; Larcker, D.F. Evaluating structural equations models with unobservable variables and measurement error. J. Mark. Res. 1981, 18, 39–50. [Google Scholar] [CrossRef]
- Hargittai, E. Digital Na (t) ives? Variation in internet skills and uses among members of the “Net Generation”. Soc. Inq. 2010, 80, 92–113. [Google Scholar] [CrossRef]
- Lin, H.-H.; Yen, W.-C.; Wang, W.C. Investigating the effect of learning method and motivation on learning performance in a business simulation system context: An experimental study. Comput. Educ. 2018, 127, 30–40. [Google Scholar] [CrossRef]
© 2019 by the authors. Licensee MDPI, Basel, Switzerland. This article is an open access article distributed under the terms and conditions of the Creative Commons Attribution (CC BY) license (http://creativecommons.org/licenses/by/4.0/).
