Abstract
Increasingly, empirical evidence refutes many of the theoretical pillars of mainstream economics. These theories have persisted despite the fact that they support unsustainable and undesirable environmental, social, and economic outcomes. Continuing to embrace them puts at risk the possibility of achieving the Sustainable Development Goals and overcoming other global challenges. We discuss a selection of paradoxes and delusions surrounding mainstream economic theories related to: (1) efficiency and resource use, (2) wealth and wellbeing, (3) economic growth, and (4) the distribution of wealth within and between rich and poor nations. We describe a wellbeing economy as an alternative for guiding policy development. In 2018, a network of Wellbeing Economy Governments (WEGo), (supported by, but distinct from, the larger Wellbeing Economy Alliance—WEAll) promoting new forms of governance that diverge from the ones on which the G7 and G20 are based, has been launched and is now a living project. Members of WEGo aim at advancing the three key principles of a wellbeing economy: Live within planetary ecological boundaries, ensure equitable distribution of wealth and opportunity, and efficiently allocate resources (including environmental and social public goods), bringing wellbeing to the heart of policymaking, and in particular economic policymaking. This network has potential to fundamentally re-shape current global leadership still anchored to old economic paradigms that give primacy to economic growth over environmental and social wealth and wellbeing.
1. Introduction
Throughout the history of economic thinking, a series of theoretical assumptions have ultimately been refuted by empirical evidence yet are still the subject of debates. As the global environment, society, and economy are changing, empirical observations refute what once were economic certainties. Disproof of mainstream economic assumptions has come from both within and outside the discipline of economics. Examples are: (1) increased efficiency does not necessarily lead to decreasing use of resources (e.g., Jevons paradox), (2) increasing income and wealth does not necessarily lead to higher levels of wellbeing after a certain threshold is passed (e.g., Easterlin paradox), (3) perpetual economic growth is neither desirable nor viable (e.g., The Limits to Growth), and (4) in a globalized economy wealth does not flow from rich to poor nations (e.g., Lucas paradox) (Figure 1). When real world data and phenomena contradict what is expected by theory we refer to paradoxes; when desirable outcomes cannot be achieved using policy based on economic theory we refer to delusions. There are many facts, figures, and situations that demonstrate that the world view of mainstream economics is flawed. While the discipline of economics is equipped with theory and tools to describe, understand, and influence socio-ecological systems [1,2], the paradoxes and delusions described here contribute to a public perception, and a reality, that economic theory is not always coherent with what happens in the real world. The emergence of paradoxes and delusions may help overcome the rigidity of the pillars of mainstream economics and, in general, facilitate identification and solution of problems that are wider than any academic boundary.
Figure 1.
A chronological selection of paradoxes and delusions of the mainstream economics view. Global gross domestic product trends are shown in the background. Data from the Maddison Project Database [22] (available at: http://rug.nl last accessed: May 2019), and the World Bank Open Data (available at: http://data.worldbank.org/ last accessed: April 2017).
This is perhaps best characterized by the famous question from the Queen of England, Elizabeth II, as to why the economists did not see the 2008 global financial crisis coming. A three-page response prepared by eminent economists mentions “a failure of the collective imagination of many bright people” [3], which many might argue is a feeble defense of the scholarly discipline. Other warning signs as to the credibility of mainstream economic assumptions are also gaining attention. For instance, wars, illness, and natural disasters increase consumption (of weapons, insurance policies, and building materials) that in turn push up a nation’s gross domestic product (GDP), which is the primary indicator of a country’s economic performance [2,4,5,6]. The idea that the “invisible hand” allocates resources in a societally optimal way seems to be refuted by the fact that obesity in rich countries and undernourishment in poor ones are two sides of the same coin (i.e., poverty) [7,8,9], that half of the world’s food is thrown away or wasted, that diseases with known cures are still rampant in certain parts of the world, and that clean energy technologies are still mostly a luxury of the rich [10].
There is growing evidence that economic inequality is not only detrimental to human wellbeing but is also not efficient even from the traditional economic perspective [11,12,13]. Economic inequality is currently extreme and getting worse, with 48% of global wealth distributed to the richest 1% of the world’s population, 87% to the richest 10%, and 1% to the poorest 50% [14,15,16,17,18] (please refer to World Inequality Lab [19] for more recent figures on income and wealth inequality). At the same time, increasing wealth is not automatically solving inequality problems [20].
In this paper, we present in chronological order a selection of paradoxes and delusions (Figure 1) that question some of the theoretical pillars of mainstream economics. This provides a picture that will inform the development of a more holistic understanding of economics and stimulate further discussion among a broad non-technical audience. The idea of a wellbeing economy, originating from the principles of ecological economics [21], is presented as an alternative way of developing policies that prioritize a broader conception of wellbeing over a single-minded focus on income growth. We provide the example of a network of governments for wellbeing (the WEGo network supported by, but distinct from, the larger Wellbeing Economy Alliance (WEAll)) focusing on economic policies that overcome mainstream paradoxes and delusions.
2. The Jevons Paradox and the Dematerialization Delusion
In 1865, soon after the Industrial Revolution, the economist William Stanley Jevons observed that increasing efficiency in coal use did not correspond to a diminished consumption of coal. Instead, the contrary was true. Improvements of the steam engine were accelerating the overall consumption of coal [23]. This counterintuitive observation is named the Jevons paradox. The dynamics that cause a reduction of potential energy savings from improved energy use efficiency are generally called “rebound effect”; for an overview, see Sorrell [24]. After the first formulation in Jevons’ writings, rebound effects have both occurred and not occurred in different contexts related to energy use and use of resources in general [25].
The debate over rebound effects is far from being solved. Nonetheless, mainstream economic approaches to sustainable development are largely focused on technological improvements in efficiency, while neglecting the need for policy and tools for widespread reduction of total levels of consumption and lacking in understanding behavioral change and consumer response. Absolute “decoupling” of economic production from resource use is seen as a feasible strategy to achieve sustainability. For the energy sector, decoupling emissions and economic growth is used as an argument that should put to rest the idea that combating climate change likely requires accepting lower growth or a lower standard of living [26,27] (Figure 2).
Figure 2.
One example of the Jevons paradox and the dematerialization delusion is CO2 emissions at the global scale. Despite the fact that CO2 emitted per unit of energy use has diminished from 1960 to 2013 (a), and CO2 emissions per unit of GDP in purchasing power parity have also diminished from 1990 to 2013 (b), total emissions of CO2, and also emissions per capita, increased over the same period (c, d), just like CO2 concentration in the atmosphere (https://www.esrl.noaa.gov/gmd/ccgg/trends/, accessed on 3 April 2018). Data from the World Bank Open Data (available at: http://data.worldbank.org/ last accessed: April 2017).
The general idea of decoupling is associated with improvements in technological efficiency and a gradual shift to a service economy with associated reductions in the environmental footprint [28]. While this might be achievable at the national scale, the entire global economy cannot become 100% service based [29]. Improving technological efficiency provides important environmental benefits, but the effects of new technologies on the quality and the overall quantity of resource use should be fully understood prior to, and throughout, their implementation. Developed economies are delocalizing environmental impacts, importing goods with high embodied environmental burden [30,31], outsourcing production, and buying and using foreign land to meet demand for agricultural products (i.e., the so-called “land-grabbing”) [32,33,34]. The increased efficiency available to developed economies as they evolve to become service economies it is not resulting in reduced resource consumption overall, but merely relocates or “outsources” resource use and environmental impacts to other parts of the world. This is pushing the Earth toward its planetary boundaries, affecting wellbeing of current and future generations [35].
3. The Limits to Growth, Planetary Boundaries, and the Delusion of Infinite Growth
By ignoring physical limits and planetary boundaries, mainstream economists have convinced politicians and the public that perpetual economic growth is a desirable goal [2,4,36]. They have developed an influential mythology supporting ideas that economic growth addresses persistent poverty (“rising tides lift all boats”), improves human wellbeing (growth in GDP/capita determines increased human wellbeing), creates political and social stability (political stability and economic growth are mutually reinforcing), and reduces environmental degradation (environmental Kuznets curve). Belief in this mythology persists despite abundant evidence to the contrary [37,38,39,40,41]. Early evidence refuting some of this mythology was provided by the Club of Rome’s report: The Limits to Growth (LtG) [42].
The model developed in LtG, with data available from 1900 to 1970, enabled projections to the year 2100 for population, food production, industrial production, pollution, and consumption of non-renewable resources. The fundamental conclusion of LtG was that continued growth in the global economy would lead to planetary boundaries being exceeded during the 21st century, which would result in a collapse of both the human population and the economic system. Criticism of LtG was extensive and almost universal [43,44], creating a narrative suggesting that the model was flawed and inaccurate. Instead, the projections of LtG have proven to be accurate until the year 2010 [45,46,47]. Other scientists using alternative perspectives have come to virtually identical conclusions with respect to the viability of perpetual economic growth [48,49]. While mainstream economics purports economic growth as an imperative, a wellbeing economy would pursue social foundations of gender equality, social equity, peace and justice, health, food, water, and education that must be secured within environmental boundaries [50,51,52].
4. The Easterlin Paradox and the Delusion That Money Equals Happiness and Wellbeing
In 1974, the economist Richard Easterlin published one of a series of papers on what has become known as the Easterlin paradox. Easterlin’s research suggests that income levels above a certain threshold lose their correlation with subjective measures of wellbeing (Figure 3) [37,53]. This implies that above a certain level of income per capita, basic needs are fulfilled and wellbeing is not improved at the same rate with higher levels of income [54]. These works suggest that development policies should give increasing importance to non-economic aspects of life after a certain income level, rather than focusing almost exclusively on economic growth. The Easterlin paradox thus questions the supposedly linear link between income and wellbeing and the hypothesis that income is the only factor in the utility function [55]. This relationship has been explored within and across countries, in short- and long-term time series, along different political systems, considering multiple possible variables and mechanisms, and using different multi-dimensional measures of subjective and objective wellbeing and happiness [10,55,56,57,58,59,60,61,62,63]. This work clearly shows that human wellbeing (aka “utility”, happiness, life fulfilment, life satisfaction) does not grow indefinitely as GDP/capita grows and that promoting the general wellbeing is not simply about raising GDP [64].
Figure 3.
The Easterlin paradox is illustrated by considering 2015 GDP per capita in purchasing power parity units and a 2016 Happiness score (cubic curve plotted; r = 0.68), for a total of 143 countries. Happiness data are from Helliwell et al. [67] (available at: http://worldhappiness.report/ed/2017/ last accessed: April 2017); GDP data are from the World Bank Open Data (available at: http://data.worldbank.org/ last accessed: April 2017).
The marginal effect of increasing GDP per capita on wellbeing diminishes, and there is no apparent effect after a certain threshold. This picture is also relevant in the global market, where GDP in some countries is partially fueled by exporting environmental and social impacts to other countries, thus ultimately influencing their levels of wellbeing and impacting global environmental quality [33,65,66].
5. The Lucas Paradox and the Delusion of the Glory of Globalization
In 1990, the economist Robert Lucas observed that capital was not flowing from rich to poor countries, as predicted by mainstream economics [68] (Figure 4). In truth, capital flows more commonly from rich to rich countries or even from poor to rich countries. In 2012, developing countries received $1.3 trillion in investment and aid, while in the same year $3.3 trillion worth of value flowed out of these developing countries to the developed countries. Since 1980, this has added up to a net flow of $16.3 trillion from the poor to the rich [69,70]. The Lucas paradox highlights some of the real implications of modern globalization, refuting the assumption that globalization should be favorable to poor countries, leading to converging world incomes [71]. This convergence was predicted as a consequence of increasing direct foreign investments from the rich world, attracted by the low wages and high returns on capital [72].
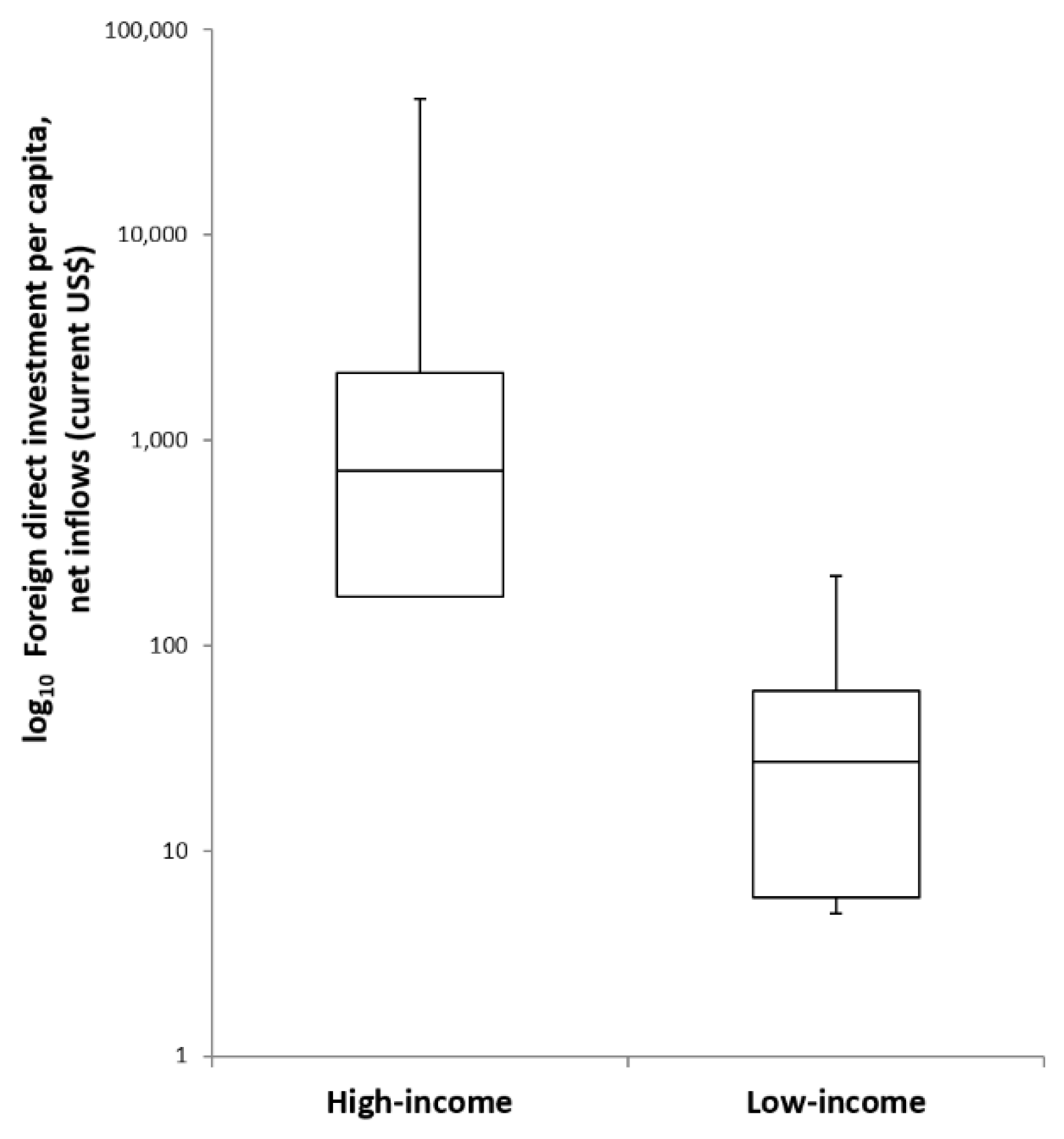
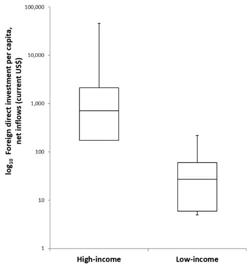
Figure 4.
The distribution of the 2015 net inflows of foreign direct investments (log10 current US$) in high- and low-income countries (n = 83) provides a salient example of the Lucas paradox. High-income countries are the recipient of around 99% of all global foreign investments. Data are from the World Bank Open Data (available at: http://data.worldbank.org/ last accessed: April 2017).
The role of institutional quality in explaining international flows of capital have been discussed by Alfaro et al. [73] and Azémar and Desbordes [74], demonstrating that institutional quality helps explain the paradox, but does not make it disappear. While institutional quality might be low in some low-income countries with, for example, high levels of corruption, we might argue that institutional quality is also pretty low in high income countries sustaining unfair trade regimes, debt arrangements, and, from a historical perspective, slavery. An extension of the Lucas paradox has been proposed for the labor market, with skilled labor migration from skill-scarce to skill-rich countries [72]. Similar paradoxical behaviors are observed for natural capital acquisitions in the global market, where large-scale purchases of productive land (mainly for agricultural purposes) can be explained by economic differences between countries, more than by differences in natural capital availability [32,33,66,75].
6. The Delusion of the Environmental Kuznets Curve
In the early 1990s a new argument was used to support perpetual economic growth as the means to eventual environmental improvement. It is that environmental degradation first rises and then falls as per capita income grows, following an inverted U-shaped pattern (when plotting environmental degradation on the y-axis and per capita income on the x-axis; Figure 5a). The assumption is that in the first stage of this pattern, pollution increases rapidly because society is focused on jobs and income, disregarding environmental quality. At this stage, communities are too poor to pay for pollution abatement, and environmental regulation is weak. With rising incomes, the industrial sectors become cleaner, society values environmental quality as more important, and environmental regulatory institutions become stronger.
Figure 5.
Two of the possible behaviors between environmental degradation (e.g., greenhouse gas emissions per capita; pollution) and income per capita (e.g., GDP per capita); inverted U-shaped (a) and N-shaped (b) Environmental Kuznets Curve. Adapted from: Álvarez-Herránz et al. [82].
Throughout the 1990s and the very early 2000s, several studies supported the existence of the so-called environmental Kuznets curve (EKC) [76]. At the same time, its generality has been disproved, showing that early studies describing it only consider some possible measures of environmental damage, or are based on simplifying assumptions about the economy, e.g., considering that pollution is generated either by only production or only consumption, making strong assumptions on individual preferences, and ignoring delocalization of environmental impacts.
The scientific debate on the EKC is still lively and ongoing [77]. However, the most straightforward critique of the existence of the EKC is that environmental damage is often irreversible [78,79], regardless of any supposed relationship with income.
For example, if increasing air pollution increases the death toll [80], it is questionable how this impact would be reversed once high levels of economic growth are reached. Moreover, in some cases an N-shaped EKC has been recognized [81,82,83,84], indicating a further inversion in the profile of the curve, with environmental degradation restarting to grow beyond certain levels of income (Figure 5b).
When more comprehensive and systemic indicators of human impact on the environment are considered (e.g., the ecological footprint), it clearly emerges that economic growth is often related with worsening ecological balance in terms of consumption versus availability of natural resources [49]. The emissions of most pollutants and wastes increase monotonically with income [76]. Emissions of CO2 increase fast with economic growth and decrease at a slower phase during economic crises, highlighting a certain degree of inertia that would make the descending part of the EKC more “flat”, extending over time the negative effects of growth [85]. At the same time, developing countries sometimes have more success addressing environmental issues than some wealthy countries [86].
Inequalities generate multiple relationships of environmental degradation and income per capita in different countries of the world and within single countries, with the top 10% of global income earners responsible for 36% of the current carbon footprint of households [87].
7. The Short-Circuit of Growth, Inequality, and Wellbeing, and the Delusion of the Invisible Hand
The empirical truth regarding inequality is that it is increasing both within countries and between countries [19] (Figure 6). Inequality between individuals in the world rose from a Gini of 54.7 in the 19th century, to a Gini of 65 in the 21st century. Furthermore, the composition of global inequality has drastically changed—inequality was largely driven by within-country inequalities (or “class” inequality; accounting for 70% of global inequality), while it is now most strikingly driven by differences in the mean country incomes (or “location/citizenship-based” inequality; accounting for 80% of global inequality) [16]. This suggests that today, migration is one of the most accessible means to improve economic welfare.
Figure 6.
Between-country and global inequality (as measured by the Gini Index) increased during the past two centuries together with the world average GDP per capita (in purchasing power parity units); after Milanovic [16].
Between 2009 and 2013 two books related to inequality were published: “The Spirit Level: Why More Equal Societies Almost Always Do Better” by the epidemiologists Richard G. Wilkinson and Kate Pickett [11] and “Capital in the Twenty-First Century” by the economist Thomas Piketty [38]. Referring to a vast amount of social and medical science literature and performing new analyses, Wilkinson and Pickett demonstrated strong relationships between increasing income inequality and worsening wellbeing in a long list of social indicators including social capital (i.e., how much people trust each other and engage in social or civic participation), happiness, stress and anxiety, life expectancy, mental illness and obesity, infant mortality, violent crime rates, social mobility, and education scores, among others [11] (for a full and updated list of references on this visit: https://www.equalitytrust.org.uk). Piketty’s work highlighted how increasing economic inequality is a natural characteristic of economic systems focused on “growth at all cost”, as the increase in inequality only halted or inverted during shocking socio-economic events, such as the two World Wars [38]. Collectively, these works raise serious questions regarding the role of inequality and numerous long-held mainstream economic assumptions.
The causal links among economic dynamics, inequality, and wellbeing still need to be thoroughly investigated [39,88,89,90,91], and more importantly, the generality of these links need to be fully demonstrated.
The works of Piketty, Wilkinson and Pickett are a significant addition to the long list of critics and refutations of the theoretical predictions envisioned by mainstream economists over the course of history. It is necessary and possible to move away from economic growth at all costs and develop a framework of policy reforms for achieving wellbeing economies at the national and global level [92,93].
8. Discussion
8.1. An Apostasy from Free-Market Fetishism
Non-economists as well as economists are seeing glaring problems and inconsistencies with the contemporary theory and practice of mainstream economics. Social scientists are recognizing the urgent need to confront the planetary environmental crisis [94]. Green criminologists are debating how capitalism and nature can both survive over the long run and if, in criminological terms, capitalism is a crime against nature [95,96].
The academic discipline of economics encompasses profound disagreement and controversy over fundamental ideas such as Keynesianism, monetary policy, feminist economics, and the efficiency and accuracy of the free market for setting asset prices [97]. Ongoing debates over these ideas prove that the discipline of economics is alive, flexible, and potentially responsive. Nobel Prize winning economist Paul Krugman has provided an excellent summary of these disagreements, stating that “the economics profession went astray because economists … clung to a vision of capitalism as a perfect or nearly perfect system, (and) this romanticized and sanitized vision of the economy led (them) to ignore all the things that can go wrong.” He thus argues that “(Economists) will have to acknowledge the importance of irrational and often unpredictable behavior, face up to the often idiosyncratic imperfections of markets” [97].
This captures some but not all of the problems with the theoretical foundations of the discipline of economics. For example, it does not capture the failure of mainstream economics in valuing natural capital as the very foundation upon which all market economic activity takes place [98]. It is an accessible characterization of the level of disagreement within the discipline.
It is interesting that while the discipline of economics encompasses fundamental disagreement within the academy, mainstream economics is still the most revered approach to economics for advising policy makers. This is in contrast to an academic discipline such as climatology, which enjoys almost unanimous agreement on fundamental theory within its discipline, yet its practitioners are ignored and disparaged even though they have a much better track record in matters of predictions and fundamental theoretical explanations. It is time for policy makers to give more attention to economic schools and approaches that embrace the messy world of data, empirical reality, uncertainty, and irrational human behavior [1,2,99,100,101,102,103]. It is interesting to note that many recent Nobel Prizes in economics have been awarded to people who have recognized the implications of many of the failed assumptions of mainstream economics. We argue that a fundamental set of premises from ecological economics [21,104] can serve as guidelines for redirecting economic policy advising with the aim of transitioning towards sustainable wellbeing economic systems.
8.2. A Modest Proposal to Reform the Logic of Economics
The paradoxes and delusions described in this paper are well known. The Jevons paradox, the LtG, and the non-generality of the EKC remind us that the effects of technological improvement and development at the global scale can be different from those effects at local scales. The Easterlin paradox reminds us that income is only one of many contributors to human wellbeing. The Lucas paradox and the delusion of the invisible hand show how free global trade can contribute to maintain global imbalances. Taken together in one overall picture, these paradoxes and delusions alert us to the negative outcomes of economic “growth at all costs”, with local and global consequences. They show us that economic growth is not synonymous with increasing wellbeing and prosperity and that the logic of economics needs fundamental transformation, shifting away from a narrow focus on producing and consuming marketed goods and services to one more broadly focused on sustainable wellbeing as the goal of development [105].
A wellbeing economy has the fundamental goal of delivering good human mental and physical health, greater equality and fairness, good social relationships, and a flourishing natural environment. A wellbeing economy will attribute value to economic activities driven by collaboration and sharing, recycling, and upcycling. It will redefine the role of producers and consumers, blurring the boundaries between them. It will entail regenerated ecosystems and an extended global commons. It will mitigate the need for vast expenditure on treating, healing, and fixing through supporting safe and healthy communities and distributing wealth more fairly from the outset (predistribution) rather than relying on complex and politically fragile (in times of inequality) redistribution. It will switch to renewables and purpose-driven businesses with social and environmental aims. It will focus on measures of progress that reflect real value creation [106].
Existing examples of what a wellbeing economy might look like are already happening around the world through innovative business models based on restorative and regenerative design, service offerings, collaborative consumption, and re-use and re-cycling. A transition to renewable energy is already happening, with countries such as Costa Rica, Finland, and Sweden aiming at being carbon neutral by 2021, 2035, and 2045, respectively, and national trusts, institutions, and companies divesting from fossil fuels.
Local and national governments are implementing measures of prosperity to inform budgetary decisions beyond their effect on economic growth. In 2019, New Zealand adopted such a Wellbeing Budget [107]. Similarly, Scotland assesses national progress through a framework measuring outcomes in improving child wellbeing, sense of community, culture and education, environmental quality, quality of working conditions, health, human rights, and reducing poverty. The framework includes economic growth as one of the many deliverables of a national economy, assessing it, however, against carbon footprint and natural capital depletion [108].
A wellbeing economy has a commitment to put wellbeing at the heart of policymaking. Overall, to implement a wellbeing economy, we need a major transformation to:
- (1)
- Live within planetary boundaries and achieve environmental sustainability;
- (2)
- Achieve and maintain an equitable distribution of wealth and opportunity, both within and between generations;
- (3)
- Efficiently allocate resources to provide high levels of human wellbeing.
A fair, responsive, just, and accountable governance system aimed at promoting wellbeing recognizes the interconnectedness of the environment, society, and the economy and is coherent with global initiatives for sustainability, such as the Sustainable Development Goals [92]. The paradoxes and delusions discussed here evidence how mainstream economics theory does not reflect anymore the current real-world phenomena. Failing to live within planetary boundaries makes it impossible to achieve an equitable distribution to future generations. The findings of Piketty and Wilkinson and Pickett suggest that this will in turn undermine the end goals of human and ecological wellbeing. Krugman’s prescription for a re-evaluation of the discipline of economics does not go far enough in dealing with planetary boundaries and natural capital within the global economy. Efficient allocation is essentially what mainstream economics has attempted to do historically within its flawed terms of reference (e.g., failing to value natural capital and waiving concerns about distribution of wealth). Imposing Pareto optimality and ceteris paribus rules suggest that equitable distribution will also represent a formidable challenge for any serious attempt to re-evaluate and/or reform the discipline of economics. Just like environmental economics that developed in its present form in the 1960s from acknowledging market failures, now it is time to transform the economic discipline into a more integrative and branched theoretical apparatus not only focused on the maximization of profits and equalization of marginal costs and revenues (that only reflect marketable items). In the spirit of using empirical and adaptive approaches to achieving these goals, we suggest some possible solutions and a new vision of global leadership.
8.3. Reforming Global Economy’s Leadership
The G7 is a group of GDP-rich countries meeting yearly to define common policies “on global issues like economic growth and crisis management, global security, energy, and terrorism” [109]. Despite the fact that no formal membership criteria exist, all the participant countries were initially selected on the basis of their GDP, a parameter which is also used to identify members of the G20 [2,109]. One question to ask is: Are the goals and objectives of the G7 appropriately framed in light of climate change, economic inequality, security, and resource depletion? If the answer is “no” and we reframe the purpose of the G7 towards sustainability, equity, and efficiency then we might ask: Are the current countries that comprise the G7 the best examples of political economies that actually function to increasing the common good in a sustainable way? Or, in other words, do we have a good set of exemplars steering the global economy?
None of the G7 countries are amongst the seven best-performing countries for sustainable development (according to the Ecological Footprint, the Happy Planet Index, and the Human Development Index), nor in terms of wellbeing (according to Foundations of Wellbeing and the Social Progress Index), nor in terms of environmental performance (with the exception of Germany, according to the Yale Environmental Performance Index), nor prosperity (with the exception of Canada, according to the Legatum Prosperity Index) [110]. The list of best-performing countries according to these alternative-to-GDP indicators includes countries whose sustainability vision and inclusive policies have been praised by eminent economists [111].
National governments that are prioritizing environmental, social, and economic policies for increasing wellbeing should step forward as global leaders. This is already happening through the Wellbeing Economy Governments partnership (WEGo), a joint initiative that was officially launched in November 2018 led by Scotland with New Zealand and Iceland, with further governments to join in the coming months and years. The formation of WEGo was discussed in October 2017 in Glasgow by representatives of governments, including ministers and high-ranking officials and with the advice of world-leading academics and the OECD. This instigation of WEGo [112] recognizes the importance of economies that contribute to the wellbeing of people and planet and that through collaboration and sharing of good practice, countries can better deliver this goal. Participating governments and economies have demonstrated capacity to marry a low-impact economy with high living standards or are sincerely committed to it in future policy decisions. This implies going beyond GDP as the key parameter to identify international leadership and implicitly recognizes mainstream economics paradoxes and delusions that constrain the development of a wellbeing economy. Forming an international alliance provides a significant opportunity for this initial group of countries to act as the drivers of change by championing wellbeing principles and collaborating together. They show that the shift to a new economic and social paradigm that puts people and the planet at its core is a development goal more suited for the 21st century than clinging on to the economics of paradoxes and delusions. This is also consilient with the vision of UNEP’s recently published Global Environmental Outlook (GEO-6) with its vision of “Healthy People, Healthy Planet” [113].
Alongside WEGo is a cross-sectoral collaboration of networks, businesses, academics, citizens, and civil society—this is the Wellbeing Economy Alliance [114]. Its members are united by the willingness to work together to build an economy that serves people and planet first and foremost.
9. Conclusions
Mainstream economic theory is characterized and burdened by a series of paradoxes and delusions to such an extent that it does not apply to real-world phenomena. Several economic conundrums overlook fundamental and established principles of physics, ecology, and thermodynamics while supporting the current inequitable distribution of power and wealth. We need to overcome our global addiction to GDP growth and disabuse ourselves of faith in economics mythology. This can be done through thinking about the consequences of perpetual economic growth in light of our collective values and goals as humanity.
Policy making cannot be solely informed by an elite of economists perpetuating a flawed vision of the world. National and global policies need to recognize environmental limits and take social responsibility. At the local, regional, and global levels, economic leadership needs to be changed. This is already happening through initiatives for wellbeing such as the Wellbeing Economic Governments network (WEGo) that aims to share knowledge and inspire other governments to implement successful policies for wellbeing. From a bottom-up perspective, the Wellbeing Economy Alliance (WEAll) is bringing together existing networks of citizens, academics, and businesses working together for a wellbeing economy for the people and the planet.
Author Contributions
Conceptualization, L.C., P.S., L.F.M., K.T., B.F.G. and L.F.; methodology, validation, analysis and data curation, L.C., I.K., R.C., K.T., and L.F.; writing—original draft preparation, L.C., P.S., and L.F.; writing—review and editing, L.C., P.S., I.K., R.C., K.T., F.M.P., and B.F.G.
Funding
This research was funded by an IRC/Marie Skłodowska-Curie CAROLINE Postdoctoral Fellowship (IRC-CLNE/2017/567).
Acknowledgments
LC is funded by an IRC/Marie Skłodowska-Curie CAROLINE Postdoctoral Fellowship (IRC-CLNE/2017/567).
Conflicts of Interest
The authors declare no conflict of interest. The contribution of L.F.M. does not necessarily reflect the opinion of the European Environment Agency.
References
- Ostrom, E. A general framework for analysing sustainability of socio-ecological systems. Science 2009, 325, 419–422. [Google Scholar] [CrossRef]
- Fioramonti, L. The World after GDP: Economics, Politics and International Relations in the Post-Growth Era; Polity: Cambridge, UK, 2017. [Google Scholar]
- Besley, T.; Hennessy, P. The Global Financial Crisis—Why Didn’t Anybody Notice? Letter to Her Majesty the Queen. 22 July 2009. Available online: http://www.feed-charity.org/user/image/besley-hennessy2009a.pdf (accessed on 14 December 2017).
- Fioramonti, L. Gross Domestic Problem: The Politics behind the World’s Most Powerful Number; Zed Book: London, UK, 2013. [Google Scholar]
- Costanza, R.; Kubiszewski, I.; Giovannini, E.; Lovins, H.; McGlade, J.; Pickett, K.; Vala Ragnarsdóttir, K.; Roberts, D.; De Vogli, R.; Wilkinson, R. Time to leave GDP behind. Nature 2014, 505, 283–285. [Google Scholar] [CrossRef]
- Kubiszewski, I.; Costanza, R.; Franco, C.; Lawn, P.; Talberth, J.; Jackson, T.; Aylmer, C. Beyond GDP: Measuring and achieving global genuine progress. Ecol. Econ. 2013, 93, 57–68. [Google Scholar] [CrossRef]
- Abarca-Gómez, L. Worldwide trends in body-mass index, underweight, overweight, and obesity from 1975 to 2016: A pooled analysis of 2416 population-based measurement studies in 1289 million children, adolescents, and adults. Lancet 2017, 390, 2627–2642. [Google Scholar] [CrossRef]
- WHO. Obesity and Overweight. World Health Organization’s Media Centre Fact Sheet. Available online: http://www.who.int/mediacentre/factsheets/fs311/en/ updated (accessed on 1 May 2019).
- FAO (Food and Agriculture Organization of the United Nations). The State of Food Insecurity in the World: Economic Growth Is Necessary but Not Sufficient to Accelerate Reduction of Hunger and Malnutrition; The Food and Agriculture Organization of the United Nations: Rome, Italy, 2012. [Google Scholar]
- Kubiszewski, I.; Farley, J.; Costanza, R. The production and allocation of information as a good that is enhanced with increased use. Ecol. Econ. 2010, 69, 1344–1354. [Google Scholar] [CrossRef]
- Wilkinson, R.; Pickett, K. The Spirit Level; Penguin Books Ltd.: London, UK, 2009. [Google Scholar]
- Wilkinson, R.; Pickett, K. The Inner Level; Penguin Books Ltd.: London, UK, 2018. [Google Scholar]
- Schwartz, B. Paradox of Choice; Harper Perennial: New York, NY, USA, 2004. [Google Scholar]
- Stiglitz, J.E. The Price of Inequality: How Today’s Divided Society Endangers Our Future; W.W. Norton & Company, Inc.: New York, NY, USA, 2012. [Google Scholar]
- Stierli, M.; Shorrocks, A.; Davies, J.B.; Lluberas, R.; Koutsoukis, A. Global Wealth Report 2014; Credit Suisse AG: Zurich, Switzerland, 2014. [Google Scholar]
- Milanovic, B. A short history of global inequality: The past two centuries. Explor. Econ. Hist. 2011, 48, 494–506. [Google Scholar] [CrossRef]
- Goda, T.; Torres Garcia, A. The Rising Tide of Absolute Global Income Inequality during 1850–2010? Is It Driven by Inequality Within or Between Countries? Soc. Indic. Res. 2017, 130, 1051–1072. [Google Scholar] [CrossRef]
- Calvin, K.; Bond-Lamberty, B.; Clarke, L.; Edmonds, J.; Eom, J.; Hartin, C.; Kim, S.; Kyle, P.; Link, R.; Moss, R.; et al. The SSP4: A world of deepening inequality. Glob. Environ. Chang. 2017, 42, 284–296. [Google Scholar] [CrossRef]
- World Inequality Lab. World Inequality Report 2018; Alvaredo, F., Chancel, L., Piketty, T., Saez, E., Zucman, G., Eds.; Creative Commons: Mountain View, CA, USA, 2018. [Google Scholar]
- Pulselli, F.M.; Coscieme, L.; Neri, L.; Regoli, A.; Sutton, P.C.; Lemmi, A.; Bastianoni, S. The world economy in a cube: A more rational structural representation of sustainability. Glob. Environ. Chang. 2015, 35, 41–51. [Google Scholar] [CrossRef]
- Costanza, R.; Daly, H.; Cumberland, J.H.; Goodland, R.; Norgaard, R.B.; Kubiszewski, I.; Franco, C. An Introduction to Ecological Economics, 2nd ed.; Taylor and Francis: Boca Raton, FL, USA, 2014. [Google Scholar]
- Bolt, J.; Van Zanden, J.L. The Maddison Project: collaborative research on historical national accounts. Econ. Hist. Rev. 2014, 67, 627–651. [Google Scholar] [CrossRef]
- Jevons, W.S. The Coal Question. An Inquiry Concerning the Progress of the Nation, and the Probable Exhaustion of Our Coal-Mines; Macmillan and Co.: London, UK, 1865. [Google Scholar]
- Sorrell, S. Jevons’s Paradox revisited: The evidence for backfire from improved energy efficiency. Energy Policy 2009, 37, 1456–1469. [Google Scholar] [CrossRef]
- Greening, L.A.; Greene, D.L.; Difiglio, C. Energy efficiency and consumption—The rebound effect—A survey. Energy Policy 2000, 28, 389–401. [Google Scholar] [CrossRef]
- Ward, J.D.; Sutton, P.C.; Werner, A.D.; Costanza, R.; Mohr, S.H.; Simmons, C.T. Is Decoupling GDP Growth from Environmental Impact Possible? PLoS ONE 2016, 11, e0164733. [Google Scholar] [CrossRef]
- Bastianoni, S.; Coscieme, L.; Caro, D.; Marchettini, N.; Pulselli, F.M. The needs of sustainability: The overarching contribution of systems approach. Ecol. Indic. 2019, 100, 69–73. [Google Scholar] [CrossRef]
- Kander, A. Baumol’s disease and dematerialization of the economy. Ecol. Econ. 2005, 55, 119–130. [Google Scholar] [CrossRef]
- Parrique, T.; Barth, J.; Briens, F.; Kerschner, C.; Kraus-Polk, A.; Kuokkanen, A.; Spangenberg, J.H. Decoupling Debunked: Evidence and Arguments against Green Growth as a Sole Strategy for Sustainability; European Environmental Bureau: Brussels, Belgium, 2019. [Google Scholar]
- Caro, D.; Pulselli, F.M.; Borghesi, S.; Bastianoni, S. Mapping the international flows of GHG emissions within a more feasible consumption-based framework. J. Clean. Prod. 2017, 147, 142–151. [Google Scholar] [CrossRef]
- Jiborn, M.; Kander, A.; Kulionis, V.; Nielsen, H.; Moran, D.D. Decoupling or delusion? Measuring emissions displacement in foreign trade. Glob. Environ. Chang. 2018, 49, 27–34. [Google Scholar] [CrossRef]
- Rulli, M.C.; Saviori, A.; D’Odorico, P. Global land and water grabbing. Proc. Natl. Acad. Sci. USA 2013, 110, 892–897. [Google Scholar] [CrossRef]
- Coscieme, L.; Pulselli, F.M.; Niccolucci, V.; Patrizi, N.; Sutton, P.C. Accounting for “land-grabbing” from a biocapacity viewpoint. Sci. Total Environ. 2016, 539, 551–559. [Google Scholar] [CrossRef]
- Carmody, P. The New Scramble for Africa. Cambridge; Polity Press: Cambridge, UK, 2016. [Google Scholar]
- Steffen, W.; Rockström, J.; Richardson, K.; Lenton, T.M.; Folke, C.; Liverman, D.; Summerhayes, C.P.; Barnosky, A.D.; Cornell, S.E.; Crucifix, M.; et al. Trajectories of the Earth System in the Anthropocene. Proc. Natl. Acad. Sci. USA 2018, 115, 8252–8259. [Google Scholar] [CrossRef]
- Gowdy, J. Sustainability and collapse: What can economics bring to the debate? Glob. Environ. Chang. 2005, 15, 181–183. [Google Scholar] [CrossRef]
- Easterlin, R.A. Does Economic Growth Improve the Human Lot? Some Empirical Evidence. In Nations and Households in Economic Growth; Elsevier: Berlin/Heidelberg, Germany, 1974; pp. 89–125. [Google Scholar]
- Piketty, T. Capital in the Twenty-First Century; The Belknap Press of Harvard University Press: London, UK; Cambridge, MA, USA, 2014. [Google Scholar]
- Borghesi, S.; Vercelli, A. Sustainable globalisation. Ecol. Econ. 2003, 44, 77–89. [Google Scholar] [CrossRef]
- Rothman, D.S. Environmental Kuznets curves—Real progress or passing the buck? A case for consumption-based approaches. Ecol. Econ. 1998, 25, 177–194. [Google Scholar] [CrossRef]
- Jorgenson, A.K.; Dietz, T. Economic growth does not reduce the ecological intensity of human wellbeing. Sustain. Sci. 2015, 10, 149–156. [Google Scholar] [CrossRef]
- Meadows, D.H.; Meadows, D.L.; Randers, J.; Behrens, I.I.I.W.W. The Limits to Growth: A Report for the Club of Rome’s Project on the Predicament of Mankind; Universe Books: New York, NY, USA, 1972; ISBN 0-87663-165-0. [Google Scholar]
- Solow, R. Is the End of the World at Hand? Challenge 1973, 16, 39–50. [Google Scholar] [CrossRef]
- Atkisson, A. Believing Cassandra: How to Be an Optimist in a Pessimist’s World; Routledge: Abingdon, UK, 2010. [Google Scholar]
- Turner, G.M. A comparison of The Limits to Growth with 30 years of reality. Glob. Environ. Chang. 2008, 18, 397–411. [Google Scholar] [CrossRef]
- Turner, G. “Is Global Collapse Imminent?” MSSI Research Paper No. 4; The University of Melbourne: Melbourne, Australia, 2014. [Google Scholar]
- Jackson, T.; Webster, R. Limits Revisited: A Review of the Limits to Growth Debate. Report to the All-Party Parliamentary Group on Limits to Growth; Creative Commons: Mountain View, CA, USA, 2016. [Google Scholar]
- Rockström, J.; Steffen, W.; Noone, K.; Persson, A.; Chapin, F.S., III; Lambin, E.F.; Lenton, T.M.; Scheffer, M.; Folke, C.; Schellnhuber, H.J.; et al. Planetary boundaries: Exploring the safe operating space for humanity. Ecol. Soc. 2009, 14, 32. Available online: http://www.ecologyandsociety.org/vol14/iss2/art32/ (accessed on 1 May 2019). [CrossRef]
- Wackernagel, M.; Schulz, N.B.; Deumling, D.; Linares, A.C.; Jenkins, M.; Kapos, V.; Monfreda, C.; Loh, J.; Myers, N.; Norgaard, R.; et al. Tracking the ecological overshoot of the human economy. Proc. Natl. Acad. Sci. USA 2002, 99, 9266–9271. [Google Scholar] [CrossRef]
- Raworth, K. Doughnut Economics: Seven Ways to Think Like a 21-St Century Economist; Chelsea Green Publishing: Hartford, VT, USA, 2017. [Google Scholar]
- Trebeck, K.; Williams, J. The Economics of Arrival: Ideas for a Grown up Economy; Policy Press: Bristol, UK, 2019. [Google Scholar]
- Jørgensen, S.E.; Fath, B.D.; Nielsen, S.N.; Pulselli, F.M.; Fiscus, D.A.; Bastianoni, S. Flourishing Within Limits to Growth—Following Nature’s Way; Earthscan from Routledge Taylor & Francis Group: Florence, KY, USA, 2015. [Google Scholar]
- Easterlin, R.A. Diminishing Marginal Utility of Income? Caveat Emptor. Soc. Indic. Res. 2005, 70, 243–255. [Google Scholar] [CrossRef]
- Inglehart, R.; Foa, R.; Peterson, C.; Welzel, C. Development, freedom, and rising happiness—A global perspective (1981–2007). Perspect. Psychol. Sci. 2008, 3, 264–285. [Google Scholar] [CrossRef]
- Di Tella, R.; MacCulloch, R. Gross national happiness as an answer to the Easterlin Paradox? J. Dev. Econ. 2008, 86, 22–42. [Google Scholar] [CrossRef]
- Easterlin, R.A.; McVey, L.A.; Switek, M.; Sawangfa, O.; Zweig, J.S. The happiness–income paradox revisited. Proc. Natl. Acad. Sci. USA 2010, 107, 22463–22468. [Google Scholar] [CrossRef]
- Clark, A.E.; Frijters, P.; Shields, M.A. Relative Income, Happiness, and Utility: An Explanation for the Easterlin Paradox and Other Puzzles. J. Econ. Lit. 2008, 46, 95–144. [Google Scholar] [CrossRef]
- Graham, C. Happiness and Health: Lessons—And Questions—For Public Policy. Health Aff. 2008, 27, 72–87. [Google Scholar] [CrossRef]
- Niccolucci, V.; Pulselli, F.M.; Tiezzi, E. Strengthening the threshold hypothesis: Economic and biophysical limits to growth. Ecol. Econ. 2007, 60, 667–672. [Google Scholar] [CrossRef]
- Sarracino, F. Social capital and subjective well-being trends: Comparing 11 western European countries. J. Socio-Econ. 2010, 39, 482–517. [Google Scholar] [CrossRef]
- Kahneman, D.; Deaton, A. High income improves evaluation of life but not emotional well-being. Proc. Natl. Acad. Sci. USA 2010, 107, 16489–16493. [Google Scholar] [CrossRef]
- Fanning, A.L.; O’Neill, D.W. The Wellbeing–Consumption paradox: Happiness, health, income, and carbon emissions in growing versus non-growing economies. J. Clean. Prod. 2019, 212, 810–821. [Google Scholar] [CrossRef]
- Max-Neef, M. Economic growth and quality of life: a threshold hypothesis. Ecol. Econ. 1995, 15, 115–118. [Google Scholar] [CrossRef]
- Asara, V.; Otero, I.; DeMaria, F.; Corbera, E. Socially sustainable degrowth as a social–ecological transformation: repoliticizing sustainability. Sustain. Sci. 2015, 10, 375–384. [Google Scholar] [CrossRef]
- Forin, S.; Radebach, A.; Steckel, J.C.; Ward, H. The effect of industry delocalization on global energy use: A global sectoral perspective. Energy Econ. 2018, 70, 233–243. [Google Scholar] [CrossRef]
- Weinzettel, J.; Hertwich, E.G.; Peters, G.P.; Steen-Olsen, K.; Galli, A. Affluence drives the global displacement of land use. Glob. Environ. Chang. 2013, 23, 433–438. [Google Scholar] [CrossRef]
- Helliwell, J.; Layard, R.; Sachs, J. (Eds.) World Happiness Report 2017; Sustainable Development Solutions Network: New York, NY, USA, 2017. [Google Scholar]
- Lucas, R.E. Why Doesn’t Capital Flow from Rich to Poor Countries? Am. Econ. Rev. 1990, 80, 92–96. [Google Scholar]
- Salomon, M.; Spanjers, J. Illicit Financial Flows to and from Developing Countries: 2005–2014, Global Financial Integrity. Available online: http://www.gfintegrity.org/report/illicit-financial-flows-to-and-from-developing-countries-2005-2014/ (accessed on 1 May 2019).
- Hickel, J. The Divide: A Brief Guide to Global Inequality and Its Solutions; W.W. Norton & Co.: New York, NY, USA, 2018. [Google Scholar]
- van Mourik, C.; Walton, P. The Routledge Companion to Accounting, Reporting and Regulation; Routledge: Abingdon, UK, 2014. [Google Scholar]
- Milanovic, B. The Haves and the Have-Nots; Basic Books: New York, NY, USA, 2011. [Google Scholar]
- Alfaro, L.; Kalemli-Ozcan, S.; Volosovych, V. Why Doesn’t Capital Flow from Rich to Poor Countries? An Empirical Investigation. Rev. Econ. Stat. 2008, 90, 347–368. [Google Scholar] [CrossRef]
- Azémar, C.; Desbordes, R. Has the Lucas Paradox been fully explained? Econ. Lett. 2013, 121, 183–187. [Google Scholar] [CrossRef]
- Coscieme, L.; Niccolucci, V.; Giannetti, B.F.; Pulselli, F.M.; Marchettini, N.; Sutton, P.C. Implications of Land-Grabbing on the Ecological Balance of Brazil. Resources 2018, 7, 44. [Google Scholar] [CrossRef]
- Stern, D.I. The Rise and Fall of the Environmental Kuznets Curve. World Dev. 2004, 32, 1419–1439. [Google Scholar] [CrossRef]
- Shahbaz, M.; Sinha, A. Environmental Kuznets curve for CO2 emissions: a literature survey. J. Econ. Stud. 2019, 46, 106–168. [Google Scholar] [CrossRef]
- Dietz, S.; Adger, W.N. Economic growth, biodiversity loss and conservation effort. J. Environ. Manag. 2003, 68, 23–35. [Google Scholar] [CrossRef]
- Capellán-Pérez, I.; Mediavilla, M.; de Castro, C.; Carpintero, Ó.; Miguel, L.J. More growth? An unfeasible option to overcome critical energy constraints and climate change. Sustain. Sci. 2015, 10, 397–411. [Google Scholar]
- Yang, G.; Wang, Y.; Zeng, Y.; Gao, G.F.; Liang, X.; Zhou, M.; Wan, X.; Yu, S.; Jiang, Y.; Naghavi, M.; et al. Rapid health transition in China, 1990–2010: Findings from the Global Burden of Disease Study 2010. Lancet 2013, 381, 1987–2015. [Google Scholar] [CrossRef]
- Allard, A.; Takman, J.; Uddin, G.S.; Ahmed, A. The N-shaped environmental Kuznets curve: an empirical evaluation using a panel quantile regression approach. Environ. Sci. Pollut. Res. 2018, 25, 5848–5861. [Google Scholar] [CrossRef]
- Álvarez-Herránz, A.; Balsalobre, D.; Cantos, J.M.; Shahbaz, M. Energy Innovations-GHG Emissions Nexus: Fresh Empirical Evidence from OECD Countries. Energy Policy 2017, 101, 90–100. [Google Scholar] [CrossRef]
- Martinez-Zarzoso, I.; Bengochea-Morancho, A. Pooled mean group estimation for an environmental Kuznets curve for CO2. Econ. Lett. 2004, 82, 121–126. [Google Scholar] [CrossRef]
- Borghesi, S.; Vercelli, A. Sustainability Conditions and the Environmental Kuznets Curve; Springer Science and Business Media LLC: Berlin/Heidelberg, Germany, 2008; pp. 51–80. [Google Scholar]
- York, R. Asymmetric effects of economic growth and decline on CO2 emissions. Nat. Clim. Chang. 2012, 2, 762–764. [Google Scholar] [CrossRef]
- Dasgupta, S.; Laplante, B.; Wang, H.; Wheeler, D. Confronting the Environmental Kuznets Curve. J. Econ. Perspect. 2002, 16, 147–168. [Google Scholar] [CrossRef]
- Hubacek, K.; Baiocchi, G.; Feng, K.; Patwardhan, A. Poverty eradication in a carbon constrained world. Nat. Commun. 2017, 8, 912. [Google Scholar] [CrossRef]
- Barro, R.J. Inequality and Growth in a Panel of Countries. J. Econ. Growth 2000, 5, 5–32. [Google Scholar] [CrossRef]
- Forbes, K.J. A Reassessment of the Relationship between Inequality and Growth. Am. Econ. Rev. 2000, 90, 869–887. [Google Scholar] [CrossRef]
- Pickett, K.E.; Wilkinson, R.G. Income inequality and health: A causal review. Soc. Sci. Med. 2015, 128, 316–326. [Google Scholar] [CrossRef]
- Neri, L.; D’Agostino, A.; Regoli, A.; Pulselli, F.M.; Coscieme, L. Evaluating dynamics of national economies through cluster analysis within the input-state-output sustainability framework. Ecol. Indic. 2017, 72, 77–90. [Google Scholar] [CrossRef]
- Costanza, R.; Daly, L.; Fioramonti, L.; Giovannini, E.; Kubiszewski, I.; Mortensen, L.F.; Pickett, K.E.; Ragnarsdottir, K.V.; De Vogli, R.; Wilkinson, R. Modelling and measuring sustainable wellbeing in connection with the UN Sustainable Development Goals. Ecol. Econ. 2016, 130, 350–355. [Google Scholar] [CrossRef]
- Jackson, T. Prosperity without Growth; Earthscan: New York, NY, USA, 2009. [Google Scholar]
- Foster, J.B. The Planetary Rift and the New Human Exemptionalism: A Political-Economic Critique of Ecological Modernization Theory. Organ. Environ. 2012, 25, 211–237. [Google Scholar] [CrossRef]
- Lynch, M.J.; Stretesky, P.B.; Information, R.; Long, M.A. A Proposal for the Political Economy of Green Criminology: Capitalism and the Case of the Alberta Tar Sands. Can. J. Criminol. Crim. Justice 2016, 58, 137–160. [Google Scholar] [CrossRef]
- Higgins, P.; Short, D.; South, N. Protecting the planet: a proposal for a law of ecocide. Contemp. Crises 2013, 59, 251–266. [Google Scholar] [CrossRef]
- Krugman, P. How Did Economists Get It So Wrong? The New York Times Magazine. 2009. Available online: http://www.nytimes.com/2009/09/06/magazine/06Economic-t.html (accessed on 1 May 2019).
- Costanza, R.; De Groot, R.; Sutton, P.; Van Der Ploeg, S.; Anderson, S.J.; Kubiszewski, I.; Farber, S.; Turner, R.K. Changes in the global value of ecosystem services. Glob. Environ. Chang. 2014, 26, 152–158. [Google Scholar] [CrossRef]
- Stiglitz, J.E.; Sen, A.; Fitoussi, J.P. Mismeasuring Our Lives: Why GDP Doesn’t Add Up; The New Press: New York, NY, USA, 2010. [Google Scholar]
- Stiglitz, J.E. Globalization and its Discontents Revisited; W.W. Norton & Company, Inc.: New York, NY, USA, 2017. [Google Scholar]
- Akerlof, G.A.; Shiller, R.J. Phishing for Phools: The Economics of Manipulation and Deception; Princeton University Press: Princeton, NJ, USA, 2015. [Google Scholar]
- Tversky, A.; Kahneman, D. Causal Schemas in Judgements under Uncertainty. In Progress in Social Psychology; Psychology Press address: London, UK, 2015; Volume 9, pp. 49–72. [Google Scholar]
- Dietz, S.; Hope, C.; Patmore, N. Some economics of ‘dangerous’ climate change: Reflections on the Stern Review. Glob. Environ. Chang. 2007, 17, 311–325. [Google Scholar] [CrossRef]
- Daly, H.E.; Farley, J. Ecological Economics: Principles and Applications; Island Press: Washington, DC, USA, 2003. [Google Scholar]
- Costanza, R.; Caniglia, E.; Fioramonti, L.; Kubiszewski, I.; Lewis, H.; Lovins, H.; McGlade, J.; Mortensen, L.F.; Philipsen, D.; Pickett, K.; et al. Towards a Sustainable Wellbeing Economy. Solut. J. 2018, 9. [Google Scholar]
- Trebeck, K. A New Economy for All. UN Association 19/6/2019. Available online: http://sustainablegoals.org.uk (accessed on 1 May 2019).
- New Zealand Treasury. The Wellbeing Budget 2019. Available online: http://treasury.govt.nz (accessed on 30 May 2019).
- Scottish Government. National Performance Framework. 2019. Available online: http://nationalperformance.gov.scot (accessed on 1 May 2019).
- Laub, Z. The Group of Seven (G7). 2014. Available online: http://www.cfr.org (accessed on 1 May 2019).
- Fioramonti, L. A Post-GDP World? Rethinking International Politics in the 21st Century. Glob. Policy 2016, 7, 15–24. [Google Scholar] [CrossRef]
- Stiglitz, J. Showing the Way in San José—How Costa Rica Gets It Right. The Guardian. 9 May 2018. Available online: https://www.theguardian.com/world/2018/may/09/showing-the-way-in-san-jose-how-costa-rica-gets-it-right (accessed on 1 May 2019).
- Trebeck, K. Here We Go. The Mint Magazine. 6 April 2019. Available online: https://www.themintmagazine.com/here-we-go (accessed on 1 May 2019).
- UN Environment Global Environment Outlook—GEO 6: Healthy Planet, Healthy People. Nairobi, Kenya, 2019. [CrossRef]
- Wellbeing Economy Alliance (WEAll). How Will We Change the System? Available online: https://wellbeingeconomy.org/how-will-we-change-the-system (accessed on 1 May 2019).
© 2019 by the authors. Licensee MDPI, Basel, Switzerland. This article is an open access article distributed under the terms and conditions of the Creative Commons Attribution (CC BY) license (http://creativecommons.org/licenses/by/4.0/).





