Can a Blend of Amendments Be an Important Component of a Rehabilitation Strategy for Surface Coal Mined Soils?
Abstract
1. Introduction
2. Materials and Methods
2.1. Study Site and Treatments
2.2. Infiltration and Hydraulic Conductivity
2.3. Soil Water Retention Curve and Pore Size Distribution
2.4. Statistical Analyses
3. Results
3.1. Bulk Density
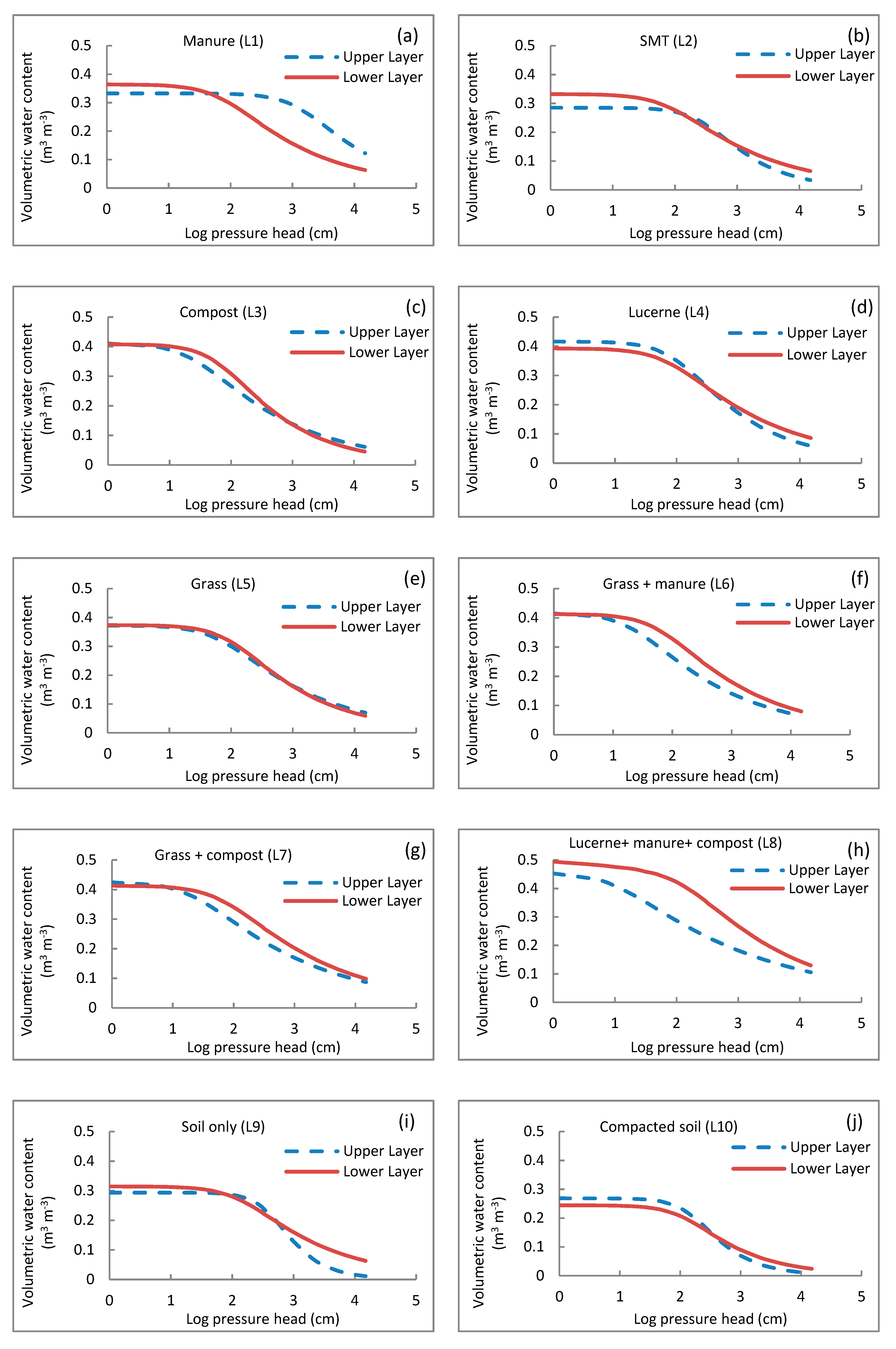
3.2. Soil Water Retention Curve and Total Porosity
3.3. Pore Size Distribution
3.4. Infiltration and Hydraulic Conductivity
4. Discussion
4.1. Bulk Density
4.2. Soil Water Retention Curves and Total Porosity
4.3. Pore Size Distribution
4.4. Infiltration and Hydraulic Conductivity
5. Conclusions
Author Contributions
Funding
Acknowledgments
Conflicts of Interest
References
- Rocha-Nicoleite, E.; Overbeck, G.; Müller, S. Degradation by coal mining should be priority in restoration planning. Perspect. Ecol. Conserv. 2017, 15, 202–205. [Google Scholar] [CrossRef]
- Dejun, Y.; Zhengfu, B.; Shaogang, L. Impact on soil physical qualities by the subsidence of coal mining: A case study in Western China. Environ. Earth Sci. 2016, 75, 652–665. [Google Scholar] [CrossRef]
- Neina, D.; Buerkert, A.; Joergensen, R. Effects of land use on microbial indices in tantalite mine soils, Western Rwanda. Land Degrad. Dev. 2016, 28, 181–188. [Google Scholar] [CrossRef]
- Mushia, N.; Ramoelo, A.; Ayisi, K. The impact of the quality of coal mine stockpile soils on sustainable vegetation growth and productivity. Sustainability 2016, 8, 546–558. [Google Scholar] [CrossRef]
- Berisso, F.E.; Schjønning, P.; Keller, T.; Lamande, M.; Etana, A.; de Jonge, L.W.; Iversen, B.V.; Arvidsson, J.; Forkman, J. Persistent effects of subsoil compaction on pore size distribution and gas transport in a loamy soil. Soil Tillage Res. 2012, 122, 42–51. [Google Scholar] [CrossRef]
- Lipiec, J.; Kus’, J.; Słowin´ska-Jurkiewicz, A.; Nosalewicz, A. Soil porosity and water infiltration as influenced by tillage methods. Soil Tillage Res. 2006, 89, 210–220. [Google Scholar] [CrossRef]
- Kutı´lek, M. Soil hydraulic properties as related to soil structure. Soil Tillage Res. 2004, 79, 175–184. [Google Scholar] [CrossRef]
- Czyz, E.A. Effects of traffic on soil aeration, bulk density and growth of spring barley. Soil Tillage Res. 2004, 79, 153–166. [Google Scholar] [CrossRef]
- Fredlund, D.G.; Houston, S.L. Interpretation of soil-water characteristic curves when volume change occurs as soil suction is changed. In Advances in Unsaturated Soils; CRC Press: Boca Raton, FL, USA, 2013; pp. 15–31. [Google Scholar]
- Pant, P.K.; Ram, S. Long-term manuring and fertilization effects on soil physical properties after forty two cycles under rice-wheat system in North Indian Mollisols. Int. J. Curr. Microbiol. App. Sci. 2018, 7, 232–240. [Google Scholar] [CrossRef]
- Ozores-Hampton, M.; Stansly, PA.; Salame, TP. Soil chemical, physical, and biological properties of a sandy soil subjected to long-term organic amendments. J. Sustain. Agric. 2011, 35, 243–259. [Google Scholar] [CrossRef]
- Cele, E.C.; Maboeta, M. A greenhouse trial to investigate the ameliorative properties of biosolids and plants on physicochemical conditions of iron ore tailings: Implications for an iron ore mine site remediation. J. Environ. Manag. 2016, 165, 167–174. [Google Scholar] [CrossRef] [PubMed]
- Yazdanpanah, N.; Mahmoodabadi, M.; Cerdà, A. The impact of organic amendments on soil hydrology, structure and microbial respiration in semiarid lands. Geoderma 2016, 266, 58–65. [Google Scholar] [CrossRef]
- Mohammadshirazi, F.; McLaughlin, R.; Heitman, J.; Brown, V. A multi-year study of tillage and amendment effects on compacted soils. J. Environ. Manag. 2017, 203, 533–541. [Google Scholar] [CrossRef] [PubMed]
- Sánchez, Ó.; Ospina, D.; Montoya, S. Compost supplementation with nutrients and microorganisms in composting process. Waste Manag. 2017, 69, 136–153. [Google Scholar] [CrossRef] [PubMed]
- Soil Classification Working Group. Soil Classification: A Taxonomic System for South Africa; Department of Agriculture Development: Pretoria, South Africa, 1991. [Google Scholar]
- Truter, W.F.; (University of Pretoria, Pretoria, South Africa). Personal communication, 2013.
- Dyson, L.L.; Van Heerden, J.; Marx, H.G. Short-Term Forecasting Techniques for Heavy Rainfall; WRC Report No. 1011/1/02; Water Research Commission: Pretoria, South Africa, 2002. [Google Scholar]
- Zhang, R. Determination of soil sorptivity and hydraulic conductivity from the disk infiltrometer. Soil Sci. Soc. Am. J. 1997, 61, 1024–1030. [Google Scholar] [CrossRef]
- Van Genuchten, M.T. A closed-form equation for predicting the hydraulic conductivity of unsaturated soils. Soil Sci. Soc. Am. J. 1980, 44, 892–898. [Google Scholar] [CrossRef]
- Van Genuchten, M.T.; Leij, F.J.; Yates, S.R. The RETC Code for Quantifying the Hydraulic Functions of Unsaturated Soils; Document EPA/600/2-91/065; US Salinity Laboratory, USDA: Riverside, CA, USA, 1991; p. 85.
- Mualem, Y. Hydraulic conductivity of unsaturated soils: Prediction and formulas. In Methods of Soil Analysis. I. Physical and Mineralogical Methods; Soil Science Society of America; American Society of Agronomy: Madison, WI, USA, 1986; Volume 9, pp. 799–823. [Google Scholar]
- Kutı´lek, M.; Nielsen, D.R. Soil Hydrology; Catena Verlag: Cremlingen, Germany, 1994. [Google Scholar]
- Luxmoore, R.J. Micro-, meso-, and macro-porosity of soil. Soil Sci. Soc. Am. J. 1981, 45, 671–672. [Google Scholar] [CrossRef]
- Snedecor, G.W.; Cochran, W.G. Statistical Methods, 7th ed.; Iowa State University Press: Iowa City, IA, USA, 1980; p. 507. [Google Scholar]
- Payne, R.W.; Murray, D.A.; Harding, S.A.; Baird, D.B.; Soutar, D.M. Introduction to Genstat ® for Windows ™, 18th ed.; VSN International: Hemel Hempstead, UK, 2015. [Google Scholar]
- Esse, P.C.; Buerkert, A.; Hiernaux, P.; Assa, A. Decomposition of and nutrient release from ruminant manure on acid sandy soils in the Sahelian zone of Niger, West Africa. Agric. Ecosyst. Environ. 2001, 83, 55–63. [Google Scholar] [CrossRef]
- Bronick, C.J.; Lal, R. Soil structure and management: A review. Geoderma 2005, 124, 3–22. [Google Scholar] [CrossRef]
- Al Chami, Z.; Bou Zein Eldeen, S.; Al Bitar, L.; Atallah, T. Decomposition of olive-mill waste compost, goat manure and Medicago sativa in Lebanese soils as measured using the litterbag technique. Soil Res. 2016, 54, 191–199. [Google Scholar] [CrossRef]
- Minasny, B.; McBratney, A.B. Limited effect of organic matter on soil available water capacity. Eur. J. Soil Sci. 2017, 69, 39–47. [Google Scholar] [CrossRef]
- Tisdall, J.M.; Oades, J.M. Organic matter and water-stable aggregates in soils. J. Soil Sci. 1982, 33, 141–163. [Google Scholar] [CrossRef]
- Mi, J.; Gregorich, E.G.; Xu, S.; McLaughlin, N.B.; Ma, B.; Liu, J. Effect of bentonite amendment on soil hydraulic parameters and millet crop performance in a semi-arid region. Field Crops Res. 2017, 212, 107–114. [Google Scholar] [CrossRef]
- Schoonover, J.E.; Crim, J.F. An introduction to soil concepts and the role of soils in watershed management. J. Contemp. Water Res. Edu. 2015, 154, 21–47. [Google Scholar] [CrossRef]
- Celik, I.; Ortas, I.; Kilic, S. Effects of compost, mycorrhiza, manure and fertilizer on some physical properties of a Chromoxerert soil. Soil Tillage Res. 2004, 78, 59–67. [Google Scholar] [CrossRef]
- Nimmo, J.R. Porosity and pore size distribution. In Encyclopedia of Soils in the Environment; Elsevier: London, UK, 2004; Volume 3, pp. 295–303. [Google Scholar]
- Kutı´lek, M.; Jendele, L.; Panayiotopoulos, K. The influence of uniaxial compression upon pore size distribution in bi-modal soils. Soil Tillage Res. 2006, 86, 27–37. [Google Scholar] [CrossRef]
- Pagliai, M.; Vignozzi, N. The soil pore system as an indicator of soil quality. Adv. Geo. Ecol. 2002, 35, 69–80. [Google Scholar]
- Pagliai, M.; Vittori Antisari, L. Influence of waste organic matter on soil micro- and macrostructure. Bioresour. Technol. 1993, 43, 205–213. [Google Scholar] [CrossRef]
- Horton, R. An approach toward the physical interpretation of infiltration capacity. Soil Sci. Soc. Am. Proc. 1940, 5, 339–417. [Google Scholar]
- Kay, B.D.; VandenBygaart, A.J. Conservation tillage and depth stratification of porosity and soil organic matter. Soil Tillage Res. 2002, 66, 107–118. [Google Scholar] [CrossRef]
- Lal, R. Restoring soil quality to mitigate soil degradation. Sustainability 2015, 7, 5875–5895. [Google Scholar] [CrossRef]
- Miranda, M.; Freire, M.; Almeida, B.; Freire, A.; Freire, F.; Pessoa, L. Improvement of degraded physical attributes of a saline-sodic soil as influenced by phytoremediation and soil conditioners. Arch. Agron. Soil Sci. 2018, 64, 1–15. [Google Scholar] [CrossRef]
- Greenland, D.J. Soil management and soil degradation. J. Soil Sci. 1981, 32, 301–322. [Google Scholar] [CrossRef]
- Bhattacharyya, R.; Prakash, V.; Kundu, S.; Gupta, H. Effect of tillage and crop rotations on pore size distribution and soil hydraulic conductivity in sandy clay loam soil of the Indian Himalayas. Soil Tillage Res. 2006, 82, 129–140. [Google Scholar] [CrossRef]
- Pagliai, M.; Raglione, M.; Panini, T.; Maletta, M.; La Marca, M. The soil structure after ten years of conventional and minimum tillage of two Italian soils. Soil Tillage Res. 1995, 34, 209–223. [Google Scholar] [CrossRef]




| Source of Variation | df † | F value | F > pr |
|---|---|---|---|
| Month | 4 | 614.74 | <0.01 |
| Treatment | 9 | 241.68 | <0.01 |
| Month*treatment | 36 | 11.89 | <0.01 |
| Treatment | Dec 2013 | Jun 2014 | Dec 2014 | Jun 2015 | Dec 2015 |
|---|---|---|---|---|---|
| Manure (L1) | 1.37 b | 1.41 c | 1.45 c | 1.48 de | 1.51 e |
| Standard mine treatment (L2) | 1.35 b | 1.37 b | 1.39 b | 1.42 bc | 1.42 bc |
| Compost (L3) | 1.41 c | 1.43 c | 1.45 cd | 1.47 de | 1.49 de |
| Lucerne (L4) | 1.40 c | 1.42 c | 1.43 c | 1.45 cd | 1.46 cd |
| Grass (L5) | 1.45 d | 1.47 d | 1.48 de | 1.50 ef | 1.51 e |
| Grass + manure (L6) | 1.35 b | 1.37 b | 1.38 b | 1.40 b | 1.40 b |
| Grass + compost (L7) | 1.35 b | 1.37 b | 1.37 b | 1.38 b | 1.38 b |
| Lucerne + manure + compost (L8) | 1.21 a | 1.22 a | 1.24 a | 1.26 a | 1.26 a |
| Soil only (L9) | 1.44 d | 1.47 d | 1.50 e | 1.53 f | 1.56 f |
| Compacted soil (L10) | 1.60 e | 1.60 e | 1.60 f | 1.68 g | 1.69 g |
| SEM | 0.0062 | 0.0068 | 0.0077 | 0.0083 | 0.0086 |
| Treatment | Upper Layer | Lower Layer | ||||||||||||
|---|---|---|---|---|---|---|---|---|---|---|---|---|---|---|
| θr (m3 m−3) | θs (m3 m−3) | α (m−1) | n | m | PAW (mm m−1) | r2 | θr (m3 m−3) | θs (m3 m−3) | α (m−1) | n | m | PAW (mm m−1) | r2 | |
| Manure (L1) | 0.1 | 0.333 | 0.860 | 1.436 | 0.304 | 91 | 0.95 | 0.1 | 0.364 | 0.293 | 1.338 | 0.253 | 94 | 0.98 |
| Standard mine treatment (L2) | 0.1 | 0.295 | 0.651 | 1.558 | 0.358 | 89 | 0.94 | 0.1 | 0.322 | 0.182 | 1.318 | 0.242 | 97 | 0.96 |
| Compost (L3) | 0.1 | 0.412 | 0.088 | 1.301 | 0.232 | 110 | 0.97 | 0.1 | 0.408 | 0.092 | 1.412 | 0.292 | 110 | 0.98 |
| Lucerne (L4) | 0.1 | 0.416 | 0.538 | 1.403 | 0.287 | 106 | 0.98 | 0.1 | 0.393 | 0.491 | 1.303 | 0.227 | 101 | 0.97 |
| Grass (L5) | 0.1 | 0.372 | 0.362 | 1.316 | 0.240 | 102 | 0.97 | 0.1 | 0.373 | 0.318 | 1.352 | 0.273 | 105 | 0.97 |
| Grass and manure (L6) | 0.1 | 0.417 | 0.094 | 1.288 | 0.224 | 119 | 0.98 | 0.1 | 0.414 | 0.157 | 1.294 | 0.233 | 115 | 0.98 |
| Grass and compost (L7) | 0.1 | 0.426 | 0.059 | 1.247 | 0.198 | 113 | 0.96 | 0.1 | 0.413 | 0.089 | 1.269 | 0.212 | 111 | 0.97 |
| Lucerne, manure and compost (L8) | 0.1 | 0.457 | 0.048 | 1.201 | 0.168 | 124 | 0.95 | 0.1 | 0.494 | 0.080 | 1.273 | 0.215 | 130 | 0.82 |
| Soil only (L9) | 0.1 | 0.284 | 0.839 | 1.940 | 0.484 | 82 | 0.98 | 0.1 | 0.314 | 0.676 | 1.375 | 0.260 | 89 | 0.95 |
| Compacted soil (L10) | 0.1 | 0.269 | 0.769 | 1.769 | 0.435 | 76 | 0.98 | 0.1 | 0.244 | 0.527 | 1.481 | 0.328 | 72 | 0.97 |
| Source of Variation | df † | F Value | F > pr |
|---|---|---|---|
| Month | 3 | 118.84 | <0.01 |
| Treatment | 9 | 672.90 | <0.01 |
| Month*treatment | 27 | 4.54 | <0.01 |
| Treatment | Jun 2014 | Dec 2014 | Jun 2015 | Dec 2015 |
|---|---|---|---|---|
| Manure (L1) | 3.12 c | 2.96 d | 2.88 d | 2.83 d |
| Standard mine treatment (L2) | 1.80 d | 1.74 e | 1.71 e | 1.69 e |
| Compost (L3) | 2.98 c | 2.93 d | 2.85 d | 2.82 d |
| Lucerne (L4) | 1.40 c | 3.86 c | 3.80 c | 3.74 c |
| Grass (L5) | 2.94 c | 2.89 d | 2.85 d | 2.83 d |
| Grass + manure (L6) | 4.16 b | 4.13 b | 4.10 b | 4.06 b |
| Grass + compost (L7) | 4.12 b | 4.09 bc | 4.04 bc | 4.02 b |
| Lucerne + manure + compost (L8) | 4.94 a | 4.91 a | 4.88 a | 4.85 a |
| Soil only (L9) | 1.49 e | 1.47 f | 1.44 f | 1.42 f |
| Compacted soil (L10) | 0.70 f | 0.69 g | 0.68 g | 0.68 g |
| SEM | 0.1552 | 0.1415 | 0.1581 | 0.1575 |
| Treatment | Jun 2014 | Dec 2014 | Jun 2015 | Dec 2015 |
|---|---|---|---|---|
| Manure (L1) | 5.71 × 10−4 b | 4.66 × 10−4 cd | 6.62 × 10−4 bc | 6.95 × 10−4 c |
| SMT (L2) | 8.86 × 10−5 d | 2.41 × 10−4 de | 2.65 × 10−4 ef | 3.09 × 10−4 d |
| Compost (L3) | 2.26 × 10−4 cd | 4.15 × 10−4 cd | 4.17 × 10−4 de | 4.53 × 10−4 d |
| Lucerne (L4) | 6.18 × 10−4 b | 7.15 × 10−4 b | 7.47 × 10−4 b | 8.30 × 10−4 c |
| Grass (L5) | 4.11 × 10−4 bc | 5.12 × 10−4 bc | 5.48 × 10−4 cd | 6.64 × 10−4 c |
| Grass + manure (L6) | 1.22 × 10−3 a | 1.27 × 10−3 a | 1.34 × 10−3 a | 1.43 × 10−3 a |
| Grass + compost (L7) | 5.14 × 10−4 b | 4.93 × 10−4 bc | 5.81 × 10−4 c | 7.12 × 10−4 c |
| Lucerne + manure + compost (L8) | 1.15 × 10−3 a | 1.17 × 10−3 a | 1.22 × 10−3 a | 1.24 × 10−3 b |
| Soil only (L9) | 1.95 × 10−4 cd | 2.55 × 10−4 d | 2.26 × 10−4 f | 2.95 × 10−4 d |
| Compacted soil (L10) | 2.43 × 10−5 d | 1.97 × 10−5 e | 2.74 × 10−5 g | 4.88 × 10−5 e |
| SEM | 5.41 × 10−5 | 4.84 × 10−5 | 3.15 × 10−5 | 3.67 × 10−5 |
© 2019 by the authors. Licensee MDPI, Basel, Switzerland. This article is an open access article distributed under the terms and conditions of the Creative Commons Attribution (CC BY) license (http://creativecommons.org/licenses/by/4.0/).
Share and Cite
Abraha, A.B.; Tesfamariam, E.H.; Truter, W.F. Can a Blend of Amendments Be an Important Component of a Rehabilitation Strategy for Surface Coal Mined Soils? Sustainability 2019, 11, 4297. https://doi.org/10.3390/su11164297
Abraha AB, Tesfamariam EH, Truter WF. Can a Blend of Amendments Be an Important Component of a Rehabilitation Strategy for Surface Coal Mined Soils? Sustainability. 2019; 11(16):4297. https://doi.org/10.3390/su11164297
Chicago/Turabian StyleAbraha, Amanuel B., Eyob H. Tesfamariam, and Wayne F. Truter. 2019. "Can a Blend of Amendments Be an Important Component of a Rehabilitation Strategy for Surface Coal Mined Soils?" Sustainability 11, no. 16: 4297. https://doi.org/10.3390/su11164297
APA StyleAbraha, A. B., Tesfamariam, E. H., & Truter, W. F. (2019). Can a Blend of Amendments Be an Important Component of a Rehabilitation Strategy for Surface Coal Mined Soils? Sustainability, 11(16), 4297. https://doi.org/10.3390/su11164297

