Identification of Polluted Sites in Four Major Rivers in Kuantan, Malaysia based on Water Chemistry Estimates of Aquatic Microbial Activity
Abstract
1. Introduction
2. Materials and Methods
2.1. River Water Sampling
2.2. Reagents
2.3. IC System for Ion Concentration Measurements
2.4. Analyses of Water Quality Indexed Parameters
3. Results
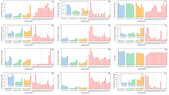
3.1. Behavior of the Ionic Concentration and Water Quality Indexed Parameter Values in the Pahang, Kuantan, Belat, and Galing Rivers
3.1.1. Ionic Species
3.1.2. Water Quality Indexed Parameters
3.2. Long-Term Behaviors of the Ionic Concentration and Water Quality Indexed Parameter Values in the Galing River
3.2.1. Three Years’ Trend from 2014 to 2016
3.2.2. Single-Year Trend in May, August, and November 2015
4. Discussion
4.1. Statistical Comparison of River Chemistry Data among the Pahang, Kuantan, Belat, and Galing Rivers
4.2. Inferring River Biological Reactions from WQI and Ionic Concentrations
4.2.1. Aerobic Microbial Activity in the Pahang, Kuantan, and Belat Rivers
4.2.2. Anaerobic Microbial Activity in the Galing River
4.3. Identification of Polluted Regions in the Galing River
5. Conclusions
Supplementary Materials
Author Contributions
Funding
Conflicts of Interest
References
- Philip, H.; Carol, W. The Politics of Environment in Southeast Asia; Psychology Press: Brighton, UK, 1998; pp. 1–28. [Google Scholar]
- Economic and Social Commission for Asia and Pacific, United Nations. The State of the Environment in Asia and the Pacific 2005 Economic Growth and Sustainability; United Nations: New York, NY, USA, 2005; pp. 20–113. [Google Scholar]
- Aiken, S.R.; Colin, H.L. Environment and Federal Government in Malaysia. Appl. Geogr. 1988, 8, 291–314. [Google Scholar] [CrossRef]
- Suleyman, A.M.; Abdul, R.A.; Garoot, S.E. The Impact of Economic Development on Water Pollution: Trends and Policy Actions in Malaysia. Water Resour. Manag. 2008, 22, 485–508. [Google Scholar]
- Faridah, O.; Alaa, E.M.E.; Ibrahim, M. Trend analysis of a tropical urban river water quality in Malaysia. J. Environ. Monit. 2012, 14, 3164–3173. [Google Scholar]
- Sustainable Development Goals Knowledge Platform. Sustainable Development Goals. United Nations. Available online: https://sustainabledevelopment.un.org/?menu=1300 (accessed on 30 May 2019).
- Economic Planning Unit, Prime Minister’s Department, Government of Malaysia. Malaysia Sustainable Development Goals Voluntary National Review 2017; Government of Malaysia: Kuala Lumpur, Malaysia, 2017.
- The Source of Malaysia’s Official Statistics. Key Summary Statistics for Local Authority Areas, Malaysia, 2010; Department of Statistics: Kuala Lumpur, Malaysia, 2010.
- JPBD Pahang Town and Country Planning Department. Kuantan 2015; Pahang Town and Country Planning Department: Kuantan, Malaysia, 2015.
- Rashid, Z.A.; Amal, M.N.A.; Shohaimi, S. Water Quality Influences on Fish Occurrences in Sungai Pahang, Maran District, Pahang, Malaysia. Sains Malaysia. 2018, 47, 1941–1951. [Google Scholar] [CrossRef]
- Rahman, M.M.; Awang, M.B.; Jalal, K.C.A.; Aisha, S.; Kamaruzzaman, B.Y. Study on Toxic Chemicals in Kuantan River During Pre And Post Monsoon Season. Aust. J. Basic Appl. Sci. 2013, 7, 24–30. [Google Scholar]
- Lee, K.Y.; Ho, L.Y.; Tan, K.H.; Tham, Y.Y.; Ling, S.P.; Qureshi, A.M.; Ponnudurai, T.; Nordin, R. Environmental and Occupational Health Impact of Bauxite Mining in Malaysia: A Review. Int. Med. J. Malays. 2017, 16, 137–150. [Google Scholar]
- Mazhar, M.I.; Shoaib, M.; Farid, H.U.; Lee, J.L. Assessment of Water Quality Profile Using Numerical Modeling Approach in Major Climate Classes of Asia. Int. J. Environ. Res. Public Health 2018, 15, 2258–2283. [Google Scholar]
- Wan Ishak, W.M.F.B. Development of an Automatic Monitoring System for the Assessment of Water Quality in Galing River, Kuantan, Advances In Bio-Informatics, Bio-Technology and Environmental Engineering ABBE 2014, Birmingham, UK, 16–17 November 2014; Institute of Research Engineers and Doctors: New York, NY, USA, 2014. [Google Scholar]
- Kusin, F.M.; Rahman, M.S.A.; Madzin, Z.; Jusop, J.; Yusuff, F.M.; Ariffin, M.; Syakirin, M.M.Z. The Occurrence and Potential Ecological Risk Assessment of Bauxite Mine-impacted Water and Sediments in Kuantan, Pahang, Malaysia. Environ. Sci. Pollut. Res. 2017, 24, 1306–1321. [Google Scholar] [CrossRef]
- Noor, H.A.; Norlen, M.; Lokman, H.S.; Thahirahtul, A.Z.; Daud, A.R. Potential Health Impacts of Bauxite Mining in Kuantan. Malays. J. Med. Sci. 2016, 23, 1–8. [Google Scholar]
- Kozaki, D.; Ab. Rahim, M.H.B.; Wan Ishak, W.M.F.B.; Yusoff, M.M.; Mori, M.; Nakatani, N.; Tanaka, K. Assessment of the River Water Pollution Levels in Kuantan, Malaysia, Using Ion-Exclusion Chromatographic Data, Water Quality Indices, and Land Usage Patterns. Air Soil Water Res. 2016, 9, 1–11. [Google Scholar] [CrossRef]
- Tachikawa, Y.; James, R.; Abdullah, K.; Desa, M.N.B.M. Catalogue of Rivers for Southeast Asia and the Pacific-Volume V, 7-5 Pahang River; Hydrology and Water Resources Research Laboratory, Kyoto University: Kyoto, Japan, 2004. [Google Scholar]
- Ahmad, S.M.S.; Hafizan, J.; Azman, A.; Mohd, K.A.K.; Mohd, F.K.; Mohd, E.T.; Nor Azlina, A.A.; Che Noraini, C.H.; Mohd, S.S. Flood risk pattern recognition using chemometric technique: A case study in Kuantan River Basin. J. Teknol. 2015, 72, 137–141. [Google Scholar]
- Yusof, N.M. Effect of the Wind-Induced on Road Accident Along East Coast Expressway. Open Access Repository of UMP Research & Publication. 2012. Available online: http://umpir.ump.edu.my/7922/1/NORAIN_BINTI_MD_YUSOF.PDF (accessed on 30 May 2019).
- Kozaki, D.; Harun, N.I.B.; Rahim, M.H.B.A.; Mori, M.; Nakatani, N.; Tanaka, K. Determination of Water Quality Degradation Due to Industrial and Household Wastewater in the Galing River in Kuantan, Malaysia Using Ion Chromatograph and Water Quality Data. Environments 2017, 4, 35. [Google Scholar] [CrossRef]
- Japan Meteorological Agency. Locational Data Graphs (The World Weather Data Tool). Available online: http://www.data.jma.go.jp/gmd/cpd/monitor/climatview/graph_mkhtml.php?&n=48657&p=24&s=1&r=1&y=2013&m=9&e=0&k=0 (accessed on 30 May 2019).
- Nikanorov, A.M.; Brazhnikova, L.V. Chapter 3: Water chemical composition of rivers, lakes and wetlands. In Types and Properties of Waters—Encyclopedia of Life Support Systems; Khublaryan, M.G., Ed.; Eolss Publishers: Oxford, UK, 2009; Volume 2, pp. 42–79. [Google Scholar]
- United States Environmental Protection Agency. Federal Register: Ranges 3 to 150 mg/L COD and 20 to 1500 mg/L COD for Wastewater Analyses (Standard Method 5220 D); United States Environmental Protection Agency: Washington, DC, USA, 1980.
- Standard Methods for the Examination of Water and Wastewater (Standard Methods); 4500-P Phosphorus: C; Vanadomolybdophosphoric Acid Colorimetric Method American Public Health Association; American Water Works Association and Water Environment Federation: Washington, DC, USA, 1999.
- Water Environment Partnership in Asia (WEPA), Ministry of the Environment of Japan. National Water Quality Standards for Malaysia. Available online: http://www.wepa-db.net/policies/law/malaysia/eq_surface.htm#pagetop (accessed on 5 July 2019).
- Gardener, M. (Ed.) Statistics for Ecologists Using R and Excel: Data Collection, Exploration, Analysis and Presentation (Data in the Wild), 2nd ed.; Pelagic Publishing: Exeter, UK, 2017. [Google Scholar]
- Muhammad, A.A.; Mohd, J.M.; Ismail, Y. Morphology, Geology and Water Quality Assessment of Former Tin Mining Catchment. Sci. World J. 2012, 2012, 1–15. [Google Scholar]
- Monique, L.N.; Charles, C.R.; Kathleen, A.D. Influence of Bedrock Geology on Water Chemistry of Slope Wetlands and Headwater Streams in the Southern Rocky Mountains. Wetlands 2011, 31, 251–261. [Google Scholar]
- Ake, N.; Lars, H. Relationships between drainage area characteristics and lake water quality. Environ. Geol. Water Sci. 1992, 19, 75–81. [Google Scholar]
- Pena, M.A.; Katsev, S.; Oguz, T.; Gilbert, D. Modeling dissolved oxygen dynamics and hypoxia. Biogeosciences 2010, 7, 933–957. [Google Scholar] [CrossRef]
- Hall, E.R.; Murphy, K.L. Estimation of nitrifying biomass and kinetics in wastewater. Water Res. 1980, 14, 297–304. [Google Scholar] [CrossRef]
- Tanaka, K. Determination of bicarbonate ion in biological nitrification process water by ion-exclusion chromatography with coulometric detection. Bunseki Kagaku 1981, 30, 358–362. (In Japanese) [Google Scholar] [CrossRef]
- Martin, R.E.; Taphonomy, A. Process Approach; Cambridge University Press: Cambridge, MA, USA, 1999. [Google Scholar]
- Knowles, R. Denitrification. Microbiol. Rev. 1982, 46, 43–70. [Google Scholar]
- Hamlin, H.J.; Michaels, J.T.; Beaulaton, C.M.; Graham, W.F.; Dutt, W.; Steinbach, P.; Losordo, T.M.; Schrader, K.K.; Main, K.L. Comparing denitrification rates and carbon sources in commercial scale upflow denitrification biological filters in aquaculture. Aquac. Eng. 2008, 38, 79–92. [Google Scholar] [CrossRef]
- Thauer, R.K.; Jungermann, K.; Decker, K. Energy conservation in chemotrophic anaerobic bacteria. Bacteriol. Rev. 1977, 41, 100–180. [Google Scholar] [PubMed]
- Bryant, M.P.; Varel, V.H.; Frobish, R.A.; Isaacson, H.R. Biological Potential of Thermophilic Methanogenesis From Cattle Wastes; Academic Press: Exeter, UK, USA, 1977; pp. 347–359. [Google Scholar]
- Bourg, A.C.; Bertin, C. Diurnal variations in the water chemistry of a river contaminated by heavy metals: Natural biological cycling and anthropic influence. Water Air Soil Pollut. 1996, 86, 101–116. [Google Scholar] [CrossRef]
- Withanachchi, S.S.; Ghambashidze, G.; Kunchulia, I.; Urushadze, T.; Ploeger, A. Water Quality in SurfaceWater: A Preliminary Assessment of Heavy Metal Contamination of the Mashavera River, Georgia. Int. J. Environ. Res. Public Health 2018, 15, 621. [Google Scholar] [CrossRef] [PubMed]








| Tested Rivers | p-Value of Student’s t-Test (%) | |||||||||||
|---|---|---|---|---|---|---|---|---|---|---|---|---|
| Inorganic Ionic Species | Water quality indexed parameters of the NWQS for Malaysiaa | |||||||||||
| River 1/River 2 | SO42− | Cl− | NO3− | Na+ | NH4+ | K+ | Mg2+ | Ca2+ | DO | TP | pH | COD |
| Pahang/Kuantan | 12.7 | 73.4 | 15.4 | 11.6 × 10−3 | 8.00 | 2.58 | 36.7 × 10−4 | 19.3 × 10−2 | 23.1 | 23.6 | 19.3 × 10−4 | 2.49 |
| Pahang/Belat | 53.5 | 7.45 | 50.2 | 48.4 × 10−2 | 12.2 | 12.6 | 62.4 × 10−4 | 37.6 × 10−2 | 27.4 | 5.54 | 65.0 × 10−6 | 21.0 × 10−2 |
| Pahang/Galing | 15.3 × 10−3 | 56.2 × 10−4 | 8.58 | 11.3 × 10−4 | 15.1 × 10−3 | 24.0 × 10−2 | 86.1 | 27.5 × 10−5 | 26.9 × 10−3 | 14.0 × 10−2 | 20.1 × 10−4 | 1.17 |
| Kuantan/Belat | 24.7 | 27.1 | 19.3 | 7.20 | 50.6 | 11.6 | 52.1 | 37.8 | 8.30 | 9.12 | 55.2 | 2.40 |
| Kuantan/Galing | 38.8 × 10−4 | 63.0 × 10−4 | 59.3 | 27.5 × 10−5 | 0.142 | 16.9 × 10−3 | 44.5 × 10−4 | 24.0 × 10−7 | 28.0 × 10−4 | 18.5 × 10−2 | 13.6 | 1.91 |
| Belat/Galing | 7.83 | 11.3 × 10−3 | 9.69 | 44.7 × 10−5 | 0.143 | 72.9 × 10−3 | 34.6 × 10−4 | 60.9 × 10−7 | 19.0 × 10−1 | 1.02 | 22.6 | 3.79 |
© 2019 by the authors. Licensee MDPI, Basel, Switzerland. This article is an open access article distributed under the terms and conditions of the Creative Commons Attribution (CC BY) license (http://creativecommons.org/licenses/by/4.0/).
Share and Cite
Kozaki, D.; Idayu binti Harun, N.; Hein Chong, C.; Hayati binti Esraruddin, M.; binti Yunus, N.A.; binti Derahman, A.S.; Seng Pu, K.; binti Alias, N.S.; A/P Annamalai, K.; Nagappan, S.; et al. Identification of Polluted Sites in Four Major Rivers in Kuantan, Malaysia based on Water Chemistry Estimates of Aquatic Microbial Activity. Sustainability 2019, 11, 3813. https://doi.org/10.3390/su11143813
Kozaki D, Idayu binti Harun N, Hein Chong C, Hayati binti Esraruddin M, binti Yunus NA, binti Derahman AS, Seng Pu K, binti Alias NS, A/P Annamalai K, Nagappan S, et al. Identification of Polluted Sites in Four Major Rivers in Kuantan, Malaysia based on Water Chemistry Estimates of Aquatic Microbial Activity. Sustainability. 2019; 11(14):3813. https://doi.org/10.3390/su11143813
Chicago/Turabian StyleKozaki, Daisuke, Norhasmira Idayu binti Harun, Chan Hein Chong, Murni Hayati binti Esraruddin, Nor Atiah binti Yunus, Aini Syazana binti Derahman, Kee Seng Pu, Nurul Syazwani binti Alias, Kumutharani A/P Annamalai, Sarmila Nagappan, and et al. 2019. "Identification of Polluted Sites in Four Major Rivers in Kuantan, Malaysia based on Water Chemistry Estimates of Aquatic Microbial Activity" Sustainability 11, no. 14: 3813. https://doi.org/10.3390/su11143813
APA StyleKozaki, D., Idayu binti Harun, N., Hein Chong, C., Hayati binti Esraruddin, M., binti Yunus, N. A., binti Derahman, A. S., Seng Pu, K., binti Alias, N. S., A/P Annamalai, K., Nagappan, S., bin Ab. Rahim, M. H., & M. Yusoff, M. (2019). Identification of Polluted Sites in Four Major Rivers in Kuantan, Malaysia based on Water Chemistry Estimates of Aquatic Microbial Activity. Sustainability, 11(14), 3813. https://doi.org/10.3390/su11143813
