The Influence of Buyer Power on Supply Chain Pricing with Downstream Competition
Abstract
1. Introduction
2. Literature Review
3. Market Characteristics and Basic Model
- In the first stage, manufacturer, M, sets the wholesale price and for R1 and R2 according to their own profit maximization, and retailers purchase products at this wholesale price.
- In the second stage, R1 and R2 simultaneously set retail prices and , respectively, according to their own profit maximization.
4. Price Effects of Buyer Power
4.1. The Influence of Buyer Power on the Wholesale Price
- In the first stage, manufacturer M and national retailer R1 negotiate to determine the wholesale price , and the wholesale price is set by the manufacturer for local retailer R2.
- In the second stage, national retailer R1 sets retail price .
- In the third stage, local retailer R2 sets retail price .
- Profit reduction: The increase in buyer power reduces the wholesale price paid by the national retailer , and reduces the manufacturer’s profit obtained from the national retailer . We call this the profit reduction effect.
- Demand transfer: The difference in wholesale price between the national and local retailer is . The local retailer’s higher wholesale price leads to a higher retail price, causing some consumers to shift from the local retailer to the national retailer. Remember that the manufacturer earns lower margins from the national retailer, resulting in the transfer of market demand, which also reduces the profit of the manufacturer—this is called the demand transfer effect.
- The sequence of retailers’ decision-making was different. When R1 had buyer power, R1 dominated retail price decisions, and the price decision of R1 and R2 was similar to Stackelberg. In the absence of buyer power, the two retailers set the optimal retail price simultaneously.
- Wholesale prices were determined in different ways. When R1 had buyer power, the manufacturer and R1 negotiated the wholesale price. In the absence of buyer power, the manufacturer set the wholesale price for R1 and R2 according to their own profit maximization.
- In the first stage, the manufacturer set the wholesale price for R2 and the manufacturer negotiated a wholesale price with R1.
- In the second stage, R1 and R2 set the retail prices and simultaneously.
4.2. The Influence of Buyer Power on Retail Price
- 1.
- When buyer power is small, the emergence of buyer power will increase the retail price compared with a scenario in which there is an absence of buyer power. When buyer power is large, the retail price decreases.
- 2.
- With an increase in buyer power, the retail price of the national retailer declines while the retail price of the local retailer rises first and then falls, and the average price decreases.
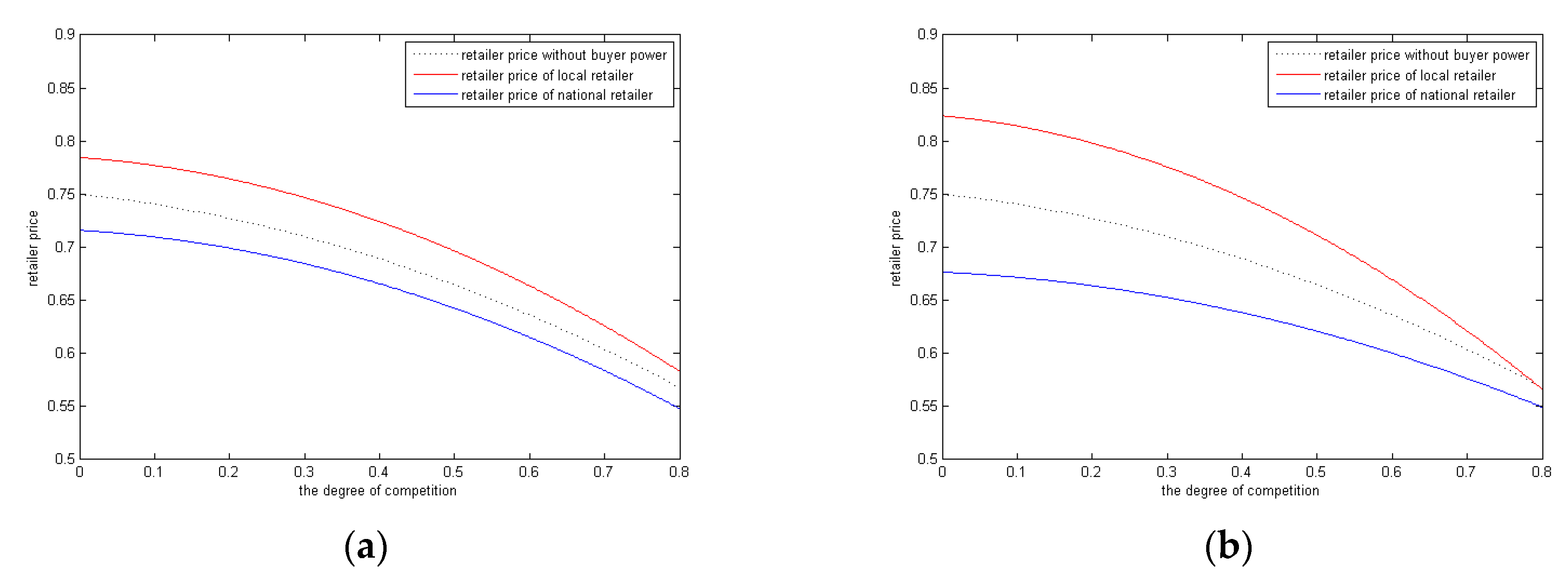
5. The Impact of Downstream Competition on the Price Effects of Buyer Power
- The retail price declined as competition increases;
- Compared with no buyer power, the retail price of the national retailer was lower in the case of buyer power, while the retail price of the local retailer was greater;
- With the increase of retail market competition, the gap between the retail price with buyer power and without buyer power shrunk, indicating that the difference caused by buyer power was reduced, and that market competition and buyer power had an alternative effect on retail price.
6. Conclusions
Funding
Acknowledgments
Conflicts of Interest
Appendix A. Proof of Proposition 1
Appendix B. Proof of Proposition 2
References
- Biely, K.; Maes, D.; van Passel, S. Market power extended: from Foucault to Meadows. Sustainability 2018, 10, 2843. [Google Scholar] [CrossRef]
- Galbraith, J.K. American Capitalism: The Concept of Countervailing Power; Houghton Mifflin: Boston, MA, USA, 1952; ISBN 978-0-395-07707-8. [Google Scholar]
- Dobson, P.W.; Clarke, R.; Davies, S.; Waterson, M. Buyer power and its impact on competition in the food retail distribution sector of the European Union. J. Ind. Comp. Tras. 2001, 1, 247–281. [Google Scholar] [CrossRef]
- Chen, Z. Dominant retailers and the countervailing-power hypothesis. Rand J. Econ. 2003, 34, 612–625. [Google Scholar] [CrossRef]
- Gaudin, G. Vertical bargaining and retail competition: what drives countervailing power? Econ. J. 2018, 128, 2380–2413. [Google Scholar] [CrossRef]
- Dobson, P.W.; Waterson, M. Countervailing power and consumer prices. Econ. J. 1997, 107, 418–430. [Google Scholar] [CrossRef]
- von Ungern-Sternberg, T. Countervailing power revisited. Int. J. Ind. Organ. 1996, 14, 507–519. [Google Scholar] [CrossRef]
- Chen, Z. Defining buyer power. Antitrust Bull. 2008, 53, 241–249. [Google Scholar]
- Pulker, C.E.; Trapp, G.S.A.; Scott, J.A.; Pollard, C.M. What are the position and power of supermarkets in the Australian food system, and the implications for public health? A systematic scoping review. Obes. Rev. 2018, 19, 198–218. [Google Scholar] [CrossRef]
- Maxwell, J.; Briscoe, F. There’s money in the air: The CFC ban and DuPont’s regulatory strategy. Bus. Strategy Environ. 1997, 6, 276–286. [Google Scholar] [CrossRef]
- Meeks, M.; Chen, R.J.C. Can Walmart integrate values with value? From sustainability to sustainable business. J. Sustain. Dev. 2011, 4, 62–66. [Google Scholar] [CrossRef][Green Version]
- Gree and Gome Have Parted Ways, with Each Side Holding Its Own. Available online: http://business.sohu.com/2004/03/12/79/article219407944.shtml (accessed on 14 April 2019).
- Blue Moon and RT-Mart Began to Argue Because of the Conflict between Retailers and Suppliers. Available online: http://news.163.com/15/0613/01/ARV1L5JE00014Q4P.html (accessed on 14 April 2019).
- Another Daily Cosmetics Brand Broke with Supermarket: Walch was Removed from China Resources Vanguard. Available online: http://business.sohu.com/20151207/n430032783.shtml (accessed on 14 April 2019).
- Chen, Z.; Ding, H.; Liu, Z. Downstream competition and the effects of buyer power. Rev. Ind. Organ. 2016, 49, 1–23. [Google Scholar] [CrossRef]
- Inderst, R.; Wey, C. Countervailing power and dynamic efficiency. J. Eur. Econ. Assoc. 2011, 9, 702–720. [Google Scholar] [CrossRef]
- Inderst, R.; Shaffer, G. Retail mergers, buyer power and product variety. Econ. J. 2007, 117, 45–67. [Google Scholar] [CrossRef]
- Faulí-Oller, R.; Sandonis, J.; Santamaria, J. Downstream mergers and upstream investment. Manch. Sch. 2011, 79, 884–898. [Google Scholar] [CrossRef]
- Chen, Z. Buyer power: economic theory and antitrust policy. In Research in Law and Economics; Zerbe, R.O., Kirkwood, J.B., Eds.; Emerald Group Publishing Limited: Bingley, UK, 2007; Volume 22, pp. 17–40. ISBN 978-0-7623-1348-8. [Google Scholar]
- Battigalli, P.; Fumagalli, C.; Polo, M. Buyer power and quality improvements. Res. Econ. 2007, 61, 45–61. [Google Scholar] [CrossRef]
- Xiao, Y.; Yang, S.; Zhang, L.; Kuo, Y.H. Supply chain cooperation with price-sensitive demand and environmental impacts. Sustainability 2016, 8, 716. [Google Scholar] [CrossRef]
- Crawford, G.S.; Yurukoglu, A. The welfare effects of bundling in multichannel television markets. Am. Econ. Rev. 2012, 102, 643–685. [Google Scholar] [CrossRef]
- Robinson, J. The Economics of Imperfect Competition, 2nd ed.; Palgrave Macmillan: London, UK, 1969; pp. 211–231. ISBN 978-0-333-10289-3. [Google Scholar]
- OECD. Buying Power: The Exercise of Market Power by Dominant Buyers; OECD Publications and Information Center: Paris, France, 1981; p. 10. ISBN 978-92-64-12168-3. [Google Scholar]
- Dobson, P.; Waterson, M.; Chu, A. The Welfare Consequences of the Exercise of Buyer Power; Office of Fair Trading: London, UK, 1998; p. 5. Available online: https://www.researchgate.net/publication/37142835_The_welfare_consequences_of_the_exercise_of_buyer_power (accessed on 14 April 2019).
- Clarke, R.; Davies, S.; Dobson, P.; Waterson, M. Buyer Power and Competition in European Food Retailing; Edward Elgar Publishing: Cheltenham, UK, 2002; p. 8. ISBN 978-1-84064-685-6. [Google Scholar]
- Mills, D.E. Buyer-induced exclusive dealing. South. Econ. J. 2017, 84, 66–81. [Google Scholar] [CrossRef]
- Inderst, R.; Wey, C. Bargaining, mergers, and technology choice in bilaterally oligopolistic industries. Rand J. Econ. 2003, 34, 1–19. [Google Scholar] [CrossRef]
- Inderst, R.; Wey, C. Buyer power and supplier incentives. Eur. Econ. Rev. 2007, 51, 647–667. [Google Scholar] [CrossRef]
- Normann, H.T.; Ruffle, B.J.; Snyder, C.M. Do buyer - size discounts depend on the curvature of the surplus function? Experimental tests of bargaining models. Rand J. Econ. 2007, 38, 747–767. [Google Scholar] [CrossRef]
- Katz, M.L. The welfare effects of third-degree price discrimination in intermediate good markets. Am. Econ. Rev. 1987, 77, 154–167. [Google Scholar]
- Fumagalli, C.; Motta, M. Buyers’ miscoordination, entry and downstream competition. Econ. J. 2008, 118, 1196–1222. [Google Scholar] [CrossRef]
- O’Brien, D.P. The welfare effects of third-degree price discrimination in intermediate good markets: the case of bargaining. Rand J. Econ. 2014, 45, 92–115. [Google Scholar] [CrossRef]
- Baye, I.; von Schlippenbach, V.; Wey, C. One - stop shopping behavior, buyer power and upstream merger incentives. J. Ind. Econ. 2018, 66, 66–94. [Google Scholar] [CrossRef]
- Caprice, S.; von Schlippenbach, V. One-stop shopping as a cause of slotting fees: a rent-shifting mechanism. J. Econ. Manage. Strategy 2013, 22, 468–487. [Google Scholar] [CrossRef]
- Inderst, R.; Valletti, T.M. Buyer power and the ‘waterbed effect’. J. Ind. Econ. 2011, 59, 1–20. [Google Scholar] [CrossRef]
- Majer, T. Does the Waterbed Effect Harm Consumers? Available online: http://citeseerx.ist.psu.edu/viewdoc/download?doi=10.1.1.526.9305&rep=rep1&type=pdf (accessed on 14 April 2019).
- King, S.P. Buyer groups, antitrust and outsiders. Econ. Rec. 2013, 89, 1–18. [Google Scholar] [CrossRef]
- Erutku, C. Buying power and strategic interactions. Can. J. Econ. 2005, 38, 1160–1172. [Google Scholar] [CrossRef]
- Christou, C.; Papadopoulos, K.G. The countervailing power hypothesis in the dominant firm-competitive fringe model. Econ. Lett. 2015, 126, 110–113. [Google Scholar] [CrossRef]
- Matsushima, N.; Yoshida, S. The countervailing power hypothesis when dominant retailers function as sales promoters. Manch. Sch. 2018, 86, 665–680. [Google Scholar] [CrossRef]
- Caprice, S.; Shekhar, S. On the Countervailing Power of Large Retailers When Shopping Costs Matter. Available online: https://www.diw.de/documents/dokumentenarchiv/17/diw_01.c.555595.de/caprice_dams_may2017.pdf (accessed on 14 April 2019).
- Wang, H. Buyer power, transport cost and welfare. J. Ind. Comp. Tras. 2010, 10, 41–53. [Google Scholar] [CrossRef]
- Ito, B.; Yashiro, N.; Xu, Z.; Wakasugi, R. How do Chinese industries benefit from FDI spillovers? China Econ. Rev. 2012, 23, 342–356. [Google Scholar] [CrossRef]
- Du, L.; Harrison, A.; Jefferson, G. FDI spillovers and industrial policy: the role of tariffs and tax holidays. World Dev. 2014, 64, 366–383. [Google Scholar] [CrossRef]
- Top 100 Chinese Chain Chains in 2017. Available online: http://www.ccfa.org.cn/portal/cn/view.jsp?lt=31&id=434638 (accessed on 28 April 2019).
- Top 100 Chinese Chain Chains in 2010. Available online: http://www.ccfa.org.cn/portal/cn/view.jsp?lt=31&id=410450 (accessed on 28 April 2019).
- UK Competition Commission. The Supply of Groceries in the UK Market Investigation. Available online: https://docplayer.net/31578962-The-supply-of-groceries-in-the-uk-market-investigation.html (accessed on 28 April 2019).
- Dobson, P.W.; Waterson, M.; Davies, S.W. The patterns and implications of increasing concentration in European food retailing. J. Agri. Econ. 2003, 54, 111–125. [Google Scholar] [CrossRef]
- Han, X.; Sun, X.; Zhou, Y. The equilibrium decisions in a two-echelon supply chain under price and service competition. Sustainability 2014, 6, 4339–4354. [Google Scholar] [CrossRef]
- Gabrielsen, T.S.; Johansen, B.O. Buyer power and exclusion in vertically related markets. Int. J. Ind. Organ. 2015, 38, 1–18. [Google Scholar] [CrossRef]
- Bowley, A.L. Mathematical Groundwork of Economics; California Press: Oxford, UK, 1924; p. 36. ISBN 978-0-678-00075-5. [Google Scholar]
- Horn, H.; Wolinsky, A. Bilateral monopolies and incentives for merger. Rand J. Econ. 1988, 19, 408–419. [Google Scholar] [CrossRef]
- Iozzi, A.; Valletti, T. Vertical bargaining and countervailing power. Am. Econ. J.-Microecon. 2014, 6, 106–135. [Google Scholar] [CrossRef]
- Tirole, J. The Theory of Industrial Organization; MIT Press: Cambridge, MA, USA, 1988; pp. 137–140. ISBN 978-0-262-20071-4. [Google Scholar]
- Amir, R.; Stepanova, A. Second-mover advantage and price leadership in Bertrand duopoly. Games Econ. Behav. 2006, 55, 1–20. [Google Scholar] [CrossRef]
- Inderst, R.; Montez, J. Buyer power and mutual dependency in a model of negotiations. Rand J. Econ. 2019, 50, 29–56. [Google Scholar] [CrossRef]





| Market Competition Structure | Literature |
|---|---|
| Dominant and marginal retailers | Chen, Christou and Papadopoulos, Matsushima and Yoshida, Caprice and Shekhar [4,40,41,42] |
| Competition with N retailers | Gaudin, Dobson and Waterson, von Ungern Sternberg, Chen et al. [5,6,7,15] |
| Duopoly retailer competition | Erutku, Inderst and Shaffer, Battigalli et al., Han et al., Gabrielsen and Johansen [17,20,39,50,51] |
| Game Process | No Buyer Power | Buyer Power | Assumption Scenario | |
|---|---|---|---|---|
| Wholesale price | First stage | M sets , for R1 and R2 | M sets for R2, negotiates with R1 | M sets for R2, negotiates with R1 |
| Retail price | Second stage | R1 and R2 set and simultaneously | R1 sets | R1 and R2 set and simultaneously |
| Third stage | NA | R2 sets | NA | |
© 2019 by the author. Licensee MDPI, Basel, Switzerland. This article is an open access article distributed under the terms and conditions of the Creative Commons Attribution (CC BY) license (http://creativecommons.org/licenses/by/4.0/).
Share and Cite
Zhao, Q. The Influence of Buyer Power on Supply Chain Pricing with Downstream Competition. Sustainability 2019, 11, 2924. https://doi.org/10.3390/su11102924
Zhao Q. The Influence of Buyer Power on Supply Chain Pricing with Downstream Competition. Sustainability. 2019; 11(10):2924. https://doi.org/10.3390/su11102924
Chicago/Turabian StyleZhao, Qiu. 2019. "The Influence of Buyer Power on Supply Chain Pricing with Downstream Competition" Sustainability 11, no. 10: 2924. https://doi.org/10.3390/su11102924
APA StyleZhao, Q. (2019). The Influence of Buyer Power on Supply Chain Pricing with Downstream Competition. Sustainability, 11(10), 2924. https://doi.org/10.3390/su11102924
