Abstract
Dam removal is an increasingly common stream restoration tool. Yet, removing dams from small streams also represents a major disturbance to rivers that can have varied impacts on environmental conditions and aquatic biota. We examined the effects of dam removal on the structure, function, and composition of benthic macroinvertebrate (BMI) communities in a temperate New England stream. We examined the effects of dam removal over the dam removal time-series using linear mixed effects models, autoregressive models, non-metric multidimensional scaling, and indicator and similarity analyses. The results indicated that the dam removal stimulated major shifts in BMI community structure and composition above and below the dam, and that the BMI communities are becoming more similar over time. The mixed model analysis revealed that BMI functional groups and diversity were significantly influenced by sample site and several BMI groups also experienced significant interactions between site and dam stage (P < 0.05), while the multivariate analyses revealed that community structure continues to differ among sites, even three years after dam removal. Our findings indicate that stream restoration through dam removal can have site-specific influences on BMI communities, that interactions among BMI taxa are important determinants of the post-dam removal community, and that the post-dam-removal BMI community continues to be in a state of reorganization.
1. Introduction
Worldwide, the damming of rivers disrupts hydrological cycles and negatively impacts the structure and function of riparian ecosystems [1,2]. The alteration and fragmentation of natural fluvial systems by dams have had myriad cascading impacts on stream ecology, geomorphology and hydrography [2,3,4,5]. This water flow obstruction by dams alters stream nutrient cycling, sedimentation, thermal regimes, and river-corridor organism mobility [6,7,8], all of which pose significant threats to river biodiversity and ecological processes both above and below dams [9,10,11].
Dam removal is an increasingly common management strategy for restoring river and stream ecosystem structure and function [4,12,13]. Thousands of dams have been removed over the last century, and they continue to be removed at an increasing rate [14]. The vast majority of dam removal efforts are concentrated in North American and Europe, however, Asia and South America also comprise regions of increasing dam removal activity [15,16]. While this widespread interest in dam removal provides a means for restoring river flow and connectivity, dam removal itself is also an ecological perturbation to stream systems that have often existed in altered hydrological conditions from decades to centuries [17]. Thus, river restoration can have varied impacts on aquatic system structure and function [13,18,19] because new flow patterns can change and redistribute substrate and create changes in habitat availability and quality for both fish and benthic macroinvertebrate (BMI) taxa [20].
Sedimentation and deposition after the dam removal event can also affect the system for years [13,21,22,23], impacting BMI abundance, community structure, species richness, and riparian ecosystem function [10,24,25]. These effects can be highly variable, long-lasting, and dependent on variation in dam characteristics and the rate of stabilization of physical conditions after dam removal [20,26,27,28,29]. Short-term effects (i.e., within months) can include an immediate decline in BMI density and diversity [30,31], while long-term (years) effects are often characterized by a shift in BMI community composition from lentic- to lotic-specialist taxa as stream flow increases with time-since-dam-removal [29,32].
Past studies indicate that, for invertebrates, dam removal can stimulate a significant shift above the dam site from lentic BMI taxa dominance (e.g., Chironomids, Oligochaetes, and other non-insects) to more diverse assemblages that include a mixture of taxa including riffle-specialists (i.e., “EPT” taxa: Ephemeroptera, Plecoptera, Trichoptera) [33,34]. In some cases, downstream recovery can resemble the pre-dam community [21], while in other cases, the post-dam removal BMI community composition resembles neither the pre-dam community nor that of other nearby free flowing stream reaches [10].
Due to the complexity of responses of BMI communities to dam removal, longer-term, community-scale studies that start before dam removal and continue several years afterwards are needed for identifying the diverse, long-term effects of river restoration on stream assemblages and species interactions [5,24,26,35,36,37,38,39]. The present study investigates the effects of dam removal on BMI community dynamics in the Eightmile River, CT, USA. A small dam that had been in place since the 1760s, was removed from the river on the Zemko property of The Nature Conservancy. Our study began in 2005, one year before drawdown (in 2006) and continued for three years following dam removal (in 2007) until the fall of 2010. Poulos, Miller, Kraczkowski, Whelchel, Heineman and Chernoff [37] and Poulos and Chernoff [36] examined the effects of the Zemko dam removal on fish assemblages and discovered that they continued to be in a state of reorganization at sites adjacent to the former dam even three years after dam removal. Our objectives for the current study build upon this knowledge by assessing how dam removal at these same three sites (above and below the dam, and at a nearby reference site) influenced BMI community structure, function, and stability. Based on the literature, we hypothesized the dam removal would (1) trigger significant, site-specific effects on BMI dynamics and function that would differ over the course of the dam removal process, and (2) that the stability of the BMI community would similarly vary in relation to site and dam stage (i.e., pre-dam removal, during drawdown, and post-dam removal).
2. Materials and Methods
2.1. Study Sites
The Eightmile River, located in Salem, CT is a largely rural and forested portion of the state (Figure 1) [40]. The river was designated a Wild and Scenic River by Congress in 2008, protecting all major branches and tributaries within the system (House Senate Report 110-94). The Connecticut Department of Environmental Protection in 1998–1999 characterized the water quality of the main stem as some of the best in the state based on the prevalence of high water quality indicator BMI taxa [41]. Sampling was conducted monthly on the same day of each month within sites during the growing season (May–October) from 2005–2010 at three main locations (Figure 1) including: the reach immediately above the dam (“ZAD”) which was a pond prior to drawdown, the reach immediately below the dam (“ZBD”), and a reference site (“REF”) 7.19 km downstream of the former dam (see Section 2.1.3 below for justification). Sample sites differed with regard to a number of spatial and habitat characteristics, such as basin size, canopy and substrate (see Appendix A for site characteristics and Poulos and Chernoff [36] for site-specific temporal changes in local environmental conditions). Sampling began prior to dam removal in 2005 and continued through water drawdown (which began in spring 2006), final dam removal (fall 2007), and for three years afterward.
Figure 1.
Map of the Zemko Dam and reference site on the Eightmile River, Haddam, CT.
2.1.1. Above the Zemko Dam (ZAD)
The East branch of the Eightmile River was modified at the Zemko site for a considerable time. A dam for milling was first constructed there in the 1720s and the resulting pond was periodically drained until the 1960s when the present-day dam was constructed. At the time of removal, the dam was a 1.5 m high, 3.7 m wide, and 24.5 m long stone- and earth-fill structure that also served as an unimproved road crossing. The dam was considered the last impasse to diadromous fish such as, Salmo salar (Atlantic Salmon), although a fish ladder at Bill’s pond downstream may have continued to impair upstream fish and BMI movement. Details of environmental changes that occurred over the study period have been reported by Poulos and Chernoff [36].
Prior to dam removal, the substrate of the above-dam pond was largely organic. This transitioned to silt and sand as water levels decreased and the dam was removed. As the channel’s flow increased over the study period, partially submerged cobble-sized rocks emerged at the upstream edge of the former pond. An approximately 14 m portion of the river at and directly above the dam was also modified post dam removal with the addition of cobble and large woody debris in order to stabilize the banks and mimic a more natural streambed structure.
2.1.2. Below the Dam (ZBD)
The below dam reach was largely a gravel and cobble bed with sand deposits in pools near the banks. While much of this composition remained constant, there were changes in the river-bed characteristics during the drawdown and dam removal process. We observed a build-up of sand and silt in the pool directly below the dam in addition to increased erosion and tree fall within the stream channel.
2.1.3. The Reference Site (REF)
An upstream reference site was not available because the dam was less than 1 km from its headwaters, so instead we chose a downstream reference site because of its relatively unimpacted river channel and bank, its location on protected land (the CT Chapter of The Nature Conservancy), and little nearby development. Its distance from the dam (7.19 km) was deemed sufficient to avoid direct dam removal impacts, and pre-study BMI sampling (2004) indicated that there was no significant difference (ANOVAs, P > 0.05) in numerous invertebrate metrics (total richness and abundance, EPT-, and percent dominance) from another site monitored on the free-flowing West branch of the Eightmile.
2.2. Benthic Macroinvertebrate Sampling
Surber sampling was chosen as the method for BMI collection based on the results of a series of experiments carried out at the reference site in 2004 by Olins [42]. An alternate method, rock bags, was used for the above dam site (ZAD) because of the water depth at this sample site (e.g., average 39 cm in 2005). At each of the three randomly selected locations within the 100 m riffle area at ZAD, a rock bag consisting of 0.008 m3 of various sized rocks was placed on the substrate and after approximately one month was removed and processed in the same manner as Surber samples. At the other sites, Surber samplers (Wildco; area = 0.093 m2) were used at three randomly selected locations within the designated riffle. Rocks and 3 cm deep of loose substrate were scrubbed free of organisms and organic matter, collected in the attached net (500 um), and preserved in 70% alcohol until processing. Analysis of side by side Surber and rock bag sampling indicated that there was no significant difference in BMI groups of interest between the two methods (P > 0.05 Olins [42]), supporting the decision to utilize rock bags at the above-dam site.
Samples were picked from a 12-square sorting tray using magnifier lights (10x) in randomized sub-samples of 25% (3 squares), and preserved in 70% alcohol. The sub-samples were then processed, and all organisms were identified to family level (using keys from Voshell and Wright [43]), which was considered sufficient for analysis of functional feeding and sensitive taxonomic groups (e.g., Tolonen et al. [44]) and to avoid differences due to rare taxa. Sample counts were limited to those families that are hydropneustic.
We chose the following groups for classification of the taxa based on the literature and use by other dam studies: (1) functional feeding groups (predator, collector-gatherer, collector-filterer, scrapers and shredders) that are utilized to learn more about community changes in response to conditions such as flow and organic matter [45,46]; (2) EPT- (minus), which included all Ephemeroptera, Plecoptera, and Trichoptera families , as they are often included in ecosystem health and water quality assessments (e.g., [47]), however, the Trichoptera family Hydropsychidae was excluded as they were ubiquitous in most samples, are more stress tolerant in Connecticut streams, and include a variety of species with differing sensitivity to water quality [48]; (3) Chironomidae (Order Diptera) abundance, as a common but variable component of the BMI community and an indicator of slow-flowing, silty, and warmer water conditions [47,49]; and (4) non-insects, consisting primarily of Olig ochaetes and Amphipods that are both highly tolerant and indicative of lentic conditions. In addition, we also examined spatiotemporal variation in individual BMI families, abundance and richness, and diversity (H’, Evar). H’ is most commonly used when evaluating species diversity [50]. Evar is an alternate index for use in measuring species evenness where 0 is minimum evenness and 1 is maximum [51]. See Appendix C for a full list of invertebrate taxa and group composition.
2.3. Data Analyses
2.3.1. Univariate Analyses
Prior to analysis, BMI family abundance matrices were tested for randomness with entropy analysis following Atmar and Patterson [52]. The results demonstrated that our matrices were highly significantly more ordered than 10,000 random matrices generated from a Monte Carlo process and that the data were suitable for the subsequent analyses of patterns within the matrices. We then used mixed model analyses in the nlme package of R [53], which is a common method for evaluating the effects of dam removal on stream assemblages to test for differences in the abundance and diversity of BMI groups at each sample site in relation to dam removal with fixed and random effects and interaction terms. We estimated variance components within each mixed model to account for the covariance structure of the repeated measures of the sampling intervals, followed by least squares means pairwise comparisons to test for differences in BMI assemblages both among and within sites over time. Site and dam removal were treated as fixed effects and year nested within dam stage was treated as a random effect. Dam removal was classified into three stages: (1) pre-removal (2005), (2) drawdown to removal (2006–2007), and (3) post-removal (2008–2010) for this, and all subsequent analyses.
2.3.2. Non-Metric Multidimensional Scaling
We used non-metric multidimensional scaling (NMDS) to analyze community-scale differences in BMI composition among sample sites and dam stages via the vegan package in R (Oksanen et al. 2013). The relative abundance of BMI families was plotted in the NMDS solution by (1) sample site over the entire study period, and (2) dam stage for each sample site using 95% confidence ellipses. We then tested for differences in BMI ordination space among sites and among dam stages within each sample site using the ordiareatest command in vegan.
2.3.3. Indicator Species Analysis
We used indicator species analysis [54] and PC-Ord Software [55] to identify key indicator BMI taxa across all years for the reference, above dam, and below dam sites. The goal of this analysis was to identify taxa that occurred in a particular habitat or location with high fidelity. The method combines abundance data from a site and faithfulness of occurrence of a taxon in a particular site. It produces indicator values for each, which are subsequently tested for statistical significance by a Monte Carlo permutation. Indicator values (0–100) are simply estimated as the relative frequency of the taxon in sample sites belonging to a particular target site group.
2.3.4. Spatiotemporal Variation in BMI Community Structure
We examined differences in BMI community composition among sites and over time by examining Bray-Curtis similarity matrices using a two-way analysis of similarity (ANOSIM; α = 0.05; 999 permutations) for both dam stage (pre-removal, drawdown, and post-removal) and by year. Spatio-temporal changes in community structure was further analyzed by performing a similarity percentage analysis (SIMPER) [56]. SIMPER was used to identify major BMI families contributing to > 50% of the total dissimilarity among sites. This method computes the percentage contribution of each taxon to the total dissimilarity between pairs of sites; those with the largest contribution to dissimilarity are those that best discriminate between site communities. All similarity analyses were performed using a paleontological statistics software package (PAST v2.17) [57].
2.3.5. Multivariate Autoregressive Models (MAR)
We estimated BMI community stability in relation to sample site and dam stage by examining functional feeding group interaction strengths over the time-series of dam stage using multivariate autoregressive (MAR) models. The effect of dam stage on BMI functional feeding group (FFG) community dynamics was also examined by including dam stage as a covariate in the MAR models for the two dam sites. MAR examined the interaction strengths among BMI FFGs over the time-series at each sample site. In MAR models, variates are factors expected to affect their own dynamics and those of other groups. The MAR framework is similar to a set of simultaneously solved multiple regressions of interacting taxa, while also accounting for the serial autocorrelation in time-series data (see Beisner et al. [58]) through the calculation of autoregression coefficients that depend on the correlated response of one variable to the others in the time-series of interest. Autoregression coefficients depend upon patterns of change in the data so that, if a given variable does not change, it does not influence the changes in abundance of taxa in the dataset and the autoregression coefficients are zero. In this case, the dynamics considered were changes to abundances. Dam stage was treated as a covariate because of its potential to affect FFG abundance.
MAR models were fit and stability metrics were estimated using the MAR1 package [59] of the R Statistical Language [53]. Functional feeding group abundance data for each time-step were log transformed to better approximate the non-linear relationships in the data (sensu Ives et al. [60]) and standardized to deseasoned Z-scores prior to analysis. Data were deseasoned to facilitate model comparisons among BMIs and to remove seasonal trends in the data by dampening seasonally varying population fluctuations. Since sampling occurred during the growing season (i.e., from June to October) each year, we followed recommendations by Hampton et al. [61] and Ives, Dennis, Cottingham and Carpenter [60] by specifying a MAR model that skipped estimations between non-consecutive data points by not filling gaps in the data greater than 1 month in duration (using the fill.gap command in MAR1).
The MAR output produces several stability metrics of community resilience and reactivity that we used to examine community-level responses to dam removal. These metrics are based on the B species interaction matrix, as defined by Ives, Dennis, Cottingham and Carpenter [60] who developed three measures of resilience (which they termed stability), and two measures of reactivity within the MAR framework. Four of the five metrics depend upon the eigenstructure of the species interaction matrix, B. The first, where det is the determinant and p is the number of taxa, measures how species interactions amplify any environmental variance (dam stage and site) in relation to the stationary distribution. The second measure, , is the maximum eigenvalue of B. This measures the rate of return of the mean from the perturbed or transitional distribution to the stationary distribution; the largest eigenvalue corresponds to the slowest dimension of change [60]. The third measure of resilience, , is the maximum eigenvalue of the Kronecker product of B and measures the rate of return of the variance from the perturbed or transitional distribution to the stationary distribution. The smaller the values of the three resilience measures the greater resilience that system has to perturbations.
A reactive system is one that frequently moves farther away from the stationary distribution [60] as reactivity increases stability and resilience decrease. The first measure of reactivity is , where tr is the trace, is the environmental covariance matrix and is the covariance matrix of the stationary distribution (a function of B); less negative values (i.e., those closer to zero) are more reactive due to the species interactions amplifying environmental variance in . The second measure of reactivity depends only on B and is , where B′ is the transpose of B; this measure depends upon the entire eigenstructure and is sensitive to the smaller eigenvalues; the larger the asymmetry of the eigenstructure the larger the value of the metric and the higher the reactivity of the system.
3. Results
3.1. Impacts of Dam Removal on BMI Taxonomic Groups
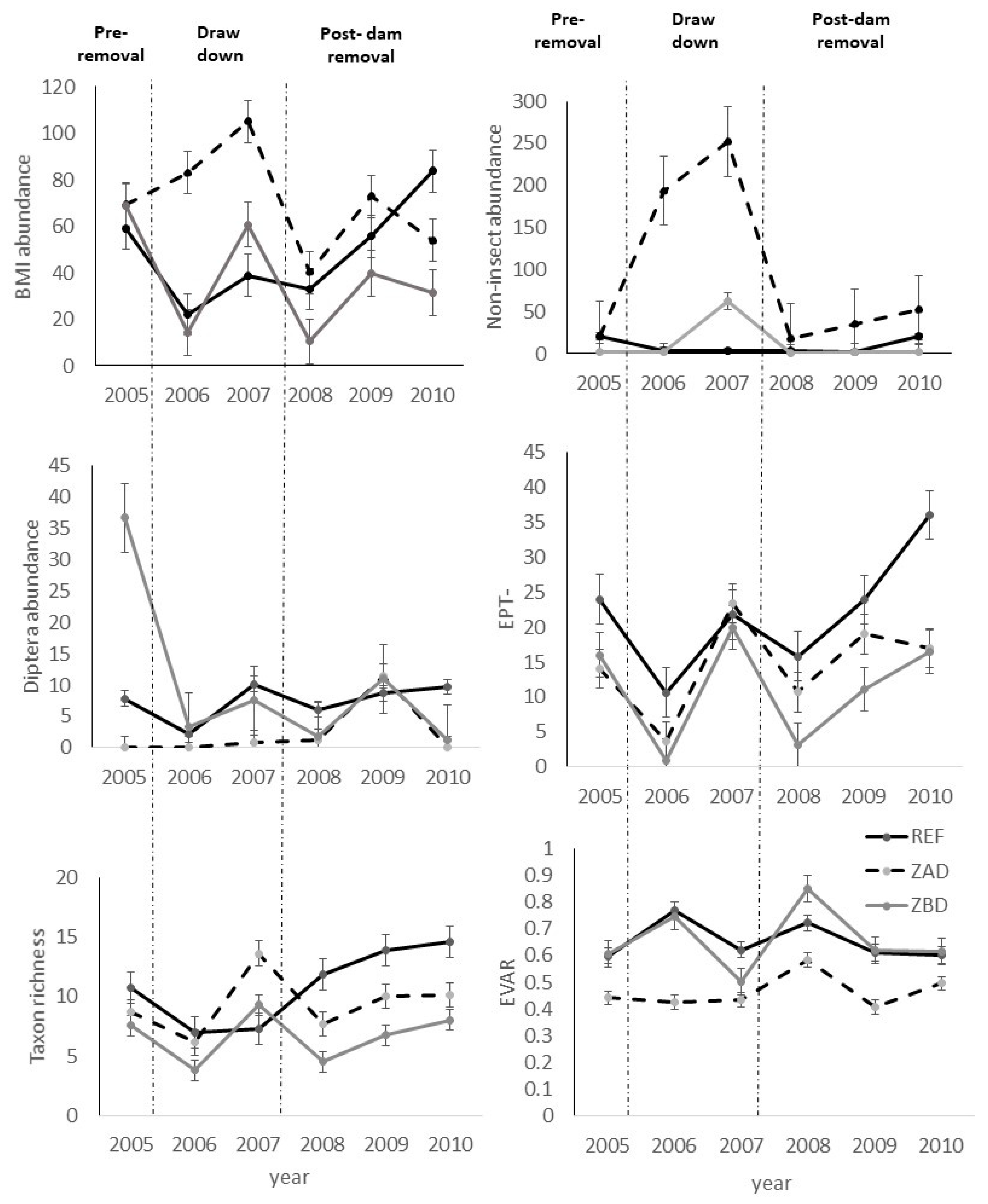
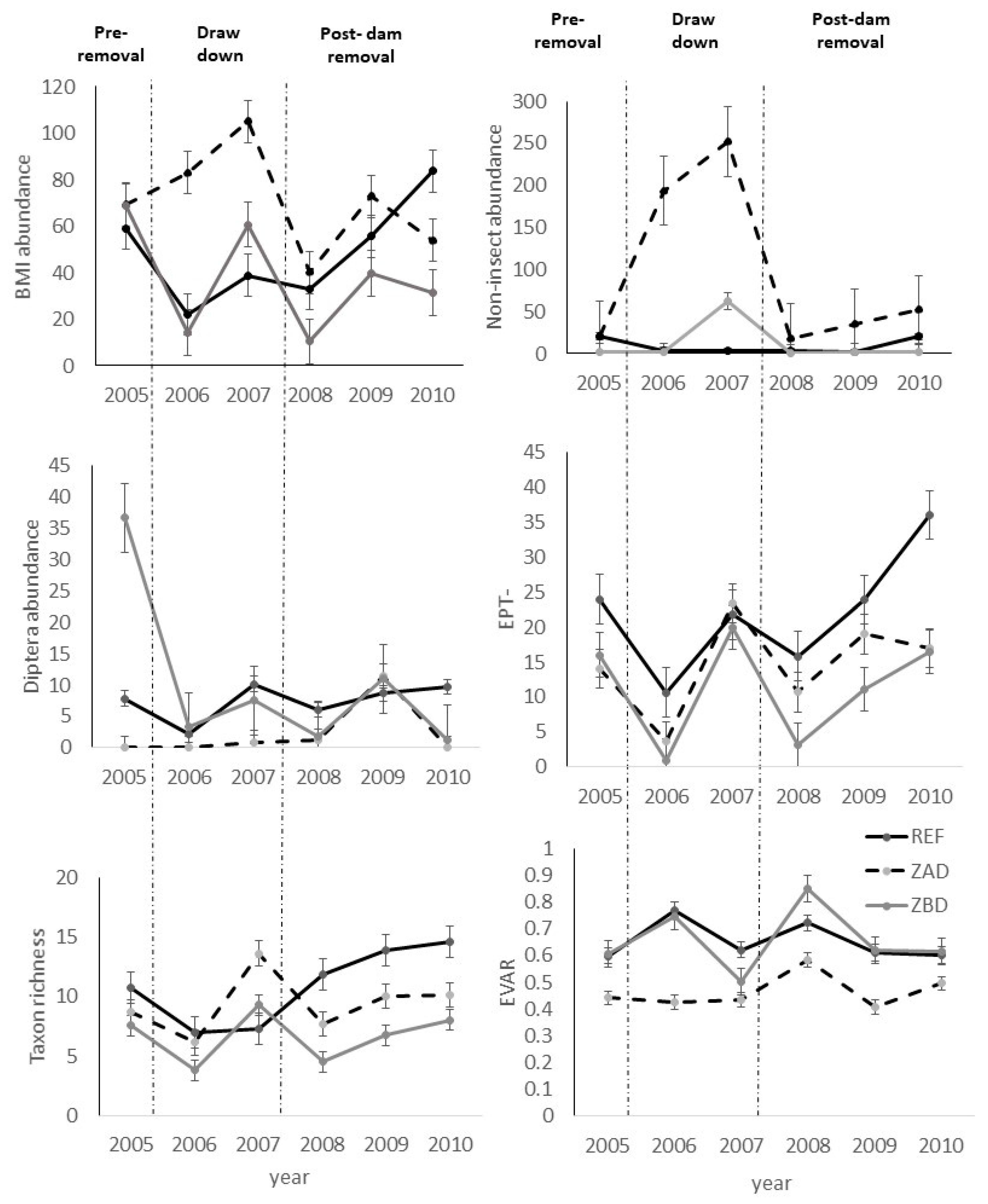
More than 70 BMI families were identified across all sites over the study period from 59 samples, from which we identified 11,240 individual organisms. The mixed model analyses identified significant site-level differences for virtually all of the BMI metrics in the study (Table 1, Figure 2, Appendix B). Site and dam stage interactions were significant for total BMI abundance, non-insect abundance, taxon richness, and diversity (Evar) (P < 0.05). Total BMI abundance was similar among sites prior to dam removal, but it diverged significantly among sites during drawdown and after dam removal (P < 0.05). BMI abundance was significantly higher at ZAD than at the two other sites during drawdown, and all three sites differed significantly from one another during the post-dam removal dam stage. Differences in non-insect BMI abundance over the time-series was due to significantly higher (P < 0.05) non-insect abundance at ZAD during dam removal. Taxon richness was similar among sites prior to dam removal, and higher at ZAD during dam removal. Post removal, taxon richness was significantly higher at REF, intermediate at ZAD, and lowest at ZBD. Evar was consistently lower at ZAD over all sample years relative to the other two sample sites. Evar fluctuated and differed between ZBD and REF during dam removal, but they did not differ significantly three years after dam removal.
Table 1.
F-values from the modified before after control impact mixed model analyses of BMI variables in relation to the three study sites, the three stages of dam removal, and the interaction between site and dam stage. Degrees of freedom for BMI variables are 2 (site, stage) and 4 (dam*stage); for functional feeding group analysis degrees of freedom are 2 (site), and 1 (stage, interaction). Significant terms are designated by asterisks: * indicates P < 0.05, and ** indicates P < 0. 01. See Appendix C for BMI abbreviations and descriptions.
Figure 2.
Mean (± S.E.) BMI abundances and diversity statistics for sub-samples at each site by year. Dam stages are indicated with dotted lines. Significant differences among dam stages are reported in Table 1.
3.2. Functional Feeding Group Dynamics
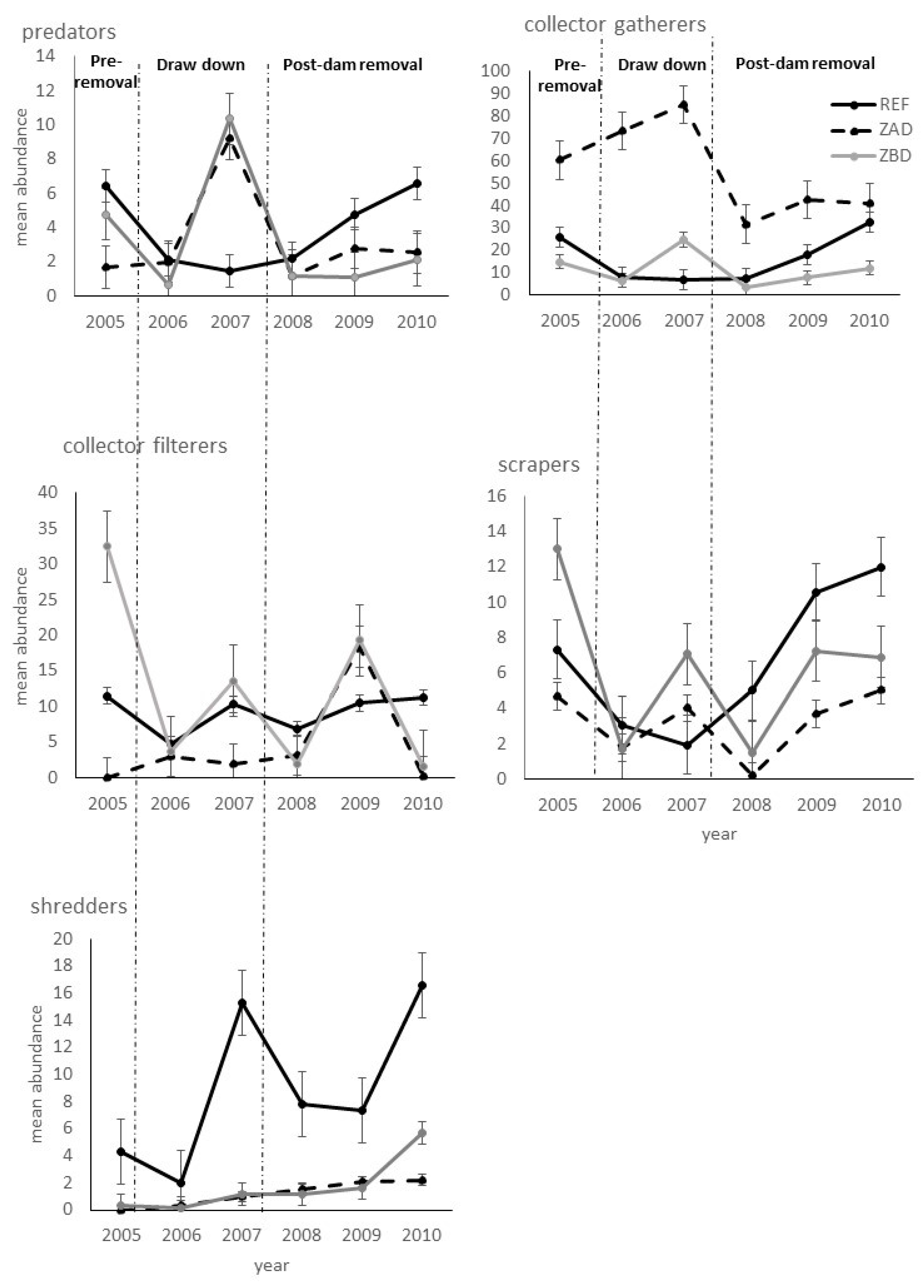
Functional feeding group abundances differed significantly by site for all FFGs in the study (P < 0.01) (Table 1, Figure 3, Appendix B and Appendix C). However, the interaction between site and dam stage was only significant for collector-gatherer abundance (P = 0.031). Significant increases in predator abundance occurred at the two dam sites during drawdown (P < 0.05). Collector-gatherer abundance declined significantly at ZAD, primarily due to Oligochaetes (Annelida) and Amphipods, which comprised 77% of the community before drawdown/dam removal and declined to 32% at the end of the study. Shredder abundance was consistently higher at the REF site relative to the two dam sites for all years after 2006. Collector-filterer and scraper abundances were variable among the sites. There was high variability in scraper abundance across years (Figure 3). Although there were significant site effects (P < 0.01, Table 1, Figure 3), the post-dam removal rebound of scrapers obscured interaction effects with stage; and scrapers also became much more abundant at REF post dam removal.
Figure 3.
Mean (± S.E.) abundances of BMI functional feeding groups displayed by site and year. Dam stages are indicated with dotted lines. Significant differences among sites and dam stage are reported in Table 1.
3.3. Impacts of Site and Dam Stage on BMI Community Composition and Structure
The NMDS results and the two-way ANOSIM analysis revealed that the three dam sites remained largely distinct over the study period. BMI families differed significantly among dam stages (R = 0.091, P = 0.0374) and sites (R = 0.60, P = 0.0001). Although the 95% confidence ellipses did not overlap among sites in the NMDS solution (Figure 4A), BMI family composition overlapped within sites among the three dam stages of pre-removal, drawdown, and post-removal (Figure 4B). The one exception was an overlap between the above and below dam sites during drawdown. Communities of all three sites shifted closer together in BMI family space post-removal.
Figure 4.
Non-metric multidimensional scaling (NMDS) of BMI families in the Eightmile River, CT, USA over the study period showing (A) BMI relative abundance by family (black dots) plotted with 95% confidence ellipses for each sample site over all sampling intervals, and (B) 95% confidence ellipses for each dam stage within each sample site (boxes). Sample sites differed significantly in BMI family space according to permutation tests (P < 0.05), although each site did not vary significantly in BMI family space by dam stage. The final NMDS solution was a 2-dimensional solution with a stress value of 0.22.
The SIMPER analysis highlighted that differences in BMI family composition among sites over the study were principally the result of changes in the two dam sites relative to the reference site over the course of the study (Appendix D). Such differences were explained by the abundance of more tolerant, lentic specialist taxa, including non-insects such as oligochaetes and amphipods, as well as insect taxa such as Chironomids, above the dam relative to the two other sites, and to some extent, higher Trichoptera abundance at the reference site. In addition, below the dam the post-removal stage experienced decreases in Hydropsychidae and Chironomids, which are generally considered abundant and stress-tolerant taxa.
The indicator species analysis corroborated these results and highlighted the distinctness of the reference site relative to the two dam sites. REF contained nine indicator families, six of which were EPT- taxa (Table 2). These included less stress-tolerant taxonomic groups including Trichoptera (i.e., Brachicentripodidae, Limnophilidae and Glossostomadidae), as well as other sensitive BMI groups like Plecoptera. In comparison ZBD had only two indicator taxa (both insects), one a predator that occurred in low numbers (0–5 per sample), and a scraper, while ZAD hosted seventeen indicator species from a variety of functional feeding groups. Nearly half of them were non-insect taxa, and all but two were stress-tolerant. These indicator species were prevalent at ZAD over the entire study period, regardless of dam stage, and many of them were associated with lentic stream conditions.
Table 2.
Maximum indicator values (IV) for significant indicator taxa (P < 0.05) for each sample site. Taxon acronyms are explained in Appendix C.
3.4. BMI Community Stability
The MAR results identified significant interactions between the various BMI FFGs during the study. Model fits (R2) were all >0.5 (Table 3). All functional feeding groups experienced positive interactive growth rates over the time-series at the REF site, as shown by the positive diagonal elements of Figure 5A. Between groups, predator growth rates were negatively affected by scraper and collector-gatherer abundance. Collector-filterers positively influenced collector-gatherers. Scrapers positively influenced abundance of both collector-gatherers and predators.
Table 3.
Resilience and reactivity metrics from the MAR analysis. Metrics are derived from Ives, Dennis, Cottingham and Carpenter [60] as described in the methods section.

Figure 5.
MAR model interaction strengths of the deseasoned, z-score-transformed BMI functional feeding group community on the Eightmile River at (A) the reference site (REF), (B) the above dam site (ZAD), and (C) the below dam site (ZBD). Bars extending to the right and left of the dotted lines represent positive and negative interactions, respectively. Interactions in the best-fit model that were excluded by bootstrapping are plotted as lighter, hatched bars. Density-dependent changes in BMI functional feeding groups are displayed along the diagonal of the B-matrix. The C-matrix in the two dam sites evaluates the effects of dam stage as a covariate influencing functional feeding group interactions.
The interactive growth rate effects were more complex at the two dam sites, and dam stage was a significant influence on predator growth rates at both sites and on collector-gatherer growth rates at ZAD. At ZAD, all taxa except collector-gatherers displayed positive growth rates (i.e., the positive diagonal element in Figure 5B). Predator growth rates positively influenced scraper abundance. Collector-gatherer growth rates positively influenced shredders but had a negative effect on predators and scrapers. Collector-filterer abundances positively affected collector-filterers. Dam removal had significant negative impacts on predator and collector-gatherer growth rates.
At ZBD, (Figure 5C), collector-filterers and shredders displayed positive growth with increasing abundance, collector-gatherers showed no significant interaction, and predators and scrapers experienced negative density-dependent growth over time. Predator abundance negatively influenced the growth rates of both collector-filterers and scrapers, while scraper abundance negatively impacted collector-gatherer growth rates. Collector-filterers positively affected growth rates of all but shredders. Only predator growth rates were negatively influenced by dam removal.
The MAR resilience metrics indicated that the BMI community of the REF site was the most resilient and least reactive site (Table 3). Most resilient means that environmental perturbations due to dam removal changed the community the least and that the rate of return of community structure was the fastest (Ives et al. 2003). The reactivity measures ranked the dam sites in opposite fashion. The first reactivity metric indicated that ZAD was more reactive. ZBD was the most reactive from the perspective of the second measure because ZBD had the most asymmetric eigenstructure.
4. Discussion
The effects of dam removal on BMI community structure, function, and stability are complex and spatiotemporally-variable [20,26,27,28]. The removal of the Zemko Dam constituted a major change to the stream system from a previously impounded state that had likely persisted for centuries prior to river restoration. Dam removal remains a difficult task, and our results and other similar studies reveal the complex and interacting effects of dam legacy, stream restoration, and BMI community reorganization that occurs in response to the restoration of river flow [10,21,22,23,25,62].
4.1. Changes in Functional Feeding Group in BMI Communities in Response to Dam Removal
The site-specific BMI community responses implied that the environmental changes caused by the dam removal itself, rather than new environmental conditions such as flow or river connectivity, were responsible for the observed changes over the study period (e.g., see Poulos and Chernoff [36]). Variation in BMI community composition is characteristic of even healthy, unperturbed stream habitats [63,64], and was exemplified in our study by the temporal variation in BMI community composition at the reference site. Species-level replacement (i.e., “turnover”) may have occurred undetected, given the lack of species-specific BMI identification in this study. This may explain why there were no significant differences in diversity or richness for variables like EPT-, which are generally utilized as indicators of water quality, and thus, would be expected to change in response to river restoration [47].
While the dam removal represented a major disturbance to in-channel river traits, many of the other environmental characteristics of the sites (e.g., canopy, surrounding land cover) remained constant throughout the study period. Given the magnitude of these site differences, it is perhaps not surprising that there was only one BMI functional metric that changed with dam stage across sites, non-insect abundance, which spiked at ZAD during drawdown. Such a pattern does not typically appear in studies of other dam removals, but the greater BMI abundance at ZAD at this time period could be a product of site productivity, e.g., organic matter inputs from upstream and a lack of canopy, which is a pattern observed elsewhere [20,34,65].
Thus, we did not observe a clear shift in dominance from lentic to lotic BMI taxa in response to the dam removal. The above dam site was functionally unique, containing 17 indicator taxa, and was characterized primarily by tolerant and lentic taxa in contrast to the more varied BMI community composition at the other two sites over the study period. This site-specific dam removal impacts on the BMI indicator taxa, diversity, and FFG abundances were expected, as evidenced by the continued dominance of many tolerant, lentic-specialist taxa at the above dam site throughout the study period.
The consistently-different BMI community structure at the above and below dam sites is consistent with other prior dam removal research. The greater BMI abundance above the dam persisted across dam stages, which was, in part, due to a few especially abundant taxa (particularly during drawdown). Others have documented higher abundance of collector-gatherers above vs. below impoundments (e.g., [66]). While our sample averages would seem to support this (e.g., pre-removal average at ZAD of 60.0 per sample vs. 14.5 at ZBD), sample variability did not produce statistical differences. These differences persisted post-removal at ZAD and ZBD but were only significant during drawdown. It is worth considering whether or not there was increased patchiness and sample variability downstream from the former dam, in part due to disturbance effects that, while differing with dam stage, were likely greater at the downstream sample site [67,68].
One of the most pronounced effects was a decline in collector-filterers at ZBD. Since they feed on fine particulate organic matter [43], they may have been negatively-impacted by post-dam removal sedimentation supplied by the removal of the upstream impoundment [22,45]. Changes in macroinvertebrate assemblages in response to temporal changes in organic matter are well-documented [69,70,71,72] and demonstrate the importance of debris flow following dam removal as a regulator of stream community composition.
4.2. Dam Removal Effects on BMI Community Structure
Our results support the idea of a lag in recovery and increased or persistent impairment of the below dam community, as documented by others (e.g., [21,28]). Although the community composition of the three samples sites was becoming more similar over the study period, the three sample sites remained distinct in terms of BMI composition, which suggests that the BMI community continued to be in a state of reorganization, even 3 years post-dam removal. Similar continued community reorganization effects have also been well-documented in other studies (e.g., [73,74]). For example, Ahearn and Dahlgren [74] found downstream dam removal effects on BMI communities up to tens of kilometers away. This helps to explain the persistent lag of “recovery” in the below dam community and its relatively greater downstream effects, which may persist beyond the timespan of usual short-term ecological monitoring programs that evaluate stream recovery following restoration.
4.3. Community Stability and Dam Removal
Stream resilience includes the concepts of rates of return as well as inertia [36]. REF was the most resilient and least reactive of sites, while ZBD displayed intermediate resilience and greatest reactivity (according to one metric), and ZAD was the least resilient sample site (Table 3). The latter is not surprising because the channel width, substrate, and flow changed most dramatically. Toward the end of the study period, faster flow, a narrower and deeper channel, and even some patches of rocky substrate were established. Both dam sites were much more reactive than the reference site. The more dynamic fluctuation of the ZAD BMI community relative to the communities at ZBD and REF in response to dam removal is not surprising since this site experienced the largest changes (i.e., it went from a pool to a stream) over the study period. These results corroborate other dam removal research on BMI dynamics [21,28,75] that also identified dramatic changes in invertebrate community composition at above the dam sites. These metrics were also calculated for the fish community in a previous study [37], which also showed that the fish communities at the two dam sites were less resilient and more reactive than REF. Interestingly, both the fish and BMI data indicated that ZBD was the most reactive for the metric . In both cases, this was due to the presence of a dominant eigenvector within the species interaction matrix, B, that resulted from a pattern of turnover.
There were no clear interannual trends across sites, but that does not remove the possibility of other environmental variables as influences on the results of the present study. For example, floods may have similar effects on substrate movement [13,21,62,76,77] and drought events can influence invertebrate movement and abundance (e.g., [68,78]). In addition to sporadic high-water events, some of which the sampling schedule naturally avoided, the study period included drought conditions of various duration and severity in three years.
The use of the far downstream site (REF) as reference was validated by metrics which included the site’s greater diversity and abundance of taxa associated with higher water quality (EPT-, which also represented the majority of indicator taxa for the site), and shredders (consistent with the quality of organic matter there); similar results have been documented elsewhere [25]. Finer scale analysis could support what appears to be a trend of increasing shredder abundance at all three sites, which is often the case for undammed streams [71]. While the REF site was presumed to be beyond the reach of dam removal effects, it is interesting to note that species richness was higher there post-removal (average of 13.5 taxa/sample) than during pre-removal or drawdown (versus 9.9 and 7.1 taxa/sample, respectively). It could also be that the increased richness at REF was responsible for the decreased dissimilarity between REF and the two dam sites.
5. Conclusions
The goals of dam removal projects include increased connectivity, restoration of natural flow, and re-establishment of biological communities and river system function indicative of free-flowing rivers. While the goal of river restoration is clear, our results also demonstrate that the dam removal process comprises a high-magnitude change to a stream system that has experienced chronic and sustained flow alteration regime for more than 200 years. Our results indicate that community reorganization following dam removal is site-specific, and that while the above and below dam sites are part of the same stream system, dramatically different changes can occur at each site in response to dam removal. Our results are consistent with the growing body of research on the ecological effects of dam removal in that it demonstrates that stream BMI community composition and interactions shift quickly in response to changes in water quantity and quality, and that the greater the alteration of a site prior to, during, and after a dam removal event, the more reactive and less resilient the stream community.
The results from this study signal the need for implementing more widespread, comprehensive, and long-term biological monitoring of dam removals to generate better decision support tools for managers to carry out successful stream restoration. While some of the trends we observed were consistent with other prior dam removal research, our results also indicated that each stream community will respond uniquely to dam removal, and that site conditions during and following stream restoration can have significant effects on the post-dam removal biotic community composition and taxa interactions. Thus, simply restoring the hydrological regime will not necessarily bring back free-flowing stream BMI taxa within three years following a dam removal event, especially when the recovery process relies on complex interactions among taxa, local species pools, and environmental conditions. Few studies have investigated the interactions among BMI functional feeding groups in a river restoration context such as the one MAR analysis of BMI community stability. More multivariate analyses using complex statistical models and other data mining techniques on individual and multiple studies can provide great insights into general trends in stream ecosystem dynamics following dam removal worldwide. Our results also suggest that the BMI community continues to recover and change over time and that community recovery following dam removal may take decades or even centuries, especially since the original dam structure at the Zemko site had been in place for over 200 years. While costly, long-term biological monitoring of stream communities well after the dam removal itself will provide many answers about the process and mechanisms of recovery in response to dam removal.
Author Contributions
B.C. designed the experiment. A.W.W. orchestrated the dam removal. B.C., K.E.M., M.L.K., and R.H. conducted the BMI surveys. H.M.P. analyzed the data. All authors contributed to the writing and syntheses.
Funding
This project was completed using combined funds from Menakka and Essel Bailey, the Schumann Foundation, The Nature Conservancy, or project grants from Wesleyan University to BC or the College of the Environment. Student support and internships were provided by the Mellon Foundation, the Hughes Foundation, and Schumann Foundations.
Acknowledgments
The authors thank Valerie Marinelli and Susan Lastrina for administrative and logistical support and Sarah Donelan for field assistance.
Conflicts of Interest
The authors declare no conflict of interest.
Appendix A
Table A1.
Location, basin, and habitat characteristics of the three study sites (ZAD-above dam, ZBD-below dam, and REF-reference).
Table A1.
Location, basin, and habitat characteristics of the three study sites (ZAD-above dam, ZBD-below dam, and REF-reference).
| Location, Basin and Habitat Characteristic Information on Study Sites | |||||||||
|---|---|---|---|---|---|---|---|---|---|
| Site | Basin Area (km2) | Distance from Source (km) | Mean Wet Width (m) I | Dominant Substrate II | Canopy | % Riffles III | Water Slope (%) of Reach | N | W |
| ZAD | 16.92 | 0.74 | 5.25 | 43% silt, 35% sand | 0% | 0 | 0.14 | 41°29’41” | 72°16’59” |
| ZBD | 17.11 | 0.96 | 5.33 | 38% gravel, 30% sand | 67% | 25 IV | 0.15 | 41°29’34” | 72°16’58” |
| REF | 54.39 | 7.93 | 7.83 | 57% cobble, 22% gravel | 50% | 65 | 0.98 | 41°26’31” | 72°18’22” |
I = 2009–2010. II = mean % in 2009 of two greatest size categories; silt=fine, suspended, sand <0.25 cm, gravel = 0.25–5.1 cm. III = in study fishing reach and riffle. IV = Estimated.
Appendix B
Table A2.
Post-hoc results. Abbreviations: lsmean stands for least squares mean.
Table A2.
Post-hoc results. Abbreviations: lsmean stands for least squares mean.
| Site by Stage Interaction Effects | |||||||
|---|---|---|---|---|---|---|---|
| Site | Stage | lsmean | SE | df | Lower CL | Upper CL | Post-hoc |
| Abundance | |||||||
| REF | drawdown | 29.05 | 12.30 | 70.29 | –6.04 | 64.14 | ab |
| REF | post | 58.75 | 13.58 | 67.78 | 19.97 | 97.53 | abc |
| REF | pre | 45.06 | 11.77 | 47.75 | 10.96 | 79.16 | abc |
| ZAD | drawdown | 101.55 | 14.23 | 90.14 | 61.22 | 141.87 | c |
| ZAD | post | 77.09 | 12.18 | 45.12 | 41.72 | 112.47 | bc |
| ZAD | pre | 82.13 | 35.96 | 174.10 | –18.58 | 182.84 | abc |
| ZBD | drawdown | 38.76 | 12.92 | 76.04 | 1.98 | 75.53 | ab |
| ZBD | post | 27.53 | 13.79 | 71.19 | –11.79 | 66.86 | a |
| ZBD | pre | 72.31 | 21.28 | 127.51 | 12.45 | 132.17 | abc |
| Richness | |||||||
| REF | drawdown | 7.08 | 1.12 | 10.07 | 3.16 | 10.99 | ab |
| REF | pre | 9.86 | 1.09 | 8.91 | 5.94 | 13.79 | abc |
| REF | post | 13.49 | 1.06 | 17.51 | 10.16 | 16.81 | c |
| ZAD | pre | 8.12 | 2.40 | 95.30 | 1.33 | 14.91 | abc |
| ZAD | post | 9.39 | 0.98 | 13.06 | 6.15 | 12.64 | ab |
| ZAD | drawdown | 10.14 | 1.20 | 13.35 | 6.18 | 14.10 | bc |
| ZBD | post | 6.52 | 1.07 | 18.25 | 3.18 | 9.86 | ab |
| ZBD | drawdown | 6.70 | 1.15 | 11.04 | 2.78 | 10.62 | a |
| ZBD | pre | 7.16 | 1.60 | 33.07 | 2.43 | 11.90 | abc |
| EPT- | |||||||
| REF | drawdown | 16.20 | 5.43 | 13.38 | –1.66 | 34.06 | a |
| REF | pre | 18.98 | 5.12 | 10.53 | 1.26 | 36.69 | a |
| REF | post | 25.85 | 5.40 | 28.02 | 9.68 | 42.02 | a |
| ZAD | pre | 11.54 | 13.63 | 147.58 | –26.71 | 49.79 | a |
| ZAD | drawdown | 14.16 | 6.01 | 19.77 | –4.49 | 32.81 | a |
| ZAD | post | 22.12 | 4.83 | 17.71 | 6.93 | 37.32 | a |
| ZBD | post | 10.60 | 5.48 | 29.70 | –5.73 | 26.94 | a |
| ZBD | drawdown | 11.08 | 5.62 | 15.21 | –7.00 | 29.16 | a |
| ZBD | pre | 13.54 | 8.63 | 46.83 | –11.47 | 38.55 | a |
| EVAR | |||||||
| REF | drawdown | 0.70 | 0.05 | 7.60 | 0.51 | 0.89 | cd |
| REF | post | 0.64 | 0.05 | 18.85 | 0.47 | 0.80 | bd |
| REF | pre | 0.66 | 0.05 | 7.41 | 0.47 | 0.86 | abcd |
| ZAD | drawdown | 0.45 | 0.06 | 10.83 | 0.26 | 0.64 | ab |
| ZAD | post | 0.48 | 0.05 | 15.28 | 0.32 | 0.64 | ac |
| ZAD | pre | 0.46 | 0.11 | 101.39 | 0.14 | 0.78 | abcd |
| ZBD | drawdown | 0.62 | 0.05 | 8.58 | 0.43 | 0.81 | cd |
| ZBD | post | 0.68 | 0.05 | 19.47 | 0.51 | 0.84 | bd |
| ZBD | pre | 0.58 | 0.07 | 27.10 | 0.36 | 0.80 | abcd |
| Collector-gatherers | |||||||
| REF | drawdown | 11.83 | 5.19 | 9.05 | –6.86 | 30.53 | a |
| REF | post | 16.40 | 5.76 | 27.05 | –0.90 | 33.70 | a |
| REF | pre | 22.67 | 5.62 | 12.27 | 3.89 | 41.46 | a |
| ZAD | post | 39.22 | 8.11 | 65.27 | 16.04 | 62.40 | a |
| ZAD | pre | 59.99 | 22.85 | 88.99 | –4.78 | 124.77 | ab |
| ZAD | drawdown | 80.10 | 8.68 | 50.35 | 55.03 | 105.17 | b |
| ZBD | post | 8.09 | 8.11 | 65.27 | –15.09 | 31.28 | a |
| ZBD | pre | 14.55 | 13.24 | 62.04 | –23.39 | 52.48 | a |
| ZBD | drawdown | 16.54 | 7.67 | 36.35 | –6.00 | 39.07 | a |
| Collector-filterers | |||||||
| REF | drawdown | 8.34 | 2.61 | 11.58 | –0.51 | 17.19 | a |
| REF | post | 6.98 | 2.85 | 30.90 | –1.49 | 15.45 | a |
| REF | pre | 9.23 | 2.81 | 15.20 | 0.18 | 18.27 | a |
| ZAD | drawdown | 2.25 | 4.26 | 53.34 | –10.02 | 14.53 | a |
| ZAD | post | 7.67 | 3.96 | 66.86 | –3.66 | 19.00 | a |
| ZAD | pre | –0.21 | 11.09 | 88.98 | –31.65 | 31.23 | a |
| ZBD | drawdown | 9.07 | 3.78 | 40.03 | –1.98 | 20.11 | ab |
| ZBD | post | 8.23 | 3.96 | 66.86 | –3.10 | 19.56 | ab |
| ZBD | pre | 32.24 | 6.48 | 67.04 | 13.72 | 50.75 | b |
| Site Effects | |||||||
| H′ | |||||||
| ZBD | NS | 1.48 | 0.07 | 44.25 | 1.32 | 1.64 | a |
| ZAD | NS | 1.48 | 0.09 | 109.44 | 1.26 | 1.70 | a |
| REF | NS | 1.85 | 0.05 | 22.62 | 1.72 | 1.98 | b |
| Shredders | |||||||
| ZAD | NS | 0.82 | 2.14 | 84.77 | –4.38 | 6.03 | ab |
| ZBD | NS | 1.29 | 1.48 | 56.77 | –2.34 | 4.92 | a |
| REF | NS | 5.83 | 0.87 | 16.19 | 3.50 | 8.15 | b |
Appendix C
Table A3.
Functional feeding groups (FFG) included: CG=collector-gatherer, CF=collector-filterer, P=predator, SH=shredder, SC=scraper. A designation was given when the majority of species in a family shared a common feeding strategy, and none was specified when species had diverse feeding strategies (CT DEEP, 2004; US EPA 2011). Relative average abundance per sample denoted by shading: white = 1+, light gray = 0.1−1, dark gray = 0. Family designations from the beginning of the study were maintained to enable comparison across all sampling years. This sometimes required combining taxonomic groups: Oligochaeta include Nemertina, Baetidae include Ameltidae, and Polycentripodidae include Psychomyiidae. When FFG are not specified it is because the family is comprised of species with different feeding strategies.
Table A3.
Functional feeding groups (FFG) included: CG=collector-gatherer, CF=collector-filterer, P=predator, SH=shredder, SC=scraper. A designation was given when the majority of species in a family shared a common feeding strategy, and none was specified when species had diverse feeding strategies (CT DEEP, 2004; US EPA 2011). Relative average abundance per sample denoted by shading: white = 1+, light gray = 0.1−1, dark gray = 0. Family designations from the beginning of the study were maintained to enable comparison across all sampling years. This sometimes required combining taxonomic groups: Oligochaeta include Nemertina, Baetidae include Ameltidae, and Polycentripodidae include Psychomyiidae. When FFG are not specified it is because the family is comprised of species with different feeding strategies.
| Benthic Macroinvertebrate Taxa List by Group and Site | Relative Abundance by Site | |||||||
|---|---|---|---|---|---|---|---|---|
| Order/Class | Family | Acronym | FFG | Non-Insect | EPT- | ZAD | ZBD | REF |
| Amphipoda | AmSc | CG | X | |||||
| Hirudinea | AnHr | P | X | |||||
| Oligochaeta | AnOl | CG | X | |||||
| Acariformes | Hydracarina | ArHy | P | X | ||||
| Bivalvia | Sphaeriidae | BvSp | CF | X | ||||
| Coleoptera | Dytiscidae | ClDy | P | |||||
| Coleoptera | Elmidae | ClEl | SC | |||||
| Coleoptera | Grynidae | ClGy | P | |||||
| Coleoptera | Haliplidae | ClHa | SH | |||||
| Coleoptera | Hydrophilidae | ClHy | ||||||
| Coleoptera | Psephenidae | ClPs | SC | |||||
| Collembola | Isotomidae | CmIs | CG | X | ||||
| Collembola | Sminthuridae | CmSm | CG | X | ||||
| Conchostraca | Eulimnadia | CoEu | X | |||||
| Diptera | Athericidae | DtAt | P | |||||
| Diptera | Chironomidae | DtCh | CG | |||||
| Diptera | Ceratopogonidae | DtCr | P | |||||
| Diptera | Culicidae | DtCu | CF | |||||
| Diptera | Empididae | DtEm | P | |||||
| Diptera | Simuliidae | DtSm | CF | |||||
| Diptera | Tabanidae | DtTb | P | |||||
| Diptera | Tipulidae | DtTp | SH | |||||
| Ephemeroptera | Baetidae* | EpBt | CG | X | ||||
| Ephemeroptera | Caenidae | EpCn | CG | X | ||||
| Ephemeroptera | Ephemerellidae | EpEp | CG | X | ||||
| Ephemeroptera | Heptagenidae | EpHp | SC | X | ||||
| Ephemeroptera | Isonychiidae | EpIs | CG | X | ||||
| Ephemeroptera | Leptohyphidae | EpLh | CG | X | X | |||
| Ephemeroptera | Lepotophlebiidae | EpLp | CG | X | X | |||
| Gastropoda | Hydrobiidae | GaHy | SC | X | ||||
| Gastropoda | Physidae | GaPh | CG | X | ||||
| Gastropoda | Planorbidae | GaPl | SC | X | ||||
| Hemiptera | Corixidae | HmCo | P | X | ||||
| Isopoda | IsSw | CG | X | |||||
| Lepidoptera | Pyralidae | LpPy | SH | |||||
| Megaloptera | Corydalidae | MgCr | P | |||||
| Megaloptera | Sialidae | MgSi | P | |||||
| Odonata | Aeshnidae | OdAs | P | |||||
| Odonata | Calopterygidae | OdCl | P | |||||
| Odonata | Coenagrionidae | OdCn | P | |||||
| Odonata | Gomphidae | OdGm | P | |||||
| Odonata | Libellulidae | OdLb | P | |||||
| Odonata | Lestidae | OdLS | P | |||||
| Platyhelminthes | PhTb | P | X | |||||
| Plecoptera | Chloroperlidae | PlCh | X | |||||
| Plecoptera | Capnidae | PlCp | SH | X | ||||
| Plecoptera | Leuctridae | PlLc | SH | X | ||||
| Plecoptera | Perlidae | PlPl | P | X | ||||
| Plecoptera | Perlodidae | PlPr | P | X | ||||
| Plecoptera | Taeniopterygidae | PlTn | SH | X | ||||
| Trichoptera | Brachycentridae | TcBr | SH | X | ||||
| Trichoptera | Glossosomatidae | TcGl | SC | X | ||||
| Trichoptera | Hydroptilidae | TcHd | X | |||||
| Trichoptera | Helicopsychidae | TcHl | SC | X | ||||
| Trichoptera | Hydropsychidae | TcHy | CF | |||||
| Trichoptera | Limnephilidae | TcLm | SH | X | ||||
| Trichoptera | Lepidostomatidae | TcLp | SC | X | ||||
| Trichoptera | Leptoceridae | TcLt | X | |||||
| Trichoptera | Odontoceridae | TcOd | SC | X | ||||
| Trichoptera | Philopotamidae | TcPh | CF | X | ||||
| Trichoptera | Polycentropodidae | TcPl/Ps | X | |||||
| Trichoptera | Rhyacophilidae | TcRy | P | X | ||||
Appendix D
Table A4.
Similarity percentage (SIMPER) and two-way analysis of similarity (ANOSIM) results by dam stage and site-by-site comparisons. BMI family acronyms are described in Appendix B.
Table A4.
Similarity percentage (SIMPER) and two-way analysis of similarity (ANOSIM) results by dam stage and site-by-site comparisons. BMI family acronyms are described in Appendix B.
| Aggregate % Dissimilarity | Dam Stage | BMI Family | % Dissimilarity per Taxon | Mean Abundance Group 1 | Mean Abundance Group 2 |
|---|---|---|---|---|---|
| Reference-Above Dam | |||||
| 81.7 | pre | DtCh | 32.1 | 11.1 | 34.0 |
| EpLp | 39.9 | 0.0 | 6.7 | ||
| AmSc | 46.5 | 0.0 | 5.7 | ||
| 88.2 | drawdown | AnOl | 26.3 | 0.1 | 32.8 |
| AmSc | 42.3 | 0.0 | 23.1 | ||
| 72.2 | post | DtCh | 20.8 | 14.0 | 21.2 |
| TcHy | 32.3 | 8.4 | 4.6 | ||
| AnOl | 43.3 | 2.5 | 9.1 | ||
| TcBr | 48.6 | 4.2 | 0.0 | ||
| Above dam-Below Dam | |||||
| 80.8 | pre | DtCh | 29.1 | 34.0 | 12.6 |
| TcHy | 44.7 | 0.0 | 24.9 | ||
| ClEl | 51.6 | 0.3 | 7.7 | ||
| 78.1 | drawdown | AnOl | 26.7 | 32.8 | 0.9 |
| AmSc | 43.2 | 23.1 | 1.0 | ||
| 77.3 | post | DtCh | 26.6 | 21.2 | 4.9 |
| AnOl | 40.3 | 9.1 | 0.2 | ||
| TcHy | 49.8 | 4.6 | 5.1 | ||
| Reference-Below Dam | |||||
| 76.1 | pre | TcHy | 22.0 | 6.0 | 24.9 |
| DtCh | 38.0 | 11 | 12.6 | ||
| ClEl | 47.0 | 2.0 | 7.7 | ||
| 76.9 | drawdown | DtCh | 18.6 | 4.2 | 10.3 |
| TcHy | 32.5 | 6.2 | 5.4 | ||
| TcBr | 45.4 | 7.8 | 0.1 | ||
| 70.4 | post | DtCh | 16.1 | 14.0 | 4.9 |
| TcHy | 29.1 | 8.4 | 5.1 | ||
| TcBr | 37.0 | 4.2 | 0.0 | ||
| EpHp | 43.4 | 1.3 | 3.9 | ||
| PlLc | 49.4 | 2.7 | 2.6 | ||
Families differed significantly among dam stages (R = 0.091, P = 0.0374) and sites (R = 0.60, P = 0.0001) according to a two-way analysis of similarity (ANOSIM).
References
- Eng, K.; Wolock, D.M.; Carlisle, D.M. River flow changes related to land and water management practices across the conterminous united states. Sci. Total Environ. 2013, 463, 414–422. [Google Scholar] [CrossRef]
- Rosenberg, D.M.; McCully, P.; Pringle, C.M. Global-scale environmental effects of hydrological alterations: Introduction. BioScience 2000, 50, 746–751. [Google Scholar] [CrossRef]
- Brandt, S.A. Classification of geomorphological effects downstream of dams. Catena 2000, 40, 375–401. [Google Scholar] [CrossRef]
- Hart, D.D.; Poff, N.L. A special section on dam removal and river restoration. BioScience 2002, 52, 653–655. [Google Scholar] [CrossRef]
- Poff, N.L.; Zimmerman, J.K.H. Ecological responses to altered flow regimes: A literature review to inform the science and management of environmental flows. Freshw. Biol. 2010, 55, 194–205. [Google Scholar] [CrossRef]
- Perkin, J.S.; Gido, K.B.; Cooper, A.R.; Turner, T.F.; Osborne, M.J.; Johnson, E.R.; Mayes, K.B. Fragmentation and dewatering transform great plains stream fish communities. Ecol. Monogr. 2015, 85, 73–92. [Google Scholar] [CrossRef]
- Petts, G.E. Long-term consequences of upstream impoundment. Environ. Conserv. 1980, 7, 325–332. [Google Scholar] [CrossRef]
- Poff, N.L.; Allan, J.D.; Bain, M.B.; Karr, J.R.; Prestegaard, K.L.; Richter, B.D.; Sparks, R.E.; Stromberg, J.C. The natural flow regime. BioScience 1997, 47, 769–784. [Google Scholar] [CrossRef]
- Alo, D.; Turner, T.F. Effects of habitat fragmentation on effective population size in the endangered rio grande silvery minnow. Conserv. Biol. 2005, 19, 1138–1148. [Google Scholar] [CrossRef]
- Bushaw-Newton, K.L.; Hart, D.D.; Pizzuto, J.E.; Thomson, J.R.; Egan, J.; Ashley, J.T.; Johnson, T.E.; Horwitz, R.J.; Keeley, M.; Lawrence, J. An integrative approach towards understanding ecological responses to dam removal: The manatawny creek study. J. Am. Water Resour. Assoc. 2002, 38, 1581–1599. [Google Scholar] [CrossRef]
- Poff, N.L.; Olden, J.D.; Merritt, D.M.; Pepin, D.M. Homogenization of regional river dynamics by dams and global biodiversity implications. Proc. Natl. Acad. Sci. USA 2007, 104, 5732–5737. [Google Scholar] [CrossRef]
- Bernhardt, E.S.; Palmer, M.A. River restoration: The fuzzy logic of repairing reaches to reverse catchment scale degradation. Ecol. Appl. 2011, 21, 1926–1931. [Google Scholar] [CrossRef]
- Stanley, E.H.; Doyle, M.W. Trading off: The ecological effects of dam removal. Front. Ecol. Environ. 2003, 1, 15–22. [Google Scholar] [CrossRef]
- Bellmore, R.; Duda, J.J.; Craig, L.S.; Greene, S.L.; Torgersen, C.E.; Collins, M.J.; Vittum, K. Status and trends of dam removal research in the united states. Wiley Interdiscip. Rev. Water 2017, 4, e1164. [Google Scholar] [CrossRef]
- Foley, M.M.; Bellmore, J.; O’Connor, J.E.; Duda, J.J.; East, A.E.; Grant, G.; Anderson, C.W.; Bountry, J.A.; Collins, M.J.; Connolly, P.J. Dam removal: Listening in. Water Resour. Res. 2017, 53, 5229–5246. [Google Scholar] [CrossRef]
- Ding, L.; Chen, L.; Ding, C.; Tao, J. Global trends in dam removal and related research: A systematic review based on associated datasets and bibliometric analysis. Chin. Geogr. Sci. 2019, 29, 1–12. [Google Scholar] [CrossRef]
- Gangloff, M.M. Taxonomic and ecological tradeoffs associated with small dam removals. Aquat. Conserv. Mar. Freshw. Ecosyst. 2013, 23, 475–480. [Google Scholar] [CrossRef]
- Bednarek, A.T. Undamming rivers: A review of the ecological impacts of dam removal. Environ. Manag. 2001, 27, 803–814. [Google Scholar] [CrossRef]
- Gillette, D.; Daniel, K.; Redd, C. Fish and benthic macroinvertebrate assemblage response to removal of a partially breached lowhead dam. River Res. Appl. 2016, 32, 1776–1789. [Google Scholar] [CrossRef]
- Claeson, S.; Coffin, B. Physical and biological responses to an alternative removal strategy of a moderate-sized dam in washington, USA. River Res. Appl. 2015, 32, 1143–1152. [Google Scholar] [CrossRef]
- Orr, C.H.; Kroiss, S.J.; Rogers, K.L.; Stanley, E.H. Downstream benthic responses to small dam removal in a coldwater stream. River Res. Appl. 2008, 24, 804–822. [Google Scholar] [CrossRef]
- Pollard, A.I.; Reed, T. Benthic invertebrate assemblage change following dam removal in a wisconsin stream. Hydrobiologia 2004, 513, 51–58. [Google Scholar] [CrossRef]
- Pizzuto, J. Effects of dam removal on river form and process. BioScience 2002, 52, 683–691. [Google Scholar] [CrossRef]
- Mbaka, J.G.; Wanjiru Mwaniki, M. A global review of the downstream effects of small impoundments on stream habitat conditions and macroinvertebrates. Environ. Rev. 2015, 23, 257–262. [Google Scholar] [CrossRef]
- Tiemann, J.S.; Gillette, D.P.; Wildhaber, M.L.; Edds, D.R. Effects of lowhead dams on riffle-dwelling fishes and macroinvertebrates in a midwestern river. Trans. Am. Fish. Soc. 2004, 133, 705–717. [Google Scholar] [CrossRef]
- Hansen, J.F.; Hayes, D.B. Long germ implications of dam removal for macroinvertebrate communities in michigan and wisconsin rivers, united states. River Res. Appl. 2012, 28, 1540–1550. [Google Scholar] [CrossRef]
- Louhi, P.; Mykrä, H.; Paavola, R.; Huusko, A.; Vehanen, T.; Mäki-Petäys, A.; Muotka, T. Twenty years of stream restoration in finland: Little response by benthic macroinvertebrate communities. Ecol. Appl. 2011, 21, 1950–1961. [Google Scholar] [CrossRef]
- Renöfält, B.; Lejon, A.G.; Jonsson, M.; Nilsson, C. Long-term taxon-specific responses of macroinvertebrates to dam removal in a mid-sized swedish stream. River Res. Appl. 2013, 29, 1082–1089. [Google Scholar] [CrossRef]
- Foley, M.M.; Warrick, J.A.; Ritchie, A.; Stevens, A.W.; Shafroth, P.B.; Duda, J.J.; Beirne, M.M.; Paradis, R.; Gelfenbaum, G.; McCoy, R. Coastal habitat and biological community response to dam removal on the elwha river. Ecol. Monogr. 2017, 87, 552–577. [Google Scholar] [CrossRef]
- Itsukushima, R.; Ohtsuki, K.; Sato, T.; Kano, Y.; Takata, H.; Yoshikawa, H. Effects of sediment released from a check dam on sediment deposits and fish and macroinvertebrate communities in a small stream. Water 2019, 11, 716. [Google Scholar] [CrossRef]
- Carlson, P.E.; Donadi, S.; Sandin, L. Responses of macroinvertebrate communities to small dam removals: Implications for bioassessment and restoration. J. Appl. Ecol. 2018, 55, 1896–1907. [Google Scholar] [CrossRef]
- Tonitto, C.; Riha, S.J. Planning and implementing small dam removals: Lessons learned from dam removals across the eastern united states. Sustain. Water Resour. Manag. 2016, 2, 489–507. [Google Scholar] [CrossRef]
- Bellmore, J.R.; Pess, G.R.; Duda, J.J.; O’connor, J.E.; East, A.E.; Foley, M.M.; Wilcox, A.C.; Major, J.J.; Shafroth, P.B.; Morley, S.A. Conceptualizing ecological responses to dam removal: If you remove it, what’s to come? BioScience 2019, 69, 26–39. [Google Scholar] [CrossRef]
- Morley, S.A.; Duda, J.J.; Coe, H.J.; Kloehn, K.K.; McHenry, M.L. Benthic invertebrates and periphyton in the elwha river basin: Current conditions and predicted response to dam removal. Northwest Sci. 2008, 82, 179–197. [Google Scholar] [CrossRef]
- Kibler, K.; Tullos, D.; Kondolf, G. Learning from dam removal monitoring: Challenges to selecting experimental design and establishing significance of outcomes. River Res. Appl. 2011, 27, 967–975. [Google Scholar] [CrossRef]
- Poulos, H.M.; Chernoff, B. Effects of dam removal on fish community interactions and stability in the eightmile river system, connecticut, USA. Environ. Manag. 2016, 59, 1–15. [Google Scholar] [CrossRef]
- Poulos, H.M.; Miller, K.E.; Kraczkowski, M.L.; Welchel, A.W.; Heineman, R.; Chernoff, B. Fish assemblage response to a small dam removal in the eightmile river system, connecticut, USA. Environ. Manag. 2014, 54, 1090–1101. [Google Scholar] [CrossRef]
- Maloney, K.O.; Dodd, H.; Butler, S.E.; Wahl, D.H. Changes in macroinvertebrate and fish assemblages in a medium-sized river following a breach of a low-head dam. Freshw. Biol. 2008, 53, 1055–1068. [Google Scholar] [CrossRef]
- Shirey, P.; Brueseke, M.; Kenny, J.; Lamberti, G. Long-term fish community response to a reach-scale stream restoration. Ecol. Soc. 2016, 21, 11. [Google Scholar] [CrossRef]
- Fosburgh, J.; Case, K.; Hearne, D. Eigtmile Wild and Scenic Study; National Park Service: Haddam, CT, USA, 2006. [Google Scholar]
- Bellucci, C.J.; Becker, M.; Beauchene, M. Characteristics of macroinvertebrate and fish communities from 30 least disturbed small streams in connecticut. Northeast. Nat. 2011, 18, 411–444. [Google Scholar] [CrossRef]
- Olins, H. Comparative Methods for Sampling and Analyzing Benthic Macroinvertebrate Communities in the Lower Connecticut River Basin; Wesleyan University: Middletown, CT, USA, 2005. [Google Scholar]
- Voshell, J.R.; Wright, A.B. A Guide to Common Freshwater Invertebrates of North America; McDonald & Woodward Pub.: Granville, OH, USA, 2002. [Google Scholar]
- Tolonen, K.E.; Leinonen, K.; Marttila, H.; Erkinaro, J.; Heino, J. Environmental predictability of taxonomic and functional community composition in high-latitude streams. Freshw. Biol. 2016, 62, 1–16. [Google Scholar] [CrossRef]
- Takao, A.; Kawaguchi, Y.; Minagawa, T.; Kayaba, Y.; Morimoto, Y. The relationships between benthic macroinvertebrates and biotic and abiotic environmental characteristics downstream of the yahagi dam, central japan, and the state change caused by inflow from a tributary. River Res. Appl. 2008, 24, 580–597. [Google Scholar] [CrossRef]
- Wallace, J.B.; Webster, J.R. The role of macroinvertebrates in stream ecosystem function. Annu. Rev. Entomol. 1996, 41, 115–139. [Google Scholar] [CrossRef]
- Lenat, D.R.; Barbour, M.T. Using benthic macroinvertebrate community structure for rapid, cost-effective, water quality monitoring: Rapid bioassessment. In Proceeding of the SIL Conference on Biological Monitoring of Aquatic Systems; Lewis Press: Birżebbuġa, Malta, 1994; pp. 187–215. [Google Scholar]
- Penrose, D.; Call, S.M. Volunteer monitoring of benthic macroinvertebrates: Regulatory biologists’ perspectives. J. N. Am. Benthol. Soc. 1995, 14, 203–209. [Google Scholar] [CrossRef]
- Davis, S.; Golladay, S.W.; Vellidis, G.; Pringle, C.M. Macroinvertebrate biomonitoring in intermittent coastal plain streams impacted by animal agriculture. J. Environ. Qual. 2003, 32, 1036–1043. [Google Scholar] [CrossRef]
- Shannon, C.E.; Weaver, W. The Mathematical Theory of Information; Springer Nature: Basel, Switzerland, 1949. [Google Scholar]
- Heip, C.; Engels, P. Comparing species diversity and evenness indices. J. Mar. Biol. Assoc. U. K. 1974, 54, 559–563. [Google Scholar] [CrossRef]
- Atmar, W.; Patterson, B.D. The measure of order and disorder in the distribution of species in fragmented habitat. Oecologia 1993, 96, 373–382. [Google Scholar] [CrossRef]
- R Development Core Team. A Language and Environment for Statistical Computing; R Foundation for Statistical Computing: Vienna, Austria, 2018. [Google Scholar]
- Dufrene, M.; Legendre, P. Species assemblages and indicator species: The need for a flexible asymmetrical approach. Ecol. Monogr. 1997, 67, 345–366. [Google Scholar] [CrossRef]
- McCune, B.; Mefford, M.J. PC-ORD Multivariate Analysis of Ecological Data; MjM Software Design: Gleneden Beach, OR, USA, 2011. [Google Scholar]
- Clarke, K.R. Non-parametric multivariate analyses of changes in community structure. Aust. J. Ecol. 1993, 18, 117–143. [Google Scholar] [CrossRef]
- Hammer, Ø.; Harper, D.A.; Ryan, P.D. Past: Paleontological statistics software package for education and data analysis. Palaeontol. Electron. 2001, 4, 9. [Google Scholar]
- Beisner, B.E.; Haydon, D.T.; Cuddington, K. Alternative stable states in ecology. Front. Ecol. Environ. 2003, 1, 376–382. [Google Scholar] [CrossRef]
- Scheef, L.P. Multivariate Autoregressive Modeling for Analysis of Community Time-Series Data, version 1; The University of Texas: Austin, TX, USA, 2013. [Google Scholar]
- Ives, A.; Dennis, B.; Cottingham, K.; Carpenter, S. Estimating community stability and ecological interactions from time-series data. Ecol. Monogr. 2003, 73, 301–330. [Google Scholar] [CrossRef]
- Hampton, S.E.; Holmes, E.E.; Scheef, L.P.; Scheuerell, M.D.; Katz, S.L.; Pendleton, D.E.; Ward, E.J. Quantifying effects of abiotic and biotic drivers on community dynamics with multivariate autoregressive (mar) models. Ecology 2013, 94, 2663–2669. [Google Scholar] [CrossRef]
- Doyle, M.W.; Stanley, E.H.; Orr, C.H.; Selle, A.R.; Sethi, S.A.; Harbor, J.M. Stream ecosystem response to small dam removal: Lessons from the heartland. Geomorphology 2005, 71, 227–244. [Google Scholar] [CrossRef]
- Walsh, C.J. Biological indicators of stream health using macroinvertebrate assemblage composition: A comparison of sensitivity to an urban gradient. Mar. Freshw. Res. 2006, 57, 37–47. [Google Scholar] [CrossRef]
- Harmsworth, G.R.; Young, R.; Walker, D.; Clapcott, J.; James, T. Linkages between cultural and scientific indicators of river and stream health. N. Z. J. Mar. Freshw. Res. 2011, 45, 423–436. [Google Scholar] [CrossRef]
- Stanley, E.H.; Luebke, M.A.; Doyle, M.W.; Marshall, D.W. Short-term changes in channel form and macroinvertebrate communities following low-head dam removal. J. N. Am. Benthol. Soc. 2002, 21, 172–187. [Google Scholar] [CrossRef]
- Martínez, A.; Larrañaga, A.; Basaguren, A.; Pérez, J.; Mendoza-Lera, C.; Pozo, J. Stream regulation by small dams affects benthic macroinvertebrate communities: From structural changes to functional implications. Hydrobiologia 2013, 711, 31–42. [Google Scholar] [CrossRef]
- Tszydel, M.; Grzybkowska, M.; Kruk, A. Influence of dam removal on trichopteran assemblages in the lowland Drzewiczka river, Poland. Hydrobiologia 2009, 630, 75–89. [Google Scholar] [CrossRef]
- Lake, P. Disturbance, patchiness, and diversity in streams. J. N. Am. Benthol. Soc. 2000, 19, 573–592. [Google Scholar] [CrossRef]
- Quist, M.; Spiegel, J. Population demographics of catostomids in large river ecosystems: Effects of discharge and temperature on recruitment dynamics and growth. River Res. Appl. 2012, 28, 1567–1586. [Google Scholar] [CrossRef]
- Quist, M.C.; Schultz, R.D. Effects of management legacies on stream fish and aquatic benthic macroinvertebrate assemblages. Environ. Manag. 2014, 54, 449–464. [Google Scholar] [CrossRef]
- Smock, L.A.; Metzler, G.M.; Gladden, J.E. Role of debris dams in the structure and functioning of low-gradient headwater streams. Ecology 1989, 70, 764–775. [Google Scholar] [CrossRef]
- Stanford, J.A.; Ward, J.; Liss, W.J.; Frissell, C.A.; Williams, R.N.; Lichatowich, J.A.; Coutant, C.C. A general protocol for restoration of regulated rivers. US Dep. Energy Publ. 1996, 43. [Google Scholar] [CrossRef]
- Kanehl, P.D.; Lyons, J.; Nelson, J.E. Changes in the habitat and fish community of the milwaukee river, wisconsin, following removal of the woolen mills dam. N. Am. J. Fish. Manag. 1997, 17, 387–400. [Google Scholar] [CrossRef]
- Ahearn, D.S.; Dahlgren, R.A. Sediment and nutrient dynamics following a low-head dam removal at murphy creek, california. Limnol. Oceanogr. 2005, 50, 1752–1762. [Google Scholar] [CrossRef]
- Chiu, M.-C.; Yeh, C.-H.; Sun, Y.-H.; Kuo, M.-H. Short-term effects of dam removal on macroinvertebrates in a taiwan stream. Aquat. Ecol. 2013, 47, 245–252. [Google Scholar] [CrossRef]
- Doyle, M.W.; Stanley, E.H.; Luebke, M.A.; Harbor, J.M. In dam removal: Physical, biological, and societal considerations. In Proceedings of the American Society of Civil Engineers Joint Conference on Water Resources Engineering and Water Resources Planning and Management, Minneapolis, MN, USA, 30 July–2 August 2000. [Google Scholar]
- Stanley, E.H.; Catalano, M.J.; Mercado-Silva, N.; Orr, C.H. Effects of dam removal on brook trout in a wisconsin stream. River Res. Appl. 2007, 23, 792–798. [Google Scholar] [CrossRef]
- Hall, L.W., Jr.; Anderson, R.D.; Killen, W.D. Spatiotemporal trends analysis of benthic communities and physical habitat during non-severe drought and severe-drought years in a residential creek in california. Calif. Fish Game 2016, 102, 55–70. [Google Scholar]
© 2019 by the authors. Licensee MDPI, Basel, Switzerland. This article is an open access article distributed under the terms and conditions of the Creative Commons Attribution (CC BY) license (http://creativecommons.org/licenses/by/4.0/).





