Effect of the Addition of Natural Rice Bran Oil on the Thermal, Mechanical, Morphological and Viscoelastic Properties of Poly(Lactic Acid)
Abstract
1. Introduction
2. Materials and Methods
2.1. Materials
2.2. Mixtures Preparation
2.3. Mixtures Characterization
3. Results and Discussion
3.1. Thermogravimetric Analysis of RBO, SO, PLA, and PLA + RBO (5 wt.%) and PLA + SO (5 wt.%) Mixtures
3.2. Morphological Properties of PLA and PLA + RBO (5 wt.%) and PLA + SO (5 wt.%) Mixtures
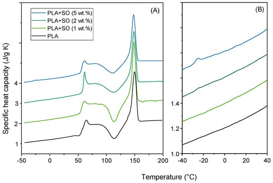
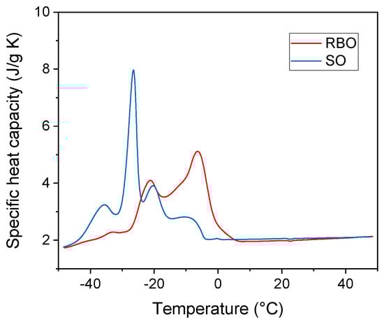
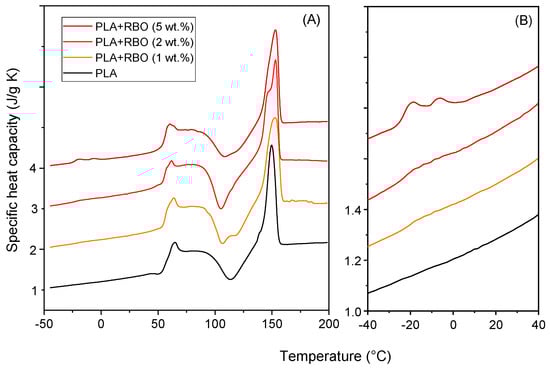
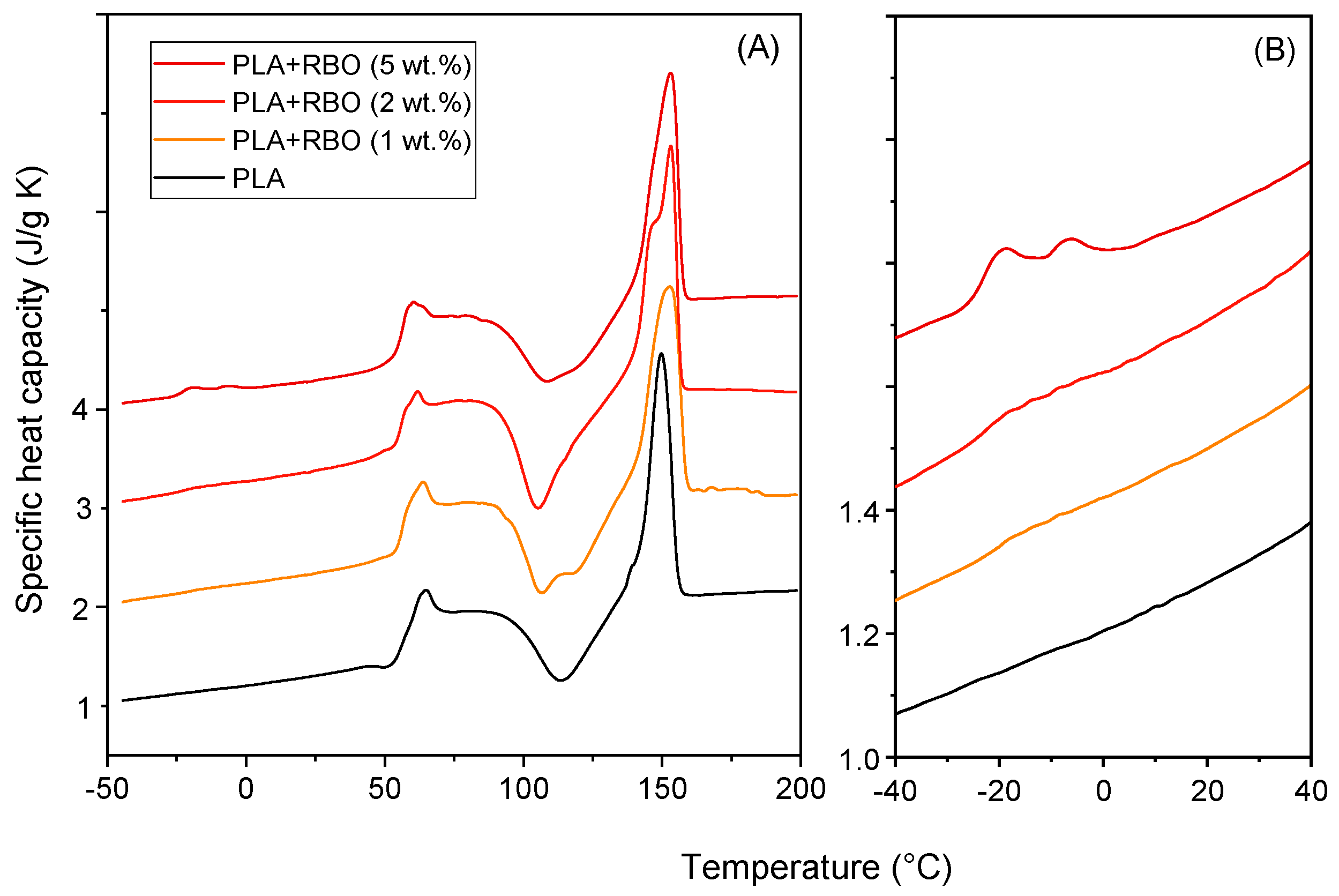
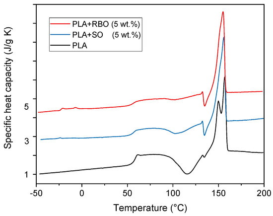
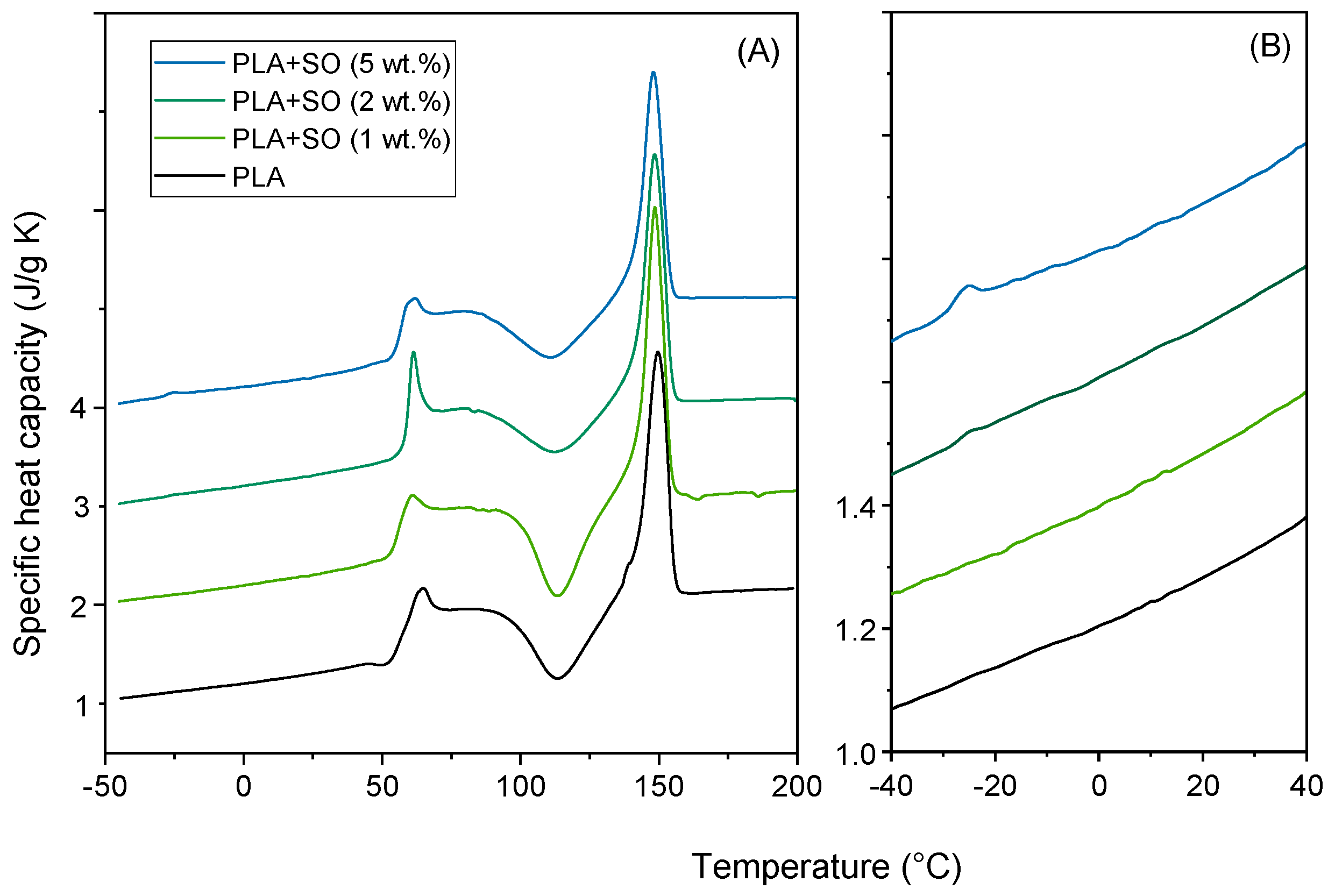
3.3. Thermal Properties of PLA and PLA + RBO and PLA + SO Mixtures
3.4. Mechanical Properties of PLA and PLA + RBO and PLA + SO Mixtures
3.5. Viscoelastic Properties of PLA and PLA + RBO and PLA + SO Mixtures
4. Conclusions
Author Contributions
Funding
Conflicts of Interest
References
- Reddy, M.M.; Vivekanandhan, S.; Misra, M.; Bhatia, S.K.; Mohanty, A.K. Biobased plastics and bionanocomposites: Current status and future opportunities. Prog. Polym. Sci. 2013, 38, 1653–1689. [Google Scholar] [CrossRef]
- Tang, H.; Luan, Y.; Yang, L.; Sun, H. A Perspective on Reversibility in Controlled Polymerization Systems: Recent Progress and New Opportunities. Molecules 2018, 23, 2870. [Google Scholar] [CrossRef] [PubMed]
- Perego, G.; Cella, G.D. Mechanical Properties. In Poly(lactic acid): Synthesis, Properties, Processing, and Apllications; Auras, R., Lim, L.-T., Selke, S.E.M., Tsuji, H., Eds.; John Wiley & Sons: Hoboken, NJ, USA, 2010; pp. 141–153. [Google Scholar]
- Farah, S.; Anderson, D.G.; Langer, R. Physical and mechanical properties of PLA, and their functions in widespread applications—A comprehensive review. Adv. Drug. Deliver. Rev. 2016, 107, 367–392. [Google Scholar] [CrossRef] [PubMed]
- Gurgel Adeodato Vieira, M.; Altenhofen da Silva, M.; Oliveira dos Santos, L.; Masumi Beppu, M. Natural-based plasticizers and biopolymer films: A review. Eur. Polym. J. 2011, 47, 254–263. [Google Scholar] [CrossRef]
- Wypych, G. (Ed.) Handbook of Plasticizers, 3rd ed.; ChemTec Publishing: Toronto, ON, Canada, 2017. [Google Scholar]
- Mekonnen, T.; Mussone, P.; Khalil, H.; Bressler, D. Progress in bio-based plastics and plasticizing modifications. J. Mater. Chem. A 2013, 1, 13379–13398. [Google Scholar] [CrossRef]
- Labrecque, L.V.; Kumar, R.A.; Davè, V.; Gross, R.A.; Mccarth, S.P. Citrate esters as plasticizers for poly(lactic acid). J. Appl. Polym. Sci. 1997, 66, 1507–1513. [Google Scholar] [CrossRef]
- Martin, O.; Averous, L. Poly(lactic acid): Plasticization and properties of biodegradable multiphase systems. Polymer 2001, 42, 6209–6219. [Google Scholar] [CrossRef]
- Darie-Nita, R.N.; Vasile, C.; Irimia, A.; Lipsa, R.; Rapa, M. Evaluation of some eco-friendly plasticizers for PLA films processing. J. Appl. Polym. Sci. 2016, 133, 43223–43234. [Google Scholar] [CrossRef]
- Burgos, N.; Martino, V.P.; Jimenez, A. Characterization and ageing study of poly(lactic acid) films plasticized with oligomeric lactic acid. Polym. Derad. Stab. 2013, 98, 651–658. [Google Scholar] [CrossRef]
- Ferri, J.M.; Samper, M.D.; Garcia-Sanoguera, D.; Reig, M.J.; Fenollar, M.J.; Balart, R. Palsticizing effect of biobased epoxidized fatty acid esters on mechanical and thermal properties of poly(lactic acid). J. Mater. Sci. 2016, 51, 5356–5366. [Google Scholar] [CrossRef]
- Jaffar Al-Mulla, E.A.; Zin Wan Yunus, W.M.; Bt Ibrahim, N.A.; Rahman, M.Z.A. Properties of epoxidized palm oil plasticized polylactic acid. J. Mater. Sci. 2010, 45, 1942–1946. [Google Scholar] [CrossRef]
- Xu, Y.-Q.; Qu, J.-P. Mechanical and Rheological Properties of Epoxidized Soybean Oil Plasticized Poly(lactic acid). J. Appl. Polym. Sci. 2009, 112, 3185–3191. [Google Scholar] [CrossRef]
- Carbonell-Verdu, A.; Garcia-Garcia, D.; Dominici, F.; Torre, L.; Sanchez-Nacher, L.; Balart, R. PLA films with improved flexibility properties by using maleinized cottonseed oil. Eur. Polym. J. 2017, 91, 248–259. [Google Scholar] [CrossRef]
- Ferri, J.M.; Garcia-Garcia, D.; Montanes, N.; Fenollar, O.; Balart, R. The effect of maleinized linseed oil as biobased plasticizer in poly(lactic acid)-based formulations. Polym. Int. 2017, 66, 882–891. [Google Scholar] [CrossRef]
- Carbonell-Verdu, A.; Samper, M.D.; Garcia-Garcia, D.; Sanchez-Nacher, L.; Balart, R. Plasticization effect of epoxidized cottonseed oil (ECSO) on poly(lactic acid). Ind. Crop. Prod. 2017, 104, 278–286. [Google Scholar] [CrossRef]
- Xing, C.; Matuana, L.M. Epoxidized soybean oil-plasticized poly(lactic acid) films performance as impacted by storage. J. Appl. Polym. Sci. 2016, 133, 43201–43209. [Google Scholar] [CrossRef]
- Chieng, B.W.; Ibrahim, N.A.; Then, Y.Y.; Loo, Y.Y. Epoxidized Vegetable Oils Plasticized Poly(lactic acid) Biocomposites: Mechanical, Thermal and Morphology Properties. Molecules 2014, 19, 16024–16038. [Google Scholar] [CrossRef] [PubMed]
- Orue, A.; Eceiza, A.; Arbelaiz, A. The effect of sisal fiber surface treatments, plasticizer addition and annealing process on the crystallization and the thermo-mechanical properties of poly(lactic acid) composites. Ind. Crop. Prod. 2018, 118, 321–333. [Google Scholar] [CrossRef]
- Orue, A.; Eceiza, A.; Arbelaiz, A. Preparation and characterization of poly(lactic acid) plasticized with vegetable oils and reinforced with sisal fibers. Ind. Crops Prod. 2018, 112, 170–180. [Google Scholar] [CrossRef]
- Balart, J.F.; Fombuena, V.; Fenollar, O.; Boronat, T.; Sanchez-Nacher, L. Processing and characterization of high environmental efficiency composites based on PLA and hazelnut shell flour (HSF) with biobased plasticizers derived from epoxidized linseed oil (ELO). Compos. Part B 2016, 86, 168–177. [Google Scholar] [CrossRef]
- Xia, Y.; Larock, R.C. Vegetable Oil-Based Polymeric Materials: Synthesis, Properties, and Applications. Green Chem. 2010, 12, 1893–1909. [Google Scholar] [CrossRef]
- Belgacem, M.N.; Gandini, A. Materials from Vegetable Oils: Major Sources, Properties and Applications. In Monomers, Polymers and Composites from Renewable Resources, 1st ed.; Elsevier: Oxford, UK, 2008; pp. 39–66. [Google Scholar]
- Jia, P.; Xia, H.; Tang, K.; Zhou, Y. Plasticizers derived from Biomass Resources: A short Review. Polymers 2018, 10, 1303. [Google Scholar] [CrossRef] [PubMed]
- Mele, G.; Bloise, E.; Cosentino, F.; Lomonaco, D.; Avelino, F.; Marcianò, T.; Massaro, C.; Mazzetto, S.E.; Tammaro, L.; Scalone, A.G.; et al. Influence of Cardanol Oil on the Properties of Poly(lactic acid) Films, Produced by Melt Extrusion. ACS Omega 2019, 4, 718–726. [Google Scholar] [CrossRef]
- Bhasney, S.M.; Patwa, R.; Kumar, A.; Katiyar, V. Plasticizing effect of coconut oil on morphological, mechanical, thermal, rheological, barrier, and optical properties of poly(lactic acid): A promising candidate for food packaging. J. Appl. Polym. Sci. 2017, 134, 45390–45402. [Google Scholar] [CrossRef]
- Friedman, J. Rice brans, rice bran oils, and rice hulls: Composition, food and industrial uses, and bioactivities in humans, animals, and cells. J. Agric. Food Chem. 2013, 61, 10626–10641. [Google Scholar] [CrossRef] [PubMed]
- Sohail, M.; Rakha, A.; Butt, M.S.; Iqbal, M.J.; Rashid, S. Rice bran nutraceutics: A comprehensive review. Crit. Rev. Food Sci. Nutr. 2017, 57, 3771–3780. [Google Scholar] [CrossRef] [PubMed]
- Mohanty, A.K.; Vivekanandhan, S.; Pin, J.-M.; Misra, M. Composites from renewable and sustainable resources: Challenges and innovations. Science 2018, 362, 536–542. [Google Scholar] [CrossRef]
- Väisänen, T.; Haapala, A.; Lappalainen, R.; Tomppo, L. Utilization of agricultural and forest industry waste and residues in natural-polymer composites. A review. Waste Manag. 2016, 54, 62–73. [Google Scholar] [CrossRef] [PubMed]
- Righetti, M.C.; Cinelli, P.; Mallegni, N.; Stabler, A.; Lazzeri, A. Thermal and Mechanical Properties of Biocomposites Made of Poly(3-hydroxybutyrate-co-3-hydroxyvalerate) and Potato Pulp Powder. Polymers 2019, 11, 308. [Google Scholar] [CrossRef] [PubMed]
- Righetti, M.C.; Cinelli, P.; Mallegni, N.; Massa, C.A.; Bronco, S.; Stabler, A.; Lazzeri, A. Thermal, Mechanical, and Rheological Properties of Biocomposites Made of Poly(lactic acid) and Potato Pulp Powder. Int. J. Mol. Sci. 2019, 20, 675. [Google Scholar] [CrossRef]
- Righetti, M.C.; Cinelli, P.; Mallegni, N.; Massa, C.A.; Aliotta, L.; Lazzeri, A. Thermal, Mechanical, Viscoelastic and Morphological Properties of Poly(lactic acid) based Biocomposites with Potato Pulp Powder Treted with Waxes. Materials 2019, 12, 990. [Google Scholar] [CrossRef] [PubMed]
- Irakli, M.; Kleisiaris, F.; Mygdalia, A.; Katsantonis, D. Stabilization of rice bran and its effect on bioactive compounds content, antioxidant activity and storage stability during infrared radiation heating. J. Cereal Sci. 2018, 80, 135–142. [Google Scholar] [CrossRef]
- Righetti, M.C.; Gazzano, M.; Delpouve, N.; Saiter, A. Contribution of the rigid amorphous fraction to physical ageing of semi-crystalline PLLA. Polymer 2017, 125, 241–253. [Google Scholar] [CrossRef]
- Hutchinson, J.M. Physical ageing of polymers. Prog. Polym. Sci. 1995, 20, 703–760. [Google Scholar] [CrossRef]
- Sarge, S.M.; Hemminger, W.; Gmelin, E.; Höhne, G.W.H.; Cammenga, H.K.; Eysel, W. Metrologically based procedures for the temperature, heat and heat flow rate calibration of DSC. J. Therm. Anal. 1997, 49, 1125–1134. [Google Scholar] [CrossRef]
- McNeill, I.C.; Leiper, H.A. Degradation Studies of Some Polyesters and Polycarbonates.—1. Polylactide: General Features of the Degradation Under Programmed Heating Conditions. Poly. Degrad. Stab. 1985, 1, 264–285. [Google Scholar] [CrossRef]
- Santos, J.C.O.; Dos Santos, I.M.G.; De Souza, A.G.; Prasad, S.; Dos Santos, A.V. Thermal stability and kinetic study on thermal decomposition of commercial edible oils by thermogravimetry. J. Food Sci. 2002, 67, 1393–1398. [Google Scholar] [CrossRef]
- Chieng, B.W.; Ibrahim, N.A.; Then, Y.Y.; Loo, Y.Y. Epoxidized Jatropha Oil as a Sustainable Plasticizer to Poly(lactic Acid). Polymers 2017, 9, 204. [Google Scholar] [CrossRef]
- Silverajah, V.S.; Ibrahim, N.A.; Zainuddin, N.; Yunus, W.M.; Hassan, H.A. Mechanical, Thermal and Morphological Properties of Poly(lactic acid)/Epoxidized Palm Olein Blend, Molecules. Molecules 2012, 17, 11729–11747. [Google Scholar] [CrossRef] [PubMed]
- Lascano, D.; Quilies-Carrillo, L.; Balart, R.; Boronat, T.; Montanes, N. Toughened Poly(Lactic acid)-PLA Formulations by Binary Blends with Poly(Butylene Succinate-co-Adipate)-PBSA and Their Shape Memory Behaviour. Materials 2019, 12, 622. [Google Scholar] [CrossRef]
- Silverajah, V.S.; Ibrahim, N.A.; Yunus, W.M.; Hassan, H.A.; Woei, C.B. A Comparative Study on the Mechanical, Thermal and Morphological Characterization of Poly(lactic acid)/Epoxidized Palm Oil Blend. Int. J. Mol. Sci. 2012, 13, 5878–5898. [Google Scholar] [CrossRef]
- Ali, F.; Chang, Y.-W.; Kang, S.C.; Yoon, J.Y. Thermal, mechanical and rheological properties of poly(lactic acid)/epoxidized soybean oil blends. Polym. Bull. 2009, 62, 91–98. [Google Scholar] [CrossRef]
- Pyda, M.; Bopp, R.C.; Wunderlich, B. Heat capacity of poly(lactic acid). J. Chem. Thermodyn. 2004, 36, 731–742. [Google Scholar] [CrossRef]
- Pan, P.; Inoue, Y. Polymorphism and isomorphism in biodegradable polyesters. Progr. Polym. Sci. 2009, 34, 605–640. [Google Scholar] [CrossRef]
- Cocca, M.; Androsch, R.; Righetti, M.C.; Malinconico, M.; Di Lorenzo, M.L. Conformationally disordered crystals and their influence on material properties: The cases of isotactic polypropylene, isotactic poly(1-butene), and poly(l-lactic acid). J. Mol. Struct. 2014, 1078, 114–132. [Google Scholar] [CrossRef]
- Androsch, R.; Schick, C.; Di Lorenzo, M.L. Melting of conformationally disordered crystals α’-phase of poly(L-lactic acid). Macromol. Chem. Phys. 2014, 215, 1134–1139. [Google Scholar] [CrossRef]
- Minakov, A.A.; Mordvintsen, D.A.; Schick, C. Melting and reorganization of poly(ethylene terephthalate) on fast heating (1000 K/s). Polymer 2004, 45, 3755–3763. [Google Scholar] [CrossRef]
- Righetti, M.C.; Laus, M.; Di Lorenzo, M.L. Temperature dependence of the rigid amorphous fraction in poly(ethylene terephthalate). Eur. Polym. J. 2014, 58, 60–68. [Google Scholar] [CrossRef]
- Sato, K.; Ueno, S.; Yano, J. Molecular interactions and kinetic properties of fats. Prog. Lipid Res. 1999, 38, 1–116. [Google Scholar] [CrossRef]
- Ferrari, C.; Angiuli, M.; Tombari, E.; Righetti, M.C.; Matteoli, E.; Salvetti, G. Promoting calorimetry for olive oil authentication. Thermochim. Acta 2007, 459, 58–63. [Google Scholar] [CrossRef]
- Barba, L.; Arrighetti, G.; Calligaris, S. Crystallization and melting properties of extra virgin olive oil studied by synchrotron XRD and DSC. Eur. J. Lipid. Sci. Technol. 2013, 115, 322–329. [Google Scholar] [CrossRef]
- Bayes-Garcia, L.; Calvet, T.; Cuevas-Diarte, M.A.; Ueno, S. From Trioleoyl glycerol to extra virgin olive oil through multicomponent triacylglycerol mixtures: Crystallization and polymorphic transformation examined with differential scanning calorimetry and X-ray diffration techniques. Food Res. Int. 2017, 99, 476–484. [Google Scholar] [CrossRef] [PubMed]
- Righetti, M.C.; Gazzano, M.; Di Lorenzo, M.L.; Androsch, R. Enthalpy of melting of α′- and α-crystals of poly(l-lactic acid). Eur. Polym. J. 2015, 70, 215–220. [Google Scholar] [CrossRef]
- Saeidlou, S.; Huneault, M.A.; Li, H.; Park, C.B. Poly(lactic acid) crystallization. Progr. Polym. Sci. 2012, 37, 1657–1677. [Google Scholar] [CrossRef]
- Androsch, R.; Di Lorenzo, M.L. Crystal Nucleation in Glassy Poly(l-lactic acid). Macromolecules 2013, 46, 6048–6056. [Google Scholar] [CrossRef]
- Di Lorenzo, M.L.; Androsch, R. Stability and Reorganization of α’-Crystals in Random l/d-Lactide Copolymers. Macromol. Chem. Phys. 2016, 217, 1534–1538. [Google Scholar] [CrossRef]
- Baiardo, M.; Frisoni, G.; Scandola, M.; Rimelen, M.; Lips, D.; Ruffieux, K.; Wintermantel, E. Thermal and mechanical properties of plasticized poly(l-lactic acid). J. Appl. Polym. Sci. 2003, 90, 1731–1738. [Google Scholar] [CrossRef]
- Jacobsen, S.; Fritz, H.G. Plasticizing polylactide—The effect of different plasticizers on the mechanical properties. Polym. Eng. Sci. 1999, 39, 1303–1310. [Google Scholar] [CrossRef]
- Barnes, H.A.; Hutton, J.F.; Walters, K. An Introduction to Rheology, 1st ed.; Elsevier Science: Amsterdam, The Netherlands, 1989. [Google Scholar]
- Dorgan, J.R. Rheology of poly(lactid acid). In Poly(lactic acid): Synthesis, Properties, Processing, and Applications; Auras, R., Lim, L.-T., Selke, S.E.M., Tsuji, H., Eds.; John Wiley & Sons: Hoboken, NJ, USA, 2010; pp. 125–139. [Google Scholar]
- Palade, L.-I.; Lehermeier, H.J.; Dorgan, J.R. Melt Rheology of High l-Content Poly (lactic acid). Macromolecules 2001, 34, 1384–1390. [Google Scholar] [CrossRef]
- Domenek, S.; Fernandes-Nassar, S.; Ducruet, V. Rheology, Mechanical Properties, and Barrier Properties of Poly(lactic acid). Adv. Polym. Sci. 2017, 279, 303–342. [Google Scholar] [CrossRef]
- Wang, N.; Zhang, X.; Ma, X.; Fang, J. Influence of carbon black on the properties of plasticized poly(lactic acid) composites. Polym. Degrad. Stab. 2008, 93, 1044–1052. [Google Scholar] [CrossRef]
- Cocca, M.; Di Lorenzo, L.; Maliconico, M.; Frezza, V. Influence of crystal polymorphism on mechanical and barrier properties of poly(l-lactic acid). Eur. Polym. J. 2011, 47, 1073–1080. [Google Scholar] [CrossRef]
- Wasanasuk, K.; Tashiro, K. Theoretical and Experimental Evaluation of Crystalline Moduli of Various Crystalline Forms of Poly(l-lactic acid). Macromolecules 2012, 45, 7019–7026. [Google Scholar] [CrossRef]









| Fatty Acid | g/100 g Fat RBO | g/100 g Fat SO |
|---|---|---|
| C12:0 lauric acid | 0.2 | - |
| C14:0 myristic acid | 0.4 | 0.1 |
| C16:0 palmitic acid | 16.9 | 10.6 |
| C16:1 palmitoleic acid | 0.2 | 0.1 |
| C17:0 eptadecanoic acid | - | 0.1 |
| C17:1 eptadecenoic acid | - | 0.1 |
| C18:0 stearic acid | 2.3 | 4.3 |
| C18:1 oleic acid | 41.4 | 23.9 |
| C18:1 vaccenic acid | 0.1 | - |
| C18:2 linoleic acid | 34.9 | 52.6 |
| C18:3 linolenic acid | 1.5 | 7.1 |
| C20:0 arachidic acid | 0.4 | 0.3 |
| C20:1 eicosenoic acid | - | 0.2 |
| C22:0 behenic acid | 0.2 | 0.4 |
| C22:1 erucic acid | 0.1 | - |
| C24:0 lignoceric acid | 0.1 | 0.1 |
| C24:1 tetracosenoic acid | 0.1 | - |
| total | 98.8 | 99.9 |
| Saturated | 20.5 | 15.9 |
| Monounsaturated | 41.9 | 24.3 |
| Polyunsaturated | 36.4 | 59.7 |
| mg/100 mL RBO | mg/100 mL SO | |
|---|---|---|
| γ-oryzanol | 81 | - |
| δ-tocotrienol | 3.14 | - |
| γ-tocotrienol | 10.26 | - |
| β-tocotrienol | 0.37 | - |
| α-tocotrienol | 1.59 | - |
| δ-tocopherol | 2.40 | 28.32 |
| γ-tocopherol | 30.47 | 42.63 |
| α-tocopherol | 15.65 | 1.50 |
| Formulation | Δhm (J/gmixture) | Δhm,oil (J/goil) | Effective Mixed Oil (wt.%) |
|---|---|---|---|
| PLA + RBO (1 wt.%) | 0.20 | 20.0 | 0.67 |
| PLA + RBO (2 wt.%) | 0.45 | 22.5 | 1.25 |
| PLA + RBO (5 wt.%) | 1.24 | 24.8 | 2.93 |
| PLA + SO (1 wt.%) | - | - | 1.00 |
| PLA + SO (2 wt.%) | 0.15 | 7.5 | 1.74 |
| PLA + SO (5 wt.%) | 0.36 | 7.2 | 4.38 |
| Δhc (J/g) | wCc | Δhm (J/g) | wCm | wC | |
|---|---|---|---|---|---|
| PLA | 14.4 | 0.14 | 24.3 | 0.20 | 0.06 |
| PLA + RBO (1 wt.%) | 21.6 | 0.21 | 26.8 | 0.23 | 0.02 |
| PLA + RBO (2 wt.%) | 21.7 | 0.21 | 28.7 | 0.24 | 0.03 |
| PLA + RBO (5 wt.%) | 18.8 | 0.19 | 27.3 | 0.23 | 0.04 |
| PLA + SO (1 wt.%) | 15.7 | 0.15 | 26.0 | 0.22 | 0.07 |
| PLA + SO (2 wt.%) | 11.8 | 0.12 | 22.7 | 0.19 | 0.07 |
| PLA + SO (5 wt.%) | 12.0 | 0.12 | 22.6 | 0.19 | 0.07 |
© 2019 by the authors. Licensee MDPI, Basel, Switzerland. This article is an open access article distributed under the terms and conditions of the Creative Commons Attribution (CC BY) license (http://creativecommons.org/licenses/by/4.0/).
Share and Cite
Righetti, M.C.; Cinelli, P.; Mallegni, N.; Massa, C.A.; Irakli, M.; Lazzeri, A. Effect of the Addition of Natural Rice Bran Oil on the Thermal, Mechanical, Morphological and Viscoelastic Properties of Poly(Lactic Acid). Sustainability 2019, 11, 2783. https://doi.org/10.3390/su11102783
Righetti MC, Cinelli P, Mallegni N, Massa CA, Irakli M, Lazzeri A. Effect of the Addition of Natural Rice Bran Oil on the Thermal, Mechanical, Morphological and Viscoelastic Properties of Poly(Lactic Acid). Sustainability. 2019; 11(10):2783. https://doi.org/10.3390/su11102783
Chicago/Turabian StyleRighetti, Maria Cristina, Patrizia Cinelli, Norma Mallegni, Carlo Andrea Massa, Maria Irakli, and Andrea Lazzeri. 2019. "Effect of the Addition of Natural Rice Bran Oil on the Thermal, Mechanical, Morphological and Viscoelastic Properties of Poly(Lactic Acid)" Sustainability 11, no. 10: 2783. https://doi.org/10.3390/su11102783
APA StyleRighetti, M. C., Cinelli, P., Mallegni, N., Massa, C. A., Irakli, M., & Lazzeri, A. (2019). Effect of the Addition of Natural Rice Bran Oil on the Thermal, Mechanical, Morphological and Viscoelastic Properties of Poly(Lactic Acid). Sustainability, 11(10), 2783. https://doi.org/10.3390/su11102783

