Next Article in Journal
Decision Support Systems for Smarter and Sustainable Logistics of Construction Sites
Previous Article in Journal
Relationality and Social–Ecological Systems: Going Beyond or Behind Sustainability and Resilience
Previous Article in Special Issue
Game Modelling and Strategy Research on the System Dynamics–Based Quadruplicate Evolution for High–Speed Railway Operational Safety Supervision System
 
 
Font Type:
Arial Georgia Verdana
Font Size:
Aa Aa Aa
Line Spacing:
Column Width:
Background:
Case Report

Integrating Communication with Conspicuity to Enhance Vulnerable Road User Safety: ArroWhere Case Study

1
ArroWhere Equipment Inc, 211 Alandale Pl. SW, Calgary, AB T3Z 3L9, Canada
2
UBC School of Engineering, University of British Columbia Okanagan, EME 4267, 3333 University Way, Kelowna, BC V1V 1V7, Canada
*
Author to whom correspondence should be addressed.
Sustainability 2019, 11(10), 2761; https://doi.org/10.3390/su11102761
Submission received: 23 March 2019 / Revised: 7 May 2019 / Accepted: 8 May 2019 / Published: 14 May 2019
(This article belongs to the Special Issue Sustainable Transport Safety)

Abstract

This paper presents findings from a research study into the role that communication plays in the safety of vulnerable road users (VRUs), including a literature review, a hypothesis, and a case study testing our hypothesis. Many governments and road authorities lack capital or have not made it a priority to implement full VRU safety measures, with many gaps in VRU infrastructure and networks. These gaps leave VRUs to take safety into their own hands, including use of conspicuity aids such as high-visibility wear, helmets, bells, and lights with differing levels of effectiveness. The knowledge gap regarding the conventional wisdom, “be safe, be seen,” is the absence of communication and comprehension between road users (VRUs and vehicles). We hypothesize that communication aids are equally, if not more important than visibility aids for VRU safety. A case study was conducted to measure the effectiveness of several Hi-Viz safety vest designs including online surveys and separate in-field experiments using Instrumented Probe Bicycles. The results suggest that Hi-Viz safety vests using arrow designs (ArroWhere’s proprietary products and designs) similar to those found in the Manual on Uniform Traffic Control Devices (MUTCD) can increase VRU safety until road authorities can fully fund and complete proper and sustainable VRU networks.

1. Introduction

Improved vehicle designs and technologies can protect drivers, but vulnerable road users (VRUs) rely primarily on infrastructure systems such as separated sidewalks and cycle track networks to reduce their risk and navigate roads safely. Safer vehicle designs and their supporting infrastructure networks have been planned, designed, funded, built, operated, monitored, and maintained for decades in a relatively comprehensive state; however, the same cannot be said for VRUs, which have been gaining in popularity as an alternative transportation mode in recent decades. The most common reasons that VRUs lack proper and comprehensive infrastructure networks relates mainly to economic priorities. The situation is worst in low and middle-income countries, which often lack resources to provide even basic VRU infrastructure such as sidewalks, crosswalks, and central refuge medians [1]
VRUs—pedestrians and bicyclists in this paper—account for almost half of the world’s traffic deaths [1]. In particular, cyclists have been advised—or, in some jurisdictions, mandated—to use helmets, front and rear lights, reflectors, and wear brightly colored clothing with retroreflective markings (also known as high-visibility/Hi-Viz wear or conspicuity aids). “Be safe, be seen” is a statement often heard, reflecting a prevalent belief that visibility is the key to reducing vehicle-cyclist collisions. While overall detectability on the road is critical, evidence suggests that current conspicuity aids cannot provide sustainable safety in their current form, and a more optimal design is needed.
The purpose of this paper is threefold:
(1)
To summarize the literature in the field of conspicuity and communications as they relate to traffic safety and VRUs.
(2)
To propose the hypothesis that VRU safety can be significantly improved when conspicuity (e.g., Hi-Viz vests) are combined with communication aids between vehicle operators and VRUs.
(3)
To present case study results of initial surveys and field experiments that test this hypothesis.

2. Literature Review

2.1. Summary

The use of bicycles as a mode of transport has become more popular in recent years in North America (NA). The implementation of bicycles has been slow and many problems arise. A major reason for the hesitant acceptance to bicycles is safety. Many people avoid biking because they would have to share the road with motor vehicles and see this as unsafe. The major factoring affecting the safety of bikes is the driver of the vehicle not detecting the biker because of the driver looking away from the road ahead. The best way to reduce bicycle accidents is to increase infrastructure for them, but may not be implemented. The use of Hi-Viz apparel has been implanted across the world and many people who use them attest to their effectiveness. The use of Hi-Viz increases the communication between a biker and a driver, which helps to avoid collisions. The better a biker and driver are able to communicate, the less likely there will be a collision, and the safer each person is.

2.2. Infrastructure

A traffic environment where humans are involved is inherently unsafe because humans are prone to errors [2]. The frequency of these errors is influenced greatly by the amount of effort and resources institutions and policymakers spend on creating sustainably safe infrastructure [3]. On roads where differences in speed, mass and direction occur, the risk of collisions and the severity of their consequences will undoubtedly be higher than on roads where they aren’t (SWOV, 2013). For example, many regions in Africa where there are no sidewalks on the road have extremely high rates of pedestrian fatalities [1]. In the Netherlands, Germany and Denmark, decades of dedicated funding to create separated networks have resulted in these countries becoming the archetypes for sustainable transportation policies and infrastructure [4].
To improve health, lower stress, reduce emissions and address congestion, increased bicycle use for work and recreation is the trend in NA. However, while bicycles in NA enjoy policy support, funding to build the necessary infrastructure lags considerably compared to the EU [5]. As a result, road sharing occurs frequently—and bicyclists are often left without signs, sharrows, and/or bicycle lanes to support their safety.
Institutions are individualizing the responsibility of safety in attempts to unburden their inability to provide immediate safety for these groups [6]. Cyclists in NA inherently understand this, which is why many feel compelled to adopt a culture of self-preservation. Simply having a perceived fear of getting hit by motor vehicles deters people from taking up the bicycle, which has hindered efforts for NA institutions when trying to convince the general public of bicycling as a legitimate alternative mode of basic transportation.
Ironically, while low and middle-income countries are going through a phase of rapid motorization to accelerate economic growth [7], high-income countries are trying to decrease the numbers of motor vehicles to mitigate the effects of congestion and pollution [8].
All nations see the need and are trying to attain better standards. However, it will take time to achieve this given the current state of their infrastructure and the status of various other priorities related to it. On an institutional level, many of the difficulties lie with competing interests, policies and justifying the costs to meet budgetary restrictions [9]. Regardless, this transition phase will linger on until a unified commitment to change the culture of traffic safety is made by the institutions responsible [3]. VRUs will certainly benefit from personal safety enhancements until the desired shift in attitude and application has been achieved.

2.3. “High Visibility Alone does not Enhance Safety”

One study in the UK suggested the use of conspicuity aids such as fluorescent clothing with reflective accents do not increase bicyclists’ safety on the road where there is a lack of overtaking space. They concluded that real solutions lie within infrastructural improvements, education or the law to prevent drivers from getting dangerously close when overtaking [10]. Nevertheless, bicycle use continues to grow where public education and policy focuses on reducing obesity, diabetes and heart disease [9].
The Dutch Institute for Road Safety Research (SWOV) outlines Sustainable Safety principles to design a safer system solution of infrastructure, education, enforcement and technology tools [2]. They recognize that one tool could not possibly account for the multitude of variables that could influence an outcome. For example, age and driver inexperience are other factors strongly connected to collision risks that conspicuity aids cannot fully mitigate [11]. Weather, lighting and infrastructure also contribute to the risk of road crashes [12].
Moreover, conspicuity aids cannot change the actions of road users that choose to engage in risk-taking behavior. For example, a naturalistic study of distracted driving behaviors in Virginia described 80% of all crashes and 65% of near crashes involved the driver looking away from the forward roadway [13]. Another study of distracted drivers of commercial vehicles in the US showed that inattention due to engaging in non-driving related tasks played a factor in 71% of crashes, 46% of near-crashes and 60% of all safety-critical events which required a maneuver [14]. These results suggest driver distractions play a major role in crash probabilities. This behavior is likely attributed to mobile phone usage, with high ownership rates and subsequent potential to make drivers prone to distractions [13].
Countries that strongly suggest cyclists wear helmets and conspicuity aids are the regions with high ratios of mixed traffic environments, where the consequences of driver inattention are more severe. There are recorded instances of fatalities where the driver failed to look properly or could not see them before a collision [15] One study in Adelaide, Australia found drivers did not see pedestrians in 45% of 118 fatalities [16]. This suggests some fatalities could have been prevented had drivers simply detected a person. Upon detection, drivers could have reduced the impact speed by slowing down or attempting emergency maneuvers.
Additionally, the benefits of conspicuity aids cannot be ignored, as they are seen world-wide, for example, as ANSI or CSA approved standard worker safety equipment and safety vests. The people using Hi-Viz safety equipment every day on roads, construction sites and airport runways will certainly attest to the importance of having this ‘last line of defense’.
Technology and engineering have had measurable impacts in reducing the consequences of collisions when they occur, and there is much emphasis on developing collision prevention technologies. To develop an effective collision prevention technology for VRUs it must be practical, cost-efficient, and self-enforcing. Tools and designs mitigating the severity of crashes are clearly not a justifiable means of alleviating bicyclists’ perceived fears of collision involvement. More must be done to preclude bicycle-vehicle collisions from happening at all, including ways to mitigate human error.

2.4. Human Factors

Questioning as to why variables such as weather, alcohol or speed were considered primary causes to a collision, James Fell [17] utilized an accident causal system from a human element perspective. The foundation of the model was based on the fact vehicle operators are the most active and vital elements in the driving situation. He then determined that understanding the driver cognition will provide insights on how collisions occur [17]. The model presented a “cause and effect” relationship, with the human element representing a driver’s ability to correctly “perceive”, “comprehend”, “decide”, and “act” based on the information they processed. Fell described “effect” as the primary failure, non-performance or behavior leading to collisions. “Causes” were defined as immediate reasons for the failure, non-performance or behaviour [17].
In a traffic situation, the driver is essentially a processor of information where the road environment constantly feeds them data from which they must detect cues, process situations and react as necessary [17]. Collisions become imminent upon failure to notice signals and cues, or when drivers act incorrectly based on visual information.
Processing errors by drivers can include:
  • Perception or detection failures—when a driver simply does not see an imminent threat, whether it was due to a blocked visual or the danger not being in the field of view (e.g., a driver attempts to turn right, but does not see a cyclist coming up from the right).
  • Comprehension or recognition failures—when a driver is not able to determine whether information is relevant to them (e.g., the driver does not comprehend or recognize the approaching bicyclist as a potentially dangerous situation).
  • Decision and execution failures—when a driver sees the information and understands the message but makes an incorrect decision or indecision in response (e.g., misjudging the speed-distance of the oncoming bicycle and initiating an unsafe turn). Even when information is correctly detected and recognized, and an acceptable decision was made, a driver could panic and perform a contradicting action (e.g., when a driver over-corrects a maneuver to avoid a cyclist and ends up swerving into an opposing lane).

2.5. Communication

Studies have shown that conspicuity aids utilizing movement produced significant increases in night time recognition distances from motor vehicle operators. This was done by attaching retroreflective accessories to the wrists and ankles of cyclists and pedestrians to create a “biomotion” effect [18]. These findings were clear in defining both detection and recognition as separate things, where biomotion helped drivers make a distinction between stationary objects and people.
Though it was stressed that biomotion does not guarantee evasive actions will be taken, it still shows how much a simple modification in comprehension can make in a potentially life-threatening situation. Drivers will be able to make better decisions on the road if they can quickly determine what is relevant or irrelevant to them.
According to Fell’s human element model, biomotion improves comprehension. The clever arrangement of reflective material supplements detection by augmenting messages with a “human” bias, with the idea that drivers would believe they are approaching a person and take appropriate evasive maneuvers.
Most would consider this to be the upper limit of safety enhancement as detection and comprehension were effectively combined to elicit compliance. However, there are studies that have shown that even a human bias communicated within a visual message is not enough to develop a consistent driver response. This may seem contradictory to overall human rationality—but knowing what is correct and incorrect does not directly correlate to taking appropriate actions [3].
Relying on human bias alone to enhance traffic safety may be overly simplistic reasoning as personal, cultural and institutionally embedded predispositions could potentially affect behaviour [19]. Cognitive reliance on the time-consuming Perception-Reaction-Time (PRT) reflective system of the brain, rather than eliciting its quicker instinctive responses, will delay decisions that may require more immediate responses [20]. The human bias essentially compromises decision-making by adding judgmental stages to an environment that needs to be stripped of such processes. Thus, an alternative solution is required at the fundamentals of communication, of which “relevance” may be the key to creating a more powerful, instinctive driver response.
For VRUs to take control of their safety, it is necessary for all roads users to be able to communicate and interact in a given environment. For example, if a motorist wishes to change lanes on a highway it is possible to ‘announce’ this to other road users using a turn indicator. The communication of intent is especially important in a high-risk environment such as a highway.
It is therefore clear that one of the critical components to maintaining a safe road environment is providing information, warning and guidance to all road users effectively. The combination of these factors promotes predictability, which allows road users to understand what behaviors are expected of them and also allows them to know how others should behave. Consistency and predictability of our surroundings ensures that variables of risk are minimized [3].
However, apart from early ITS research on connected vehicles, that will take time and funding to fully deploy. Overall, there seem to be few and limited avenues of communication available between different road user types. Pedestrians must rely primarily on infrastructure to maintain their safety by using sidewalks and crosswalks, which help communicate intent and rely on social and legal compliance from drivers. Cyclists typically use front and back lights, hand signals, reflectors, and on occasion Hi-Viz equipment to attain a basic conspicuity level when sharing roads with motor vehicles. Clearly, these options do not assure VRUs of their safety.
As a consequence, we are led to a point of preparing a hypothesis centered on an exploration of the existence of a communication gap among the various users of roads and pathways. We see the necessity to focus efforts on improving communication between VRUs and motorists to reduce vehicle driver mistakes. Moreover, we believe it is possible to create a relevant message that commands respect from motorists when sharing roads with VRUs by understanding how drivers perceive the road environment. The next section develops our hypothesis based on research evidence found in the literature, and we then propose ways to test it.

3. Hypothesis: VRUs as Moving Road Signs

3.1. Sign Language

Static road signs are one of the most common devices used for regulating, warning and guiding road users to prepare for subsequent actions required by the nature of the approaching terrain. Road sign consistency and standardization are essential in allowing road users to easily detect, understand and respond to sign messages. Road signs convey information differently from the human bias perspective, as they elicit specific and almost subconscious responses, especially when they appeal to self-preservation (e.g., sharp curve ahead, slow to 30 km/h).
The NHTSA’s National Motor Vehicle Crash Causation Survey found the leading causes of driver-related collisions to be recognition (41%) and decision errors (33%), with reasons including internal/external distractions, inadequate surveillance, “looked but did not see” and false assumptions of other road users’ actions [21]. Under Fell’s human element model, the institutional emphasis on the conventional wisdom “be safe, be seen” only addresses detection. This automatically assumes a higher collision risk due to the absence of the latter three categories in addressing VRU road safety. Consequently, we hypothesize that providing drivers with additional safeguards during the information processing stages will aid in more positive, instinctive, and faster decision-making and actions, thereby enhancing safety not just for VRUs, but for all road users.
VRUs can be likened to “moving signs” that communicate visual messages which are received and processed by others on the road. Generally speaking, no single person looks the same nor do they always act with uniformity, making it difficult for drivers to behave consistently in their presence. On the other hand, road signs send recognizable and known messages to drivers (e.g., curve ahead, slow down, stop, watch for hazards, etc.) based on nationally engineered standards such as the MUTCD, which command drivers’ respect on personal, social and legal grounds. Road signs are more likely to induce the desired correct response as they are more familiar and consistently applied [22]. Due to drivers’ frequent exposure to road signs and their consistent reliance on them, applying this ‘sign language’ to VRU apparel and equipment may help influence more predictable and thus safer driver behavior and this is the premise our program sets out to test.
It is important to note that in the NHTSA survey mentioned previously, decision errors, which are closely linked to recognition errors, accounted for 33% of all driver-assigned collisions [21]. Providing a solution that makes it easier for motorists to correctly process and react to the environment will help promote more proactive and safer behavior.
In addition, road signs are given hierarchies based on the relevance of their messages to drivers. For example, temporary traffic control zones are designed to be highly visible and provide advanced notice to unsuspecting drivers [23]. One of the basic rules of sign hierarchies is ensuring that the most important and relevant information is made the most conspicuous to other road users. By that logic, VRUs should be at the top of that list as there is nothing more relevant than a threat to human life.
Optimizing information delivery requires careful consideration of conspicuity, intended communication, legibility, information load, comprehension and driver response [22]. Fluorescent materials help with conspicuity in the daytime, retroreflective materials are essential for when it is dark, and the combination of both help in a variety of lighting and weather conditions [18]. Of the factors affecting conspicuity, sign color and shape play the most important role as drivers recognize these well before they can distinguish symbols or read sign text [22]. Furthermore, the overall message size helps increase detection, legibility and recognition distances, providing additional time for drivers to respond [23].

3.2. Symbols Versus Text

When new signs are being evaluated by committees, one of the requirements to them passing is whether the correct behavior can be elicited intuitively [24]. Signs with excessive numbers of words, colors, and new symbols are not ideal as they distract drivers from their primary task [22]. It is also important to consider natural or circumstantial disadvantages which could delay comprehension, such as fatigue and impaired vision [23]. This makes symbols a better arrangement over text by default, and it serves the additional purpose of enhancing legibility and increasing recognition distances. Universally recognized designs enhance road safety by tapping into pre-existing and intuitive functions [25].
Enhancing personal safety will backfire if the novelty effect is relied upon. The novelty effect is based on a fundamental human desire to seek out new and differently-presented information to avoid boredom and is seen on the road in forms such as electronic billboards and advertisements. Though such visual deployments may seem attractive to utilize in enhancing VRU safety, we predict this strategy is not sustainable, as the lack of relevancy in such messages will rapidly diminish its ability to draw subsequent attention beyond the initial encounter [26]. This would also explain the diminishing compliance effects that empty police cars and cardboard policemen have over time [27].
Sustaining a proper, consistent response over prolonged periods depend on how relevant the messages continue to be. This is where road signs have a natural advantage, as they are highly relevant to road user self-preservation [25]. VRUs may draw attention from drivers simply for being unfamiliar pieces of “information” in unfamiliar locations on the road, as opposed to road signs. However, the main challenge for VRUs is providing advanced notice to approaching traffic with the specific message to “pass safely”.
We hypothesize that VRU safety can be improved if conspicuous Hi-Viz wear is combined with relevant and historically validated designs that can passively communicate ‘safe passing’ messages are worn. In terms of choosing the most relevant design, we wanted to test whether VRUs using Hi-Viz apparel fitted with a universal symbol such as a chevron or an arrow (ArroWhere) would elicit safer passing maneuvers from drivers. Eliciting correct responses on initial encounters depend on simple and familiar designs to enhance prior memories and biases [28].

3.3. Arrow Symbol Signs on Bicycling Apparel: ArroWhere

Arrows (also known as chevrons) serve a simple and widely recognized directive function on the world’s roads and are particularly useful for drivers when they must navigate unfamiliar environments. The perceived and actual functions of arrow symbols are linked so closely together that it elicits subconscious and near-automatic responses [29]. For example, subjects in one study were presented with arrow images on a screen and were instructed specifically to perform hand-actions in the opposing direction as the arrows. Results showed that the subjects had a very difficult time trying to inhibit their instincts in order to act in the way they were told and were much slower in completing the actions [30]. The study is increasingly applicable to motorists, as hands are what control vehicle steering mechanisms.
The ability for arrows to elicit automatic responses holds a significant advantage when compared with the rationally-based human bias, in which drivers must undergo a cognitive process that delays decision-making [20]. With the ideally designed road layout, drivers are not required to process their own rationalities and biases to make the best decisions. As such, arrows are effective symbols for reducing the time between perception and reaction phases of information processing.
Based on research to date found in the literature, the theory suggests that ArroWhere could have significant safety benefits for VRUs. However, evaluations of safety interventions and policies revolve around cost-effectiveness, damage mitigation potential, affordability, and universal applicability. Such an evaluation of ArroWhere can be done with minimal effort and resources, as it essentially would involve an existing rider fitted with a modified Hi-Viz safety vest. Moreover, if effective, we would expect immediate results (e.g., safer passing maneuvers) regardless of existing levels of infrastructure, enforcement, funding, and policies, including in areas where drivers are more likely to face distractions, and in rural areas where institutional reach is absent or limited.
For this paper, the term “ArroWhere” will be used to describe the proprietary Hi-Viz (bicycling) apparel equipped with arrow sign symbols produced by ArroWhere Equipment Inc. and used in our case study.

4. Case Study

To test this hypothesis, researchers at the University of British Columbia’s Okanagan campus, School of Engineering, solicited participants in a number of experiments, all of which were pre-approved by UBC’s Board of Ethics, including online surveys and in-field bicycle rides. The methodology and results are summarized below, with discussion and conclusions following.

Experimental Design

Three experiments were devised to test the degree to which communication complemented conspicuity in the safety of VRUs riding bicycles on roads shared with vehicular traffic:
  • Riding IPB with and without ArroWhere to test for communication differences
  • Online surveys to test bicyclist and ArroWhere detection and communication from a driver’s perspective
  • Riding IPB to test four different ArroWhere designs
In the two experiments involving IPBs (e.g., 1 and 3), the speed and separation distance of passing vehicles were measured and used as a proxy to indicate an objective measure of safety. This was a reasonable assumption in lieu of actual collision observations, and intuitively followed from higher speeds and less separation distance being related to increased risk and severity (and intuitively, incidence) of vehicle-bicycle collisions. These objective measures were then compared with participant survey to test for significance between perceived and real safety.
The methodology generally followed that of prior research by the University of British Columbia Okanagan’s Sustainable Transport Safety Research Lab (UBCO STS), which used Instrumented Probe Bicycles (IPBs). IPBs were equipped with sensors that record (Lee and Lovegrove, 2014):
  • Rear/forward facing cameras to record riders’ torso/face and passing terrain/traffic
  • LIDAR to record speed and separation distance of passing traffic
  • Inertial sensors to record global position, velocity, and acceleration
  • Brake use
  • Steering angle
  • Rider heart rate
Experiment 1—With/without ArroWhere: In the first experiment, a small group of bicyclists participating in related IPB research were given ArroWhere to ride. Pre- and post-ride surveys were conducted regarding participants’ perceived safety and comfort. A total of 25 participants were randomly given different safety vest designs to wear. The safety vests included two different designs: (1) Whatever Hi-Viz clothing the cyclists usually wore, and (2) ArroWhere with a design that is being sold in parts of Europe, Asia, and NA. In addition, the bicycles they rode (IPBs) were equipped with inertial sensors, proximity sensors, and video recorders, all of which monitored rider position in relation to passing traffic separation and distance. Rider survey responses (subjective) were compared with passing traffic characteristics (objective), while keeping track of which safety vest design was being worn during each trial. Logistic regression analysis was used to determine if there was a significant association between vest design and passing traffic traits (speed, separation). Results of this initial test suggested that riders felt safer wearing ArroWhere, and, passing cars drove by in a safer manner. This suggests that both perceived safety (e.g., riders themselves) and actual safety (e.g., safer passing maneuvers) were influenced by the ArroWhere. Based on these initially favorable results, more extensive online and in-field testing were conducted, focusing more on objectives measures of safety (e.g., measuring passing vehicle speed and separation distance).
Experiment 2—Online Survey: A total of 103 participants were recruited to take a self-paced, online survey that put them in a driver’s perspective. The survey assessed visibility and messaging of various bicyclists photographed at various distances away from the camera at night, including Hi-Viz apparel that used differing ArroWhere designs. This experiment was purely online, and participants were asked three questions, from a driver’s perspective: (i) At what distance could they tell it was a bicyclist; (ii) what message was it conveying to them; and (iii) which ArroWhere design did they prefer?
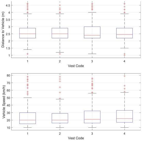
Experiment 3—In-field IPB Tests: A total of 85 participants rode the UBC STS Research Labs IPB on a two-kilometer stretch of urban collector in a bike lane, wearing one of four ArroWhere designs: Type 1—Currently sold design; Type 2—Double arrow; Type 3—Dark arrow; and Type 4—CSA approved construction safety vest (commonly used by many cyclists). Each participant pedaled a total of four IPB circuits, each time wearing one type of ArroWhere, but in random order. As this was industry-sponsored research on proprietary designs, ArroWhere design specifics are being kept confidential and cannot be shown in this paper.
Results of experiment three rides, including participant data summary, passing vehicle speed/separation distances, and tests for significance are summarized over the following pages in Figure 1, Figure 2, Figure 3 and Figure 4 and Table 1. Subsequent night time test rides using the IPB and various ArroWhere designs are also under way as part of ongoing research.

5. Discussions

This paper presented the results of the first research the authors are aware of in the world into the role that communication aids can play in augmenting conspicuity aids for Vulnerable Road Users (VRUs), with a specific focus on bicyclist safety. A literature review summarized various research efforts to date to augment conspicuity using communication aids, and the technical perspectives involved. A hypothesis was developed that a properly designed communication aid would be able to significantly enhance VRU safety—in both perception and reality—using an arrow design on a Hi-Viz cyclist safety vest. Three experiments were carried out to test our hypothesis.
Based on a limited sample size, results show promise in support of this hypothesis. It suggests that safer passing maneuvers are made by drivers of vehicles when VRUs wear ArroWhere, that is, Hi-Viz wear equipped with arrows designed with MUTCD standards in mind. Moreover, participants reported feeling that passing traffic gave them more respect—slower speeds and wider berths—when they were wearing ArroWhere. Additionally, this effect appeared to be present and sustained throughout all three experiments. Ongoing testing to extend sample size using many test rides by a smaller sample of participants over several months is underway to test whether this effect was temporally biased or can be a sustained effect.
In the first experiment, testing just with/without ArroWhere, participants felt safer when they wore ArroWhere. This was tested using a logistic regression analysis at a 95% level of confidence. In the second experiment, online surveys to test driver perceptions as they approach bicyclists wearing ArroWhere showed similar promising detection and interpretation results in favor of ArroWhere, with significantly more than the other designs surveyed. In the third experiment, case control using repeated trials revealed a significant difference in passing vehicle traits among the various designs. The original ArroWhere design was second best to the twin chevron arrow design, and both were more effective in daytime riding than the Darker design.

5.1. Conclusions

The power of these results despite a relatively small sample size is promising. First, the results show a significant association between ArroWhere and VRU safety. Vehicles passing VRU test subjects wearing the arrow vest design showed more respect, and participants’ perceptions generally agreed. Moreover, online survey results showed a preference for the arrow vest design, including comments that it was felt to be the most effective and conveyed a safer ‘keep left’ message. Whether these results were due entirely to the arrow design communicating a message that drivers instinctively respected, or were groomed to some extent by repeated trials on the same stretch of road remain to be determined in future studies.
The results, while positively in support of the hypothesis, have a weak statistical association due to limited sample size. Therefore, it is recommended that they be used with caution, at best to suggest that bicycle safety vests that provide for both conspicuity and communication appear to show promise. Whether these results can apply to other VRUs (e.g., pedestrians), and in other contexts (e.g., work zones, intersections, rural areas) remains to be seen. If these results can be replicated and demonstrated on a wider scale, the contribution to VRU safety will be significant and sustained, pending more comprehensive policies, funding, and VRU infrastructure networks across NA and in low and middle-income countries.
However, these are preliminary research experiments, and additional work is needed to address confounding factors and increase confidence toward more definitive conclusions. Drivers have the narrowest margin of error in traffic environments due to the masses they control and the speeds at which they travel. And combined with the propensity to be distracted internally and externally their mistakes can have severe repercussions, often at the expense of VRUs. It is with this understanding that continued technological developments with motor vehicles, sustainable infrastructure, and policies protecting VRUs must be implemented.
Sustainable safer VRU infrastructure is needed before cycling is seen as a legitimate form of transportation by the NA public. Being fully aware of the impracticalities, and how long it would take to implement necessary measures, institutions have suggested VRU be responsible for their own safety. Conspicuity aids can only help so much, but the strict emphasis on visibility (e.g., “Be safe, be seen”) rather than comprehension has created a knowledge gap which has placed a limit on its effectiveness and true potential.
Until improved infrastructure networks are fully funded and built, research summarized in this paper suggests that VRUs may benefit from improved conspicuity aids combined with communication aids. Being seen is important, but the question is whether the current aspects of visibility are being fully optimized. A case study testing improved conspicuity aids such as the ones presented by ArroWhere Equipment Inc. suggest that there is a great potential to assist drivers, VRUs and institutions by alleviating some of the immediate pressure for infrastructural requirements.

5.2. Limitations & Future Research

The research reported in this paper are at the preliminary stages. The results of initial experiments into how communication plays a role in enhancing VRU safety—beyond that offered by simple conspicuity as it relates to Hi-Viz safety vests—appear promising but must be taken with caution. Confounding factors related to traffic stream heterogeneity, weather and lighting conditions across different field test dates, participant learning during repeated trials, and low response rates are acknowledged. However, this research represents a promising start in this area and can be used to refine future research efforts. Continued research is required to verify initial results, and also be performed in different locales to test the transferability of effectiveness.

5.3. Step-by-Step Guide for Practitioners

“Be Safe, Be Seen” is an important message, but is often interpreted as “The more you are seen, the better”. Some take this message too far and end up creating dangerous situations for themselves and others. For example, purchasing a bicycle light with 1000 lumens of power (car headlights average 700 lumens), aiming it at eye level, and putting it on strobe mode to “be seen” is dangerous. It disorients oncoming drivers and cyclists and will increase the chances of accidents.
VRUs must admit they face the worst of consequences if they were involved in a motor vehicle collision. This means it is of utmost importance that driver perceptions be considered whenever devising a sustainable safety measure for VRUs. Overstimulating driver senses with extremely bright strobe lights or complex messages in attempts to enhance personal safety may prove fruitless, particularly in urban settings where so many things are competing for a driver’s attention.
The best chance for VRUs to enhance their own safety is to apply to themselves a message relevant to approaching motorists, visible but simple, and can be immediately understood in its meaning and applied functions. Of course, this “solution” must also be practical and affordable for those using it. Current equipment and apparel with retroreflective material addresses visibility, affordability, and practicality, but does not convey a relevant message.
The best possible message for a motorist to encounter on the road is one resembling a familiar road sign with universal symbols. ArroWhere Equipment Inc. (based in Calgary, Alberta, Canada) utilizes the psychology of road signs and applies it to VRUs in attempts to enhance their safety on the road by considering both cyclist and motorist positions together.

Author Contributions

T.S. and G.L. conceived and designed the experiments. G.L. performed the experiments and analyzed the data. T.S. is responsible for the Literature Review. T.S. and G.L. wrote the paper.

Funding

This research received no external funding.

Acknowledgments

Takuro Shoji would like to thank the following for their contributions to this paper: David and Khyle Pinkman, co-founders of ArroWhere Equipment Inc. Gordon Lovegrove, Adam Lee, Nathan Harvey, Simon Benson, Carlo Bautista, Mohamed Hegazi, and Jordan McCabe from The University of British Columbia Okanagan. The Natural Sciences & Engineering Research Council of Canada.

Conflicts of Interest

The authors declare no conflict of interest.

References

  1. WHO. Global Status Report on Road Safety 2015; World Health Organization, Management of Noncommunicable Diseases, Disability, Violence and Injury Prevention (NVI); WHO Press: Geneva, Switzerland, 2015. [Google Scholar]
  2. SWOV. Sustainable Safety: Principles, Misconceptions, and Relations with Other Visions; Institute for Road Safety: The Hague, The Netherlands, 2013. [Google Scholar]
  3. Wegman, F. Driving Down the Road Toll by Building a Safe System; Department of the Premier and Cabinet: Adelaide, Australia, 2012.
  4. Pucher, J.; Buehler, R. Cycling for Everyone: Lessons from Europe. Transp. Res. Rec. J. Transp. Res. Board 2008, 2074, 1–27. [Google Scholar] [CrossRef]
  5. Pucher, J.; Buehler, R. Cycling for a Few or for Everyone: The Importance of Social Justice in Cycling Policy. World Transp. Policy Pract. 2009, 15, 59–64. [Google Scholar]
  6. Beck, U. Living in the world risk society. Econ. Soc. 2006, 35, 329–345. [Google Scholar] [CrossRef]
  7. Nantulya, V.M.; Reich, M.R. The neglected epidemic: Road traffic injuries in developing countries. BMJ 2002, 324, 1139–1141. [Google Scholar] [CrossRef] [PubMed]
  8. Maizlish, N.; Woodcock, J.; Co, S.; Ostro, B.; Fanai, A.; Fairley, D. Health Co-Benefits and Transportation-Related Reductions in Greenhouse Gas Emissions in the Bay Area. Am. J. Public Health 2013, 103, 703–709. [Google Scholar] [CrossRef] [PubMed]
  9. Beaglehole, R.; Bonita, R.; Horton, R.; Adams, C.; Alleyne, G.; Asaria, P.; Watt, J. Priority actions for the non-communicable disease crisis. Lancet 2011, 377, 1438–1447. [Google Scholar] [CrossRef]
  10. Walker, I.; Garrard, I.; Jowitt, F. The influence of a bicycle commuter’s appearance on drivers’ overtaking proximities: An on-road test of bicyclist stereotypes, high-visibility clothing and safety aids in the United Kingdom. Accid. Anal. Prev. 2014, 64, 69–77. [Google Scholar] [CrossRef] [PubMed]
  11. Hagel, B.E.; Ruest, N.; Morgunov, N.; Embree, T.; Couperthwaite, A.B.; Voaklander, D.; Rowe, B.H. Do Visibility Aids Reduce the Risk of Motor-Vehicle Injury in Bicyclists? Inj. Prev. 2012, 18, A36–A37. [Google Scholar] [CrossRef]
  12. Lindsay, V. Injured Cyclist Profile: An In-Depth Study of a Sample of Cyclists Injured in Road Crashes in South Australia; The University of Adelaide, Centre for Automotive Research: Adelaide, Australia, 2013. [Google Scholar]
  13. Dingus, T.A.; Klauer, S.G.; Neale, V.L.; Petersen, A.; Lee, S.E.; Sudweeks, J.; Knipling, R.R. The 100-Car Naturalistic Driving Study, Phase II—Results of the 100-Car Field Experiment; Virginia Polytechnic Institute and State University: Blacksburg, VA, USA; U.S. Department of Transportation, National Highway Traffic Safety Administration: Washington, DC, USA, 2006.
  14. Olson, R.L.; Hanowski, R.J.; Hickman, J.S.; Bocanegra, J. Driver Distraction in Commercial Vehicle Operations; Center for Truck and Bus Safety, Virginia Tech Transportation Institute, U.S. Department of Transportation: Federal Motor Carrier Safety Administration: Blacksburg, VA, USA, 2009.
  15. Knowles, J.; Adams, S.; Cuerden, R.; Savill, T.; Reid, S.; Tight, M. TRL Report PPR 445 Findings. Collisions Involving Cyclists on Britain’s Roads: Establishing the Causes; Department for Transport: London, UK; Berkshire, Transportation Research Laboratory: Wokingham, UK, 2009.
  16. Anderson, R.; McLean, A.; Farmer, M.; Lee, B.; Brooks, C. Vehicle Travel Speeds and the Incidence of Fatal Pedestrian Crashes. Accid. Anal. Prev. 1997, 29, 667–674. [Google Scholar] [CrossRef]
  17. Fell, J.C. A Motor Vehicle Accident Causal System: The Human Element. J. Hum. Factors Ergon. 1976, 18, 85–94. [Google Scholar] [CrossRef] [PubMed]
  18. Kwan, I.; Mapstone, J. Interventions for Increasing Pedestrian and Cyclist Visibility for the Prevention of Death and Injuries; Group, C.I., Ed.; The Cochrane Library: Freiburg im Breisgau, Germany, 2006. [Google Scholar] [CrossRef]
  19. Goddard, T.; Barsamian Kahn, K.; Adkins, A. Racial Bias in Driver Yielding Behavior at Crosswalks; Transportation and Education Center (TREC), Portland State University Library, Psychology Faculty Publications and Presentations: Portland, OR, USA, 2014. [Google Scholar]
  20. Strack, F.; Deutsch, R. Reflective and Impulsive Determinants of Social Behavior. Personal. Soc. Psychol. Rev. 2004, 8, 220–247. [Google Scholar] [CrossRef] [PubMed]
  21. NHTSA. National Motor Vehicle Crash Causation Survey; National Highway Traffic Safety Administration, U.S. Department of Transportation: Washington, DC, USA, 2008.
  22. Ontario Traffic Council. Introduction to the Ontario Traffic Manual Appendix B—Sign Design Principles. In O. M. Transportation, Book 1B Ontario Traffic Manual; Publications Ontario: Toronto, ON, Canada, 2001; p. 40. [Google Scholar]
  23. FHWA. Manual on Uniform Traffic Control Devices; U.S. Department of Transportation, Federal Highway Administration: Washington, DC, USA, 2009. Available online: http://mutcd.fhwa.dot.gov/pdfs/2009r1r2/mutcd2009r1r2edition.pdf (accessed on 20 June 2016).
  24. SWOV. Predictability by Recognizable Road Design; Institute for Road Safety Research: The Hague, The Netherlands, 2012. [Google Scholar]
  25. Crundall, D.; Underwood, G. The priming function of road signs. Transp. Res. Part F 2001, 4, 187–200. [Google Scholar] [CrossRef]
  26. Biederman, I.; Vessel, E.A. Perceptual Pleasure and the Brain. Am. Sci. 2006, 94, 249–255. [Google Scholar] [CrossRef]
  27. Cramton, R.C. Driver behavior and Legal Sanctions. Mich. Law Rev. 1969, 67, 421–454. [Google Scholar] [CrossRef]
  28. Poppenk, J.; Köhler, S.; Moscovitch, M. Revisiting the novelty effect: when familiarity, not novelty, enhances memory. J. Exp. Psychol. Learn. Mem. Cognit. 2010, 36, 1321–1330. [Google Scholar] [CrossRef] [PubMed]
  29. Rasmussen, J. Skills, Rules, and Knowledge; Signals, Signs, and Symbols, and Other Distinctions in Human Performance Models. IEEE Trans. Syst. Man Cybern. 1983, 13, 257–266. [Google Scholar] [CrossRef]
  30. Ocampo, B.; Kritikos, A.; Cunnington, R. How Frontoparietal Brain Regions Mediate Imitative and Complementary Actions: An fMRI Study. PLoS ONE 2011, 6, 1–8. [Google Scholar] [CrossRef] [PubMed]
Figure 1. Experiment 3: Participant Data Summary.
Figure 1. Experiment 3: Participant Data Summary.
Sustainability 11 02761 g001
Figure 2. Experiment 3: Passing Vehicle Speed & Distance Histograms–Aggregated.
Figure 2. Experiment 3: Passing Vehicle Speed & Distance Histograms–Aggregated.
Sustainability 11 02761 g002
Figure 3. (a) Sample Normal Probability Plots for Passing Speed & Separation Distance–by Design; (b) Sample Normal Probability Plots for Passing Speed & Separation Distance–by Design.
Figure 3. (a) Sample Normal Probability Plots for Passing Speed & Separation Distance–by Design; (b) Sample Normal Probability Plots for Passing Speed & Separation Distance–by Design.
Sustainability 11 02761 g003
Figure 4. Experiment 3: Box Plots of Passing Vehicle Speed & Separation Distance.
Figure 4. Experiment 3: Box Plots of Passing Vehicle Speed & Separation Distance.
Sustainability 11 02761 g004
Table 1. Four design field tests—ANOVA Tests for Significance.
Table 1. Four design field tests—ANOVA Tests for Significance.
A. One Way ANOVA
SourceSSDFMSFProb > F
Groups1543.73514.5643.510.0148
Error185965.21269146.545
Total187508.81272
B. ANOVA for Distance
SourceSSDFMSFProb > F
Groups0.42630.142060.380.77
Error478.83712690.37733
Total479.2631272

Share and Cite

MDPI and ACS Style

Shoji, T.; Lovegrove, G. Integrating Communication with Conspicuity to Enhance Vulnerable Road User Safety: ArroWhere Case Study. Sustainability 2019, 11, 2761. https://doi.org/10.3390/su11102761

AMA Style

Shoji T, Lovegrove G. Integrating Communication with Conspicuity to Enhance Vulnerable Road User Safety: ArroWhere Case Study. Sustainability. 2019; 11(10):2761. https://doi.org/10.3390/su11102761

Chicago/Turabian Style

Shoji, Takuro, and Gordon Lovegrove. 2019. "Integrating Communication with Conspicuity to Enhance Vulnerable Road User Safety: ArroWhere Case Study" Sustainability 11, no. 10: 2761. https://doi.org/10.3390/su11102761

APA Style

Shoji, T., & Lovegrove, G. (2019). Integrating Communication with Conspicuity to Enhance Vulnerable Road User Safety: ArroWhere Case Study. Sustainability, 11(10), 2761. https://doi.org/10.3390/su11102761

Note that from the first issue of 2016, this journal uses article numbers instead of page numbers. See further details here.

Article Metrics

Back to TopTop