Study on Factors Affecting the Agricultural Mechanization Level in China Based on Structural Equation Modeling
Abstract
1. Introduction
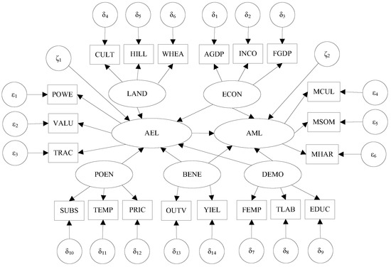
2. Conceptual Framework
3. Materials and Methods
3.1. Data Sources
3.2. Estimation Approach
4. Results and Discussion
4.1. Model Specification Tests
4.1.1. Individual Item Reliability Analysis
4.1.2. Convergence Validity Analysis
4.1.3. Discriminant Validity Analysis
4.1.4. Model Integrated Degree of Fitting Analysis
4.2. Hypotheses Testing
4.3. Discussion
5. Conclusions
Author Contributions
Funding
Conflicts of Interest
Appendix A
| Measurable Variables | Query Indexes | Data Sources |
|---|---|---|
| GDP per capita | GDP | China Statistical Yearbook |
| Population size | ||
| Per capita net income of farmers | Primary Industry GDP | China Statistical Yearbook |
| Rural laborers | China Rural Statistical Yearbook | |
| Primary Industry GDP/Regional GDP | Primary Industry GDP | China Statistical Yearbook |
| Regional GDP | ||
| Cultivated area per laborer | Cultivated area | China Statistical Yearbook |
| Rural laborers | China Rural Statistical Yearbook | |
| Hilly and mountainous area/land area | Flat area | Chinese natural resources database |
| Total land area | ||
| Wheat sown area/total sown area of crops | Wheat sown area | China Rural Statistical Yearbook |
| Total sown area of crops | ||
| Primary industry practitioners/society practitioners | Primary industry practitioners | China Rural Statistical Yearbook |
| Society practitioners | ||
| Labor transfer rate | Rural laborers | China Rural Statistical Yearbook |
| Agricultural workers | ||
| Educational degree of rural resident/year | Cultural Composition of Labor Force | China Rural Statistical Yearbook |
| Average subsidy funds per unit area of land over the years | Subsidized funds over the years | China Rural Statistical Yearbook |
| Cultivated area | China Statistical Yearbook | |
| The number of personnel engaged in agricultural machinery technology, promotion, education, and training per 10,000 labor force | Number of personnel engaged in agricultural machinery technology, promotion, education, and training | The Yearbook of Agricultural Mechanization in China |
| Rural laborers | ||
| Fixed base price index of mechanized farm machinery | Fixed base price index of mechanized farm machinery | China Rural Statistical Yearbook |
| Agricultural output value per laborer | Agricultural output value | China Rural Statistical Yearbook |
| Rural labor | ||
| Agricultural grain production per laborer | Total agricultural grain production | China Rural Statistical Yearbook |
| Rural laborers | ||
| Total power of agricultural machinery | Total power of agricultural machinery | The Yearbook of Agricultural Mechanization in China |
| Original value of agricultural machinery | Original value of agricultural machinery | National Agricultural Mechanization Statistical Yearbook |
| Total power of tractor | Total power of tractor | National Agricultural Mechanization Statistical Yearbook |
| Mechanical ploughing level | Mechanical ploughing level | The Yearbook of Agricultural Mechanization in China |
| Mechanical seeding level | Mechanical seeding level | The Yearbook of Agricultural Mechanization in China |
| Mechanical harvesting level | Mechanical harvesting level | The Yearbook of Agricultural Mechanization in China |
| GDP price index of provinces (cities, districts) | GDP price index of provinces (cities, districts) | China Statistical Yearbook |
| Consumer price index of rural residents | Consumer price index of rural residents | China Statistical Yearbook |
| Agricultural machinery price index | Agricultural machinery price index | China Rural Statistical Yearbook |
References
- Liu, Y.; Tian, Z. Analysis on Household income levels affect the demand for farm machinery and equipment. Chin. Rural Econ. 2009, 12, 44–55. [Google Scholar]
- Kong, X.; Zhou, Z.; Lu, Y. Exploration and Policy Suggestions of Agricultural Mechanization Road in China. Econ. Rev. 2015, 7, 65–72. [Google Scholar]
- Lu, Y.; Zhou, Z.; Zhang, Z.; Kong, X. Institutional Change During Development Process of Agricultural Mechanization in 40 Years of Reform and Opening-up in China. J. Northwest A&F Univ. 2018, 18, 1825. [Google Scholar]
- Feng, J.; Fu, Z.; Zheng, X.; Mu, W. Farmers’ purchase intention of agricultural machinery, an application of the theory of planned behavior in China. J. Food Agric. Environ. 2010, 8, 751–753. [Google Scholar]
- Zhang, X.; Yang, J.; Thomas, R. Mechanization outsourcing clusters and division of labor in Chinese agriculture. Chin. Econ. Rev. 2017, 43, 184–195. [Google Scholar] [CrossRef]
- Yang, J.; Huang, Z.; Zhang, X.; Reardon, T. The rapid rise of cross-regional agricultural mechanization services in China. Am. J. Agric Econ. 2013, 95, 1245–1251. [Google Scholar] [CrossRef]
- Qiao, F. Increasing wage, mechanization and agriculture production in China. Chin. Econ. Rev. 2017, 46, 249–260. [Google Scholar] [CrossRef]
- Wang, X.; Yamauchi, F.; Otsuka, K. Wage Growth, Landholding, and Mechanization in Chinese Agriculture. World Dev. 2016, 86, 30–45. [Google Scholar] [CrossRef] [PubMed]
- Zhang, M.; Duan, F.; Mao, Z. Empirical Study on the Sustainability of China’s Grain Quality Improvement: The Role of Transportation, Labor, and Agricultural Machinery. Int. J. Environ. Res. Pub. 2018, 15, 271. [Google Scholar] [CrossRef] [PubMed]
- Jian, C. Agricultural Mechanization in Southwestern China during Transitional Period: A Case Study. AMA-Agric. Mech. Asia Afr. Lat. Am. 2018, 49, 7–16. [Google Scholar]
- Zhao, S.; An, Z. Research on the Development Relationship Between Agricultural Mechanization and New Urbanization. Agro Food Ind. Hi-Tech. 2017, 28, 362–366. [Google Scholar]
- Wang, Ou.; Tang, K.; Zheng, H. Effects of Agricultural Machinery on Labor Force Substitution Intensity and Food Output. Chin. Rural Econ. 2016, 12, 46–59. [Google Scholar]
- Yiang, Y.; Liu, P.; Li, N. Analysis on Affecting Factors and System of Agricultural Mechanization Development in Northeast China. J. Agrotech. Econ. 2006, 5, 28–33. [Google Scholar]
- Lu, B.; Zhang, Z.; Zhu, M. Discrimination and Analysis of Key Influencing Factors for Agricultural Mechanization Development. Trans. Chin. Soc. Agric. Eng. 2008, 24, 114–117. [Google Scholar]
- Hou, F. Agricultural Mechanization Propulsion Mechanism Influencing Factors Analysis and Policy Implications. Chin. Rural Sur. 2008, 5, 42–48. [Google Scholar]
- Zheng, W.; He, Y.; Cen, Y. Study on Evaluation Methods for Agricultural Mechanization Developing Level Based on Rough Set Theory and Fuzzy Aggregation. Trans. Chin. Soc. Agric. Eng. 2006, 37, 58–61. [Google Scholar]
- Yamauchi, F. Rising real wages, mechanization and growing advantage of large farms: Evidence from Indonesia. Food Policy 2016, 58, 62–69. [Google Scholar] [CrossRef]
- Bai, R. Thinking on the development of agricultural mechanization during the ‘13th Five-year’ in China. J. Chin. Agric. Mech. 2014, 35, 1–5. [Google Scholar]
- Yang, M.; Bai, R. Analysis on the Relationship Between Agricultural Machinery Gross Power and Influence Factors. J. Agric. Mech. Res. 2004, 11, 45–47. [Google Scholar]
- Liu, Y.; Tian, Z.; Jiang, X. Study on the Characteristic and Determinations of Agricultural Equipment in China. J. Chin Agric. Univ. 2005, 4, 54–57. [Google Scholar]
- Liu, Y.; Tian, Z. Study on the Determinants of China Agricultural Equipment Level. J. Agrotech. Econ. 2008, 6, 73–79. [Google Scholar]
- Yan, T.; Li, L.; Wang, R. Analysis on the Influencing Factors of Agricultural Equipment Level in the Process of Modernization. J. Agrotech. Econ. 2010, 12, 38–43. [Google Scholar]
- Yan, C. Determinants of Agricultural Machinery Equipment Level in China. Hebei Agric. Mach. 2014, 9, 45–46. [Google Scholar]
- Yang, M.; Bai, R. Study on Regional Unbalance of Agricultural Mechanization Development in China. Trans. Chin. Soc. Agric. Mach. 2005, 9, 60–63. [Google Scholar]
- Yang, M. Study on Agricultural Mechanization and the Enhancement of Agricultural International Competitiveness in China. Ph.D. Thesis, China Agricultural University, Beijing, China, 2003. [Google Scholar]
- Qiu, L.; Wei, G.; Zhao, L. Study on the Setting of Agricultural Mechanization evaluation index system in China. Soc. Sci. J. Shenyang Agric. Univ. 2000, 4, 273–275. [Google Scholar]
- Li, M.; Shan, S. Evaluation Index System and Evaluation Standard of Agricultural Mechanization. J. Agric. Mech. Res. 2009, 2, 59–61. [Google Scholar]
- Ju, J.; Wang, J. Prediction method for the operation level of agricultural mechanization in Heilongjiang Province. Trans. Chin. Soc. Agric. Eng. 2009, 5, 83–88. [Google Scholar]
- Zhang, S.; Feng, S.; Jie, D. Combination prediction of agricultural equipment level based on Shapley value. Trans. Chin. Soc. Agric. Eng. 2008, 6, 160–164. [Google Scholar]
- Huang, G.; Han, L.; Liu, X. Establish of evaluation system for integrated agricultural mechanization engineering technology. Trans. Chin. Soc. Agric. Eng. 2012, 16, 74–79. [Google Scholar]
- Yang, M.; Bai, R. Regional Comparison of the Development of Agricultural Mechanization in China. Trans. Chin. Soc. Agric. Eng. 2000, 16, 68–72. [Google Scholar]
- Lin, W.; Sun, C. Influencing Factors on Private Investment in Agricultural Machinery. Chin. Rural Econ. 2007, 9, 25–32. [Google Scholar]
- Zhang, Z.; Zhou, S.; Cao, G. Study on Long-term Needs of Farm Machinery Purchase Subsidy. Issues. Agric. Econ. 2009, 12, 34–41. [Google Scholar]
- Tuteja, U. Utilization of agricultural input subsidies by caste visa-vision-scheduled caste farmers in Haryana. Indian J. Agric. Econ 2004, 4, 200–213. [Google Scholar]
- Zaigham, A.; Fang, W.; Shahid, H. Risk Assessment of Ex-Post Transaction Cost in Construction Projects Using Structural Equation Modeling. Sustainability 2018, 10, 4017. [Google Scholar]
- Zheng, Z.; Yaoqi, Z.; Yali, W. Residents’ Support Intentions and Behaviors Regarding Urban Trees Programs: A Structural Equation Modeling-Multi Group Analysis. Sustainability 2018, 10, 377. [Google Scholar]
- Olsson, U.H.; Foss, T.; Troye, S.V.; Howell, R.D. The performance of ML, GLS, and WLS estimation in structural equation modeling under conditions of misspecification and nonnormality. Struct. Equ. Model. 2000, 4, 557–595. [Google Scholar] [CrossRef]
- Kline, R.B. Principles and Practice of Structural Equation Modelling. J. Am. Stat. Assoc. 2011, 101. [Google Scholar] [CrossRef]
- Hair, J.F.; Black, B.; Babin, B.J. Multivariate Data Analysis, 7th ed.; Englewood Cliffs: Prentice Hall, NJ, USA, 2011; pp. 154–170. [Google Scholar]
- Fornell, C.; Larcker, D.F. Evaluating structural equation models with unobservable variables and measurement error. Int. J. Res. Mark. 1981, 18, 39–51. [Google Scholar]
- Byrne, B.M. Structural Equation Modeling Using AMOS. Basic Concepts, Applications, and Programming, 2nd ed.; Routledge: New York, NY, USA, 2009. [Google Scholar]
- Wu, X. Co-integration analysis the level of between agricultural mechanization and that of agricultural equipment in China. Chin. Agric. Mech. 2012, 1, 48–52. [Google Scholar]
- Zhu, H.; Tian, Z.; Han, L. Dependence of agricultural mechanization on financial investment. Trans. Chin. Soc. Agric. Eng. 2007, 3, 273–278. [Google Scholar]
- Zhang, T. Relying on scientific and technological progress, transform the mode of development, promote the scientific development of agricultural mechanization. Agric. Eng. Tech. 2012, 1, 12–19. [Google Scholar]
- Li, N.; Wan, Y. Study on the Macroeconomic Policies Effects of China’s Agricultural Machinery Purchase Subsidy. Issues. Agric. Econ. 2010, 12, 79–84. [Google Scholar]
- Gao, Y. Subsidies for Purchasing Agricultural Machines, Public Expenditure on Agriculture and Land Productivity. J. Shanxi Financ. Econ. Univ. 2010, 1, 72–78. [Google Scholar]
- Li, W.; Xue, C.; Zhu, R. Analysis on production allocative efficiency of agricultural machinery based on frontier theory in China. Trans. Chin. Soc. Agric. Eng. 2012, 3, 38–43. [Google Scholar]


| Latent Variables | Measurable Variables | Variable Codes | Expected Sign |
|---|---|---|---|
| Level of economic development (ECON) | GDP per capita | AGDP | + |
| Per capita net income of farmers | INCO | + | |
| Primary industry GDP / regional GDP | FGDP | − | |
| Land resource endowment (LAND) | Cultivated area per laborer | CULT | + |
| Hilly and mountainous area/land area | HILL | − | |
| Wheat sown area / total sown area of crops | WHEA | + | |
| Demographic factors (DEMO) | Primary industry practitioners / society practitioners | FEMP | − |
| Labor transfer rate | TLAB | + | |
| Educational degree of rural resident/year | EDUC | + | |
| Policy and environmental factors (POEN) | Average subsidy funds per unit area of land over the years | SUBS | + |
| The number of personnel engaged in agricultural machinery technology, promotion, education, and training per 10,000 labor force | TEMP | + | |
| Fixed base price index of mechanized farm machinery | PRIC | − | |
| Benefit factors (BENE) | Agricultural output value per laborer | OUTV | + |
| Agricultural grain production per laborer | YIEL | + | |
| AEL | Total power of agricultural machinery | POWE | + |
| Original value of agricultural machinery | VALU | + | |
| Total power of tractors | TRAC | + | |
| AML | Mechanical ploughing level | MCUL | / |
| Mechanical seeding level | MSOW | / | |
| Mechanical harvesting level | MHAR | / |
| Latent Variables | Cronbach’s α | Composite Reliability | Average Variance Extracted |
|---|---|---|---|
| ECON | 0.7824 | 0.8050 | 0.5797 |
| LAND | 0.7695 | 0.7871 | 0.5521 |
| DEMO | 0.7607 | 0.7502 | 0.5009 |
| POEN | 0.7618 | 0.7495 | 0.5006 |
| BENE | 0.7262 | 0.6785 | 0.5135 |
| AEL | 0.7660 | 0.7621 | 0.5169 |
| AML | 0.8011 | 0.8197 | 0.6026 |
| Latent Variables | ECON | LAND | DEMO | POEN | BENE | AEL | AML |
|---|---|---|---|---|---|---|---|
| ECON | 0.5794 | ||||||
| LAND | 0.3053 | 0.5524 | |||||
| DEMO | 0.3528 | 0.2360 | 0.5006 | ||||
| POEN | 0.1058 | 0.1042 | 0.0673 | 0.5012 | |||
| BENE | 0.2058 | 0.4529 | 0.0213 | 0.3987 | 0.5134 | ||
| AEL | 0.3367 | 0.1656 | 0.1304 | 0.2303 | 0.3685 | 0.5164 | |
| AML | 0.4130 | 0.2057 | 0.1561 | 0.2513 | 0.3547 | 0.4986 | 0.6027 |
| Goodness-of-Fit Index | χ2 | χ2/df | GFI | RMR | SRMR | RMSEA | NFI | IFI | RFI |
|---|---|---|---|---|---|---|---|---|---|
| Evaluation standard | The smaller the better | <3 | >0.9 | <0.05 | <0.05 | <0.08 | >0.90 | >0.90 | >0.90 |
| Actual value | 256.37 | 2.07 | 0.918 | 0.044 | 0.035 | 0.056 | 0.910 | 0.925 | 0.911 |
| Model | Path | Standardized Coefficient | t-Value | Inference |
|---|---|---|---|---|
| Structural model | ECON→AEL | 0.5153 *** | 4.3064 | Supported |
| LAND→AEL | 0.4262 ** | 2.3246 | Supported | |
| DEMO→AEL | 0.2038 * | 1.7675 | Supported | |
| POEN→AEL | 0.2624 ** | 2.2762 | Supported | |
| BENE→AEL | 0.3250 ** | 1.7859 | Supported | |
| ECON→AML | 0.2754 * | 1.8953 | Supported | |
| DEMO→AML | 0.1627 * | 1.7424 | Supported | |
| BENE→AML | 0.2538 * | 1.6584 | Supported | |
| AEL→AML | 0.6025 *** | 5.2468 | Supported | |
| Measurement model | AGDP←ECON | 0.7617 *** | 5.4572 | Supported |
| INCO←ECON | 0.8134 *** | 4.8506 | Supported | |
| FGDP←ECON | 0.7068 | 1.5348 | Not Supported | |
| CULT←LAND | 0.7584 ** | 2.3486 | Supported | |
| HILL←LAND | 0.7461 * | 1.8453 | Supported | |
| WHEA←LAND | 0.7242 ** | 2.2851 | Supported | |
| FEMP←DEMO | 0.6588 * | 1.7767 | Supported | |
| TLAB←DEMO | 0.7455 *** | 4.1580 | Supported | |
| EGUC←DEMO | 0.7162 * | 1.8746 | Supported | |
| SUBS←POEN | 0.7628 *** | 3.8525 | Supported | |
| TEMP←POEN | 0.7124 * | 1.8644 | Supported | |
| PRIC←POEN | 0.6421 | 1.2350 | Supported | |
| OUTV←BENE | 0.7125 * | 1.6872 | Not Supported | |
| YIEL←BENE | 0.7206 * | 1.8024 | Supported | |
| POWE←AEL | 0.7564 *** | 6.3001 | Supported | |
| VALU←AEL | 0.7141 ** | 2.3420 | Supported | |
| TRAC←AEL | 0.6845 | 1.3425 | Not Supported |
© 2018 by the authors. Licensee MDPI, Basel, Switzerland. This article is an open access article distributed under the terms and conditions of the Creative Commons Attribution (CC BY) license (http://creativecommons.org/licenses/by/4.0/).
Share and Cite
Li, W.; Wei, X.; Zhu, R.; Guo, K. Study on Factors Affecting the Agricultural Mechanization Level in China Based on Structural Equation Modeling. Sustainability 2019, 11, 51. https://doi.org/10.3390/su11010051
Li W, Wei X, Zhu R, Guo K. Study on Factors Affecting the Agricultural Mechanization Level in China Based on Structural Equation Modeling. Sustainability. 2019; 11(1):51. https://doi.org/10.3390/su11010051
Chicago/Turabian StyleLi, Wei, Xipan Wei, Ruixiang Zhu, and Kangquan Guo. 2019. "Study on Factors Affecting the Agricultural Mechanization Level in China Based on Structural Equation Modeling" Sustainability 11, no. 1: 51. https://doi.org/10.3390/su11010051
APA StyleLi, W., Wei, X., Zhu, R., & Guo, K. (2019). Study on Factors Affecting the Agricultural Mechanization Level in China Based on Structural Equation Modeling. Sustainability, 11(1), 51. https://doi.org/10.3390/su11010051
