How to Develop the Interdisciplinary Innovation Teams Sustainably?—A Simulation Model from a Perspective of Knowledge Fission and Fusion
Abstract
1. Introduction
- Q1. How do the members in IIT scary out knowledge interaction?
- Q2. How can the knowledge interaction be measured in a reasonable and precise way?
2. Literature Review
2.1. Definition of Knowledge Interaction in the IITs
2.2. Knowledge Interaction and Sustainability
2.3. The Process of Knowledge Interaction
2.4. Social Physics
3. Knowledge Fission and Knowledge Fusion
3.1. Knowledge Fission
3.2. Knowledge Fusion
4. Markov Process of Knowledge Interaction
4.1. The Process of Knowledge Interaction
4.2. Markov Process of Knowledge Interaction
4.3. Measurement of
5. Case Study and Simulation
5.1. Case Study
5.1.1. Sample Selection
5.1.2. Data Collection
5.1.3. Data Coding and Analysis
- Formation of the primary idea. The purpose of this stage is mainly to let team members express different opinions. Based on their past experience, team members unreservedly expressed their views.
- Knowledge divergence. At this stage, all involved personnel can form discussion groups, discuss a problem together, and engage in full knowledge interaction. Through dialogue, information feedback, collisions, and even conflicts, team members are encouraged to generate more problem-solving ideas. This process is consistent with the knowledge fission phase in the model.
- Knowledge convergence. This stage is mainly to establish a consensus of the team and organize the knowledge of different disciplines in an orderly manner. Taking into account the scientific and cost, the team removed some poor ideas. The team continued to enrich and refine valuable ideas, integrated a large number of ideas, and focused the team’s ideas. This process is basically consistent with the knowledge fusion phase described in the model.
- Test. At this stage, some alternatives are tested through experiments. The solution passing the test became the prior solution. If the alternative fails the test, the team will analyze the reason why. If the alternative has potential to optimize, the team members will revisit it to see if they can get a satisfactory solution.
5.2. Simulation and Results
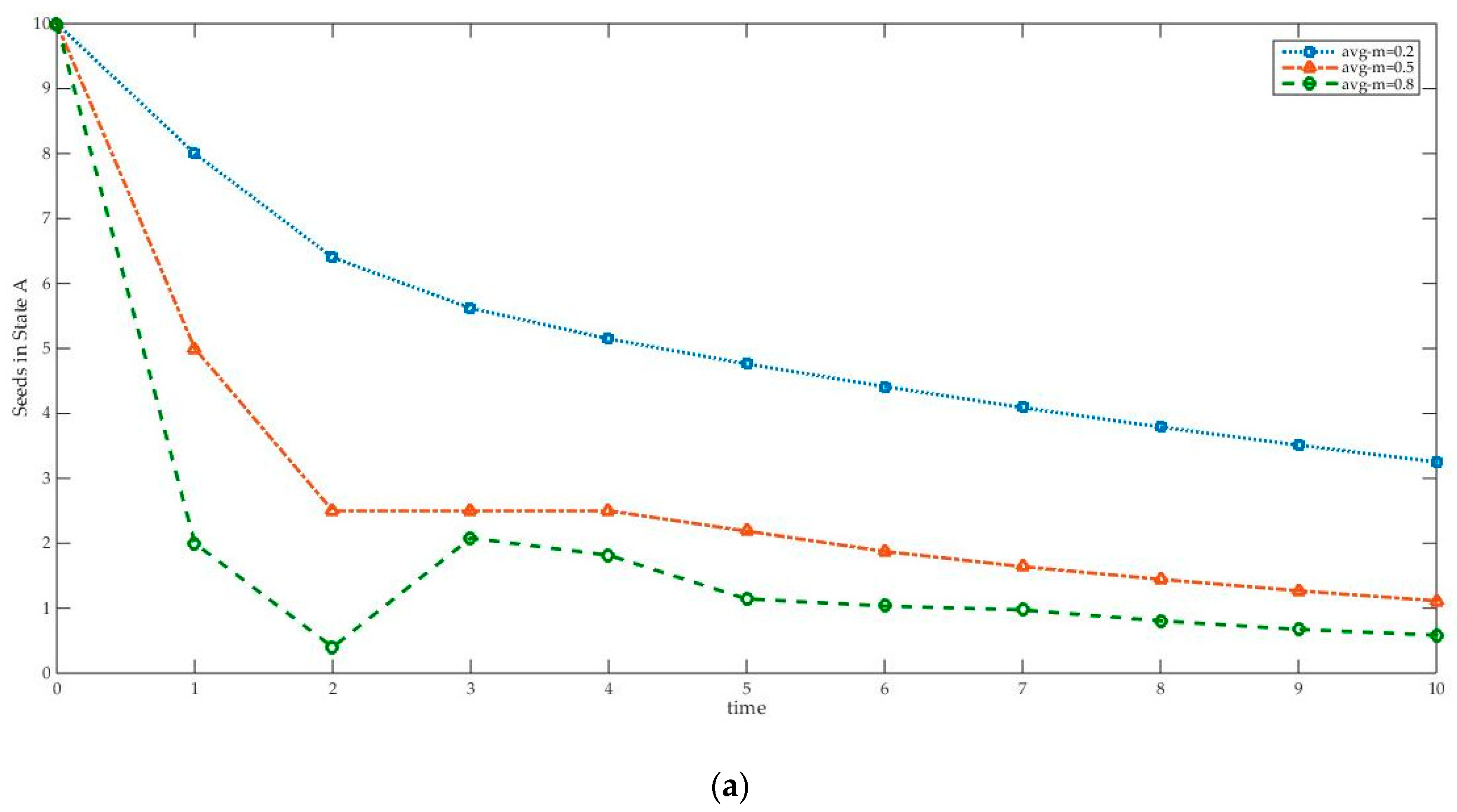
5.2.1. Influence of Knowledge Fission on the Knowledge Interaction Process
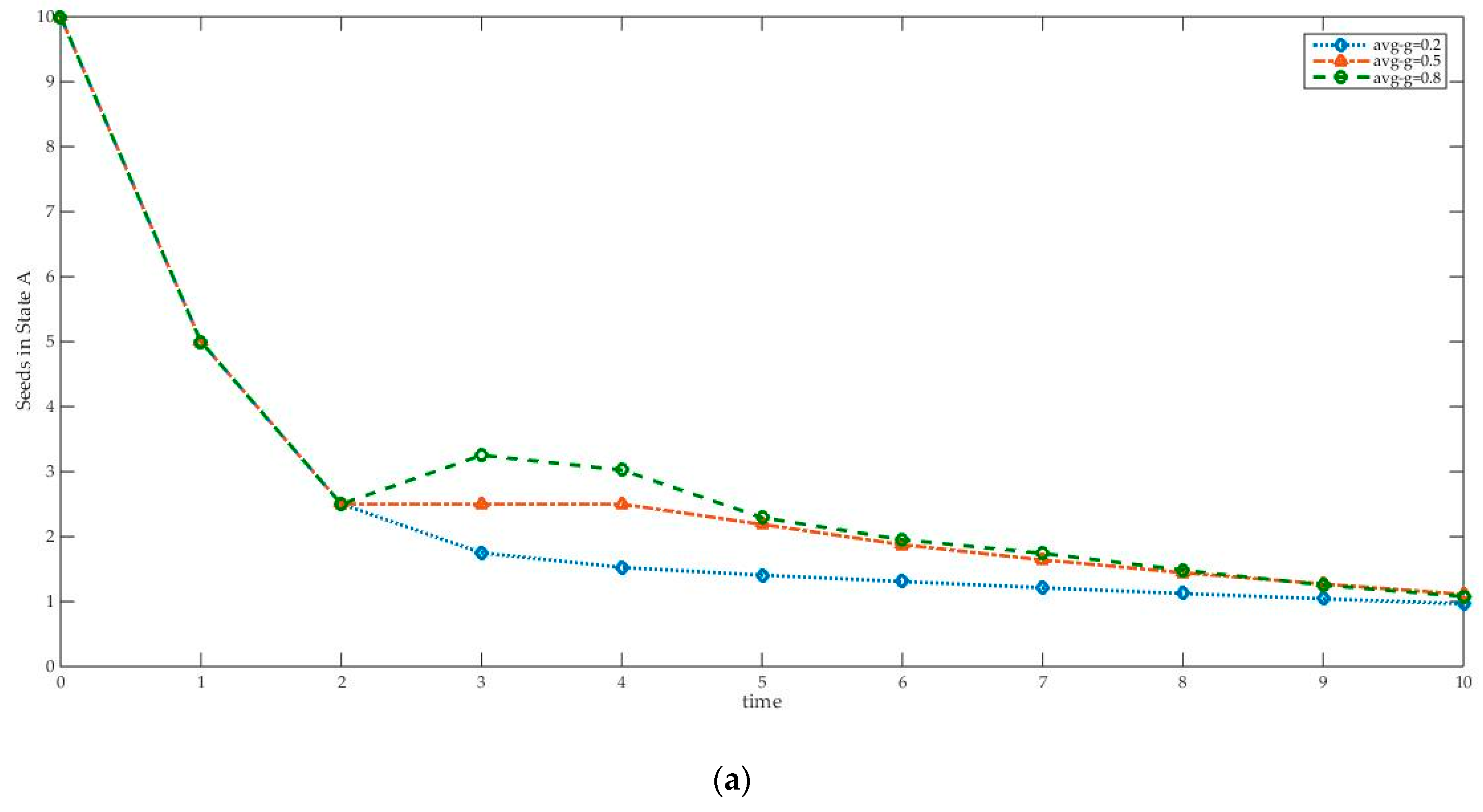
5.2.2. Influence of Knowledge Fusion on the Knowledge Interaction Process
6. Discussion and Conclusions
6.1. Theoretical Contributions
6.2. Practical Implication
6.3. Limitations and Future Research
Author Contributions
Funding
Conflicts of Interest
References
- Crease, R.P.; Martin, J.D.; Pesic, P. Meeting the challenge of the new big science. Phys. Perspect. 2016, 18, 247–248. [Google Scholar]
- Memmott, R.J.; Marett, K.M.; Bott, R.L.; Duke, L. Use of the Neuman systems model for interdisciplinary teams. Online J. Rural Nurs. Health Care 2017, 1, 58–73. [Google Scholar]
- Singh, J.; Fleming, L. Lone inventors as sources of breakthroughs: Myth or reality? Manag. Sci. 2010, 56, 41–56. [Google Scholar] [CrossRef]
- Wuchty, S.; Jones, B.F.; Uzzi, B. The increasing dominance of teams in production of knowledge. Science 2007, 316, 1036–1039. [Google Scholar] [CrossRef] [PubMed]
- Stehr, N.; Weingart, P. Practising Interdisciplinarity; University of Toronto Press: Toronto, ON, Canada, 2000. [Google Scholar]
- Albanese, R.; Van Fleet, D.D. Rational behavior in groups: The free-riding tendency. Acad. Manag. Rev. 1985, 10, 244–255. [Google Scholar] [CrossRef]
- Harkin, S.G. Social loafing and social facilitation. J. Exp. Soc. Psychol. 1987, 23, 1–18. [Google Scholar] [CrossRef]
- Hare, A.P. Handbook of Small Group Research, 2nd ed.; The Free Press: New York, NY, USA, 1976. [Google Scholar]
- Safoutin, M.J.; Thurston, D.L. A communications-based technique for interdisciplinary design team management. IEEE Trans. Eng. Manag. 1993, 40, 360–372. [Google Scholar] [CrossRef]
- Campion, M.A.; Medsker, G.J.; Higgs, A.C. Relations between work group characteristics and effectiveness: Implications for designing effective work groups. Pers. Psychol. 1993, 46, 823–847. [Google Scholar] [CrossRef]
- Stewart, G.L.; Barrick, M.R. Team structure and performance: Assessing the mediating role of intrateam process and the moderating role of task type. Acad. Manag. J. 2000, 43, 135–148. [Google Scholar]
- Rentsch, J.R.; Delise, L.A.; Mello, A.L.; Staniewicz, M.J. The integrative team knowledge building training strategy in distributed problem-solving teams. Small Group Res. 2014, 45, 568–591. [Google Scholar] [CrossRef]
- Todtling, F.; Lehner, P.; Kaufmann, A. Do different types of innovation rely on specific kinds of knowledge interactions? Technovation 2009, 29, 59–71. [Google Scholar] [CrossRef]
- Fagerberg, J.; Mowery, D.C.; Edquist, C. Systems of Innovation: Perspectives and Challenges; Oxford University Press: Oxford, UK, 2009. [Google Scholar]
- Clark, W.C.; Tomich, T.P.; Van Noordwijk, M.; Guston, D.; Catacutan, D.; Dickson, N.M.; McNie, E. Boundary work for sustainable development: Natural resource management at the consultative group on international agricultural research (CGIAR). Proc. Natl. Acad. Sci. USA 2016, 113, 4615–4622. [Google Scholar] [CrossRef] [PubMed]
- Paulus, P.B. Groups, teams, and creativity: The creative potential of idea-generating groups. Appl. Psychol. 2000, 49, 237–262. [Google Scholar] [CrossRef]
- Brown, T. Design thinking. Harv. Bus. Rev. 2008, 86, 84–92. [Google Scholar] [PubMed]
- Vasandani, V.; Govindaraj, T. Knowledge representation and human-computer interaction in an intelligent tutor for diagnostic problem-solving. In Proceedings of the 1990 IEEE International Conference on Systems, Man, and Cybernetics, Los Angeles, CA, USA, 4–7 November 1990; pp. 665–667. [Google Scholar]
- Lee, D.S.; Lee, K.C.; Seo, Y.W.; Choi, D.Y. An analysis of shared leadership, diversity, and team creativity in an e-learning environment. Comput. Hum. Behav. 2015, 42, 47–56. [Google Scholar] [CrossRef]
- Harvey, S. A different perspective: The multiple effects of deep level diversity on group creativity. J. Exp. Soc. Psychol. 2013, 49, 822–832. [Google Scholar] [CrossRef]
- Farh, J.L.; Lee, C.; Farh, C.I.C. Task conflict and team creativity: A question of how much and when. J. Appl. Psychol. 2010, 95, 1173–1180. [Google Scholar] [CrossRef] [PubMed]
- Nickerson, J.A.; Zenger, T.R. A knowledge-based theory of the firm-the problem-solving perspective. Organ. Sci. 2004, 15, 617–632. [Google Scholar] [CrossRef]
- Harvey, S. Creative Synthesis: Exploring the Process of Extraordinary Group Creativity. Acad. Manag. Rev. 2014, 39, 324–343. [Google Scholar] [CrossRef]
- Rietzschel, E.F.; Nijstad, B.A.; Stroebe, W. Relative accessibility of domain knowledge and creativity: The effects of knowledge activation on the quantity and originality of generated ideas. J. Exp. Soc. Psychol. 2007, 43, 933–946. [Google Scholar] [CrossRef]
- Cropley, A. In praise of convergent thinking. Creat. Res. J. 2006, 18, 391–404. [Google Scholar] [CrossRef]
- Zhou, J.; Hoever, I.J. Research on workplace creativity: A review and redirection. Annu. Rev. Organ. Psychol. Organ. Behav. 2014, 1, 333–359. [Google Scholar] [CrossRef]
- Rietzschel, E.F.; Nijstad, B.A.; Stroebe, W. Productivity is not enough: A comparison of interactive and nominal brainstorming groups on idea generation and selection. J. Exp. Soc. Psychol. 2006, 42, 244–251. [Google Scholar] [CrossRef]
- Wang, L.; Zhang, Q.P. An agent-based simulation model for IING’s adoption from a perspective of kinetic energy and potential energy. Kybernetes 2018, 47, 605–635. [Google Scholar] [CrossRef]
- Lewin, A.Y. Research on creative and innovative management: An evaluation of research strategies. In New Directions in Creative and Innovative Management: Bridging Theory and Practice; Yuji, I., Kuhn, R.L., Eds.; Ballinger/Harper and Row: Boston, MA, USA, 1988; pp. 131–143. [Google Scholar]
- Dougherty, D. Interpretive barriers to successful product innovation in large firms. Organ. Sci. 1992, 3, 179–202. [Google Scholar] [CrossRef]
- O’Connor, G.C.; Rice, M.P.; Peters, L.; Veryzer, R.W. Managing interdisciplinary, longitudinal research teams: Extending grounded theory-building methodologies. Organ. Sci. 2003, 14, 353–373. [Google Scholar] [CrossRef]
- Gardner, H.K.; Gino, F.; Staats, B.R. Dynamically integrating knowledge in teams: Transforming resources into performance. Acad. Manag. J. 2012, 55, 998–1022. [Google Scholar] [CrossRef]
- Cardinal, L.B.; Turner, S.F.; Fern, M.J.; Burton, R.M. Organizing for product development across technological environments: Performance trade-offs and priorities. Organ. Sci. 2011, 22, 1000–1025. [Google Scholar] [CrossRef]
- Edmondson, A.C. Speaking up in the operating room: How team leaders promote learning in interdisciplinary action teams. J. Manag. Stud. 2003, 40, 1419–1452. [Google Scholar] [CrossRef]
- Yu, L.T.; Zellmer-Bruhn, M. Introducing team mindfulness and considering its safeguard role against conflict transformation and social undermining. Acad. Manag. J. 2018, 61, 324–347. [Google Scholar] [CrossRef]
- Maltarich, M.A.; Kukenberger, M.; Reilly, G.; Mathieu, J. Conflict in teams: Modeling early and late conflict states and the interactive effects of conflict processes. Group Organ. Manag. 2018, 43, 6–37. [Google Scholar] [CrossRef]
- Volkova, E.E.; Dubrovsky, V.Z.; Yaroshevich, N.Y. Modelling uncertainty-exposed team decision-making in multi-agent system. Int. J. Appl. Math. Stat. 2017, 56, 29–45. [Google Scholar]
- Johnson, K.; Hays, C.; Center, H.; Daley, C. Building capacity and sustainable prevention innovations: A sustainability planning model. Eval. Program Plan. 2004, 27, 135–149. [Google Scholar] [CrossRef]
- McGreavy, B.; Lindenfeld, L.; Bieluch, K.H.; Silka, L.; Leahy, J.; Zoellick, B. Communication and sustainability science teams as complex systems. Ecol. Soc. 2015, 20, 2. [Google Scholar] [CrossRef]
- Ceptureanu, S.I.; Ceptureanu, E.G.; Luchian, C.E.; Luchian, I. Community based programs sustainability. A multidimensional analysis of sustainability factors. Sustainability 2018, 10, 870. [Google Scholar] [CrossRef]
- Wong, Y.Y.; Chow, I.H.S.; Lau, V.P.; Gong, Y.Y. Benefits of team participative decision making and its potential to affect individual creativity. J. Appl. Soc. Psychol. 2018, 48, 369–376. [Google Scholar] [CrossRef]
- Mehta, A.; Mehta, N. Knowledge integration and team effectiveness: A team goal orientation approach. Decis. Sci. 2018, 49, 445–486. [Google Scholar] [CrossRef]
- Giannoccaro, I.; Massari, G.F.; Carbone, G. Team resilience in complex and turbulent environments: The effect of size and density of social interactions. Complexity 2018, 2018, 1923216. [Google Scholar] [CrossRef]
- Schartinger, D.; Rammer, C.; Fischer, M.M.; Frohlich, J. Knowledge interactions between universities and inudstry in Austria: Sectoral patterns and determinants. Res. Policy 2002, 31, 303–328. [Google Scholar] [CrossRef]
- Jahanshahi, A.A.; Brem, A. Sustainability in SMEs: Top management teams behavioral integration as source of innovativeness. Sustainability 2017, 9, 1899. [Google Scholar] [CrossRef]
- Ancona, D.; Bresman, H. X-Teams: How to Build Teams That Lead, Innovate and Succeed; Harvard Business School Press: Boston, MA, USA, 2007. [Google Scholar]
- Storto, C.L. Small group problem-solving and knowledge creation: A fuzzy cognitive maps investigation. Adv. Sci. Lett. 2016, 22, 1282–1286. [Google Scholar] [CrossRef]
- Fleming, L. Science as a Map in Technological Search. Strateg. Manag. J. 2004, 25, 909–928. [Google Scholar] [CrossRef]
- Henderson, R.M.; Clark, K.B. Architectural innovation: The reconfiguration of existing product technologies and the failure of established firms. Admin. Sci. Q. 1990, 35, 9–30. [Google Scholar] [CrossRef]
- Harvey, S.; Kou, C.Y. Collective engagement in creative tasks: The role of evaluation in the creative process in groups. Admin. Sci. Q. 2013, 58, 346–386. [Google Scholar] [CrossRef]
- Paletz, S.B.F.; Schunn, C.D. A social-cognitive framework of multidisciplinary team innovation. Top. Cogn. Sci. 2010, 2, 73–95. [Google Scholar] [CrossRef] [PubMed]
- Johnson-Laird, P.N. Mental models in cognitive science. Cogn. Sci. 1980, 4, 71–115. [Google Scholar] [CrossRef]
- Super, J.F.; Li, P.S.; Ishqaidef, G.; Guthrie, J.P. Group rewards, group composition and information sharing: A motivated information processing perspective. Organ. Behav. Hum. Decis. Process. 2016, 134, 31–44. [Google Scholar] [CrossRef]
- Dreu, C.K.W.D.; Nijstad, B.A. Group creativity and innovation: A motivated information processing perspective. Psychol. Aesthet. Creat. Arts 2011, 5, 81–89. [Google Scholar] [CrossRef]
- Dugosh, K.L.; Paulus, P.B.; Roland, E.J.; Yang, H.C. Cognitive stimulation in brainstorming. J. Personal. Soc. Psychol. 2000, 79, 722–735. [Google Scholar] [CrossRef]
- Kohn, N.W.; Paulus, P.B.; Choi, Y.H. Building on the ideas of others: An examination of the idea combination process. J. Exp. Soc. Psychol. 2011, 47, 554–561. [Google Scholar] [CrossRef]
- George, J.M. Creativity in Organizations. Acad. Manag. Ann. 2007, 1, 439–477. [Google Scholar] [CrossRef]
- Paulus, P.B.; Yang, H.C. Idea generation in groups: A basis for creativity in organizations. Organ. Behav. Hum. Decis. Process. 2000, 82, 76–87. [Google Scholar] [CrossRef]
- Dumaine, B. The Trouble with Teams. Semin. Nurse Manag. 2001, 9, 132–135. [Google Scholar]
- Nijstad, B.A.; De Dreu, C.K.W. Creativity and group innovation. Appl. Psychol. 2002, 51, 400–406. [Google Scholar] [CrossRef]
- Lowe, P.; Phillipson, J.; Wilkinson, K. Why social scientists should engage with natural scientists. Contemp. Soc. Sci. 2013, 8, 207–222. [Google Scholar] [CrossRef]
- Derry, S.J.; Gernsbacher, M.A.; Schunn, C.D. Interdisciplinary Collaboration an Emerging Cognitive Science; Lawrence Erlbaum: Mahwah, NJ, USA, 2005. [Google Scholar]
- Pentland, A. Social Physics: How Social Networks Can Make Us Smarter; The Penguin Press: New York, NY, USA, 2014. [Google Scholar]
- Ruan, A.; Liu, S.; Fang, Z.; Xu, X. Study on development kinetic energy of Chinese industry and measure model of energy. In Proceedings of the 6th World Congress on Intelligent Control and Automation, Dalian, China, 21–23 June 2006; pp. 718–722. [Google Scholar]
- Bratianu, C.; Andriessen, D. Knowledge as energy: A metaphorical analysis. In Proceedings of the 9th European Conference on Knowledge Management, Southampton Sloent University, Southampton, UK, 4–5 September 2008. [Google Scholar]
- Dima, B.; Pasca, L.; Preda, C. A financial wave model for stock indices. Econ. Comput. Econ. CYB 2015, 49, 5–20. [Google Scholar]
- Upward, A.; Jones, P. An ontology for strongly sustainable business models: Defining an enterprise framework compatible with natural and social science. Organ. Environ. 2016, 29, 97–123. [Google Scholar] [CrossRef]
- Osborn, A.F. Applied Imagination: Principles and Procedures of Creative Thinking; Scribner: New York, NY, USA, 1957. [Google Scholar]
- Getzels, J.W. Creativity and intelligence: Explorations with gifted students. Am. J. Psychol. 1962, 77, 153. [Google Scholar] [CrossRef]
- Guilford, J.P. Traits of Creativity. In Creativity & Its Cultivation; Harper & Brothers: New York, NY, USA, 1959. [Google Scholar]
- Brophy, D.R. Understanding, measuring, and enhancing individual creative problem-solving efforts. Creat. Res. J. 1998, 11, 123–150. [Google Scholar] [CrossRef]
- Rickards, T.J. Creativity from a business school perspective: Past, present and future. In Nurturing and Developing Creativity: The Emergence of a Discipline; Murdoch, M.C., Isaksen, S.G., Coleman, S.E., Eds.; Ablex.: Norwood, NJ, USA, 1993; pp. 155–176. [Google Scholar]
- Brown, V.R.; Paulus, P.B. Making group brainstorming more effective: Recommendations from an associative memory perspective. Curr. Dir. Psychol. Sci. 2002, 11, 208–212. [Google Scholar] [CrossRef]
- Urtasun, A.A.; Luquin, A.; Garrido, J.J. Nuclear fission technology in Spain: History and social concerns. Public Underst. Sci. 2017, 26, 307–324. [Google Scholar] [CrossRef] [PubMed]
- Raeder, J. Controlled Nuclear Fusion: Fundamentals of Its Utilization for Energy Supply; Wiley Chichester: New York, NY, USA, 1986. [Google Scholar]
- Mcleod, P.L.; Lobel, S.A.; Cox, T.H. Ethnic diversity and creativity in small groups. Small Group Res. 1996, 27, 248–264. [Google Scholar] [CrossRef]
- Milliken, F.J.; Bartel, C.A.; Kurtzberg, T.R. Diversity and creativity in work groups: A dynamic perspective on the affective and cognitive processes that link diversity and performance. In Group Creativity: Innovation through Collaboration; Paulus, P.B., Nijstad, B.A., Eds.; Oxford University Press: New York, NY, USA, 2003; pp. 32–62. [Google Scholar]
- Pelled, L.H. Demographic diversity, conflict, and work group outcomes: An intervening process theory. Organ. Sci. 1996, 7, 615–631. [Google Scholar] [CrossRef]
- Nemeth, C.J. Differential contributions of majority and minority influence. Psychol. Rev. 1986, 93, 23–32. [Google Scholar] [CrossRef]
- Weick, K.E. Sensemaking in Organizations; Sage: Thousand Oaks, CA, USA, 1995. [Google Scholar]
- Paulus, P.B.; Brown, V.R. Toward more creative and innovative group idea generation: A cognitive-social-motivational perspective of brainstorming. Soc. Personal. Psychol. Compass 2010, 1, 248–265. [Google Scholar] [CrossRef]
- Nijstad, B.A.; Stroebe, W. How the group affects the mind: A cognitive model of idea generation in groups. Pers. Soc. Psychol. Rev. 2006, 10, 186–213. [Google Scholar] [CrossRef] [PubMed]
- Guilford, J.P. Creativity. Am. Psychol. 1950, 5, 444–454. [Google Scholar] [CrossRef] [PubMed]
- Kameo, N. A Culture of uncertainty: Interaction and organizational memory in software engineering teams under a productivity scheme. Organ. Stud. 2017, 38, 733–752. [Google Scholar] [CrossRef]
- Olick, J.K. States of Memory: Continuities, Conflicts, and Transformations in National Retrospection; Duke University Press: Durham, NC, USA, 2003. [Google Scholar]
- Olick, J.K.; Robbins, J. Social memory studies: From “collective memory” to the historical sociology of mnemonic practices. Annu. Rev.Sociol. 1998, 24, 105–140. [Google Scholar] [CrossRef]
- Amabile, T.M. Creativity in Context; Westview Press: Boulder, CO, USA, 1996. [Google Scholar]
- Yin, R.; Thousand, S. Case Study Research: Design and Methods, 4th ed.; Sage Publications Inc.: Thousand Oaks, CA, USA, 2009. [Google Scholar]






| Stage | Feature | Examples of Evidence |
|---|---|---|
| Formation of the primary idea | Expression of different opinions | “I have a lot of professional things, including formulas. After I had written them, everyone was wide-eyed and felt this couldn’t solve the problem. But in the end, everyone thought it was a natural, clever thing.” |
| Knowledge divergence | Brainstorm, Knowledge collision, inspiration | “Our team has a meeting every Wednesday afternoon to discuss the problems that everyone has encountered this week”; “The advantage that our team has maintained for a long time is that when we discuss a certain issue, we can express our opinions on a certain issue without worrying about position or age”; “New inspiration was often produced when others spoke. One of his words just inspired me.” “When the internal opinions are inconsistent, the team leader often encouraged everyone to say, this is not to be feared, it is also the routine in the development of things, never unified to unity”. |
| Knowledge convergence. | Establishment of team consensus | “In the meeting, we had a special person in charge to record the ideas put forward by everyone, and then through discussion, removed the ideas that were not realistic”; “We continued to explore the ideas we retained and linked some ideas to see if we could find a breakthrough in the problem.”; “When discussing the issue, some members put forward their own new opinions sometimes.” |
| Test | Test of the design plan | “This design encountered some problems during the experiment. In the next week’s regular meeting, we will discuss the plan in detail to see where the problem lies.” |
© 2018 by the authors. Licensee MDPI, Basel, Switzerland. This article is an open access article distributed under the terms and conditions of the Creative Commons Attribution (CC BY) license (http://creativecommons.org/licenses/by/4.0/).
Share and Cite
Cheng, X.; Zhang, Q. How to Develop the Interdisciplinary Innovation Teams Sustainably?—A Simulation Model from a Perspective of Knowledge Fission and Fusion. Sustainability 2018, 10, 3134. https://doi.org/10.3390/su10093134
Cheng X, Zhang Q. How to Develop the Interdisciplinary Innovation Teams Sustainably?—A Simulation Model from a Perspective of Knowledge Fission and Fusion. Sustainability. 2018; 10(9):3134. https://doi.org/10.3390/su10093134
Chicago/Turabian StyleCheng, Xue, and Qingpu Zhang. 2018. "How to Develop the Interdisciplinary Innovation Teams Sustainably?—A Simulation Model from a Perspective of Knowledge Fission and Fusion" Sustainability 10, no. 9: 3134. https://doi.org/10.3390/su10093134
APA StyleCheng, X., & Zhang, Q. (2018). How to Develop the Interdisciplinary Innovation Teams Sustainably?—A Simulation Model from a Perspective of Knowledge Fission and Fusion. Sustainability, 10(9), 3134. https://doi.org/10.3390/su10093134
