Analysis of Sustainable Materials for Radiative Cooling Potential of Building Surfaces
Abstract
:1. Introduction
2. Theoretical Analysis
2.1. Coupled Heat Conduction and Radiation Transfer with Temperature Profile in One-Dimensional Non-Gray Media
3. Experimental Studies
3.1. Materials
3.2. Spectral Measurement and Analysis
4. Results and Discussion
4.1. Experimental Results
4.1.1. UV-Visible Spectra Measurements
4.1.2. FTIR Spectroscopy Experiments
Spectral Absorption Coefficient
Band Approximation with Stepwise Gray Box Model
4.2. Numerical Analyses
4.2.1. Power of Cooling Calculated for Constant Temperature
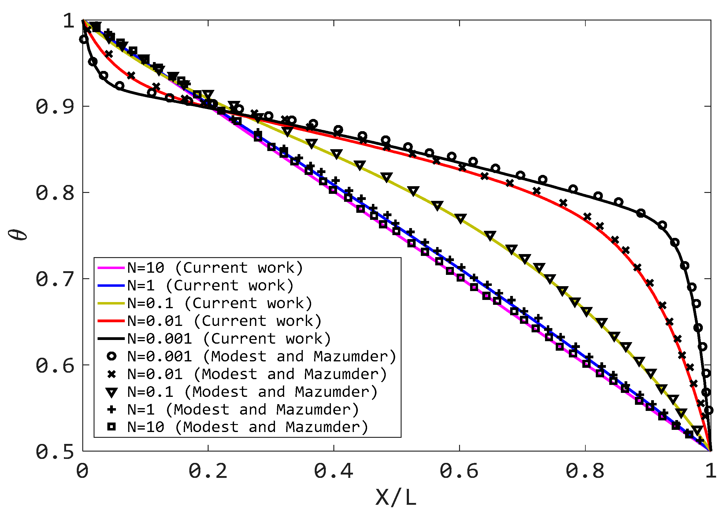
4.2.2. Coupled Heat Conduction and Radiation Simulations
5. Discussions and Conclusions
- Materials which have high spectral emissivity in both solar band (0.2–2 µm) and atmospheric window (8–13 µm) were considered; these materials are good candidates as solar collectors at daytime, and solar emitters or radiator coolers at night time.
- Materials which have high spectral emissivity in the atmospheric window (8–13 µm) and low spectral emissivity outside of this window were considered; radiative cooling can be achieved on the surface of these materials, and they are good candidates as radiative coolers at daytime.
- Materials which have high spectral emissivity at solar band and low spectral emissivity in other bands were considered; as they are good candidates for solar energy absorption.
Author Contributions
Funding
Acknowledgments
Conflicts of Interest
Nomenclature
| A | Area (m2) |
| Cp | Specific heat capacity (J/kg/K) |
| Ebλ | Blackbody emissive power (W/m3) |
| Gλ | Spectral incident radiation (W/m3) |
| hc | Non-radiative heat exchange coefficient |
| IAM1.5 | The solar illumination |
| IBB | Spectral radiance of a blackbody at temperature T |
| KB | Boltzmann constant (J/K) |
| qc | Conductive heat flux (W/m2) |
| qR | Radiative heat flux (W/m2) |
| Source term for energy equation (W/m3) | |
| T | Temperature (K) |
| Tamb | Ambient temperature (K) |
| t(λ) | The atmospheric transmittance in the zenith direction |
| U | Velocity vector (m/s) |
| Greek symbol | |
| ε | Emissivity |
| εatm | The angle-dependent emissivity of the atmosphere |
| ελ | Spectral emissivity |
| κλ | Spectral absorption coefficient (m−1) |
| κB | Absorption coefficient of background (m−1) |
| λ | Wavelength (µm) |
| λk,u | Upper wavelength of kth spectral box (m) |
| λk,l | lower wavelength of kth spectral box (m) |
| η | Wavenumber (cm−1) |
| σ | Stefan-Boltzmann constant (5.67 × 10 − 8 W·m−2·K−4) |
| σsλ | Spectral scattering coefficient (m−1) |
| Ω | Solid angle (sr) |
| θ | Polar angle and dimensionless temperature |
| ρ | Density (Kg/m3) |
References
- Howell, J.R.; Menguc, M.P.; Siegel, R. Thermal Radiation Heat Transfer, 6th ed.; CRC Press: Boca Raton, FL, USA; Taylor & Francis: Didcot, UK; Abingdon, UK, 2016. [Google Scholar]
- Nilsson, T.M.J.; Niklasson, G.A.; Granqvist, C.G. A solar reflecting material for radiative cooling applications: ZnS pigmented polyethylene. Sol. Energy Mater. Sol. Cells 1992, 28, 175–193. [Google Scholar] [CrossRef]
- Zhu, L.; Raman, A.; Fan, S. Color-preserving daytime radiative cooling. Appl. Phys. Lett. 2013, 103, 223902. [Google Scholar] [CrossRef]
- Dunkle, R.V. Thermal Radiation Characteristics of Surfaces. In Theory and Fundamental Research in Heat Transfer; Pergamon Press Ltd.: Oxford, UK, 1963; pp. 1–31. [Google Scholar]
- Reed, B.D.; Biglow, J.; Schneider, S. Engineering Issues of Iridium Coated Rhenium Rockets. Mater. Manuf. Process 1998, 13, 757–771. [Google Scholar] [CrossRef]
- Henninger, J.H. Solar Absorptance and Thermal Emittance of Some Common Spacecreaft Thermal Control Coatings; National Aeronautics and Space Administration: Washington, DC, USA, 1984; Volume 1121.
- Hall, D.F.; Fote, A. Thermal control coatings performance at near geosynchoronous altitude. J. Thermophys. Heat Transf. 1992, 6, 665–671. [Google Scholar] [CrossRef]
- Swirnow, W. Properties of Emissive Materials. Infrared Imaging Services, LLC. Available online: https://www.irinfo.org/03-01-2014-swirnow/ (accessed on 3 January 2014).
- Gonome, H.; Baneshi, M.; Okajima, J.; Komiya, A.; Maruyama, S. Controlling the radiative properties of cool black-color coatings pigmented with CuO submicron particles. J. Quant. Spectrosc. Radiat. Transf. 2014, 132, 90–98. [Google Scholar] [CrossRef]
- Rose, M.F.; Adair, P.; Schroeder, K. Selective emitters for thermophotovoltaic power systems for use in aerospace applications. J. Propuls. Power 1996, 12, 83–88. [Google Scholar] [CrossRef]
- Wijewardane, S.; Goswami, D.Y. A review on surface control of thermal radiation by paints and coatings for new energy applications. Renew. Sustain. Energy Rev. 2012, 16, 1863–1873. [Google Scholar] [CrossRef]
- Licciulli, A.; Diso, D.; Torsello, G.; Maffezzoli, A.; Lomascolo, M.; Mazzer, M. The challenge of high-performance selective emitters for thermophotovoltaic. Semicond. Sci. Technol. 2003, 18, S174. [Google Scholar] [CrossRef]
- Torsello, G.; Lomascolo, M.; Licciulli, A.; Diso, D.; Tundo, S.; Mazzer, M. The origin of highly efficient selective emission in rare-earth oxides for thermophotovoltaic applications. Nat. Mater. 2004, 3, 632–637. [Google Scholar] [CrossRef] [PubMed]
- Sentenac, J.; Greffet, A. Design of surface microrelief with selective radiative properties. Int. J. Heat Mass Transf. 1994, 37, 553–558. [Google Scholar] [CrossRef]
- Greffet, J.J.; Henkel, C. Coherent thermal radiation. Contemp. Phys. 2007, 48, 183–194. [Google Scholar] [CrossRef]
- Chen, S.; Wang, H.; Zhou, J.; Fang, L.; Lu, C.; Xu, Z. Photoresponsive hydrogels with high wavelength selectivity for near-infrared light. Mater. Lett. 2018, 219, 163–165. [Google Scholar] [CrossRef]
- Shankar, R.; Florjanczyk, M.; Hall, T.J.; Vukovic, A.; Hua, H. Multi-degree ROADM based on wavelength selective switches: Architectures and scalability. Opt. Commun. 2007, 279, 94–100. [Google Scholar] [CrossRef]
- Center for Sustainable Materials, Sustainability and Sustainable Materials; Rutgers University: Camden, NJ, USA, 2010.
- Ferkl, P.; Pokorný, R.; Bobák, M.; Kosek, J. Heat transfer in one-dimensional micro- and nano-cellular foams. Chem. Eng. Sci. 2013, 97, 50–58. [Google Scholar] [CrossRef]
- Mazumder, S. A new numerical procedure for coupling radiation in participating media with other modes of heat transfer. J. Heat Transf. 2005, 127, 1037–1045. [Google Scholar] [CrossRef]
- Lord, S.D. A New Software Tool for Computing Earth’s Atmospheric Transmission of Near- and Far-Infrared Radiation; NASA Ames Research Center: Moffett Field, CA, USA, 1992.
- Modest, M.F. Radiative Heat Transfer, 3rd ed.; Academic Press: Cambridge, MA, USA, 2013. [Google Scholar]
- Whitaker, S. Fundamental Principles of Heat Transfer; Pergamon Press: Oxford, UK, 1977. [Google Scholar]
- Viskanta, R.; Menguc, M.P. Radiation heat transfer in combustion systems. Prog. Energy Combust. Sci. 1987, 13, 97–160. [Google Scholar] [CrossRef]
- Modest, M.F.; Sikka, K.K. The stepwise gray P-1 approximation for multi-dimensional radiative transfer in molecular gas particulate mixtures. J. Quant. Spectrosc. Radiat. Transf. 1992, 48, 159–168. [Google Scholar] [CrossRef]
- Family, R.; Menguc, M.P. Materials for Radiative Cooling: A review. Procedia Environ. Sci. 2017, 38, 752–759. [Google Scholar] [CrossRef]
- Celik, S.; Family, R.; Menguc, M.P. Analysis of perlite and pumice based building insulation materials. J. Build. Eng. 2016, 6, 105–111. [Google Scholar] [CrossRef]
- Celik, S.; Family, R.; Menguc, M.P. Thermal Evaluation of Perlite and Pumice Based Building Insulation Materials Using Reverese Heat Leak Method. In Proceedings of the 1st Thermal and Fluid Engineering Summer Conference, New York, NY, USA, 9–12 August 2015. [Google Scholar]
- Saeli, M.; Piccirillo, C.; Tobaldi, D.M.; Binions, R.; Castro, P.L.M.; Pullar, R.C. A sustainable replacement for TiO2 in photocatalyst construction materials: Hydroxyapatite-based photocatalytic additives, made from the valorisation of food wastes of marine origin. J. Clean. Prod. 2018, 193, 115–127. [Google Scholar] [CrossRef]
- Fic, K.; Platek, A.; Piwek, J.; Frackowia, E. Sustainable materials for electrochemical capacitors. Mater. Today 2018, 21, 437–454. [Google Scholar] [CrossRef]
- Wunsch, J.R. Polystyrene: Synthesis, Production and Applications; iSmithers Rapra Publication: Shawbury, Shrewsbury, Shropshire, UK, 2000. [Google Scholar]
- GmbH, J. What Is XPS (Extruded Polystyrene Foam). Foam Technology. 2001. Available online: http://iwi-gmbh.com/iwi/pdf/IWI_XPS_en.pdf (accessed on 1 October 2001).
- Ravishankar, P.S. Treatise on EPDM. Rubber Chem. Technol. 2012, 85, 327–349. [Google Scholar] [CrossRef]
- Chen, J.; Huang, W.; Jiang, S.B.; Li, X.Y.; An, Y.; Li, C.; Gao, X.L.; Chen, H.B. Flame-retardant EPDM compounds containing phenanthrene to enhance radiation resistance. Radiat. Phys. Chem. 2017, 130, 400–405. [Google Scholar] [CrossRef]
- Kultur, S.; Turkeri, N. Assessment of long term solar reflectance performance of roof coverings measured in laboratory and in field. Build. Environ. 2012, 48, 164–172. [Google Scholar] [CrossRef]
- Brennan, M.P.; Abramase, A.L.; Andrews, R.W.; Pearce, J.M. Solar Energy Materials & Solar Cells Effects of spectral albedo on solar photovoltaic devices. Sol. Energy Mater. Sol. Cells 2014, 124, 111–116. [Google Scholar]
- Pumping, M.C. Foam Pouring Concrete: Making High Performance Homes with Sustainability. 2016. Available online: http://www.mapleconcretepumping.ca/foam-pouring-concrete-making-high-performance-homes-with sustainability/ (accessed on 15 November 2016).
- Vaou, V.; Panias, D. Thermal insulating foamy geopolymers from perlite. Miner. Eng. 2010, 23, 1146–1151. [Google Scholar] [CrossRef]
- Benk, A.; Coban, A. Possibility of producing lightweight, heat insulating bricks from pumice and H3PO4-or NH4NO3-hardened molasses binder. Ceram. Int. 2012, 38, 2283–2293. [Google Scholar] [CrossRef]
- Gündüz, L. The effects of pumice aggregate/cement ratios on the low-strength concrete properties. Constr. Build. Mater. 2008, 22, 721–728. [Google Scholar] [CrossRef]
- Girgin, I. Lightweight, Heat Insulating, High Mechanical Strength Shaped Product and Method of Producing the Same. U.S. Patent 7,354,542, 8 April 2008. [Google Scholar]
- Wattanavatee, K.; Krmar, M.; Bhongsuwan, T. A survey of natural terrestrial and airborne radionuclides in moss samples from the peninsular Thailand. J. Environ. Radioact. 2017, 177, 113–127. [Google Scholar] [CrossRef] [PubMed]
- Sun, Z.; Hong, L.; Jingmiao, L.; Guoping, S. Estimation of photosynthetically active radiation using solar radiation in the UV–visible spectral band. Sol. Energy 2017, 153, 611–622. [Google Scholar] [CrossRef]
- Griffiths, P.R.; De Haseth, J.A.; Winefordner, J.D. Fourier Transform Infrared Spectrometry, 2nd ed.; Wiley: Hoboken, NJ, USA, 2007. [Google Scholar]
- Elkhoshkhany, N.; Khatab, M.A.; Kabary, M.A. Thermal, FTIR and UV spectral studies on tellurite glasses doped with cerium oxide. Ceram. Int. 2018, 44, 2789–2796. [Google Scholar] [CrossRef]
- Mauricio-Sánchez, R.A.; Salazar, R.; Luna-Bárcenas, J.G.; Mendoza-Galván, A. FTIR spectroscopy studies on the spontaneous neutralization of chitosan acetate films by moisture conditioning. Vib. Spectrosc. 2018, 94, 1–6. [Google Scholar] [CrossRef]
- Soderberg, T. Ultraviolet and Visible Spectroscopy. Libretexts Libraries, Section 4.4, 2017. Available online: https://chem.libretexts.org/Textbook_Maps/Organic_Chemistry/Book%3A_Organic_Chemistry_with_a_Biological_Emphasis_%28Soderberg%29/Chapter_04%3A_Structure_Determination_I/4.4%3A_Ultraviolet_and_visible_spectroscopy (accessed on 11 April 2017).
- Khandpur, R.S. Handbook of Analytical Instruments, 3rd ed.; Tata McGraw-Hill: New York, NY, USA, 1989. [Google Scholar]
- Hu, M.; Pei, G.; Li, L.; Zheng, R.; Li, J.; Ji, J. Theoretical and Experimental Study of Spectral Selectivity Surface for Both Solar Heating and Radiative Cooling. Int. J. Photoenergy 2015, 2015. [Google Scholar] [CrossRef]
- Hu, M.; Pei, G.; Wang, Q.; Li, J.; Wang, Y.; Ji, J. Field test and preliminary analysis of a combined diurnal solar heating and nocturnal radiative cooling system. Appl. Energy 2016, 179, 899–908. [Google Scholar] [CrossRef]
- Mavengere, S.; Kim, J.S. UV–visible light photocatalytic properties of NaYF4:(Gd, Si)/TiO2 composites. Appl. Surf. Sci. 2018, 444, 491–496. [Google Scholar] [CrossRef]
- Liu, T.; Chn, Z.; Liu, H.; Zhang, Z. FTIR spectral imaging enhancement algorithm for face recognition in the intelligent learning environment. Infrared Phys. Technol. 2018, 93, 213–222. [Google Scholar] [CrossRef]
- Vasylieva, A.; Doroshenko, I.; Vaskivskyi, Y.; Chernolevska, Y.; Pogorelov, V. FTIR study of condensed water structure. J. Mol. Struct. 2018, 1167, 232–238. [Google Scholar] [CrossRef]
- Ravindra, N.M.; Ganapathy, P.; Choi, J. Energy gap–refractive index relations in semiconductors—An overview. Infrared Phys. Technol. 2007, 50, 21–29. [Google Scholar] [CrossRef]
- Menguc, M.P. Heat Transfer in a Radiating Laminar Flow between Parallel Plates. Master’s Thesis, Middle East Technical University, Ankara, Turkey, 1980. [Google Scholar]
- Cheong, J.S.; Baharuddin, A.N.A.P.; Ng, J.S.; Krysa, A.B.; David, J.P.R. Absorption coefficients in AlGaInP lattice-matched to GaAs. Sol. Energy Mater. Sol. Cells 2017, 164, 28–31. [Google Scholar] [CrossRef]
- Proctor, C.; Lu, B.; He, Y. Remote Sensing of Environment Determining the absorption coef fi cients of decay pigments in decomposing monocots. Remote Sens. Environ. 2017, 199, 137–153. [Google Scholar] [CrossRef]
- Ribeiro da Luz, B.; Crowley, J.K. Spectral reflectance and emissivity features of broad leaf plants: Prospects for remote sensing in the thermal infrared (8.0–14.0 μm). Remote Sens. Environ. 2007, 109, 393–405. [Google Scholar] [CrossRef]
- Hernández Velasco, B.L.; Arrieta-Baez, D.; Cortez Sotelo, P.I.; Méndez-Méndez, J.V.; Berdeja Martínez, B.M.; Gómez-Patiño, M.B. Comparative studies of cutins from lime (Citrus aurantifolia) and grapefruit (Citrus paradisi) after TFA hydrolysis. Phytochemistry 2017, 144, 78–86. [Google Scholar] [CrossRef] [PubMed]
- Bathgate, S.N.; Bosi, S.G. A robust convection cover material for selective radiative cooling applications. Sol. Energy Mater. Sol. Cells 2011, 95, 2778–2785. [Google Scholar] [CrossRef]
- Menguc, M.P.; Yener, Y.; Ozisik, M.N. Interaction of Radiation and Convection in Thermally Developing Laminar Flow in a Parallel-Plate Channel. ASME Paper No: 83-HT-035. In Proceedings of the ASME National Heat Transfer Conference, Seattle, WA, USA, 24–28 July 1983. [Google Scholar]
- Wang, P.Y.; Tan, H.P.; Liu, L.H.; Tong, T.Y. Coupled radiation and conduction in a scattering composite layer with coatings. J. Thermophys. Heat Transf. 2000, 14, 512–522. [Google Scholar] [CrossRef]

















| Name | Image |
|---|---|
| XPS = Extruded Polystyrene Foam Consists of closed cells, which improved higher stiffness and surface roughness and reduced thermal conductivity [27]. | ![]() |
| Perlite Pumice Cement Composite (PPC) They are derived from volcanic rock and might be applicated in a variety of soil mixes [28]. | ![]() |
| White Painted PPC The PPC sample was painted with white paint in the laboratory. | ![]() |
| Black Membrane The Black membrane is EPDM (Ethylene propylene diene monomer (M-class) rubber), which is explained in the text [33,34]. | ![]() |
| Red Membrane The Red membrane is the red shingle, which is explained in the text [35,36]. | ![]() |
| Plant or moss Simple grass gathered from typical green-roofs at the University campus. | ![]() |
| Material Tamb = 303 K | Net Radiative Power (W/m2) Prad at 273 K | Net Radiative Power (W/m2) Prad at 283 K | Net Radiative Power (W/m2) Prad at 293 K |
|---|---|---|---|
| PPC | 12.4 | 15.4 | 18.7 |
| Painted PPC | 12.9 | 16.0 | 19.4 |
| Plant or moss | 23.5 | 28.6 | 34.2 |
| Black membrane | 8.2 | 10.4 | 12.7 |
| Red membrane | 7.3 | 9.0 | 11.0 |
| XPS | 6.5 | 8.0 | 9.7 |
| Selective emitter (Ideal sample) | 47.9 | 60.4 | 74.5 |
| Material Tamb = 303 K | Net Radiative Power (W/m2) Prad at 293 K |
|---|---|
| Plant or moss | 34.2 |
| Silicon oxide | 27.5 |
| T0 | TL | λ1 | λ2 | λ3 |
|---|---|---|---|---|
| 293 K | 300 K | 2.7 µm | 4.3 µm | 15 µm |
| Name | R Value (K·m2/W) | k (W/m·K) |
|---|---|---|
| PPC | 0.222 | 2.25 |
| Painted PPC | 0.282 | 1.77 |
| Plant or moss | 0.261 | 1.91 |
| XPS | 0.826 | 0.96 |
| Black membrane | 0.252 | 1.98 |
| Red membrane | 0.077 | 6.49 |
| Material | Potential as a Solar Absorber | Potential as a Day Time Radiative Cooler | Potential as a Night Time Radiative Cooler |
|---|---|---|---|
| PPC | Weak | Good | Good |
| Painted PPC | Weak | Good | Good |
| Plant or moss | Weak | Good | Good |
| Black membrane | Very good | Weak | Weak |
| Red membrane | Good | Weak | Weak |
| XPS | Weak | Very weak | Very weak |
© 2018 by the authors. Licensee MDPI, Basel, Switzerland. This article is an open access article distributed under the terms and conditions of the Creative Commons Attribution (CC BY) license (http://creativecommons.org/licenses/by/4.0/).
Share and Cite
Family, R.; Mengüç, M.P. Analysis of Sustainable Materials for Radiative Cooling Potential of Building Surfaces. Sustainability 2018, 10, 3049. https://doi.org/10.3390/su10093049
Family R, Mengüç MP. Analysis of Sustainable Materials for Radiative Cooling Potential of Building Surfaces. Sustainability. 2018; 10(9):3049. https://doi.org/10.3390/su10093049
Chicago/Turabian StyleFamily, Roxana, and M. Pinar Mengüç. 2018. "Analysis of Sustainable Materials for Radiative Cooling Potential of Building Surfaces" Sustainability 10, no. 9: 3049. https://doi.org/10.3390/su10093049
APA StyleFamily, R., & Mengüç, M. P. (2018). Analysis of Sustainable Materials for Radiative Cooling Potential of Building Surfaces. Sustainability, 10(9), 3049. https://doi.org/10.3390/su10093049







