What Drives Policy Attention to Climate Change in China? An Empirical Analysis through the Lens of People’s Daily
Abstract
1. Introduction
2. Theoretical Framework and Hypotheses
2.1. Problem Indicators
2.2. Focusing Events
2.3. Policy Knowledge
2.4. Spillovers
2.4.1. Spillover from Attention to Environmental Subsystems Other than Climate Change
2.4.2. Spillover from Abroad
3. Data and Methodology
3.1. Measuring Attention to Climate Change
3.1.1. Why?
3.1.2. How?
3.2. Measuring the Independent Variables
3.2.1. Problem Indicators
3.2.2. Focusing Events
3.2.3. Policy Knowledge
3.2.4. Attention to Environmental Issues Other than Climate Change
3.2.5. Pressure from Abroad
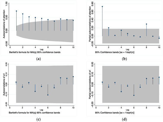
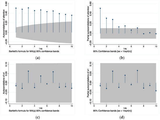
3.3. Auto Regressive Integrated Moving Average Model
4. Analysis
4.1. Monthly-Based Regression
4.2. Quarterly-Based Regression
5. Discussion
5.1. Attention and the Time Effect
5.2. Attention and Problem Indicators
5.3. Attention and Focusing Events
5.4. Attention and Policy Knowledge
5.5. Attention and the Trans-Subsystem Effect
5.6. Attention and the Boundary-Spanning Effect
6. Conclusions
Author Contributions
Funding
Acknowledgments
Conflicts of Interest
Appendix A
References
- IPCC. Climate Change 2014: Synthesis Report; IPCC: Geneva, Swizerland, 2014. [Google Scholar]
- Dryzek, J.S.; Norgaard, R.B.; Schlosberg, D. The Oxford Handbook of Climate Change and Society; Oxford University Press: Oxford, UK, 2011. [Google Scholar]
- Baumgartner, F.R.; Jones, B.D. Agendas and Instability in American Politics, 2nd ed.; University of Chicago Press: Chicago, IL, USA, 2010. [Google Scholar]
- Jones, B.D. Reconceiving Decision-Making in Democratic Politics: Attention, Choice, and Public Policy; University of Chicago Press: Chicago, IL, USA, 1994. [Google Scholar]
- Jones, B.D.; Baumgartner, F.R. The Politics of Attention: How Government Prioritizes Problems; University of Chicago Press: Chicago, IL, USA, 2005. [Google Scholar]
- Kingdon, J.W. Agendas, Alternatives, and Public Policies, 2nd ed.; Longman: New York, NY, USA, 1995. [Google Scholar]
- Dowding, K.; Hindmoor, A.; Martin, A. The comparative policy agendas project: Theory, measurement and findings. J. Public Policy 2016, 36, 3–25. [Google Scholar] [CrossRef]
- May, P.J.; Workman, S.; Jones, B.D. Organizing attention: Responses of the bureaucracy to agenda disruption. J. Public Adm. Res. Theory 2008, 18, 517–541. [Google Scholar] [CrossRef]
- Mertha, A. “Fragmented authoritarianism 2.0”: Political pluralization in the Chinese policy process. China Q. 2009, 200, 995–1012. [Google Scholar] [CrossRef]
- Zhan, X.; Lo, C.W.H.; Tang, S.Y. Contextual changes and environmental policy implementation: A longitudinal study of street-level bureaucrats in guangzhou, China. J. Public Adm. Res. Theory 2013, 24, 1005–1035. [Google Scholar] [CrossRef]
- Kostka, G.; Hobbs, W. Local energy efficiency policy implementation in China: Bridging the gap between national priorities and local interests. China Q. 2012, 211, 765–785. [Google Scholar] [CrossRef]
- Jennings, W.; John, P. The dynamics of political attention: Public opinion and the queen’s speech in the United Kingdom. Am. J. Polit. Sci. 2009, 53, 838–854. [Google Scholar] [CrossRef]
- Baumgartner, F.R.; Breunig, C.; Green-Pedersen, C.; Jones, B.D.; Mortensen, P.B.; Nuytemans, M.; Walgrave, S. Punctuated equilibrium in comparative perspective. Am. J. Polit. Sci. 2009, 53, 603–620. [Google Scholar] [CrossRef]
- Jensen, J.L.; Mortensen, P.B.; Serritzlew, S. The dynamic model of choice for public policy reconsidered: A formal analysis with an application to us budget data. J. Public Adm. Res. Theory 2016, 26, 226–238. [Google Scholar] [CrossRef]
- Jones, B.D.; Baumgartner, F.R. A model of choice for public policy. J. Public Adm. Res. Theory 2005, 15, 325–351. [Google Scholar] [CrossRef]
- Workman, S.; Jones, B.D.; Jochim, A.E. Information processing and policy dynamics. Policy Stud. J. 2009, 37, 75–92. [Google Scholar] [CrossRef]
- Wood, B.D.; Vedlitz, A. Issue definition, information processing, and the politics of global warming. Am. J. Polit. Sci. 2007, 51, 552–568. [Google Scholar] [CrossRef]
- Simon, H.A. Reason in Human Affairs; Stanford University Press: Palo Alto, CA, USA, 1990. [Google Scholar]
- True, J.L. Attention, inertia, and equity in the social security program. J. Public Adm. Res. Theory 1999, 9, 571–596. [Google Scholar] [CrossRef]
- Baumgartner, F.R.; Jones, B.D. The Politics of Information; University of Chicago Press: Chicago, IL, USA, 2015. [Google Scholar]
- Baumgartner, F.R.; Jones, B.D.; Wilkerson, J. Comparative studies of policy dynamics. Comp. Polit. Stud. 2011, 44, 947–972. [Google Scholar] [CrossRef]
- Jones, M.D.; Jenkins-Smith, H.C. Trans-subsystem dynamics: Policy topography, mass opinion, and policy change. Policy Stud. J. 2009, 37, 37–58. [Google Scholar] [CrossRef]
- Birkland, T.A. After Disaster: Agenda Setting, Public Policy, and Focusing Events; Georgetown University Press: Washington, DC, USA, 1997. [Google Scholar]
- Orach, K.; Schluter, M. Uncovering the political dimension of social-ecological systems: Contributions from policy process frameworks. Glob. Environ. Chang. 2016, 40, 13–25. [Google Scholar] [CrossRef]
- Nowlin, M.C. Theories of the policy process: State of the research and emerging trends. Policy Stud. J. 2011, 39, 41–60. [Google Scholar] [CrossRef]
- Liu, X.; Lindquist, E.; Vedlitz, A. Explaining media and congressional attention to global climate change, 1969–2005: An empirical test of agenda-setting theory. Polit. Res. Q. 2011, 64, 405–419. [Google Scholar] [CrossRef]
- Schäfer, M.S.; Ivanova, A.; Schmidt, A. What drives media attention for climate change? Explaining issue attention in Australian, German and Indian print media from 1996 to 2010. Int. Commun. Gaz. 2014, 76, 152–176. [Google Scholar] [CrossRef]
- Brossard, D.; Shanahan, J.; McComas, K. Are issue-cycles culturally constructed? A comparison of French and American coverage of global climate change. Mass Commun. Soc. 2004, 7, 359–377. [Google Scholar] [CrossRef]
- Barkemeyer, R.; Figge, F.; Hoepner, A.; Holt, D.; Kraak, J.M.; Yu, P.S. Media coverage of climate change: An international comparison. Environ. Plan. C Polit. Space 2017, 35, 1029–1054. [Google Scholar] [CrossRef]
- Shanahan, J.; Good, J. Heat and hot air: Influence of local temperature on journalists’ coverage of global warming. Public Underst. Sci. 2000, 9, 285–295. [Google Scholar] [CrossRef]
- Birkland, T.A. Focusing events, mobilization, and agenda setting. J. Public Policy 1998, 18, 53–74. [Google Scholar] [CrossRef]
- Birkland, T.A. “The world changed today”: Agenda-setting and policy change in the wake of the september 11 terrorist attacks. Rev. Policy Res. 2004, 21, 179–200. [Google Scholar] [CrossRef]
- Birkland, T.A. Lessons of Disaster: Policy Change after Catastrophic Events; Georgetown University Press: Washington, DC, USA, 2006. [Google Scholar]
- Carter, N.; Jacobs, M. Explaining radical policy change: The case of climate change and energy policy under the British labour government 2006–10. Public Adm. 2014, 92, 125–141. [Google Scholar] [CrossRef]
- Ascher, W.; Steelman, T.; Healy, R. Knowledge and Environmental Policy: Re-Imagining the Boundaries of Science and Politics; MIT Press: Cambridge, MA, USA, 2010. [Google Scholar]
- Sarewitz, D.; Pielke, R.A.; Byerly, R. Introduction: Death, taxes, and environmental policy. In Prediction: Science, Decision Making, and the Future of Nature; Sarewitz, D., Pielke, R.A., Byerly, R., Eds.; Island Press: Washington, DC, USA, 2000. [Google Scholar]
- James, T.E.; Jorgensen, P.D. Policy knowledge, policy formulation, and change: Revisiting a foundational question. Policy Stud. J. 2009, 37, 141–162. [Google Scholar] [CrossRef]
- Michaels, S. Matching knowledge brokering strategies to environmental policy problems and settings. Environ. Sci. Policy 2009, 12, 994–1011. [Google Scholar] [CrossRef]
- Dunlop, C.A. Policy transfer as learning: Capturing variation in what decision-makers learn from epistemic communities. Policy Stud. 2009, 30, 289–311. [Google Scholar] [CrossRef]
- Haas, P.M. Introduction: Epistemic communities and international policy coordination. Int. Organ. 1992, 46, 1–35. [Google Scholar] [CrossRef]
- Jochim, A.E.; May, P.J. Beyond subsystems: Policy regimes and governance. Policy Stud. J. 2010, 38, 303–327. [Google Scholar] [CrossRef]
- Simon, H.A. Human nature in politics: The dialogue of psychology with political science. Am. Polit. Sci. Rev. 1985, 79, 293–304. [Google Scholar] [CrossRef]
- Djerf-Pierre, M. The crowding-out effect issue dynamics and attention to environmental issues in television news reporting over 30 years. J. Stud. 2012, 13, 499–516. [Google Scholar] [CrossRef]
- Green-Pedersen, C.; Mortensen, P.B. Who sets the agenda and who responds to it in the danish parliament? A new model of issue competition and agenda-setting. Eur. J. Polit. Res. 2010, 49, 257–281. [Google Scholar] [CrossRef]
- Boscarino, J.E. Surfing for problems: Advocacy group strategy in us forestry policy. Policy Stud. J. 2009, 37, 415–434. [Google Scholar] [CrossRef]
- Djerf-Pierre, M. When attention drives attention: Issue dynamics in environmental news reporting over five decades. Eur. J. Commun. 2012, 27, 291–304. [Google Scholar] [CrossRef]
- Milner, H.V. Interests, Institutions, and Information: Domestic Politics and International Relations; Princeton University Press: Princeton, NJ, USA, 1997. [Google Scholar]
- Economy, E.; Schreurs, M.A. Domestic and international linkages in environmental politics. In The Internationalization of Environmental Protection; Elizabeth, E., Schreurs, M.A., Eds.; Cambridge University Press: Cambridge, UK, 1997; pp. 1–18. [Google Scholar]
- Fankhauser, S.; Gennaioli, C.; Collins, M. Do international factors influence the passage of climate change legislation? Clim. Policy 2016, 16, 318–331. [Google Scholar] [CrossRef]
- Economy, E. Chinese policy-making and global climate change: Two-front diplomacy and the international community. In The Internationalization of Environmental Protection; Schreurs, M.A., Economy, E., Eds.; Cambridge University Press: Cambridge, UK, 1997; pp. 19–41. [Google Scholar]
- Zhang, Z. The forces behind china’s climate change policy: Interests, sovereignty, and prestige. In Global Warming and East Asia: The Domestic and International Politics of Climate Change; Harris, P.G., Ed.; Routledge: London, UK, 2003; p. 284. [Google Scholar]
- Hatch, M.T. Chinese politics, energy policy, and the international climate change negotiations. In Global Warming and East Asia: The Domestic and International Politics of Climate Change; Harris, P.G., Ed.; Routledge: London, UK, 2003; p. 284. [Google Scholar]
- Heggelund, G. China’s climate change policy: Domestic and international developments. Asian Perspect. 2007, 31, 155–191. [Google Scholar]
- Lewis, J.I. Climate change and security: Examining China’s challenges in a warming world. Int. Aff. 2009, 85, 1195–1213. [Google Scholar] [CrossRef]
- Harris, P.G. Global Warming and East Asia: The Domestic and International Politics of Climate Change; Routledge: London, UK, 2003; p. 284. [Google Scholar]
- Harris, P.G.; Yu, H. Environmental change and the Asia pacific: China responds to global warming. Glob. Chang. Peace Secur. 2005, 17, 45–58. [Google Scholar] [CrossRef]
- Daniela, S. Media Commercialization and Authoritarian Rule in China; Cambridge University Press: Cambridge, UK, 2013. [Google Scholar]
- Shambaugh, D. China’s propaganda system: Institutions, processes and efficacy. China J. 2007, 57, 25–58. [Google Scholar] [CrossRef]
- Steinhardt, H.C. Discursive accommodation: Popular protest and strategic elite communication in China. Eur. Polit. Sci. Rev. 2017, 9, 539–560. [Google Scholar] [CrossRef]
- Wu, G. Command communication: The politics of editorial formulation in the people’s daily. China Q. 1994, 137, 194–211. [Google Scholar] [CrossRef]
- Shi, T.J.; Lou, D.Q. Subjective evaluation of changes in civil liberties and political rights in China. J. Contemp. China 2010, 19, 175–199. [Google Scholar] [CrossRef]
- Ciqi, M.; Xiaonan, W.; Lu, X.; Zhilin, L. Patterns of “experimentation point”: Evidence from people’s daily’s 1992–2003 reports on policy experimentation point. J. Public Adm. 2015, 8, 8–24. (In Chinese) [Google Scholar]
- Schmidt, A.; Ivanova, A.; Schäfer, M.S. Media attention for climate change around the world: A comparative analysis of newspaper coverage in 27 countries. Glob. Environ. Chang. 2013, 23, 1233–1248. [Google Scholar] [CrossRef]
- Kern, F. Ideas, institutions, and interests: Explaining policy divergence in fostering ‘system innovations’ towards sustainability. Environ. Plan. C Gov. Policy 2011, 29, 1116–1134. [Google Scholar] [CrossRef]
- Holt, D.; Barkemeyer, R. Media coverage of sustainable development issues-attention cycles or punctuated equilibrium? Sustain. Dev. 2012, 20, 1–17. [Google Scholar] [CrossRef]
- Lam, W.F.; Chan, K.N. How authoritarianism intensifies punctuated equilibrium: The dynamics of policy attention in Hong Kong. Governance 2015, 28, 549–570. [Google Scholar] [CrossRef]
- John, P.; Bevan, S. What are policy punctuations? Large changes in the legislative agenda of the UK government, 1911–2008. Policy Stud. J. 2012, 40, 89–107. [Google Scholar] [CrossRef]
- Mortensen, P.B.; Green-Pedersen, C.; Breeman, G.; Chaqués-Bonafont, L.; Jennings, W.; John, P.; Palau, A.M.; Timmermans, A. Comparing government agendas: Executive speeches in the Netherlands, United Kingdom, and Denmark. Comp. Polit. Stud. 2011, 44, 973–1000. [Google Scholar] [CrossRef]
- Hopkins, D.J.; King, G. A method of automated nonparametric content analysis for social science. Am. J. Polit. Sci. 2010, 54, 229–247. [Google Scholar] [CrossRef]
- Nowlin, M.C. Modeling issue definitions using quantitative text analysis. Policy Stud. J. 2016, 44, 309–331. [Google Scholar] [CrossRef]
- Mihalcea, R.; Tarau, P. Textrank: Bringing Order into Texts. In Proceedings of the 2004 Conference on Empirical Methods in Natural Language Processing; Association for Computational Linguistics: Stroudsburg, PA, USA, 2004. [Google Scholar]
- Cambria, E.; White, B. Jumping NLP curves: A review of natural language processing research [review article]. IEEE Comput. Intell. Mag. 2014, 9, 48–57. [Google Scholar] [CrossRef]
- Olofsson, K.L.; Weible, C.M.; Heikkila, T.; Martel, J.C. Using nonprofit narratives and news media framing to depict air pollution in Delhi, India. Environ. Commun. 2017, 11, 1–17. [Google Scholar] [CrossRef]
- Dunaiski, M.; Greene, G.J.; Fischer, B. Exploratory search of academic publication and citation data using interactive tag cloud visualizations. Scientometrics 2017, 110, 1539–1571. [Google Scholar] [CrossRef]
- Wang, Z.; Ke, L.; Cui, X.; Yin, Q.; Liao, L.; Gao, L.; Wang, Z. Monitoring environmental quality by sniffing social media. Sustainability 2017, 9, 85. [Google Scholar] [CrossRef]
- Walgrave, S.; Soroka, S.; Nuytemans, M. The mass media’s political agenda-setting power—A longitudinal analysis of media, parliament, and government in Belgium (1993 to 2000). Comp. Polit. Stud. 2008, 41, 814–836. [Google Scholar] [CrossRef]
- Koopmans, R.; Vliegenthart, R. Media attention as the outcome of a diffusion process—A theoretical framework and cross-national evidence on earthquake coverage. Eur. Sociol. Rev. 2011, 27, 636–653. [Google Scholar] [CrossRef]
- Vliegenthart, R.; Boomgaarden, H.G. Real-world indicators and the coverage of immigration and the integration of minorities in Dutch newspapers. Eur. J. Commun. 2007, 22, 293–314. [Google Scholar] [CrossRef]
- Durante, R.; Zhuravskaya, E. Attack when the world is not watching? Us news and the Israeli-Palestinian conflict. J. Polit. Econ. 2018, 126, 1085–1133. [Google Scholar] [CrossRef]
- Ines, L.A.; Iñaki, S. Are all policy decisions equal? Explaining the variation in media coverage of the UK budget. Policy Stud. J. 2017, 45, 337–358. [Google Scholar] [CrossRef]
- He, L.C. China’s climate-change policy from Kyoto to Copenhagen: Domestic needs and international aspirations. Asian Perspect. 2010, 34, 5–33. [Google Scholar]
- Schreurs, M.A.; Tiberghien, Y. Multi-level reinforcement: Explaining European Union leadership in climate change mitigation. Glob. Environ. Polit. 2007, 7, 19–46. [Google Scholar] [CrossRef]
- McCombs, M. Setting the Agenda: The Mass Media and Public Opinion; Blackwell Publishing: Malden, MA, USA, 2004. [Google Scholar]
- Cook, T.E. Governing with the News: The News Media as a Political Institution; University of Chicago Press: Chicago, IL, USA, 1998. [Google Scholar]
- Boydstun, A.E.; Glazier, R.A. A two-tiered method for identifying trends in media framing of policy issues: The case of the war on terror. Policy Stud. J. 2013, 41, 706–735. [Google Scholar] [CrossRef]
- Wolfe, M. Putting on the brakes or pressing on the gas? Media attention and the speed of policymaking. Policy Stud. J. 2012, 40, 109–126. [Google Scholar] [CrossRef]
- Will, J.; Stephen, F.; Emily, G.; Colin, H. Moral panics and punctuated equilibrium in public policy: An analysis of the criminal justice policy agenda in Britain. Policy Stud. J. 2017, 1–28. [Google Scholar] [CrossRef]
- Vliegenthart, R. Moving up. Applying aggregate level time series analysis in the study of media coverage. Qual. Quant. 2013, 48, 2427–2445. [Google Scholar] [CrossRef]
- Deere-Birkbeck, C. Global governance in the context of climate change: The challenges of increasingly complex risk parameters. Int. Aff. 2009, 85, 1173–1194. [Google Scholar] [CrossRef]
- Zhu, X. Government advisors or public advocates? Roles of think tanks in China from the perspective of regional variations. China Q. 2011, 207, 668–686. [Google Scholar] [CrossRef]
- Wübbeke, J. China’s climate change expert community—Principles, mechanisms and influence. J. Contemp. China 2013, 22, 712–731. [Google Scholar] [CrossRef]
- Brajer, V.; Mead, R.W.; Xiao, F. Searching for an Environmental Kuznets Curve in China’s air pollution. China Econ. Rev. 2011, 22, 383–397. [Google Scholar] [CrossRef]
- Yu, Y.; Chen, D.; Zhu, B.; Hu, S. Eco-efficiency trends in China, 1978–2010: Decoupling environmental pressure from economic growth. Ecol. Indic. 2013, 24, 177–184. [Google Scholar] [CrossRef]
- Shambaugh, D.L. China’s Communist Party: Atrophy and Adaptation; Woodrow Wilson Center Press: Washington, DC, USA, 2008. [Google Scholar]
- Young, O.R.; Guttman, D.; Qi, Y.; Bachus, K.; Belis, D.; Cheng, H.; Lin, A.; Schreifels, J.; Van Eynde, S.; Wang, Y.; et al. Institutionalized governance processes: Comparing environmental problem solving in China and the United States. Glob. Environ. Chang. 2015, 31, 163–173. [Google Scholar] [CrossRef]
- Hendrix, C.S.; Wong, W.H. When is the pen truly mighty? Regime type and the efficacy of naming and shaming in curbing human rights abuses. Br. J. Polit. Sci. 2013, 43, 651–672. [Google Scholar] [CrossRef]
- Dunlap, R.E.; McCright, A.M.; Yarosh, J.H. The political divide on climate change: Partisan polarization widens in the US. Environ. Sci. Policy Sustain. Dev. 2016, 58, 4–23. [Google Scholar] [CrossRef]




| Focusing Events | Content |
|---|---|
| COP | Conferences of Parties of UNFCCC, 20 in total (1995–2013) |
| Rio+ 1 | United Nations Conferences on Sustainable Development, 3 in total |
| APP | Asia Pacific Partnership on Clean Development and Climate Summit, 3 in total |
| G20 2 | G20 Summits, 19 in total (1999–2013) |
| BRICS 3 | BRICS Summits, 10 in total (2008–2013) |
| IPCC 4 | Release of IPCC Assessment Reports |
| Base ARMA 1 | Model 1 | Model 2 | Model 3 | Model 4a | Model 4b | Model 5 | Model 6 | ||
|---|---|---|---|---|---|---|---|---|---|
| Attention | _cons | 7.94 *** | 7.88 *** | 7.73 *** | 6.06 *** | 6.25 *** | 6.23 *** | 5.14 *** | 5.28 *** |
| (1.26) 3 | (1.36) | (1.24) | (1.23) | (1.34) | (0.56) | (0.92) | (0.79) | ||
| ARMA | L.ar | 0.97 *** | 0.97 *** | 0.97 *** | 0.95 *** | 0.96 *** | 0.93 *** | 0.94 *** | 0.93 *** |
| (0.02) | (0.02) | (0.02) | (0.03) | (0.02) | (0.04) | (0.03) | (0.03) | ||
| L.ma | −0.77 *** | −0.77 *** | −0.75 *** | −0.75 *** | −0.77 *** | −0.81 *** | −0.81 *** | −0.80 *** | |
| (0.04) | (0.04) | (0.04) | (0.04) | (0.04) | (0.04) | (0.04) | (0.04) | ||
| H1 2 | disaster | −0.00 | 0.00 | ||||||
| (0.01) | (0.01) | ||||||||
| L.disaster | 0.00 | 0.00 | |||||||
| (0.01) | (0.00) | ||||||||
| H2 | cop | 0.32 *** | 0.17 *** | 0.18 *** | |||||
| (0.07) | (0.06) | (0.06) | |||||||
| rio | 0.35 * | 0.28 ** | 0.32 ** | ||||||
| (0.18) | (0.14) | (0.13) | |||||||
| app | −0.64 | −0.68 | |||||||
| (0.41) | (0.42) | ||||||||
| g20 | −0.38 | −0.19 | |||||||
| (0.36) | (0.34) | ||||||||
| brics | 0.55 | 1.22 | |||||||
| (0.84) | (0.93) | ||||||||
| ipcc | 0.51 | 0.44 | |||||||
| (0.42) | (0.37) | ||||||||
| H3 | knowledge | 0.05 | −0.18 | ||||||
| (0.14) | (0.12) | ||||||||
| L.knowledge | 0.32 ** | 0.16 | 0.11 | ||||||
| (0.16) | (0.12) | (0.11) | |||||||
| H4a | envi | 0.02 | 0.01 | ||||||
| (0.01) | (0.01) | ||||||||
| L.envi | 0.02 * | 0.02 | 0.02 | ||||||
| (0.01) | (0.01) | (0.01) | |||||||
| H4b | pressure_us | 0.09 ** | 0.08 ** | 0.08 ** | |||||
| (0.04) | (0.04) | (0.04) | |||||||
| L.pressure_us | 0.01 | 0.01 | |||||||
| (0.03) | (0.02) | ||||||||
| pressure_uk | 0.25 *** | 0.23 *** | 0.22 *** | ||||||
| (0.05) | (0.05) | (0.05) | |||||||
| L.pressure_uk | 0.07 * | 0.07 * | 0.07 * | ||||||
| (0.04) | (0.04) | (0.04) | |||||||
| sigma | _cons | 3.25 *** | 3.25 *** | 3.10 *** | 3.24 *** | 3.23 *** | 3.01 *** | 2.91 *** | 2.95 *** |
| (0.13) | (0.13) | (0.12) | (0.13) | (0.13) | (0.11) | (0.11) | (0.11) | ||
| Log Likelihood | −904.86 | −902.39 | −888.13 | −900.45 | −899.89 | −874.33 | −863.47 | −867.54 | |
| AIC 4 | 1817.72 | 1816.78 | 1796.25 | 1812.91 | 1811.78 | 1764.66 | 1766.94 | 1757.08 | |
| BIC 5 | 1833.13 | 1839.88 | 1834.77 | 1836.00 | 1834.88 | 1795.45 | 1843.93 | 1799.42 |
| Explanatory Variables | ADF Test | Transforming Method | ADF Test |
|---|---|---|---|
| Policy knowledge | Z(t) = −0.486 p-value = 0.8948 | Square root/difference | Z(t) = −14.948 p-value = 0.0000 |
| Trans-subsystem effect | Z(t) = −2.856 p-value = 0.0507 | Square root/difference | Z(t) = −13.846 p-value = 0.0000 |
| Boundary-spanning effect | Z(t) = −2.253 p-value = 0.1875 | Square root/difference | Z(t) = −17.447 p-value = 0.0000 |
| Base ARMA 1 | Model 1 | Model 2 | Model 3 | Model 4a | Model 4b | Model 5 | Model 6 | ||
|---|---|---|---|---|---|---|---|---|---|
| attention | _cons | 0.27 | 0.22 | 0.23 | 0.34 | 0.13 | −0.38 | −0.63 | −0.45 |
| (0.88) 3 | (0.91) | (0.87) | (0.80) | (0.85) | (0.65) | (0.63) | (0.59) | ||
| ARMA | L3.ar | −0.19 ** | −0.19 ** | −0.20 * | −0.17 | −0.19 ** | −0.23 ** | −0.24 *** | −0.21 ** |
| (0.09) | (0.09) | (0.10) | (0.10) | (0.09) | (0.09) | (0.09) | (0.09) | ||
| L7.ar | −0.48 *** | −0.50 *** | −0.48 *** | −0.50 *** | −0.55 *** | −0.38 ** | −0.48 *** | −0.43 *** | |
| (0.13) | (0.13) | (0.13) | (0.12) | (0.11) | (0.16) | (0.12) | (0.12) | ||
| L.ma | −0.42 *** | −0.41 *** | −0.40 *** | −0.43 *** | −0.45 *** | −0.38 *** | −0.43 *** | −0.46 *** | |
| (0.11) | (0.11) | (0.14) | (0.10) | (0.11) | (0.13) | (0.16) | (0.12) | ||
| L7.ma | 0.30 ** | 0.32 ** | 0.32 ** | 0.28 ** | 0.36 *** | 0.15 | 0.23 ** | 0.21 * | |
| (0.13) | (0.13) | (0.13) | (0.13) | (0.12) | (0.14) | (0.12) | (0.12) | ||
| H1 2 | D.disaster | 0.01 | 0.01 | ||||||
| (0.01) | (0.01) | ||||||||
| LD.disaster | 0.02 | −0.00 | |||||||
| (0.02) | (0.02) | ||||||||
| H2 | D.cop | 1.01 *** | 0.00 | −0.06 | |||||
| (0.37) | (0.43) | (0.41) | |||||||
| D.rio | 0.95 | −1.52 * | |||||||
| (0.77) | (0.79) | ||||||||
| D.app | −0.90 | −1.57 | |||||||
| (3.74) | (2.94) | ||||||||
| D.g20 | −4.12 * | 0.32 | 0.11 | ||||||
| (2.40) | (2.38) | (2.35) | |||||||
| D.brics | −0.51 | 1.52 | |||||||
| (5.23) | (4.73) | ||||||||
| D.ipcc | 1.71 | 1.12 | |||||||
| (2.11) | (1.81) | ||||||||
| H3 | D.knowledge | 2.02 | 0.47 | ||||||
| (1.96) | (1.52) | ||||||||
| LD.knowledge | −2.29 | 0.28 | |||||||
| (1.79) | (1.15) | ||||||||
| H4a | D.envi | 3.43 *** | 2.61 ** | 2.36 ** | |||||
| (1.17) | (1.24) | (0.98) | |||||||
| LD.envi | −0.79 | 0.26 | |||||||
| (0.94) | (1.18) | ||||||||
| H4b | D.pressure_us | 8.37 *** | 7.93 *** | 7.20 *** | |||||
| (1.63) | (1.90) | (1.75) | |||||||
| LD.pressure_us | 0.84 | 0.76 | |||||||
| (1.41) | (1.47) | ||||||||
| D.pressure_uk | 9.12 *** | 9.95 *** | 9.99 *** | ||||||
| (2.31) | (3.14) | (2.58) | |||||||
| LD.pressure_uk | −3.58 | −3.31 | |||||||
| (2.49) | (2.60) | ||||||||
| sigma | _cons | 17.56 *** | 17.45 *** | 16.74 *** | 17.33 *** | 17.00 *** | 14.18 *** | 13.70 *** | 13.97 *** |
| (1.35) | (1.34) | (1.24) | (1.34) | (1.36) | (0.94) | (0.91) | (0.93) | ||
| Log Likelihood | −493.25 | −488.28 | −487.72 | −487.54 | −485.51 | −464.56 | −460.80 | −466.94 | |
| AIC 4 | 998.49 | 992.56 | 999.45 | 991.09 | 987.01 | 949.11 | 963.60 | 955.88 | |
| BIC 5 | 1014.96 | 1014.45 | 1032.39 | 1012.98 | 1008.90 | 976.47 | 1021.06 | 986.08 |
© 2018 by the authors. Licensee MDPI, Basel, Switzerland. This article is an open access article distributed under the terms and conditions of the Creative Commons Attribution (CC BY) license (http://creativecommons.org/licenses/by/4.0/).
Share and Cite
Fan, S.; Xue, L.; Xu, J. What Drives Policy Attention to Climate Change in China? An Empirical Analysis through the Lens of People’s Daily. Sustainability 2018, 10, 2977. https://doi.org/10.3390/su10092977
Fan S, Xue L, Xu J. What Drives Policy Attention to Climate Change in China? An Empirical Analysis through the Lens of People’s Daily. Sustainability. 2018; 10(9):2977. https://doi.org/10.3390/su10092977
Chicago/Turabian StyleFan, Shiwei, Lan Xue, and Jianhua Xu. 2018. "What Drives Policy Attention to Climate Change in China? An Empirical Analysis through the Lens of People’s Daily" Sustainability 10, no. 9: 2977. https://doi.org/10.3390/su10092977
APA StyleFan, S., Xue, L., & Xu, J. (2018). What Drives Policy Attention to Climate Change in China? An Empirical Analysis through the Lens of People’s Daily. Sustainability, 10(9), 2977. https://doi.org/10.3390/su10092977
