Numerical Thermal Characterization and Performance Metrics of Building Envelopes Containing Phase Change Materials for Energy-Efficient Buildings
Abstract
1. Introduction
2. PCMs for Building Envelopes and Building Systems
2.1. Critical Factors Affecting the Thermodynamics and Energy Efficiency of PCM-Enabled Building Envelopes
2.2. Performance Metrics for Assessing Energy Efficiency of the Building System
3. Simulation of Thermodynamics of Building Envelopes Using Exterior Walls Reinforced by PCMs
3.1. COMSOL-Based Multi-Physic Modeling of Building Envelopes
3.1.1. Overview of Formulation of the 2-D Heat Transfer and Simulation Using Multi-Physic Software COMSOL
3.1.2. COMSOL Implementation: Material, Loading and Boundary Conditions
3.2. Validation of the Model
3.3. Characterization of Thermodynamics of the Wall Assembly
3.3.1. Prototype of the Wall Assembly
3.3.2. Design of Test Cases for the Parametric Study and Performance Assessment
4. Results and Discussions
4.1. Thermodynamics of Building Envelopes under Transient Temperature Field
4.2. Effect of the Location of the PCM Layer within the Wall Assembly on the Thermal Performance
4.3. Effect of the Melting Point of PCM on the Thermal Performance
4.4. Effect of the Thickness of PCM Layer on the Thermal Performance
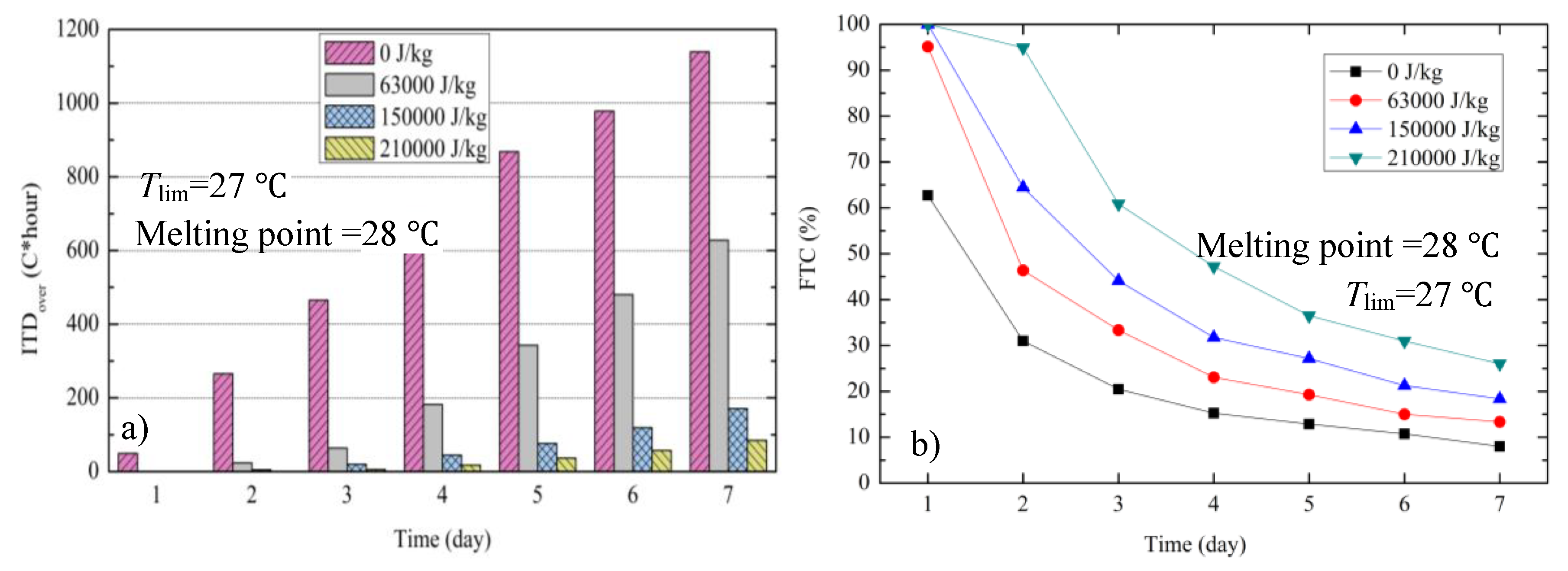
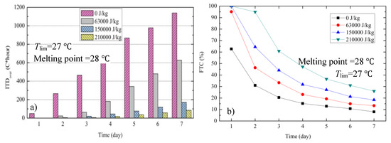
4.5. Effect of the Latent Heat of PCM on the Thermal Performance
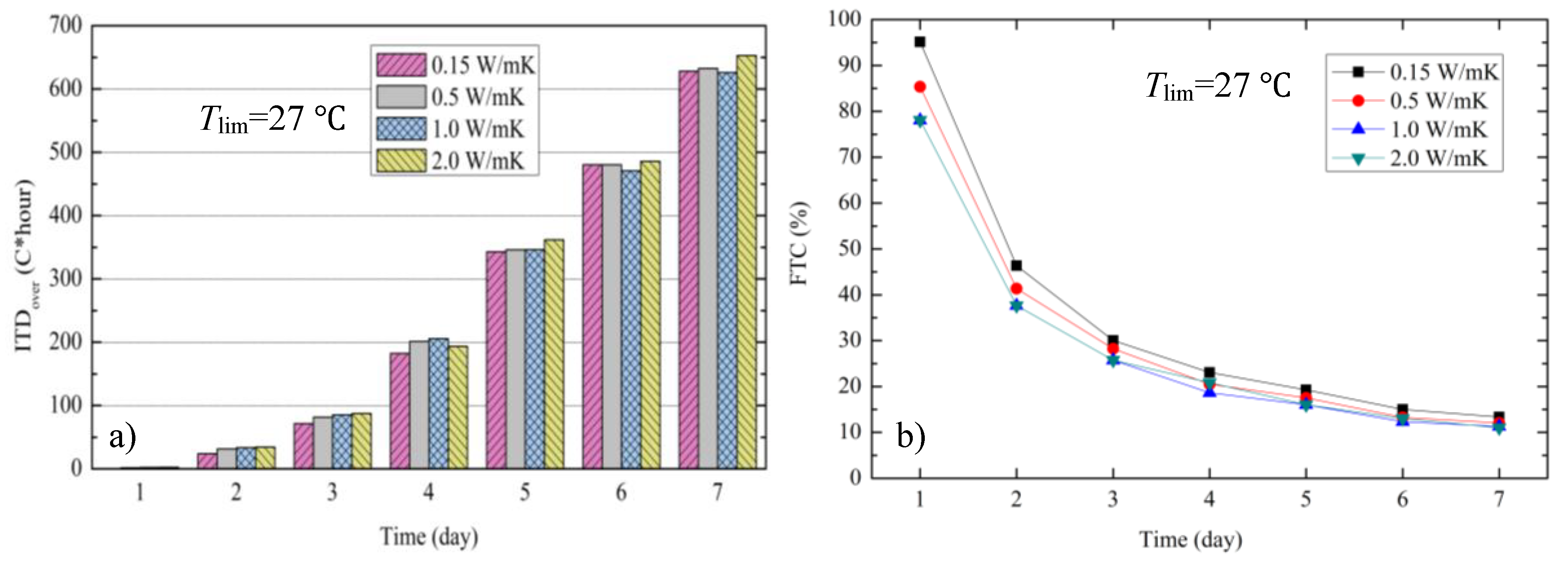
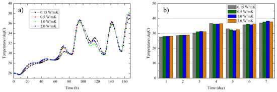
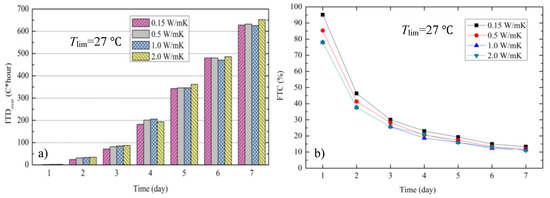
4.6. Effect of the Thermal Conductivity of PCM on the Thermal Performance
4.7. Summary of the Parameter Selection of PCM for Building Energy Efficiency
5. Further Discussions of PCMs to Space Heating and Cooling Load Reduction
6. Conclusions
- (a)
- Each design variable exhibited high variation in attributes to building energy savings in terms of reduction of peak temperature and temperature swings. A comparison clearly demonstrated that the melting point of PCM, its thickness, and heat of fusion were crucial parameters to promote building energy efficiency, while its thermal conductivity seemed insensitive to the energy storage capacity. Specifically, the selection of the proper melting point highly aligned with the local climate zones and thermal comfort demand, and was often selected 1–2 °C above the indoor air temperature, as confirmed in the literature. The results also demonstrated that the heat of fusions of PCM with 64 kJ/kg or higher could significantly enhance the energy storage capacity with applications to buildings. A comparison of different thicknesses of the PCM layer further demonstrated the energy efficiency of PCM with applications to the wall assembly. For instance, a reduction of the maximum instantaneous temperature reached up to 30% when using only a 15-mm thick PCM layer in a conventional 185-mm thick wall, as compared to the no-PCM one.
- (b)
- In the context of placement of PCM layer in a building envelope assembly, researchers have not reached a consensus on which is an optimal solution when subjected to ambient environment. For design of a single layer of PCM in a building envelope, this study showed that the placement of the PCM near the interior wall surface could achieve more efficiency than other cases. It should be noted that if the selected melting point is not proper, there will be no significant differences regardless of wherever the PCM is placed. For multiple layers of PCMs, a further discussion showed that the building could exhibit higher energy efficiency if the inner PCM has a melting point near the averaged indoor air temperature and the outer layer of PCM has a melting point close to the averaged outdoor air temperature.
- (c)
- Four performance metrics could provide different perspectives for the evaluation of building energy efficiency; as compared to discrete peak temperature or temperature swings, the ITDover and FTC could provide systematic information of discomfort period over time, and thus be effective tools for quantifying the thermal performance of a PCM-enabled building.
- (d)
- It should be noted that there are herein no thermal analyses of entire buildings with other energy demands and/or interaction with HVAC systems. Further investigation of entire buildings, such as using Energyplus, is needed, particularly for thermodynamic analysis under more complex climate and building environments, where more coupled information could affect the building energy efficiency.
Author Contributions
Funding
Acknowledgments
Conflicts of Interest
References
- Baetens, R.; Jelle, B.P.; Gustavsen, A. Phase Change Materials for Building Applications: A State-of-the-art Review. Energy Build. 2010, 42, 1361–1368. [Google Scholar] [CrossRef]
- Ramakrishnan, S.; Sanjayan, J.; Wang, X.; Alam, M.; Wilson, J. A Novel Paraffin/expanded Perlite Composite Phase Change Material for Prevention of PCM Leakage in Cementitious Composites. Appl. Energy 2015, 157, 85–94. [Google Scholar] [CrossRef]
- Zhou, D.; Zhao, C.Y.; Tian, Y. Review on Thermal Energy Storage with Phase Change Materials (PCMs) in Building Applications. Appl. Energy 2012, 92, 593–605. [Google Scholar] [CrossRef]
- Zhu, N.; Ma, Z.; Wang, S. Dynamic Characteristics and Energy Performance of Buildings Using Phase Change Materials: A Review. Energy Convers. Manag. 2009, 50, 3169–3181. [Google Scholar] [CrossRef]
- Sharma, A.; Tyagi, V.V.; Chen, C.R.; Buddhi, D. Review on Thermal Energy Storage with Phase Change Materials and Applications. Renew. Sustain. Energy Rev. 2009, 13, 318–345. [Google Scholar] [CrossRef]
- Memon, S.A. Phase Change Materials Integrated in Building Walls: A State of the Art Review. Renew. Sustain. Energy Rev. 2014, 31, 870–906. [Google Scholar] [CrossRef]
- Khudhair, A.M.; Farid, M.M. A Review on Energy Conservation in Building Applications with Thermal Storage by Latent Heat Using Phase Change Materials. Energy Convers. Manag. 2004, 45, 263–275. [Google Scholar] [CrossRef]
- Akeiber, H.; Nejat, P.; Majid, M.Z.A.; Wahid, M.A.; Jomehzadeh, F.; Famileh, I.Z.; Calautit, J.K.; Hughes, B.R.; Zaki, S.A. A Review on Phase Change Material (PCM) for Sustainable Passive Cooling in Building Envelopes. Renew. Sustain. Energy Rev. 2016, 60, 1470–1497. [Google Scholar] [CrossRef]
- Karaipekli, A.; Biçer, A.; Sarı, A.; Tyagi, V.V. Thermal Characteristics of Expanded Perlite/paraffin Composite Phase Change Material with Enhanced Thermal Conductivity Using Carbon Nanotubes. Energy Convers. Manag. 2017, 134, 373–381. [Google Scholar] [CrossRef]
- Lei, J.; Yang, J.; Yang, E.H. Energy Performance of Building Envelopes Integrated with Phase Change Materials for Cooling Load Reduction in Tropical Singapore. Appl. Energy 2016, 162, 207–217. [Google Scholar] [CrossRef]
- Seong, Y.B.; Lim, J.H. Energy Saving Potentials of Phase Change Materials Applied to Lightweight Building Envelopes. Energies 2013, 6, 5219–5230. [Google Scholar] [CrossRef]
- Wang, X.; Yu, H.; Li, L.; Zhao, M. Experimental Assessment on the Use of Phase Change Materials (PCMs)-bricks in the Exterior Wall of a Full-scale Room. Energy Convers. Manag. 2016, 120, 81–89. [Google Scholar] [CrossRef]
- Izquierdo-Barrientos, M.A.; Belmonte, J.F.; Rodríguez-Sánchez, D.; Molina, A.E.; Almendros-Ibáñez, J.A. A Numerical Study of External Building Walls Containing Phase Change Materials (PCM). Appl. Therm. Eng. 2012, 47, 73–85. [Google Scholar] [CrossRef]
- Jin, X.; Medina, M.A.; Zhang, X. Numerical Analysis for the Optimal Location of a Thin PCM Layer in Frame Walls. Appl. Therm. Eng. 2016, 103, 1057–1063. [Google Scholar] [CrossRef]
- Zwanzig, S.D.; Lian, Y.; Brehob, E.G. Numerical Simulation of Phase Change Material Composite Wallboard in a Multi-layered Building Envelope. Energy Convers. Manag. 2013, 69, 27–40. [Google Scholar] [CrossRef]
- Cabeza, L.F.; Castellon, C.; Nogues, M.; Medrano, M.; Leppers, R.; Zubillaga, O. Use of Microencapsulated PCM in Concrete Walls for Energy Savings. Energy Build. 2007, 39, 113–119. [Google Scholar] [CrossRef]
- Kuznik, F.; Virgone, J. Experimental Assessment of a Phase Change Material for Wall Building Use. Appl. Energy 2009, 86, 2038–2046. [Google Scholar] [CrossRef]
- Evola, G.; Marletta, L.; Sicurella, F. A Methodology for Investigating the Effectiveness of PCM Wallboards for Summer Thermal Comfort in Buildings. Build. Environ. 2013, 59, 517–527. [Google Scholar] [CrossRef]
- Evola, G.; Marletta, L. The Effectiveness of PCM Wallboards for the Energy Refurbishment of Lightweight Buildings. Energy Proc. 2014, 62, 13–21. [Google Scholar] [CrossRef]
- Song, J.H.; Jin, H.S.; Jeong, S.G.; Kim, S.; Song, S.Y.; Lim, J.H. Empirical Validation of Heat Transfer Performance Simulation of Graphite/PCM Concrete Materials for Thermally Activated Building System. Int. J. Polym. Sci. 2017, 2017, 6792621. [Google Scholar] [CrossRef]
- Agyenim, F.; Hewitt, N.; Eames, P.; Smyth, M. A Review of Materials, Heat Transfer and Phase Change Problem Formulation for Latent Heat Thermal Energy Storage Systems (LHTESS). Renew. Sustain. Energy Rev. 2010, 14, 615–628. [Google Scholar] [CrossRef]
- Ip, K.; Ceng, M.; Bsc, J.G. Thermal Storage for Sustainable Dwellings. K000 Archit. Build. Plan. 2000. [Google Scholar]
- Jeong, S.G.; Chang, S.J.; Wi, S.; Kang, Y.; Lim, J.H.; Chang, J.D.; Kim, S. Energy Efficient Concrete with N-octadecane/xGnP SSPCM for Energy Conservation in Infrastructure. Constr. Build. Mater. 2016, 106, 543–549. [Google Scholar] [CrossRef]
- Li, M.; Lin, Z.; Wu, L.; Wang, J.; Gong, N. Applications of Graphite-enabled Phase Change Material Composites to Improve Thermal Performance of Cementitious Materials. Mater. Sci. Eng. 2017, 264, 012013. [Google Scholar] [CrossRef]
- Zhang, Z.; Shi, G.; Wang, S.; Fang, X.; Liu, X. Thermal Energy Storage Cement Mortar Containing N-octadecane/expanded Graphite Composite Phase Change Material. Renew. Energy 2013, 50, 670–675. [Google Scholar] [CrossRef]
- Li, M.; Lin, Z.; Yan, F. Graphite-Enabled Phase Change Material Composites for Enhanced Thermal Management of Concrete Pavement. Transp. Res. Board. 2017, 17, 03915. [Google Scholar]
- Trelles, J.P.; Dufly, J.J. Numerical Simulation of Porous Latent Heat Thermal Energy Storage for Thermoelectric Cooling. Appl. Therm. Eng. 2003, 23, 1647–1664. [Google Scholar] [CrossRef]
- Li, M.; Gong, N.; Wang, J.; Lin, Z. Phase Change Material for Thermal Management in 3D Integrated Circuits Packaging. Int. Microelectron. Assem. Packag. Soc. 2015, 1, 000649–000653. [Google Scholar] [CrossRef]
- Mengjie, S.; Fuxin, N.; Ning, M.; Yanxin, H.; Shiming, D. Review on Building Energy Performance Improvement Using Phase Change Materials. Energy Build. 2018, 158, 776–793. [Google Scholar]
- Farid, M.M.; Khudhair, A.M.; Razack, S.A.K.; Al-Hallaj, S. A Review on Phase Change Energy Storage: Materials and Applications. Energy Convers. Manag. 2004, 45, 1597–1615. [Google Scholar] [CrossRef]
- Soares, N.; Costa, J.J.; Gaspar, A.R.; Santos, P. Review of Passive PCM Latent Heat Thermal Energy Storage Systems towards Buildings’ Energy Efficiency. Energy Build. 2013, 59, 82–103. [Google Scholar] [CrossRef]
- Jing, Y.H. Research on the Application and Energy-Saving Assessment of Phase Change Materials in Intelligence Architectural. Appl. Mech. Mater. 2013, 416–417, 1741–1745. [Google Scholar] [CrossRef]
- Kuznik, F.; Virgone, J.; Noel, J. Optimization of a Phase Change Material Wallboard for Building Use. Appl. Therm. Eng. 2008, 28, 1291–1298. [Google Scholar] [CrossRef]
- Lee, K.O.; Medina, M.A.; Raith, E.; Sun, X. Assessing the Integration of a Thin Phase Change Material (PCM) Layer in a Residential Building Wall for Heat Transfer Reduction and Management. Appl. Energy 2015, 137, 699–706. [Google Scholar] [CrossRef]
- Xu, X.; Zhang, Y.; Lin, K.; Di, H.; Yang, R. Modeling and Simulation on the Thermal Performance of Shape-stabilized Phase Change Material Floor Used in Passive Solar Buildings. Energy Build. 2005, 37, 1084–1091. [Google Scholar] [CrossRef]
- Zhu, N.; Liu, F.; Liu, P.; Hu, P.; Wu, M. Energy Saving Potential of a Novel Phase Change Material Wallboard in Typical Climate Regions of China. Energy Build. 2016, 128, 360–369. [Google Scholar] [CrossRef]
- Jayalath, A.; San Nicolas, R.; Sofi, M.; Shanks, R.; Ngo, T.; Aye, L.; Mendis, P. Properties of Cementitious Mortar and Concrete Containing Micro-encapsulated Phase Change Materials. Constr. Build. Mater. 2016, 120, 408–417. [Google Scholar] [CrossRef]
- De Dear, R.J.; Brager, G.S. Thermal Comfort in Naturally Ventilated Buildings: Revisions to ASHRAE Standard 55. Energy Build. 2002, 34, 549–561. [Google Scholar] [CrossRef]
- Sharifi, N.P.; Freeman, G.E.; Sakulich, A.R. Using COMSOL Modeling to Investigate the Efficiency of PCMs at Modifying Temperature Changes in Cementitious Materials–Case Study. Constr. Build. Mater. 2015, 101, 965–974. [Google Scholar] [CrossRef]
- Fang, Y. A Comprehensive Study of Phase Change Materials (PCMs) for Building Walls Applications. Ph.D. Thesis, University of Kansas, Lawrence, KS, USA, 9 March 2009. [Google Scholar]






















| Materials | Specific Heat Capacity (J/kg K) | Thermal Conductivity (W/(mK)) | Density (kg/m³) | Thickness (mm) |
|---|---|---|---|---|
| Concrete grout | 1000 | 1.3 | 1900 | 15 |
| Perforated brick wall | 1000 | 0.5 | 900 | 100 |
| PCM * | 1500 | 0.15 | 750 | 30 |
| Thermal insulation | 840 | 0.038 | 32 | 40 |
| OSB | 1210 | 0.13 | 650 | 20 |
| Case Design | Label | PCM Thickness (mm) | Heat of Fusion (J/kg) | Melting Point (°C) | Thermal Conductivity (W/(mK)) | Specific Heat Capacity (J/kg K) | Density (kg/m³) |
|---|---|---|---|---|---|---|---|
| Variability associated with PCM location | EX-MT24-D30 | 30 | 63,000 | 28 | 0.15 | 1500 | 750 |
| MD-MT24-D30 | 30 | 63,000 | 28 | 0.15 | 1500 | 750 | |
| IN-MT24-D30 | 30 | 63,000 | 28 | 0.15 | 1500 | 750 | |
| Variability associated with melting point | IN-MT24-D30 | 30 | 63,000 | 24 | 0.15 | 1500 | 750 |
| IN-MT26-D30 | 30 | 63,000 | 26 | 0.15 | 1500 | 750 | |
| IN-MT28-D30 | 30 | 63,000 | 28 | 0.15 | 1500 | 750 | |
| IN-MT30-D30 | 30 | 63,000 | 30 | 0.15 | 1500 | 750 | |
| IN-MT32-D30 | 30 | 63,000 | 32 | 0.15 | 1500 | 750 | |
| IN-MT34-D30 | 30 | 63,000 | 34 | 0.15 | 1500 | 750 | |
| IN-MT36-D30 | 30 | 63,000 | 36 | 0.15 | 1500 | 750 | |
| IN-MT38-D30 | 30 | 63,000 | 38 | 0.15 | 1500 | 750 | |
| IN-MT45-D30 | 30 | 63,000 | 45 | 0.15 | 1500 | 750 | |
| Variability associated with wall thickness | IN-MT28-D00 | 0 | 63,000 | 28 | 0.15 | 1500 | 750 |
| IN-MT28-D08 | 7.5 | 63,000 | 28 | 0.15 | 1500 | 750 | |
| IN-MT28-D15 | 15 | 63,000 | 28 | 0.15 | 1500 | 750 | |
| IN-MT28-D30 | 30 | 63,000 | 28 | 0.15 | 1500 | 750 | |
| IN-MT28-D50 | 50 | 63,000 | 28 | 0.15 | 1500 | 750 | |
| IN-MT28-D70 | 70 | 63,000 | 28 | 0.15 | 1500 | 750 | |
| IN-MT28-D100 | 100 | 63,000 | 28 | 0.15 | 1500 | 750 | |
| Variability associated with heat of fusion | IN-MT24-D30-C1 | 30 | 0 | 24 | 0.15 | 1500 | 750 |
| IN-MT24-D30-C2 | 30 | 63,000 | 24 | 0.15 | 1500 | 750 | |
| IN-MT24-D30-C3 | 30 | 150,000 | 24 | 0.15 | 1500 | 750 | |
| IN-MT24-D30-C4 | 30 | 210,000 | 24 | 0.15 | 1500 | 750 | |
| IN-MT28-D30-C1 | 30 | 0 | 28 | 0.15 | 1500 | 750 | |
| IN-MT28-D30-C2 | 30 | 63,000 | 28 | 0.15 | 1500 | 750 | |
| IN-MT28-D30-C3 | 30 | 150,000 | 28 | 0.15 | 1500 | 750 | |
| IN-MT28-D30-C4 | 30 | 210,000 | 28 | 0.15 | 1500 | 750 | |
| Variability associated with thermal conductivity | IN-MT28-D30-C5 | 30 | 63,000 | 28 | 0.15 | 1500 | 750 |
| IN-MT28-D30-C6 | 30 | 63,000 | 28 | 0.3 | 1500 | 750 | |
| IN-MT28-D30-C7 | 30 | 63000 | 28 | 0.5 | 1500 | 750 | |
| IN-MT28-D30-C8 | 30 | 63000 | 28 | 1 | 1500 | 750 |
| Label | PCM Thickness (mm) | Melting Point (°C) | ||
|---|---|---|---|---|
| Exterior | Interior | Exterior | Interior | |
| IN-MT28-D30 | / | 30 | / | 28 |
| IN-MT28-D30-EX28-28 | 30 | 30 | 28 | 28 |
| IN-MT28-D30-EX30-28 | 30 | 30 | 30 | 28 |
| IN-MT28-D30-EX32-28 | 30 | 30 | 32 | 28 |
| IN-MT28-D30-EX35-28 | 30 | 30 | 35 | 28 |
| IN-MT28-D30-EX37-28 | 30 | 30 | 37 | 28 |
| IN-MT28-D30-EX40-28 | 30 | 30 | 40 | 28 |
© 2018 by the authors. Licensee MDPI, Basel, Switzerland. This article is an open access article distributed under the terms and conditions of the Creative Commons Attribution (CC BY) license (http://creativecommons.org/licenses/by/4.0/).
Share and Cite
Li, M.; Gui, G.; Lin, Z.; Jiang, L.; Pan, H.; Wang, X. Numerical Thermal Characterization and Performance Metrics of Building Envelopes Containing Phase Change Materials for Energy-Efficient Buildings. Sustainability 2018, 10, 2657. https://doi.org/10.3390/su10082657
Li M, Gui G, Lin Z, Jiang L, Pan H, Wang X. Numerical Thermal Characterization and Performance Metrics of Building Envelopes Containing Phase Change Materials for Energy-Efficient Buildings. Sustainability. 2018; 10(8):2657. https://doi.org/10.3390/su10082657
Chicago/Turabian StyleLi, Mingli, Guoqing Gui, Zhibin Lin, Long Jiang, Hong Pan, and Xingyu Wang. 2018. "Numerical Thermal Characterization and Performance Metrics of Building Envelopes Containing Phase Change Materials for Energy-Efficient Buildings" Sustainability 10, no. 8: 2657. https://doi.org/10.3390/su10082657
APA StyleLi, M., Gui, G., Lin, Z., Jiang, L., Pan, H., & Wang, X. (2018). Numerical Thermal Characterization and Performance Metrics of Building Envelopes Containing Phase Change Materials for Energy-Efficient Buildings. Sustainability, 10(8), 2657. https://doi.org/10.3390/su10082657
