Evaluating Nitrogen Oxides and Ultrafine Particulate Matter Emission Features of Urban Bus Based on Real-World Driving Conditions in the Yangtze River Delta Area, China
Abstract
1. Introduction
2. Methods
2.1. The PEMS Platform for Data Collection
2.2. Tested Buses and Testing Routes
2.3. Statistical Methods
3. Results and Discussion
3.1. Bus Driving Characteristics
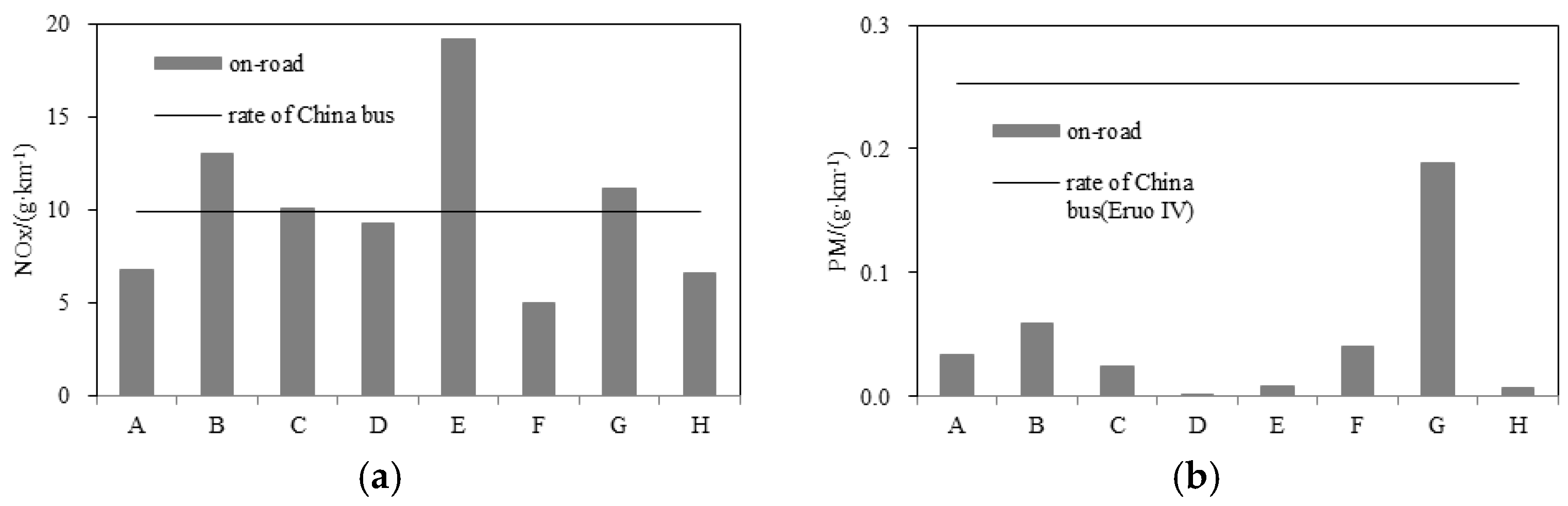
3.2. Comprehensive Emission Factor for Different Buses
3.3. Emission Characteristics under the Steady State Driving Conditions
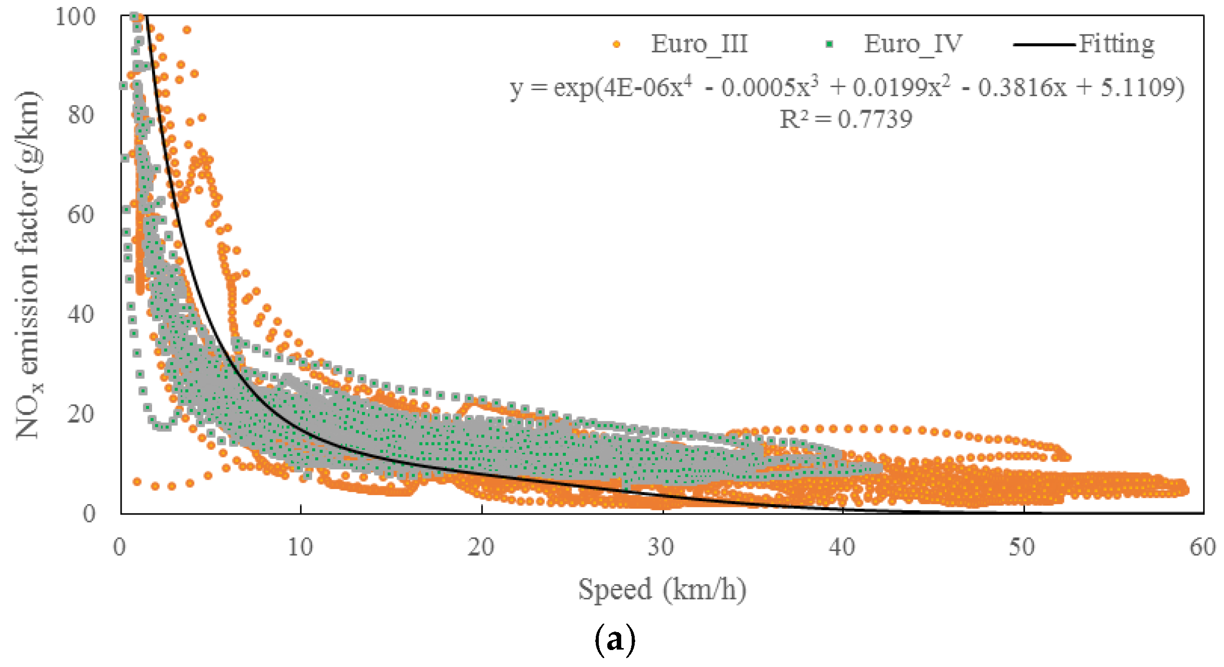
3.3.1. Emission Characteristics of NOx
3.3.2. Emission Characteristics of Ultrafine PM
3.3.3. Emission Characteristics of PN
3.4. Instantaneous Emission Rates by Operating Modes
3.5. Impact of Traffic Conditions
3.6. Emission Characteristics of Hybrid and Conventional Buses
4. Conclusions
Author Contributions
Fundings
Conflicts of Interest
References
- Hu, Z.; Qin, Y.; Tan, P.; Lou, D. On-road NOx and ultrafine particle emission characteristics of China IV diesel bus in Shanghai. J. Tongji Univ. (Nat. Sci.) 2015, 43, 286–292. [Google Scholar]
- Ye, X.; Xu, C.; Hong, S.; Jiao, L.; Shen, J.; Zhang, T.; He, X. Emission inventory and characteristics of air pollutants in Hangzhou. Environ. Monit. China 2015, 31, 5–11. [Google Scholar]
- Mason, B.; Bradley, W.; Pezouvanis, A.; Ebrahimi, K. Repeatable steady-state measurement of particulate number emissions in engine experiments. Int. J. Engine Res. 2016, 17, 1108–1117. [Google Scholar] [CrossRef]
- Fu, M.; Ge, Y.; Wang, X.; Tan, J.; Yu, L.; Liang, B. NOx emissions from Euro IV busses with SCR systems associated with urban, suburban and freeway driving patterns. Sci. Total Environ. 2013, 222, 452–453. [Google Scholar] [CrossRef] [PubMed]
- Hao, Y.; Yu, L.; Song, G.; Xu, Y.; Wang, H. Analysis of driving behavior and emission characteristics for diesel transit buses using PEMS’ measurements. J. Clin. Nurs. 2010, 17, 2741–2749. [Google Scholar]
- Wu, X.W.; Peng, M.C.; Fang, R.H.; Li, J.F.; Cai, M.T. Emission test and analysis for diesel transit bus using PEMS. Environ. Sci. Technol. 2012, 35, 146–149. [Google Scholar]
- Yu, Q.; Li, T. Evaluation of bus emissions generated near bus stops. Atmos. Environ. 2014, 85, 195–203. [Google Scholar] [CrossRef]
- Hallmark, S.L.; Wang, B.; Sperry, R. Comparison of on-road emissions for hybrid and regular transit buses. J. Air Waste Manag. Assoc. 2013, 63, 1212–1220. [Google Scholar] [CrossRef] [PubMed]
- Zhang, S.; Wu, Y.; Hu, J.; Huang, R.; Zhou, Y.; Bao, X.; Fu, L.; Hao, J. Can Euro V heavy-duty diesel engines, diesel hybrid and alternative fuel technologies mitigate NOX, emissions? New evidence from on-road tests of buses in China. Appl. Energy 2014, 132, 118–126. [Google Scholar] [CrossRef]
- Zhang, Y.H.; Lou, D.M.; Tan, P.Q.; Hu, Z. Particulate emissions from urban bus fueled with biodiesel blend and their reducing characteristics using particulate after-treatment system. Energy 2018, 155, 77–86. [Google Scholar] [CrossRef]
- Huang, C.; Chen, C.; Lou, D.; Zhen, X.H.; Tan, P.Q.; Hu, Z.Y. Real world fuel consumption and emissions simulation and its application for heavy duty diesel vehicles. Acta Sci. Circumst. 2010, 30, 2369–2373. [Google Scholar]
- Nakamura, H. Vehicle-installed exhaust gas analyzing apparatus. U.S. Patent 6865472, 8 March 2005. [Google Scholar]
- Liu, D.; Liu, J.; Lou, D. On-road NOx emission measurement of urban bus in Yangtze River Delta. Environ. Monit. Manag. Technol. 2016, 28, 14–18. [Google Scholar]
- Lou, D.M.; Wang, W.G.; Hu, Z.Y.; Tan, P.Q. Real road emission characteristics of CTL bus based on operating parameters. Chin. Intern. Combust. Engine Eng. Available online: https://www.researchgate.net/publication/290246233 (accessed on 15 June 2018).
- Lou, D.; Cheng, W.; Feng, Q. On road particle emission characteristics of a Chinese phase IV natural gas bus. Environ. Sci. 2014, 35, 864–869. [Google Scholar]
- Lou, D.; Zhu, Z.W.; Tan, P.Q.; Hu, Z.Y. Characterization of the particle emissions from diesel transit bus equipping diesel particulate filter with fuel burner. Adv. Mater. Res. 2014, 864–867, 1386–1393. [Google Scholar] [CrossRef]
- Parashar, D.C.; Gadi, R.; Mandal, T.K.; Garg, S.C. Emissions of carbonaceous aerosols from biofuels in India. Atmos. Environ. 2005, 39, 7861–7871. [Google Scholar] [CrossRef]
- Qu, L.; Li, M.; Chen, D.; Lu, K.; Jin, T.; Xu, X. Multivariate analysis between driving condition and vehicle emission for light duty gasoline vehicles during rush hours. Atmos. Environ. 2015, 110, 103–110. [Google Scholar] [CrossRef]
- Xue, J.; Li, Y.; Wang, X.; Durbin, T.D.; Johnson, K.C.; Karavalakis, G.; Asa-Awuku, A.; Villela, M.; Quiros, D.; Hu, S.; et al. Comparison of vehicle exhaust particle size distributions measured by SMPS and EEPS during steady-state conditions. Aerosol Sci. Technol. 2015, 49, 984–996. [Google Scholar] [CrossRef]
- Takahashi, J.; Hama, N.; Funato, K. Fast measurement applying the operating principle of dma: A new instrument, eeps(engine exhaust particle sizer). J. Jpn. Air Clean. Assoc. 2005, 42, 31–36. [Google Scholar]
- Andrei, P. Real World Heavy-Duty Vehicle Emissions Modeling; West Virginia University: Morgantown, WV, USA, 2001. [Google Scholar]
- Wang, H.T.; Yu, L.; Hao, H.; Song, G.H.; Guo, Y. Calculation of vehicle specification power for heavy-duty Vehicles. Saf. Environ. Eng. 2011, 18, 124–128. [Google Scholar]
- Zheng, X.; Wu, Y.; Jiang, J.; Zhang, S.; Liu, H.; Song, S.; Li, Z.; Fan, X.; Fu, L.; Hao, J. Characteristics of on-road diesel vehicles: Black carbon emissions in Chinese cities based on Portable Emissions Measurement. Environ. Sci. Technol. 2015, 49, 13492–13500. [Google Scholar] [CrossRef] [PubMed]
- Fan, S.; Li, G.; Tian, G.; Cheng, S.Y. On-road emission characteristics of China IV diesel bus. J. Beijing Univ. Technol. 2012, 38, 1565–1569. [Google Scholar]
- Gao, J.D.; Qin, K.J.; Liang, R.L.; Li, M.L. An experimental study on PM and NOx emission characteristics of public bus in real driving condition in Beijing. Autom. Eng. 2011, 33, 757–760. [Google Scholar]
- Xu, Y.; Li, J.; Li, M.; Sun, L.A. An experimental study on the NOx emission characteristics of State-IV city bus. Autom. Eng. 2011, 33, 947–950. [Google Scholar]
- Song, G.; Zhou, X.; Yu, L. Delay correction model for estimating bus emissions at signalized intersections based on vehicle specific power distributions. Sci. Total Environ. 2015, 514, 108–118. [Google Scholar] [CrossRef] [PubMed]
- Soylu, S. The effects of urban driving conditions on the operating characteristics of conventional and hybrid electric city buses. Appl. Energy 2014, 135, 472–482. [Google Scholar] [CrossRef]








| Statistic | Number (#) | Volume (m3) | Mass (g) |
|---|---|---|---|
| Concentration | n = (c×DR)/(t×Q×η) | v = nπDp3/6 | m = ρ v |
| Total concentration | N = | V = | M = |
| Bus | Fuel/Engine Type | Mass (Tone) | Mileage (104 km) | Rated Power (kw) | After-Treatment | Test Route (Time Length) |
|---|---|---|---|---|---|---|
| A | Diesel/EuroIII | 16.5 | 12.9 | 170 | - | Figure 1d (2.0 h) |
| B | Diesel/EuroIII | 18.0 | 42.3 | 191 | - | Figure 1c (2.0 h) |
| C | Diesel/EuroIII | 16.0 | 28.6 | 177 | - | Figure 1b (1.5 h) |
| D | Diesel/EuroIII | 16.0 | 28.6 | 177 | DOC + CDPF | Figure 1b (1.5 h) |
| E | LNG/EuroIV | 17.0 | 10.0 | 187 | DOC | Figure 1d (2.0 h) |
| F | Diesel hybrid/Euro IV | 18.0 | 13.5 | 162 | SCR | Figure 1d (2.0 h) |
| G | Diesel/EuroIV | 18.0 | 48.6 | 206 | SCR | Figure 1c (1.5 h) |
| H | Diesel/EuroIV | 17.5 | 19.6 | 213 | SCR | Figure 1b (2.0 h) |
| Bus | Distance (km) | Average Speed (km·h−1) | Idle Ratio (%) | Uniform Ratio (%) | Acceleration Ratio (%) | Deceleration Ration (%) |
|---|---|---|---|---|---|---|
| A | 62.0 | 31 | 10.7 | 37.8 | 30.8 | 20.7 |
| B | 27.4 | 13.7 | 33 | 12.7 | 28.8 | 25.5 |
| C | 44.8 | 29.9 | 17.7 | 27.4 | 34.1 | 20.8 |
| D | 38.5 | 25.7 | 15.8 | 49.9 | 21.4 | 12.9 |
| E | 34.6 | 17.3 | 31.3 | 6.8 | 33.3 | 28.6 |
| F | 40.8 | 20.4 | 23.4 | 16.1 | 33.7 | 26.8 |
| G | 26.0 | 17.3 | 19.1 | 12.0 | 36.0 | 32.9 |
| H | 52.0 | 26 | 11.9 | 38.8 | 28.4 | 20.9 |
| Braking (Bin 0) | |||
|---|---|---|---|
| Ideling (Bin 1) | |||
| VSP (Kw/Tone)/Speed (mph) | 0–25 | 25–50 | >50 |
| <0 kW/tone | Bin 11 | Bin 21 | |
| 0–3 | Bin 12 | Bin 22 | |
| 3–6 | Bin 13 | Bin 23 | |
| 6–9 | Bin 14 | Bin 24 | |
| 9–12 | Bin 15 | Bin 25 | |
| >12 | Bin 16 | ||
| 12–18 | Bin 27 | Bin 37 | |
| 18–24 | Bin 28 | Bin 38 | |
| 24–30 | Bin 29 | Bin 39 | |
| >30 | Bin 30 | Bin 40 | |
| 6–12 | Bin 35 | ||
| <6 | Bin 33 | ||
© 2018 by the authors. Licensee MDPI, Basel, Switzerland. This article is an open access article distributed under the terms and conditions of the Creative Commons Attribution (CC BY) license (http://creativecommons.org/licenses/by/4.0/).
Share and Cite
Liu, D.; Lou, D.; Liu, J.; Fang, L.; Huang, W. Evaluating Nitrogen Oxides and Ultrafine Particulate Matter Emission Features of Urban Bus Based on Real-World Driving Conditions in the Yangtze River Delta Area, China. Sustainability 2018, 10, 2051. https://doi.org/10.3390/su10062051
Liu D, Lou D, Liu J, Fang L, Huang W. Evaluating Nitrogen Oxides and Ultrafine Particulate Matter Emission Features of Urban Bus Based on Real-World Driving Conditions in the Yangtze River Delta Area, China. Sustainability. 2018; 10(6):2051. https://doi.org/10.3390/su10062051
Chicago/Turabian StyleLiu, Dengguo, Diming Lou, Juan Liu, Liang Fang, and Weiming Huang. 2018. "Evaluating Nitrogen Oxides and Ultrafine Particulate Matter Emission Features of Urban Bus Based on Real-World Driving Conditions in the Yangtze River Delta Area, China" Sustainability 10, no. 6: 2051. https://doi.org/10.3390/su10062051
APA StyleLiu, D., Lou, D., Liu, J., Fang, L., & Huang, W. (2018). Evaluating Nitrogen Oxides and Ultrafine Particulate Matter Emission Features of Urban Bus Based on Real-World Driving Conditions in the Yangtze River Delta Area, China. Sustainability, 10(6), 2051. https://doi.org/10.3390/su10062051
