The Role of Internet of Things (IoT) in Smart Cities: Technology Roadmap-oriented Approaches
Abstract
1. Introduction
2. Literature Review
IoT in Smart Cities
3. Study Method
3.1. Data
3.2. Procedure
- (1. Importance): How do you rate the importance and significance of IoT in successfully developing this core technology (0–100 points)?
- (2. Essentiality): Is IoT essential and indispensable for this core technology (7 Point-Likert scale: 1, Extremely unnecessary; 4, Neutral; 7, Strongly necessary)?
3.3. Results
4. Future Directions of IoT Technologies in Smart Cities
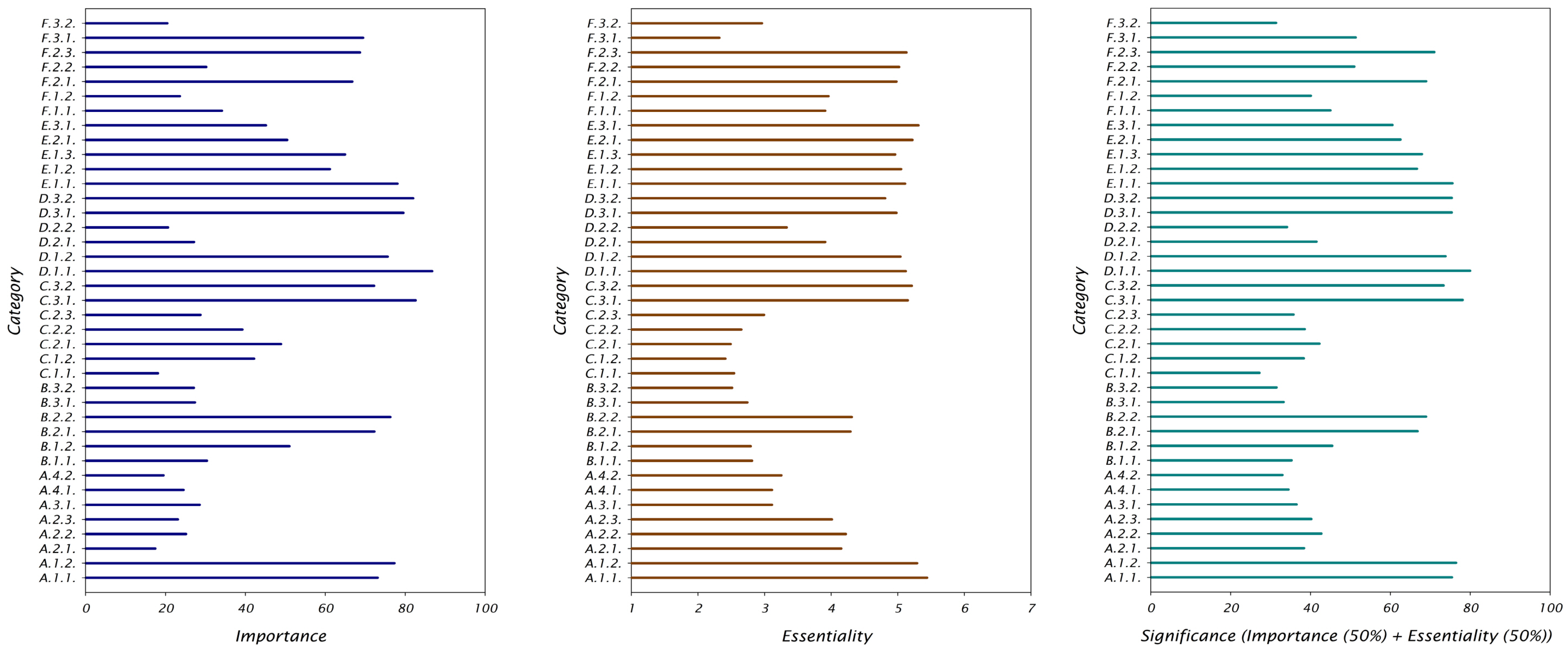
- Importance and essentiality: Sensor-oriented technologies for wireless networking are considered the top priority of IoT technologies for a smart city infrastructure (D.1.1. Sensor communication technology for wireless network; C.3.1. Wireless sensing technology for environment; D.3.2. Technology for designing and manufacturing multi-functional sensors; D.3.1. Optimized sensor design technology)
- Importance: In addition to sensor-oriented technologies, technologies for network services are considered the most important IoT technologies for a smart city infrastructure (A.1.2. Smart home cloud server technology; B.2.2. Home network service cloud server construction)
- Essentiality: Compared to other technologies, energy-related technologies are considered the most essential IoT technologies for the smart city infrastructure (A.1.1. Energy load management technology, F.2.3. BIM-based smart building energy management and analytical technology). Because the technologies applied in a smart home environment are fundamental aspects of a smart city, the technologies and infrastructure for a smart home network should be swiftly developed and prepared (A.1.2. Smart home cloud server technology).
5. Conclusions
Author Contributions
Acknowledgments
Conflicts of Interest
References
- Sterbenz, J.P. Smart city and IoT resilience, survivability, and disruption tolerance: Challenges, modelling, and a survey of research opportunities. In Proceedings of the 2017 9th International Workshop on Resilient Networks Design and Modeling (RNDM), Alghero, Italy, 4 September 2017; pp. 1–6. [Google Scholar]
- De Alba, C.C.; Haberleithner, J.; López, M.M.R. Creative Industries in the Smart City: Overview of a Liability in Emerging Economies. In Handbook of Research on Entrepreneurial Development and Innovation Within Smart Cities; IGI Global: Hershey, PA, USA, 2017; pp. 107–126. [Google Scholar]
- Meijer, A.; Bolívar, M.P.R. Governing the smart city: A review of the literature on smart urban governance. Int. Rev. Adm. Sci. 2016, 82, 392–408. [Google Scholar] [CrossRef]
- Vaquero, M.G.; Saiz-Alvarez, J.M. Smart Cities in Spain–Policy, Sustainability, and the National Plan: New Political Measures, Agents. Econ. Model. Anal. Policy Sustain. 2016, 266. [Google Scholar] [CrossRef]
- Park, B.J.; Kim, Y.H.; Min, S.K.; Kim, M.K.; Choi, Y.; Boo, K.O.; Shim, S. Long-Term Warming Trends in Korea and Contribution of Urbanization: An Updated Assessment. J. Geophys. Res. Atmos. 2017, 122, 10637–10654. [Google Scholar] [CrossRef]
- Malik, S.; Wahid, J. Rapid Urbanization: Problems and Challenges for Adequate Housing in Pakistan. J. Sociol. 2014, 2, 87–110. [Google Scholar] [CrossRef]
- Barrow, C.J. Developing the Environment: Problems & Management; Routledge: Abingdon, UK, 2014. [Google Scholar]
- Jin, J.; Gubbi, J.; Marusic, S.; Palaniswami, M. An information framework for creating a smart city through internet of things. IEEE Internet Things J. 2014, 1, 112–121. [Google Scholar] [CrossRef]
- Gubbi, J.; Buyya, R.; Marusic, S.; Palaniswami, M. Internet of Things (IoT): A vision, architectural elements, and future directions. Future Gener. Comput. Syst. 2013, 29, 1645–1660. [Google Scholar] [CrossRef]
- Gartner. Gartner Says Smart Cities Will Use 1.6 Billion Connected Things in 2016. 2015. Available online: https://www.gartner.com/newsroom/id/3175418 (accessed on 6 March 2018).
- Zanella, A.; Bui, N.; Castellani, A.; Vangelista, L.; Zorzi, M. Internet of things for smart cities. IEEE Internet Things J. 2014, 1, 22–32. [Google Scholar] [CrossRef]
- Samuel, S.S.I. A review of connectivity challenges in IoT-smart home. In Proceedings of the 2016 3rd MEC International Conference on Big Data and Smart City (ICBDSC), Muscat, Oman, 15–16 March 2016; pp. 1–4. [Google Scholar]
- Ash, B.; Chandrasekaran, S. What the “Smart” in Smart Cities is All About. 2017. Available online: https://beyondstandards.ieee.org/smart-cities/smart-smart-cities/ (accessed on 6 March 2018).
- Shrouf, F.; Miragliotta, G. Energy management based on Internet of Things: Practices and framework for adoption in production management. J. Clean. Prod. 2015, 100, 235–246. [Google Scholar] [CrossRef]
- Ejaz, W.; Naeem, M.; Shahid, A.; Anpalagan, A.; Jo, M. Efficient energy management for the internet of things in smart cities. IEEE Commun. Mag. 2017, 55, 84–91. [Google Scholar] [CrossRef]
- Hui, T.K.; Sherratt, R.S.; Sánchez, D.D. Major requirements for building Smart Homes in Smart Cities based on Internet of Things technologies. Future Gener. Comput. Syst. 2017, 76, 358–369. [Google Scholar] [CrossRef]
- Stojkoska, B.L.R.; Trivodaliev, K.V. A review of Internet of Things for smart home: Challenges and solutions. J. Clean. Prod. 2017, 140, 1454–1464. [Google Scholar] [CrossRef]
- Noguera-Arnaldos, J.Á.; Paredes-Valverde, M.A.; Salas-Zárate, M.P.; Rodríguez-García, M.Á.; Valencia-García, R.; Ochoa, J.L. im4Things: An Ontology-Based Natural Language Interface for Controlling Devices in the Internet of Things. In Current Trends on Knowledge-Based Systems; Springer International Publishing AG: Basel, Switzerland, 2017; pp. 3–22. [Google Scholar]
- Chen, M.; Yang, J.; Zhu, X.; Wang, X.; Liu, M.; Song, J. Smart home 2.0: Innovative smart home system powered by botanical IoT and emotion detection. Mob. Netw. Appl. 2017, 22, 1159–1169. [Google Scholar] [CrossRef]
- Ngu, A.H.; Gutierrez, M.; Metsis, V.; Nepal, S.; Sheng, Q.Z. IoT middleware: A survey on issues and enabling technologies. IEEE Internet Things J. 2017, 4, 1–20. [Google Scholar] [CrossRef]
- Park, E.; Cho, Y.; Han, J.; Kwon, S.J. Comprehensive Approaches to User Acceptance of Internet of Things in a Smart Home Environment. IEEE Internet Things J. 2017, 4, 2342–2350. [Google Scholar] [CrossRef]
- Jarwar, M.A.; Chong, I. Exploiting IoT services by integrating emotion recognition in Web of Objects. In Proceedings of the 2017 International Conference on Information Networking (ICOIN), Da Nang, Vietnam, 11–13 January 2017; pp. 54–56. [Google Scholar]
- Bellavista, P.; Montanari, R. Context Awareness for Adaptive Access Control Management in IoT Environments. In Security and Privacy in Cyber-Physical Systems: Foundations, Principles and Applications; John Wiley & Sons Ltd.: Hoboken, NJ, USA, 2017; pp. 157–178. [Google Scholar]
- Bansal, M.; Chana, I.; Clarke, S. Enablement of IoT Based Context-Aware Smart Home with Fog Computing. J. Cases Inf. Technol. 2017, 19, 1–12. [Google Scholar] [CrossRef]
- Kim, Y.; Huh, E.N. Study on user customized data service model for improving data service reliability. In Proceedings of the 11th International Conference on Ubiquitous Information Management and Communication, Kota Kinabalu, Malaysia, 17–19 January 2017; p. 28. [Google Scholar]
- Darby, S.J. Smart technology in the home: Time for more clarity. Build. Res. Inf. 2018, 46, 140–147. [Google Scholar] [CrossRef]
- Tao, M.; Zuo, J.; Liu, Z.; Castiglione, A.; Palmieri, F. Multi-layer cloud architectural model and ontology-based security service framework for IoT-based smart homes. Future Gener. Comput. Syst. 2018, 78, 1040–1051. [Google Scholar] [CrossRef]
- Chen, C.H.; Lin, M.Y.; Liu, C.C. Edge Computing Gateway of the Industrial Internet of Things Using Multiple Collaborative Microcontrollers. IEEE Netw. 2018, 32, 24–32. [Google Scholar] [CrossRef]
- Endler, M.; Silva, A.; Cruz, R.A. An approach for secure edge computing in the Internet of Things. In Proceedings of the 2017 1st IEEE Cyber Security in Networking Conference (CSNet), Rio de Janeiro, Brazil, 18–20 October 2017; pp. 1–8. [Google Scholar]
- Bello, O.; Zeadally, S.; Badra, M. Network layer inter-operation of Device-to-Device communication technologies in Internet of Things (IoT). Ad Hoc Netw. 2017, 57, 52–62. [Google Scholar] [CrossRef]
- Petrolo, R.; Morabito, R.; Loscrì, V.; Mitton, N. The design of the gateway for the cloud of things. Ann. Telecommun. 2017, 72, 31–40. [Google Scholar] [CrossRef][Green Version]
- Amadeo, M.; Molinaro, A.; Paratore, S.Y.; Altomare, A.; Giordano, A.; Mastroianni, C. A Cloud of Things framework for smart home services based on Information Centric Networking. In Proceedings of the 2017 IEEE 14th International Conference on Networking, Sensing and Control (ICNSC), Calabria, Italy, 16–18 May 2017; pp. 245–250. [Google Scholar]
- Huang, D.; Wu, H. Mobile Cloud Computing: Foundations and Service Models; Morgan Kaufmann: Burlington, MA, USA, 2017. [Google Scholar]
- Ahmad, S.; Hang, L.; Kim, D.H. Design and Implementation of Cloud-Centric Configuration Repository for DIY IoT Applications. Sensors 2018, 18, 474. [Google Scholar] [CrossRef] [PubMed]
- Sas, C.; Neustaedter, C. Exploring DIY practices of complex home technologies. ACM Trans. Comput. Hum. Interact. 2017, 24, 16. [Google Scholar] [CrossRef]
- Familiar, B.; Barnes, J. Sensors, Devices, and Gateways. In Business in Real-Time Using Azure IoT and Cortana Intelligence Suite; Apress: Berkeley, CA, USA, 2017; pp. 127–168. [Google Scholar]
- Klein, S. IoT Solutions in Microsoft’s Azure IoT Suite; Apress: Berkeley, CA, USA, 2017. [Google Scholar]
- Ferguson, A.G. The Internet of Things and the Fourth Amendment of effects. Calif. Law Rev. 2016, 104, 805. [Google Scholar]
- Ammar, M.; Russello, G.; Crispo, B. Internet of Things: A survey on the security of IoT frameworks. J. Inf. Secur. Appl. 2018, 38, 8–27. [Google Scholar] [CrossRef]
- Smirek, L.; Zimmermann, G.; Beigl, M. Just a smart home or your smart home—A framework for personalized user interfaces based on eclipse smart home and universal remote console. Procedia Comput. Sci. 2016, 98, 107–116. [Google Scholar] [CrossRef]
- Liu, J.; Albright, K.; Zamir, H. The Role of the Unconscious in Information Retrieval: What User Perception Tells Us. In Proceedings of the 2016 ACM on Conference on Human Information Interaction and Retrieval, Chapel Hill, NC, USA, 13–17 March 2016; pp. 289–292. [Google Scholar]
- Mano, L.Y.; Faiçal, B.S.; Nakamura, L.H.; Gomes, P.H.; Libralon, G.L.; Meneguete, R.I.; Geraldo Filho, P.; Giancristofaro, G.T.; Pessin, G.; Krishnamachari, B.; et al. Exploiting IoT technologies for enhancing Health Smart Homes through patient identification and emotion recognition. Comput. Commun. 2016, 89, 178–190. [Google Scholar] [CrossRef]
- Ghayvat, H.; Mukhopadhyay, S.; Gui, X.; Suryadevara, N. WSN-and IOT-based smart homes and their extension to smart buildings. Sensors 2015, 15, 10350–10379. [Google Scholar] [CrossRef] [PubMed]
- Cai, H.; Da Xu, L.; Xu, B.; Xie, C.; Qin, S.; Jiang, L. IoT-based configurable information service platform for product lifecycle management. IEEE Trans. Ind. Inform. 2014, 10, 1558–1567. [Google Scholar]
- Sezer, O.B.; Can, S.Z.; Dogdu, E. Development of a smart home ontology and the implementation of a semantic sensor network simulator: An internet of things approach. In Proceedings of the 2015 International Conference on Collaboration Technologies and Systems (CTS), Atlanta, GA, USA, 1–5 June 2015; pp. 12–18. [Google Scholar]
- Ko, J.; Lee, B.B.; Lee, K.; Hong, S.G.; Kim, N.; Paek, J. Sensor virtualization module: Virtualizing iot devices on mobile smartphones for effective sensor data management. Int. J. Distrib. Sens. Netw. 2015, 11, 730762. [Google Scholar] [CrossRef]
- Kamalinejad, P.; Mahapatra, C.; Sheng, Z.; Mirabbasi, S.; Leung, V.C.; Guan, Y.L. Wireless energy harvesting for the Internet of Things. IEEE Commun. Mag. 2015, 53, 102–108. [Google Scholar] [CrossRef]
- Chen, H.F.; Lin, Y.T.; Wu, C.H.; He, Z.H.; Liou, B.L.; Liao, Y.K. Smart control module design for IoT applications by a power meter SoC. In Proceedings of the 2015 International Conference on Applied System Innovation (ICASI 2015), Osaka, Japan, 22–27 May 2015; pp. 383–386. [Google Scholar]
- Nair, K.; Kulkarni, J.; Warde, M.; Dave, Z.; Rawalgaonkar, V.; Gore, G.; Joshi, J. Optimizing power consumption in iot based wireless sensor networks using Bluetooth Low Energy. In Proceedings of the 2015 International Conference on Green Computing and Internet of Things (ICGCIoT), Delhi, India, 8–10 October 2015; pp. 589–593. [Google Scholar]
- Roozeboom, C.L.; Hill, B.E.; Hong, V.A.; Ahn, C.H.; Ng, E.J.; Yang, Y.; Kenny, T.W.; Hopcroft, M.A.; Pruitt, B.L. Multifunctional integrated sensors for multiparameter monitoring applications. J. Microelectromech. Syst. 2015, 24, 810–821. [Google Scholar] [CrossRef]
- Jain, S.K.; Rajankar, S.O. Real-Time Object Detection and Recognition Using Internet of Things Paradigm. Int. J. Image Graph. Signal Process. 2017, 9, 18–26. [Google Scholar] [CrossRef][Green Version]
- Castro, D.; Coral, W.; Rodriguez, C.; Cabra, J.; Colorado, J. Wearable-Based Human Activity Recognition Using and IoT Approach. J. Sens. Actuator Netw. 2017, 6, 28. [Google Scholar] [CrossRef]
- Caputo, F.; D’Amato, E.; Greco, A.; Notaro, I.; Spada, S. Human Posture Tracking System for Industrial Process Design and Assessment. In International Conference on Intelligent Human Systems Integration; Springer: Cham, Switzerland, 2018; pp. 450–455. [Google Scholar]
- Vasconcelos, D.; Pimentel, F.; Andrade, R.; Souza, J. Mathematical model for a collaborative indoor position system (IPS) and movement detection of devices within IoT environment. In Proceedings of the Symposium on Applied Computing, Marrakesh, Morocco, 4–6 April 2017; pp. 602–608. [Google Scholar]
- Oracevic, A.; Dilek, S.; Ozdemir, S. Security in internet of things: A survey. In Proceedings of the 2017 International Symposium on Networks, Computers and Communications (ISNCC), Yasmine Hammamet, Tunisia, 11–13 May 2017; pp. 1–6. [Google Scholar]
- Imagane, K.; Kanai, K.; Katto, J.; Tsuda, T.; Nakazato, H. Performance evaluations of multimedia service function chaining in edge clouds. In Proceedings of the 2018 15th IEEE Annual Consumer Communications & Networking Conference (CCNC), Las Vegas, NV, USA, 12–15 January 2018; pp. 1–4. [Google Scholar]
- Cedeño, J.M.V.; Papinniemi, J.; Hannola, L.; Donoghue, I. Developing smart services by internet of things in manufacturing business. LogForum 2018, 14, 59–71. [Google Scholar]
- Chandra, A.A.; Jannif, N.I.; Prakash, S.; Padiachy, V. Cloud based real-time monitoring and control of diesel generator using the IoT technology. In Proceedings of the 2017 20th International Conference on Electrical Machines and Systems (ICEMS), Sydney, Australia, 11–14 August 2017; pp. 1–5. [Google Scholar]
- Coates, A.; Hammoudeh, M.; Holmes, K.G. Internet of Things for Buildings Monitoring: Experiences and Challenges. In Proceedings of the International Conference on Future Networks and Distributed Systems, Cambridge, UK, 19–20 July 2017; p. 38. [Google Scholar]
- Teizer, J.; Wolf, M.; Golovina, O.; Perschewski, M.; Propach, M.; Neges, M.; König, M. Internet of Things (IoT) for Integrating Environmental and Localization Data in Building Information Modeling (BIM). In Proceedings of the International Symposium on Automation and Robotics in Construction, Taipei, Taiwan, 28 June–1 July 2017; Volume 34. [Google Scholar]
- Minoli, D.; Sohraby, K.; Occhiogrosso, B. Iot considerations, requirements, and architectures for smart buildings—Energy optimization and next-generation building management systems. IEEE Internet Things J. 2017, 4, 269–283. [Google Scholar] [CrossRef]
- Paul, A.; Ahmad, A.; Rathore, M.M.; Jabbar, S. Smartbuddy: Defining human behaviors using big data analytics in social internet of things. IEEE Wirel. Commun. 2016, 23, 68–74. [Google Scholar] [CrossRef]


| Components | Descriptions |
|---|---|
| Policy and purpose |
|
| Key industry |
|
| City infrastructure |
|
| Sectors and Industries | Key Services | Principal Agents and Operators | Core Issues for IoT Technologies |
|---|---|---|---|
| Energy and electricity | Automation of transmission and distribution | Companies providing automatic electricity services, and combined Internet and smart grid services |
|
| Optimization, management, and reduction of accommodated energy | Companies providing electricity grid services and utility grid | ||
| Architecture and building | Building management | Companies providing telecommunication services and construction |
|
| Building automation | Companies providing telecommunication and office management | ||
| Home automation | Companies providing telecommunication services and construction | ||
| Automation and transportation | Remote parking management | Companies providing parking control facilities, Internet and Intranet services |
|
| Business fleet management | Companies providing telecommunication, system integration, and Internet services |
| |
| Vehicle telematics | Companies providing telecommunication and vehicle component manufacturing |
| |
| Security | Home security | Companies providing telecommunication and security services |
|
| Protection of children and elderly | Companies providing telecommunication and social safety net services | ||
| Healthcare and monitoring | Smart healthcare | Companies providing telecommunication, system integration, and healthcare services |
|
| Smart hospital | Companies providing telecommunication, system integration, and hospital services |
|
| Classification | Core Product Category | Core Technologies (Examples) | Description |
|---|---|---|---|
| A. Smart home platform | A.1. Smart home control platform | A.1.1. Energy load management technology [14,15] |
|
| A.1.2. Smart home cloud server technology [16,17] |
| ||
| A.2. Smart home user interaction platform | A.2.1. User natural language recognition technology [18,19] |
| |
| A.2.2. User interface technology [20,21] |
| ||
| A.2.3. User emotion recognition technology [22] |
| ||
| A.3. Home context awareness framework | A.3.1. Context awareness technology [23,24] |
| |
| A.3.2. User-customized service operation technology [25] |
| ||
| A.4. Open architecture home service framework | A.4.1. Compatible technology for controlling devices in smart home environment [26] |
| |
| A.4.2. Smart home service framework [17,27] |
| ||
| B. Wired and wireless home network interworking technology | B.1. Home network connection components | B.1.1. Wired and wireless connection gateway technology [28,29] |
|
| B.1.2. Home network device technology for various service domains [30] |
| ||
| B.2. Home network service cloud technology | B.2.1. Connection supporting technology between gateway and cloud [31] |
| |
| B.2.2. Home network service cloud server construction [32,33] |
| ||
| B.3. Market vitalization technology | B.3.1. Development of home network service DIY tools [34,35] |
| |
| B.3.2. Development of home network device SDK based on multiple sensors for universal services [36,37] |
|
| Classification | Core Product Category | Core Technologies | Description |
|---|---|---|---|
| C. Intelligent information home appliances | C.1. Home appliance-security technology | C.1.1. Digital trespassing recognition technology [38] |
|
| C.1.2. Compatible security service technology for multiple devices [39] |
| ||
| C.2. Smart care appliance technology | C.2.1. Customized user interface technology [40] |
| |
| C.2.2. Technology for unconsciousness information collection of users [41] |
| ||
| C.2.3. Emotion recognition technology [42] |
| ||
| C.3. Home sensor-network technology | C.3.1. Wireless sensing technology for home environment [17,43] |
| |
| C.3.2. Technology for providing services based on the collaboration of devices [44] |
| ||
| D. Home sensor technology | D.1. Sensor communication technology | D.1.1. Sensor communication technology for wireless network [45] |
|
| D.1.2. Complementary sensor management technology [46] |
| ||
| D.2. Element development technology for commercialization | D.2.1. Implementation technology for the functions of low-power sensors [47] |
| |
| D.2.2. Technology for SoC sensor control- module [48] |
| ||
| D.3. Sensor fusion and converging technology | D.3.1. Optimized sensor design technology [49] |
| |
| D.3.2. Technology for designing and manufacturing multi-functional sensors [50] |
|
| Classification | Core Product Category | Core Technologies | Description |
|---|---|---|---|
| E. Security technology for smart home and building | E.1. Intelligent IP imagining devices | E.1.1. Object detection technology [51] |
|
| E.1.2. Intelligent human recognition technology [52] |
| ||
| E.1.3. Intelligent human tracing technology [53] |
| ||
| E.2. Analytical technology | E.2.1. Movement detection and sensing technology [54] |
| |
| E.3. Information security technology using IoT | E.3.1. Technology for information security and multimedia management [55,56] |
| |
| F. Smart building automation and system | F.1. Smart building automation technology | F.1.1. Development and scenarios for automated services [57] |
|
| F.1.2. Cloud-based control and management technology [58] |
| ||
| F.2. Smart building energy management technology | F.2.1. Smart building energy monitoring technology [59] |
| |
| F.2.2. Technology for predicting energy consumption and efficiency of smart building [15,17] |
| ||
| F.2.3. BIM-based smart building energy management and analytical technology [60] |
| ||
| F.3. Smart building optimization technology for control and management | F.3.1. Cloud-based smart building optimization control and energy management technology [61] |
| |
| F.3.2. Analytical technology based on big data collected on cloud server [62] |
|
| Core Technologies | 1. Importance (Mean (Standard Deviation)) | 2. Essentiality (Mean (Standard Deviation)) |
|---|---|---|
| A.1.1. Energy load management technology | 73.10 (12.21) | 5.44 (1.21) |
| A.1.2. Smart home cloud server technology | 77.31 (14.92) | 5.29 (1.19) |
| A.2.1. Recognition technology of user’s natural language | 17.43 (17.01) | 4.15 (1.01) |
| A.2.2. User interface technology | 25.13 (13.82) | 4.22 (1.09) |
| A.2.3. User emotion recognition technology | 23.08 (13.74) | 4.01 (0.98) |
| A.3.1. Context awareness technology | 28.55 (16.21) | 3.11 (1.11) |
| A.3.2. User-customized service operation technology | 22.25 (12.19) | 2.98 (1.29) |
| A.4.1. Compatible technology for controlling devices in smart home environment | 24.51 (15.09) | 3.11 (0.95) |
| A.4.2. Smart home service framework | 19.48 (11.49) | 3.25 (0.99) |
| B.1.1. Wires and wireless connection gateway technology | 30.34 (19.41) | 2.81 (0.94) |
| B.1.2. Home network device technology for various service domains | 51.02 (29.93) | 2.79 (1.02) |
| B.2.1. Connection supporting technology between gateway and cloud | 72.29 (14.78) | 4.29 (1.02) |
| B.2.2. Home network service cloud server construction | 76.28 (19.74) | 4.31 (0.98) |
| B.3.1. Development of home network service DIY tools | 27.35 (12.22) | 2.74 (1.02) |
| B.3.2. Development of home network device SDK based on multiple sensors for universal services | 27.08 (12.20) | 2.51 (0.91) |
| C.1.1. Digital trespassing recognition technology | 18.08 (16.45) | 2.54 (0.91) |
| C.1.2. Compatible security service technology for multiple devices | 42.17 (15.86) | 2.41 (1.23) |
| C.2.1. Customized UI technology | 48.91 (13.86) | 2.49 (0.95) |
| C.2.2. Technology for unconsciousness information collection of users | 39.24 (11.40) | 2.65 (1.01) |
| C.2.3. Emotion recognition technology | 28.75 (9.45) | 2.99 (0.91) |
| C.3.1. Wireless sensing technology for home environment | 82.60 (10.41) | 5.15 (0.91) |
| C.3.2. Technology for providing services based on the collaboration of devices | 72.20 (12.24) | 5.21 (0.99) |
| D.1.1. Sensor communication technology for wireless network | 86.74 (7.83) | 5.12 (0.91) |
| D.1.2. Complementary sensor management technology | 75.62 (13.80) | 5.04 (0.95) |
| D.2.1. Implementation technology for the functions of low-power sensors | 27.13 (12.99) | 3.91 (1.04) |
| D.2.2. Technology for SoC sensor control-module | 20.62 (12.48) | 3.33 (0.91) |
| D.3.1. Optimized sensor design technology | 79.54 (12.37) | 4.98 (0.85) |
| D.3.2. Technology for designing and manufacturing multi-functional sensors | 81.98 (10.72) | 4.81 (1.20) |
| E.1.1. Object detection technology | 78.07 (12.06) | 5.11 (0.97) |
| E.1.2. Intelligent human recognition technology | 61.15 (17.03) | 5.05 (1.01) |
| E.1.3. Intelligent human tracing technology | 64.93 (11.81) | 4.96 (1.22) |
| E.2.1. Movement detection and sensing technology | 50.46 (12.33) | 5.22 (0.99) |
| E.3.1. Technology for information security and multimedia management | 45.13 (16.22) | 5.31 (0.98) |
| F.1.1. Development and scenarios for automated services | 34.11 (13.22) | 3.91 (1.11) |
| F.1.2. Cloud-based control and management technology | 23.59 (12.60) | 3.96 (0.97) |
| F.2.1. Smart building energy monitoring technology | 66.75 (11.29) | 4.98 (1.23) |
| F.2.2. Technology for predicting energy consumption and efficiency of smart building | 30.18 (14.29) | 5.02 (0.99) |
| F.2.3. BIM-based smart building energy management and analytical technology | 68.66 (11.82) | 5.13 (1.22) |
| F.3.1. Cloud-based smart building optimization control and energy management technology | 69.45 (19.88) | 2.32 (0.94) |
| F.3.2. Analytical technology based on big data collected on cloud server | 20.44 (9.44) | 2.96 (1.13) |
© 2018 by the authors. Licensee MDPI, Basel, Switzerland. This article is an open access article distributed under the terms and conditions of the Creative Commons Attribution (CC BY) license (http://creativecommons.org/licenses/by/4.0/).
Share and Cite
Park, E.; Del Pobil, A.P.; Kwon, S.J. The Role of Internet of Things (IoT) in Smart Cities: Technology Roadmap-oriented Approaches. Sustainability 2018, 10, 1388. https://doi.org/10.3390/su10051388
Park E, Del Pobil AP, Kwon SJ. The Role of Internet of Things (IoT) in Smart Cities: Technology Roadmap-oriented Approaches. Sustainability. 2018; 10(5):1388. https://doi.org/10.3390/su10051388
Chicago/Turabian StylePark, Eunil, Angel P. Del Pobil, and Sang Jib Kwon. 2018. "The Role of Internet of Things (IoT) in Smart Cities: Technology Roadmap-oriented Approaches" Sustainability 10, no. 5: 1388. https://doi.org/10.3390/su10051388
APA StylePark, E., Del Pobil, A. P., & Kwon, S. J. (2018). The Role of Internet of Things (IoT) in Smart Cities: Technology Roadmap-oriented Approaches. Sustainability, 10(5), 1388. https://doi.org/10.3390/su10051388

