Adsorption Characteristics of Ammonium Nitrogen and Plant Responses to Biochar Pellet
Abstract
1. Introduction
2. Materials and Methods
2.1. Raw Materials in the Batch Experiment for Adsorption Determination
2.2. Adsorption and Removal Rates
2.3. Langmuir Isothermal
2.4. Kinetic Models
2.5. Chemical Analysis
2.6. Lettuce Cultivation
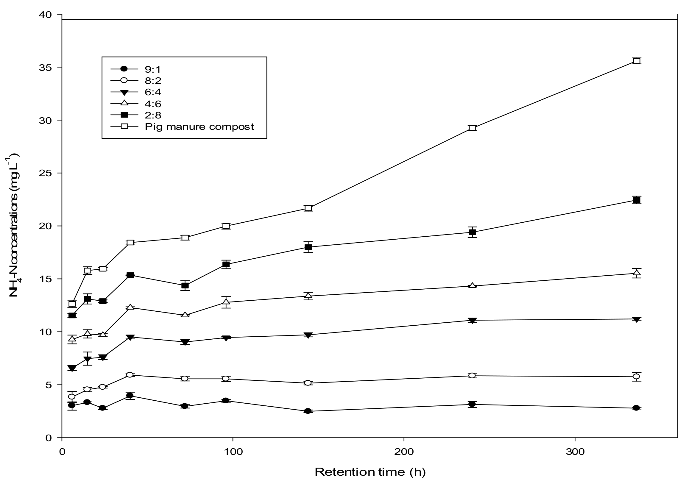
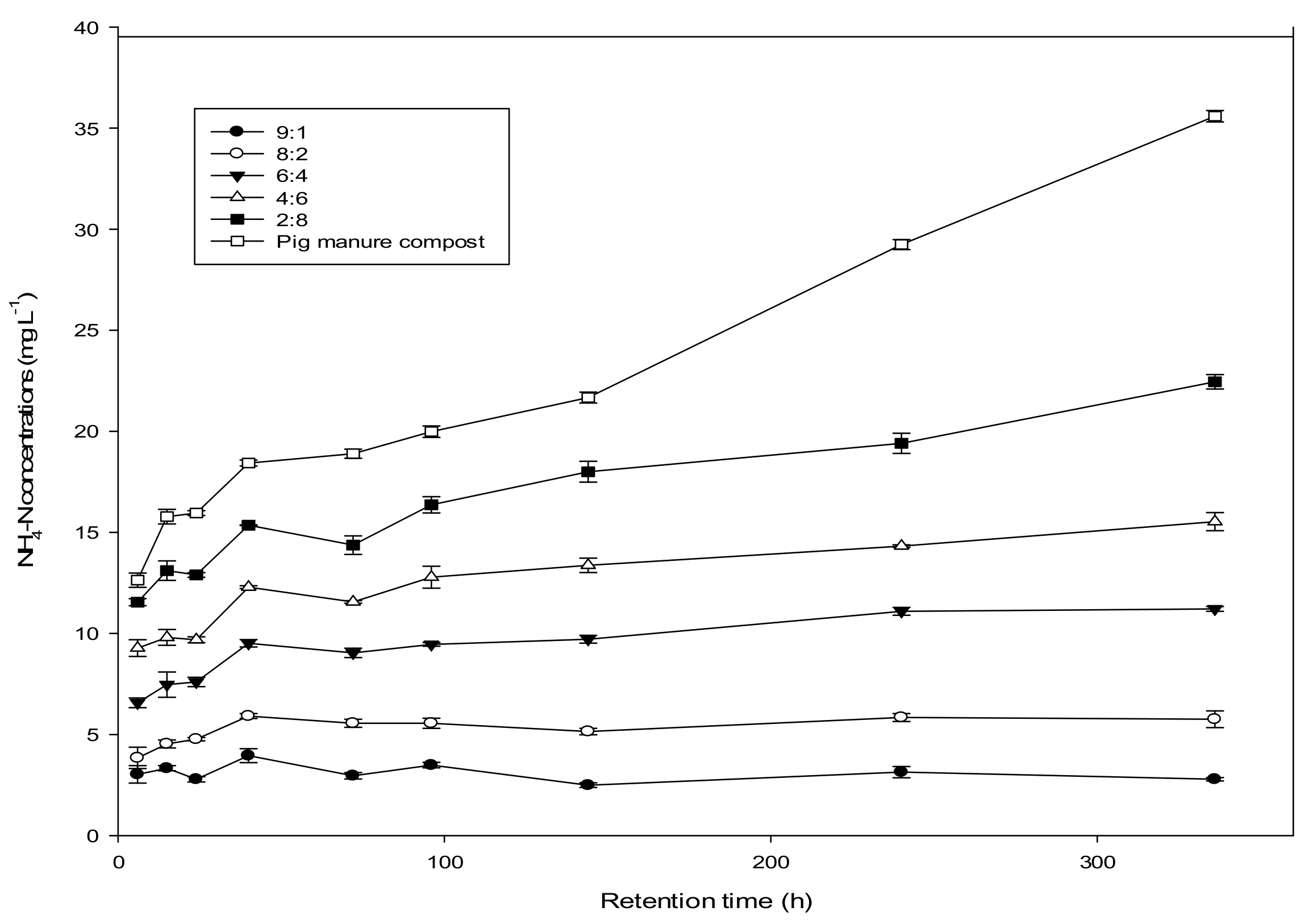
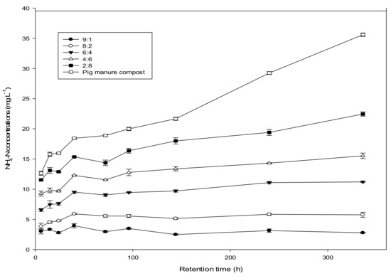
3. Results
4. Discussions
4.1. NH4-N Releasing Patterns of the Biochar Pellets
4.2. Adsorption and Removal Rates of NH4-N from the Biochar Pellets
4.3. Adsorption
4.4. Adsorption Kinetics
4.5. Plant Growth Responses to the Biochar Pellets
5. Conclusions
Author Contributions
Acknowledgments
Conflicts of Interest
References
- Ben-Iwo, J.; Manovic, V.; Longhurst, P. Biomass resources and biofuels potential for the production of transportation fuels in Nigeria. Renew. Sustain. Energy Rev. 2016, 63, 172–192. [Google Scholar] [CrossRef]
- Brosowski, A.; Thrän, D.; Mantau, U.; Mahro, B.; Erdmann, G.; Adler, P.; Stinner, W.; Reinhold, G.; Hering, T.; Blanke, C. A review of biomass potential and current utilisation—Status quo for 93 biogenic wastes and residues in Germany. Biomass Bioenergy 2016, 95, 257–272. [Google Scholar] [CrossRef]
- MIFAFF. Annual Statistics in Food, Agriculture, Fisheries and Forestry in 2009; Korean Ministry for Food, Agriculture, Fisheries and Forestry: Gwacheon, Korea, 2010. [Google Scholar]
- Ding, Y.; Liu, Y.; Liu, S.; Li, Z.; Tan, X.; Huang, X.; Zeng, G.; Zhou, L.; Zheng, B. Biochar to improve soil fertility. A review. Agron. Sustain. Dev. 2016, 36, 1–18. [Google Scholar] [CrossRef]
- Filiberto, D.; Gaunt, J. Practicality of biochar additions to enhance soil and crop productivity. Agriculture 2013, 3, 715–725. [Google Scholar] [CrossRef]
- Awasthi, M.K.; Wang, Q.; Ren, X.; Zhao, J.; Huang, H.; Awasthi, S.K.; Lahori, A.H.; Li, R.; Zhou, L.; Zhang, Z. Role of biochar amendment in mitigation of nitrogen loss and greenhouse gas emission during sewage sludge composting. Bioresour. Technol. 2016, 219, 270–280. [Google Scholar] [CrossRef] [PubMed]
- Kammann, C.I.; Schmidt, H.-P.; Messerschmidt, N.; Linsel, S.; Steffens, D.; Müller, C.; Koyro, H.-W.; Conte, P.; Stephen, J. Plant growth improvement mediated by nitrate capture in co-composted biochar. Sci. Rep. 2015, 5, 11080. [Google Scholar] [CrossRef] [PubMed]
- Major, J.; Lehmann, J.; Rondon, M.; Goodale, C. Fate of soil applied black carbon: Downward migration, leaching and soil respiration. Glob. Chang. Biol. 2010, 16, 1366–1379. [Google Scholar] [CrossRef]
- Shin, J. Carbon Sequestration and Nitrogen Transformation in Soil Cooperated with Organic Composts and Biochar during corn (Zea mays) Cultivation. J. Agric. Chem. Environ. 2015, 3, 96–101. [Google Scholar] [CrossRef]
- Reza, M.T.; Lynam, L.G.; Vasquez, V.R.; Coronella, C.J. Pelletization of Biochar from Hydrothermally Carbonized Wood. Environ. Prog. Sustain. Energy 2012, 31, 225–234. [Google Scholar] [CrossRef]
- Abdullah, H.; Wu, H. Biochar as Fuel: 1. Properties and Grindability of Biochars Produced from the Pyrolysis of Mallee Wood under Slow-Heating Conditions. Energy Fuels 2009, 23, 4174–4182. [Google Scholar] [CrossRef]
- Cantrell, K.B.; Martin, J.H., II. Poultry litter and switchgrass blending and pelleting characteristics for biochar production. Am. Soc. Agric. Biol. Eng. 2012, 57, 543–553. [Google Scholar]
- Hagemann, N.; Joseph, S.; Schmidt, H.P.; Kammann, C.I.; Harter, J.; Borch, T.; Young, R.B.; Varga, K.; Taherymoosavi, S.; Elliott, K.W.; et al. Organic coating on biochar explains its nutrient retention and stimulation of soil fertility. Nat. Commun. 2017, 8, 1–11. [Google Scholar] [CrossRef] [PubMed]
- Kulyk, N. Cost-Benefit Analysis of the Biochar Application in the U.S. Cereal Crop Cultivation; Center for Public Policy Administration Capstones, University of Massachusetts: Amherst, MA, USA, 2012. [Google Scholar]
- Nadaroglu, H.; Kalkan, E.; Demir, N. Removal of copper from aqueous solution using red mud. Desalination 2010, 153, 90–95. [Google Scholar] [CrossRef]
- Ho, Y.S.; Mckay, G. Sorption of dye from aqueous solution by peat. Can. J. Chem. Eng. 1998, 76, 822–827. [Google Scholar] [CrossRef]
- Na, C.; Park, H. Applicability of Theroretical Adsorption Models for Studies on Adsorption Properties of Adsorbents (II). Environ. Eng. Res. 2011, 33, 804–811. [Google Scholar]
- Kizito, S.; Wu, S.; Kirui, W.K.; Lei, M.; Lu, Q.; Bah, H.; Dong, R. Evaluation of slow pyrolyzed wood and rice husks biochar for adsorption of ammonium nitrogen from piggery manure anaerobic digestate slurry. Sci. Total Environ. 2015, 505, 102–112. [Google Scholar] [CrossRef] [PubMed]
- Sica, M.; Duta, A.; Teodosiu, C.; Draghici, C. Thermodynamic and kinetic study on ammonium removal from a synthetic water solution using ion exchange resin. Clean Technol. Environ. Policy 2014, 16, 351–359. [Google Scholar] [CrossRef]
- Huang, H.; Xiao, X.; Yan, B.; Yang, L. Ammonium removal from aqueous solutions by using natural Chinese (Chende) zeolite as adsorbent. J. Hazard. Mater. 2010, 175, 247–253. [Google Scholar] [CrossRef] [PubMed]
- Long, X.L.; Cheng, H.; Xin, Z.L.; Xiao, W.D.; Li, W.; Yuan, W.K. Adsorption of ammonia on activated carbon from aqueous solutions. Environ. Prog. 2008, 27, 225–233. [Google Scholar] [CrossRef]
- Palanisamy, P.N.; Sivakumar, P. Kinetic and isotherm studies of adsorption of acid blue 92 using a low cost non- conventional activated carbon. Desalination 2009, 249, 388–397. [Google Scholar] [CrossRef]
- Zhu, K.; Fu, H.; Zhang, J.; Lv, X.; Tang, J.; Xu, X. Studies on removal of NH4-N from aqueous solution by using the activated carbons derived from rice husk. Bioenergy 2012, 43, 18–25. [Google Scholar] [CrossRef]
- Shin, J.; Kim, S.I.; Park, W.K.; Choi, Y.S.; Hong, S.G.; Park, S.W. Carbon sequestration in soil cooperated with organic composts and bio-char during corn (Zea mays) cultivation. J. Agric. Chem. Environ. 2014, 2, 151–155. [Google Scholar] [CrossRef]
- Shin, J.; Choi, S.; Shin, J.H. Profit Analysis by Soil Carbon Sequestration with different Composts and Cooperated with Biochar during Corn (Zea mays) Cultivation Periods in Sandy Loam Soil. J. Agric. Chem. Environ. 2016, 5, 107–113. [Google Scholar] [CrossRef][Green Version]






| pH | EC | TC | TOC | TIC | TN | |
|---|---|---|---|---|---|---|
| (dS m−1) | % | |||||
| Biochar | 9.78 (1:20) | 16.53 | 56.6 | 52.3 | 4.2 | 0.20 |
| Pig manure compost | 8.77 (1:5) | 3.40 | 28.9 | 25.9 | 3.0 | 2.91 |
| Retention Times (h) | Linear Equations | R2 |
|---|---|---|
| 6 | Y = 23.57X + 7.652 | 0.972 ** |
| 15 | Y = 30.19X + 9.396 | 0.988 ** |
| 24 | Y = 30.37X + 9.531 | 0.986 ** |
| 40 | Y = 34.36X +11.166 | 0.965 ** |
| 72 | Y = 38.50X + 10.752 | 0.979 ** |
| 96 | Y = 39.11X + 11.714 | 0.989 ** |
| 144 | Y = 42.37X + 12.709 | 0.976 ** |
| 240 | Y = 55.16X + 17.575 | 0.953 ** |
| 336 | Y = 54.63X + 24.034 | 0.937 ** |
| pH(1:5) | EC(dS m−1) | TC(%) | NH4-N(mg/kg) | NO3-N(mg/kg) |
|---|---|---|---|---|
| 5.04 | 4.85 | 1.34 | 44.24 | 41.51 |
| Mixed Ratios | Pseudo-First Order | Pseudo-Second Order | 3 qe(exp.) | |||||
|---|---|---|---|---|---|---|---|---|
| 1 K1 | 2 qe | R2 | K2 | h | qe | R2 | ||
| 9:1 | 0.0020 | 5.50 | 0.949 ** | 0.019 | 0.41 | 4.65 | 0.988 ** | 7.75 * |
| 8:2 | 0.0020 | 5.12 | 0.932 ** | 0.022 | 0.36 | 4.00 | 0.986 ** | 7.05 * |
| 6:4 | 0.0017 | 4.41 | 0.913 ** | 0.031 | 0.26 | 2.90 | 0.989 ** | 5.76 |
| 4:6 | 0.0018 | 3.97 | 0.851 | 0.046 | 0.19 | 2.02 | 0.991 ** | 4.74 |
| 2:8 | 0.0019 | 2.93 | 0.778 | 0.117 | 0.11 | 0.96 | 0.975 ** | 3.11 |
| Parameters | 2:8 | 4:6 | 6:4 | 8:2 | 9:1 |
|---|---|---|---|---|---|
| pH (1:20) | 8.8 | 8.9 | 9.0 | 9.1 | 9.2 |
| EC (dS m−1) | 1.4 | 1.2 | 1.3 | 1.2 | 1.0 |
| qm 1 | b 2 | R2 | RL 3 |
|---|---|---|---|
| (mg g−1) | (L mg−1) | ||
| 2.94 | 0.28 | 0.931 ** | 0.09 |
© 2018 by the authors. Licensee MDPI, Basel, Switzerland. This article is an open access article distributed under the terms and conditions of the Creative Commons Attribution (CC BY) license (http://creativecommons.org/licenses/by/4.0/).
Share and Cite
Shin, J.; Choi, E.; Jang, E.; Hong, S.G.; Lee, S.; Ravindran, B. Adsorption Characteristics of Ammonium Nitrogen and Plant Responses to Biochar Pellet. Sustainability 2018, 10, 1331. https://doi.org/10.3390/su10051331
Shin J, Choi E, Jang E, Hong SG, Lee S, Ravindran B. Adsorption Characteristics of Ammonium Nitrogen and Plant Responses to Biochar Pellet. Sustainability. 2018; 10(5):1331. https://doi.org/10.3390/su10051331
Chicago/Turabian StyleShin, JoungDu, Eunjung Choi, EunSuk Jang, Seung Gil Hong, SangRyong Lee, and Balasubramani Ravindran. 2018. "Adsorption Characteristics of Ammonium Nitrogen and Plant Responses to Biochar Pellet" Sustainability 10, no. 5: 1331. https://doi.org/10.3390/su10051331
APA StyleShin, J., Choi, E., Jang, E., Hong, S. G., Lee, S., & Ravindran, B. (2018). Adsorption Characteristics of Ammonium Nitrogen and Plant Responses to Biochar Pellet. Sustainability, 10(5), 1331. https://doi.org/10.3390/su10051331

