A Supply Chain Coordination Mechanism with Cost Sharing of Corporate Social Responsibility
Abstract
1. Introduction
2. Literature Review
3. Model Hypotheses
4. Supply Chain Decision-Making Mechanism under Different Decision-Making Schemes
4.1. A Supply Chain Decision-Making Mechanism under Decentralized Decision-Making
4.1.1. The Supply Chain Optimal Decision-Making If Only the Retailer Is CSR
- 1.
- The retail price is negatively correlated with the CSR coefficient;
- 2.
- The order quantity is positively correlated to the CSR coefficient;
- 3.
- The wholesale price has nothing to do with the CSR coefficient; and
- 4.
- The profit of each member of the supply chain and the whole supply chain are positively correlated with the CSR coefficient.
4.1.2. The Supply Chain Optimal Decision-Making When Only the Suppliers are CSR
- 1.
- The wholesale price and the retailer price are negatively correlated with the CSR coefficient;
- 2.
- The order quantity is positively related to the CSR coefficient; and
- 3.
- The profits of the supply chain members and the whole supply chain are positively correlated with the CSR coefficient.
4.2. A Supply Chain Decision-Making Mechanism under Centralized Decision-Making
4.2.1. The Supply-Chain’s Optimal Decision-Making without Considering CSR
4.2.2. The Supply Chain Optimal Decision-Making Considering CSR
5. A Supply Chain Coordination Decision-Making Mechanism Based on Cost Sharing of CSR
- 1.
- The wholesale price and the retailer price are negatively correlated to the CSR coefficient;
- 2.
- The order quantity is positively correlated to the CSR coefficient; and
- 3.
- The profits of the supply chain members and the whole supply chain are positively correlated with the CSR coefficient.
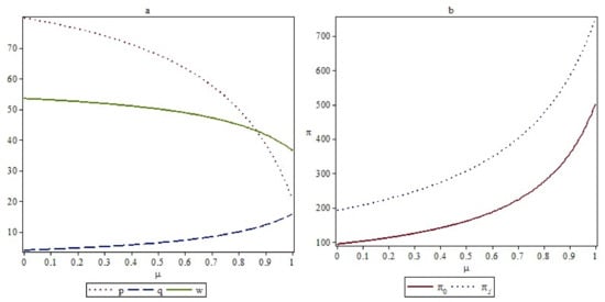
6. Numerical Illustration
6.1. Effects of CSR on Decision Variables
6.2. Analysis of the Effectiveness of the Mechanism
7. Managerial Implications and Concluding Remarks
Acknowledgments
Author Contributions
Conflicts of Interest
References
- Dyllick, T.; Hockerts, K. Beyond the business case for corporate sustainability. Bus. Strateg. Environ. 2002, 11, 130–141. [Google Scholar] [CrossRef]
- Word Commission on Environment and Development (WCED). Our Common Future; Oxford University Press: Oxford, UK, 1987. [Google Scholar]
- Van Marrewijk, M. Concepts and definitions of CSR and corporate sustainability: Between agency and communion. J. Bus. Ethics 2003, 44, 95–105. [Google Scholar] [CrossRef]
- Van Marrewijk, M.; Werre, M. Multiple levels of corporate sustainability. J. Bus. Ethics 2003, 44, 107–119. [Google Scholar] [CrossRef]
- Ageron, B.; Gunasekaran, A.; Spalanzani, A. Sustainable supply management: An empirical study. Int. J. Prod. Econ. 2012, 140, 168–182. [Google Scholar] [CrossRef]
- Ashby, A.; Leat, M.; Smith, M.H. Making connections: A review of supply chain management and sustainability literature. Supply Chain Manag. Int. J. 2012, 17, 497–516. [Google Scholar] [CrossRef]
- Amaesh, K.M.; Osuji, O.K.; Nnodim, P. Corporate Social Responsibility in Supply Chains of Global Brands: A Boundaryless Responsibility? Clarifications, Exceptions and Implications. J. Bus. Ethics 2008, 81, 223–234. [Google Scholar] [CrossRef]
- Murphy, P.R.; Poist, R.F. Socially responsible logistics: An exploratory study. Transp. J. 2002, 41, 23–35. [Google Scholar]
- Hsueh, C.F. Improving corporate social responsibility in a supply chain through a new revenue sharing contract. Int. J. Prod. Econ. 2014, 151, 214–222. [Google Scholar] [CrossRef]
- Panda, S.; Modak, N.M.; Basu, M.; Goyal, S.K. Channel coordination and profit distribution in a social responsible three-layer supply chain. Int. J. Prod. Econ. 2015, 168, 224–233. [Google Scholar] [CrossRef]
- Panda, S.; Modak, N.M.; Pradhan, D. Corporate social responsibility, channel coordination and profit division in a two-echelon supply chain. Int. J. Manag. Sci. Eng. Manag. 2016, 11, 22–33. [Google Scholar] [CrossRef]
- Panda, S.; Modak, N.M. Exploring the effects of social responsibility on coordination and profit division in a supply chain. J. Clean. Prod. 2016, 139, 5–40. [Google Scholar] [CrossRef]
- Panda, S.; Modak, N.M.; Barrón, C.L. Coordinating a socially responsible closed-loop supply chain with product recycling. Int. J. Prod. Econ. 2017, 188, 11–21. [Google Scholar] [CrossRef]
- Modak, N.M.; Panda, S.; Mishra, R.; Sana, S.S. A three-layer supply chain coordination in socially responsible distribution system. Tékhne 2016, 14, 75–87. [Google Scholar] [CrossRef]
- Modak, N.M.; Panda, S.; Sana, S.S. Pricing policy and coordination for a two-layer supply chain of duopolistic retailers and socially responsible manufacturer. Int. J. Logist. Res. Appl. 2016, 19, 487–508. [Google Scholar] [CrossRef]
- Linthicum, C.; Reitenga, A.L.; Manuel, J. Social responsibility and corporate reputation: The case of the Arthur Andersen Enron audit failure. J. Account. Public Policy 2009, 29, 160–176. [Google Scholar] [CrossRef]
- Komodromos, M.; Melanthiou, Y. Corporate Reputation Through Strategic Corporate Social Responsibility: Insights from Service Industry Companies. J. Promot. Manag. 2014, 20, 470–480. [Google Scholar] [CrossRef]
- Li, Y.H.; Ni, D.B.; Tang, X.W. Signaling Quality in Supply Chains by Corporate Social Responsibility. Chin. J. Manag. Sci. 2017, 25, 38–47. [Google Scholar]
- Carter, C.R.; Jennings, M.M. Social responsibility and supply chain relationships. Transp. Res. Part E 2002, 38, 37–52. [Google Scholar] [CrossRef]
- Hutchins, M.J.; Sutherland, J.W. An exploration of measures of social sustainability and their application to supply chain decisions. J. Clean. Prod. 2008, 16, 1688–1698. [Google Scholar] [CrossRef]
- Kovács, G. Corporate environmental responsibility in the supply chain. J. Clean. Prod. 2008, 16, 1571–1578. [Google Scholar] [CrossRef]
- Dahlsrud, A. How corporate social responsibility is defined: An analysis of 37 definitions. Corp. Soc. Responsib. Environ. Manag. 2008, 15, 1–13. [Google Scholar] [CrossRef]
- Panda, S. Coordination of a socially responsible supply chain using revenue sharing contract. Transp. Res. Part E 2014, 67, 92–104. [Google Scholar] [CrossRef]
- Yue, J.F.; Austin, J.; Zhang, Z.M.; Chen, B.T. Pricing and advertisement in a manufacturer—Retailer supply chain. Eur. J. Oper. Res. 2013, 492–502. [Google Scholar] [CrossRef]
- Giri, B.C.; Sharma, S. Manufacturer’s pricing strategy in a two-level supply chain with competing retailers and advertising cost dependent demand. Econ. Model. 2014, 38, 102–111. [Google Scholar] [CrossRef]
- Chen, T.H. Effects of the pricing and cooperative advertising policies in a two-echelon dual-channel supply chain. Comput. Ind. Eng. 2015, 87, 250–259. [Google Scholar] [CrossRef]
- Ryan, J.K.; Sun, D.; Zhao, X.Y. Coordinating a Supply Chain with a Manufacturer-Owned Online Channel: A Dual Channel Model under Price Competition. IEEE Trans. Eng. Manag. 2013, 60, 247–259. [Google Scholar] [CrossRef]
- Li, B.; Chen, P.; Li, Q.H.; Wang, W.G. Dual-channel supply chain pricing decisions with a risk-averse retailer. Int. J. Prod. Res. 2014, 52, 7132–7147. [Google Scholar] [CrossRef]
- Munson, C.L.; Rosenbaltt, M.J. Coordinating a three-level supply chain with quantity discounts. IEEE Trans. 2001, 3, 371–384. [Google Scholar] [CrossRef]
- Li, Y.F.; Su, Q.; Zheng, J. Optimal Order Coordination of the Supply Chain with Stochastic Demand and Quality Defective Materials. J. Syst. Manag. 2015, 24, 904–911. [Google Scholar]
- Zhang, X.M.; Huang, C.X. Research on Decision-making Mechanism of Knowledge-Sharing in Reverse Supply Chain Enterprises. Chin. J. Manag. 2013, 10, 233–237. [Google Scholar]
- Jeong, I.J. A centralized/decentralized design of a full return contract for a risk-free manufacturer and a risk-neutral retailer under partial information sharing. Int. J. Prod. Econ. 2012, 136, 110–115. [Google Scholar] [CrossRef]
- Kong, G.; Rajagopalan, S.; Zhang, H. Revenue sharing and information leakage in a supply chain. Manag. Sci. 2013, 59, 556–572. [Google Scholar] [CrossRef]
- Seifbarghy, M.; Nouhi, K.; Mahmoudi, A. Contract design in a supply chain considering price and quality dependent demand with customer segmentation. Int. J. Prod. Econ. 2015, 108–118. [Google Scholar] [CrossRef]
- Govindan, K.; Popiuc, M.N. Reverse supply chain coordination by revenue sharing contract: A case for the personal computers industry. Eur. J. Oper. Res. 2014, 33, 326–336. [Google Scholar] [CrossRef]
- Tsao, Y.C.; Sheen, G.J. Effects of promotion cost sharing policy with the sales learning curve on supply chain coordination. Comput. Oper. Res. 2012, 9, 1872–1878. [Google Scholar] [CrossRef]
- Lee, Y.J.; Cho, R.K.; Paik, S.K. Supply chain coordination in vendor-managed inventory systems with stock out-cost sharing under limited storage capacity. Eur. J. Oper. Res. 2016, 248, 95–106. [Google Scholar] [CrossRef]
- Ghosh, D.; Shah, J. Supply chain analysis under green sensitive consumer demand and cost sharing contract. Int. J. Prod. Econ. 2015, 164, 319–329. [Google Scholar] [CrossRef]
- Zhou, Y.J.; Bao, M.J.; Chen, X.H.; Xu, X.H. Co-op advertising and emission reduction cost sharing contracts and coordination in low-carbon supply chain based on fairness concerns. J. Clean. Prod. 2016, 133, 402–413. [Google Scholar] [CrossRef]
- Jiang, L.; Wang, Y.; Liu, D.M. Logistics cost sharing in supply chains involving a third-party logistics provider. Cent. Eur. J. Oper. Res. 2016, 24, 207–230. [Google Scholar] [CrossRef]
- Ni, D.B.; Li, K.W.; Tang, X.W. Social responsibility allocation in two-echelon supply chains: Insights from wholesale price contracts. Eur. J. Oper. Res. 2010, 207, 1269–1279. [Google Scholar] [CrossRef]
- Yang, Y.X.; Zhou, G.G.; Liu, W.D. Coordination problem for closed-loop supply chain network based on corporate social responsibility. Comput. Integr. Manuf. Syst. 2011, 17, 1997–2004. [Google Scholar]
- Guo, C.X.; Li, X.S.; Guo, Y.H. Coordination and Profit Sharing Strategies for Supply Chains to Perform Corporate Social Responsibilities. J. Ind. Eng. Eng. Manag. 2011, 25, 103–108. [Google Scholar]
- Gao, J.H.; Han, H.S.; Hou, L.T.; Wang, H.Y. Decision-making and coordination in closed-loop supply chain with social responsibility. Comput. Integr. Manuf. Syst. 2014, 1453–1461. [Google Scholar]
- Crifo, P.; Diaye, M.A.; Pekovic, S. CSR related management practices and firm performance: An empirical analysis of the quantity-quality trade-off on French data. Int. J. Prod. Econ. 2016, 171 Pt 3, 405–416. [Google Scholar] [CrossRef]
- Wu, Y.; Li, H.Y.; Gou, Q.L.; Gu, J.B. Supply chain models with corporate social responsibility. Int. J. Prod. Res. 2017, 55, 1–28. [Google Scholar] [CrossRef]
- Pedersen, E.R.; Andersen, M. Safeguarding corporate social responsibility (CSR) in global supply chains: How codes of conduct are managed in buyer-supplier relationships. J. Public Aff. 2006, 6, 228–240. [Google Scholar] [CrossRef]
- Ni, D.B.; Li, X.; Tang, X.W. CSR Operations in Supply Chains: Mutual Incentive, CSR Allocation and Cooperation. Chin. J. Manag. Sci. 2015, 23, 97–105. [Google Scholar]
- Kopel, M.; Brand, B. Socially responsible firms and endogenous choice of strategic incentives. Econ. Model. 2012, 29, 982–989. [Google Scholar] [CrossRef]
- Ni, D.B.; Li, K.W. A game-theoretic analysis of social responsibility conduct in two-echelon supply chains. Int. J. Prod. Econ. 2012, 138, 303–313. [Google Scholar] [CrossRef]
- Modak, N.M.; Panda, S.; Sana, S.S.; Basu, M. Corporate social responsibility, coordination and profit distribution in a dual-channel supply chain. Pac. Sci. Rev. 2014, 16, 235–249. [Google Scholar] [CrossRef]
- Liu, Y.; Xiong, X.X.; Qian, W.Y.; Wang, Y.H. Benefit conflict equilibrium model manufacturer and suppliers with supper dominator. Chin. J. Manag. Sci. 2016, 24, 604–611. [Google Scholar]




| Decentralized Decision-Making | Centralized Decision-Making | |||
|---|---|---|---|---|
| Only the Retailer is CSR | Only the Suppliers is CSR | Without Considering CSR | Considering CSR | |
| 1354.97 | 1346.06 | - | - | |
| 265.44 | 243.91 | - | - | |
| 635.56 | 584.03 | - | - | |
| 1808.94 | 1662.27 | - | - | |
| 4064.91 | 3836.28 | 4606.90 | 5419.88 | |
| Only the Retailer is CSR | Only the Suppliers are CSR | |||||||||
|---|---|---|---|---|---|---|---|---|---|---|
| 0.1 | 77.38 | 52.50 | 4.52 | 107.44 | 214.88 | 76.83 | 53.66 | 4.64 | 107.38 | 220.12 |
| 0.2 | 76.25 | 52.50 | 4.75 | 112.81 | 225.63 | 76.25 | 52.50 | 4.75 | 112.81 | 225.63 |
| 0.3 | 75.00 | 52.50 | 5.00 | 118.75 | 237.5 | 75.64 | 51.28 | 4.87 | 118.67 | 231.41 |
| 0.4 | 73.61 | 52.50 | 5.28 | 125.35 | 250.69 | 75.00 | 50.00 | 5.00 | 125.00 | 237.50 |
| 0.5 | 72.05 | 52.50 | 5.59 | 132.72 | 265.44 | 74.32 | 48.65 | 5.14 | 131.85 | 243.92 |
| 0.6 | 70.31 | 52.50 | 5.94 | 141.02 | 282.03 | 73.61 | 47.22 | 5.28 | 139.27 | 250.69 |
| 0.7 | 68.33 | 52.50 | 6.33 | 150.42 | 300.83 | 72.86 | 45.71 | 5.43 | 147.35 | 257.86 |
| 0.8 | 66.07 | 52.50 | 6.79 | 161.16 | 322.32 | 72.06 | 44.12 | 5.59 | 156.14 | 265.44 |
| 0.9 | 63.46 | 52.50 | 7.31 | 173.56 | 347.12 | 71.21 | 42.42 | 5.75 | 165.75 | 273.49 |
| 0.1 | 78.76 | 53.05 | 4.37 | 102.54 | 207.47 |
| 0.2 | 76.25 | 52.50 | 4.75 | 112.81 | 225.63 |
| 0.3 | 73.97 | 51.85 | 5.21 | 125.32 | 247.26 |
| 0.4 | 71.21 | 51.06 | 5.76 | 140.89 | 273.48 |
| 0.5 | 67.80 | 50.08 | 6.44 | 160.74 | 305.93 |
| 0.6 | 63.46 | 48.85 | 7.31 | 186.91 | 347.12 |
| 0.7 | 57.78 | 47.22 | 8.44 | 222.81 | 401.11 |
| 0.8 | 50.00 | 45.00 | 10.00 | 275.00 | 475.00 |
| 0.9 | 38.71 | 41.78 | 12.26 | 356.87 | 582.26 |
| Only the Retailer is CSR | Only the Suppliers are CSR | |||||||||
|---|---|---|---|---|---|---|---|---|---|---|
| 0.1 | 1354.97 | 265.44 | 635.55 | 1808.94 | 4064.91 | 1346.06 | 243.91 | 584.02 | 1662.27 | 3836.27 |
| 0.2 | 1354.97 | 265.44 | 635.55 | 1808.94 | 4064.91 | 1346.06 | 243.91 | 584.02 | 1662.27 | 3836.27 |
| 0.3 | 1354.97 | 265.44 | 635.55 | 1808.94 | 4064.91 | 1346.06 | 243.91 | 584.02 | 1662.27 | 3836.27 |
| 0.4 | 1354.97 | 265.44 | 635.55 | 1808.94 | 4064.91 | 1346.06 | 243.91 | 584.02 | 1662.27 | 3836.27 |
| 0.5 | 1354.97 | 265.44 | 635.55 | 1808.94 | 4064.91 | 1346.06 | 243.91 | 584.02 | 1662.27 | 3836.27 |
| 0.6 | 1354.97 | 265.44 | 635.55 | 1808.94 | 4064.91 | 1346.06 | 243.91 | 584.02 | 1662.27 | 3836.27 |
| 0.7 | 1354.97 | 265.44 | 635.55 | 1808.94 | 4064.91 | 1346.06 | 243.91 | 584.02 | 1662.27 | 3836.27 |
| 0.8 | 1354.97 | 265.44 | 635.55 | 1808.94 | 4064.91 | 1346.06 | 243.91 | 584.02 | 1662.27 | 3836.27 |
| 0.9 | 1354.97 | 265.44 | 635.55 | 1808.94 | 4064.91 | 1346.06 | 243.91 | 584.02 | 1662.27 | 3836.27 |
| 1.0 | 1354.97 | 265.44 | 635.55 | 1808.94 | 4064.91 | 1346.06 | 243.91 | 584.02 | 1662.27 | 3836.27 |
| 0.1 | 1632.59 | 293.97 | 703.87 | 2003.38 | 4633.83 |
| 0.2 | 1635.06 | 296.87 | 710.82 | 2023.16 | 4665.92 |
| 0.3 | 1637.31 | 299.83 | 717.91 | 2043.32 | 4698.37 |
| 0.4 | 1639.31 | 302.85 | 725.13 | 2063.89 | 4731.20 |
| 0.5 | 1641.06 | 305.93 | 732.51 | 2084.89 | 4764.39 |
| 0.6 | 1642.54 | 309.08 | 740.03 | 2106.30 | 4797.95 |
| 0.7 | 1643.72 | 312.28 | 747.71 | 2128.16 | 4831.89 |
| 0.8 | 1644.59 | 315.56 | 755.56 | 2150.49 | 4866.21 |
| 0.9 | 1645.14 | 318.90 | 763.57 | 2173.28 | 4900.90 |
| 1.0 | 1645.32 | 322.32 | 771.75 | 2196.57 | 4935.96 |
© 2018 by the authors. Licensee MDPI, Basel, Switzerland. This article is an open access article distributed under the terms and conditions of the Creative Commons Attribution (CC BY) license (http://creativecommons.org/licenses/by/4.0/).
Share and Cite
Liu, Y.; Quan, B.-t.; Li, J.; Forrest, J.Y.-L. A Supply Chain Coordination Mechanism with Cost Sharing of Corporate Social Responsibility. Sustainability 2018, 10, 1227. https://doi.org/10.3390/su10041227
Liu Y, Quan B-t, Li J, Forrest JY-L. A Supply Chain Coordination Mechanism with Cost Sharing of Corporate Social Responsibility. Sustainability. 2018; 10(4):1227. https://doi.org/10.3390/su10041227
Chicago/Turabian StyleLiu, Yong, Bing-ting Quan, Jiao Li, and Jeffrey Yi-Lin Forrest. 2018. "A Supply Chain Coordination Mechanism with Cost Sharing of Corporate Social Responsibility" Sustainability 10, no. 4: 1227. https://doi.org/10.3390/su10041227
APA StyleLiu, Y., Quan, B.-t., Li, J., & Forrest, J. Y.-L. (2018). A Supply Chain Coordination Mechanism with Cost Sharing of Corporate Social Responsibility. Sustainability, 10(4), 1227. https://doi.org/10.3390/su10041227

