In Situ Earthworm Breeding to Improve Soil Aggregation, Chemical Properties, and Enzyme Activity in Papayas
Abstract
1. Introduction
2. Materials and Methods
2.1. Site Description
2.2. Experimental Design and Treatments
2.3. Soil Sampling
2.4. Laboratory Analyses
2.5. Data Analysis
3. Results and Discussion
3.1. Soil Physical Properties
3.2. Soil Chemical Properties
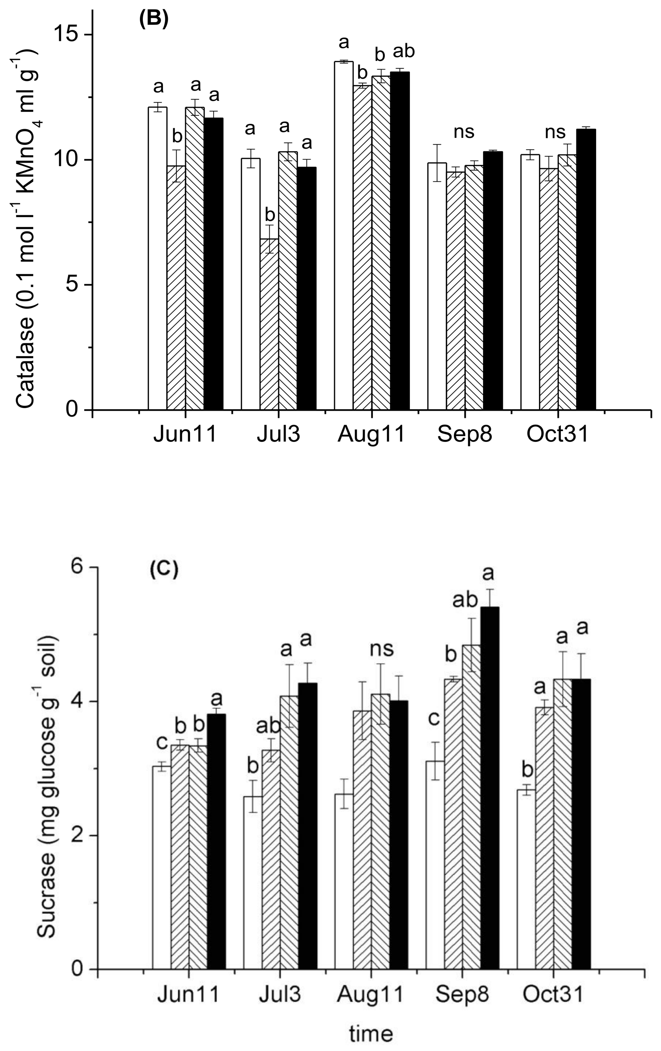
3.3. Soil Enzyme
4. Conclusions
Acknowledgments
Author Contributions
Conflicts of Interest
References
- Marschner, H. Mineral Nutrition of Higher Plants; Academic Press: San Diego, CA, USA, 2002. [Google Scholar]
- Moeskops, B.; Sukristiyonubowo; Buchan, D.; Sleutel, S.; Herawaty, L.; Husen, E.; Saraswati, R.; Setyorini, D.; De Neve, S. Soil microbial communities and activities under intensive organic and conventional vegetable farming in West Java, Indonesia. Appl. Soil Ecol. 2010, 45, 112–120. [Google Scholar] [CrossRef]
- Ngo, P.T.; Rumpel, C.; Doan, T.T.; Jouquet, P. The effect of earthworms on carbon storage and soil organic matter composition in tropical soil amended with compost and vermicompost. Soil Biol. Biochem. 2012, 50, 214–220. [Google Scholar] [CrossRef]
- Cantanazaro, C.J.; Williams, K.A.; Sauve, R.J. Slow release versus water soluble fertilization affects nutrient leaching and growth of potted chrysanthemum. J. Plant Nutr. 1998, 21, 1025–1036. [Google Scholar] [CrossRef]
- Bresson, L.M.; Koch, C.; Bissonnais, L.Y.; Barriuso, E.; Lecomte, V. Soil surface structure stabilization by municipal waste compost application. Soil Sci. Soc. Am. J. 2001, 65, 1804–1811. [Google Scholar] [CrossRef]
- Caravaca, F.; Hernandez, T.; Garcia, C.; Roldan, A. Improvement of rhizosphere aggregate stability of afforested semiarid plant species subjected to mycorrhizal inoculation and compost addition. Geoderma 2002, 108, 133–144. [Google Scholar] [CrossRef]
- Crecchio, C.; Curci, M.; Mininni, R.; Ricciuti, P.; Ruggiero, P. Short term effects of municipal solid waste compost amendments on soil carbon and nitrogen content, some enzyme activities and genetic diversity. Biol. Fertil. Soils 2001, 34, 311–318. [Google Scholar] [CrossRef]
- Albiach, R.; Canet, R.; Pomares, F.; Ingelmo, F. Microbial biomass content and enzymatic activities after the application of organic amendments to a horticultural soil. Bioresour. Technol. 2000, 75, 43–48. [Google Scholar] [CrossRef]
- Perucci, P.; Dumontet, S.; Bufo, S.A.; Mazzatura, A.; Casucci, C. Effects of organic amendment and herbicide treatment on soil microbial biomass. Biol. Fertil. Soils 2000, 32, 17–23. [Google Scholar] [CrossRef]
- Debosz, K.; Petersen, S.O.; Kure, L.K.; Ambus, P. Evaluating effects of sewage sludge and household compost on soil physical, chemical and microbiological properties. Appl. Soil Ecol. 2002, 19, 237–248. [Google Scholar] [CrossRef]
- Pe’rez-Piqueres, A.; Edel-Hermann, V.; Alabouvette, C.; Steinberg, C. Response of soil microbial communities to compost amendments. Soil Biol. Biochem. 2006, 38, 460–470. [Google Scholar] [CrossRef]
- Xiang, H.M.; Zhang, J.E.; Guo, L.; Zhao, B.L. In situ earthworm breeding in orchards significantly improves the growth, quality and yield of papaya (Carica papaya L.). PeerJ 2016, 4, e2752. [Google Scholar] [CrossRef] [PubMed]
- Pramanik, P.; Ghosh, G.K.; Ghosal, P.K.; Banik, P. Changes in organic- C, N, P and K and enzyme activities in vermicompost of biodegradable organic wastes under liming and microbial inoculants. Bioresour. Technol. 2007, 98, 2485–2494. [Google Scholar] [CrossRef] [PubMed]
- Atiyeh, R.M.; Lee, S.S.; Edwards, C.A.; Arancon, N.Q.; Metzge, J. The influence of humic acid derived from earthworm-processed organic waste on plant growth. Bioresour. Technol. 2002, 84, 7–14. [Google Scholar] [CrossRef]
- Singh, R.; Sharma, R.R.; Kumar, S.; Gupta, R.K.; Patil, R.T. Vermicompost substitution influences growth, physiological disorders, fruit yield and quality of strawberry (Fragaria x ananassa Duch.). Bioresour. Technol. 2008, 99, 8507–8511. [Google Scholar] [CrossRef] [PubMed]
- Jouquet, P.; Plumere, T.; Thu, T.D.; Rumpel, C.; Duc, T.T.; Orange, D. The rehabilitation of tropical soils using compost and vermicompost is affected by the presence of endogeic earthworms. Appl. Soil Ecol. 2010, 46, 125–133. [Google Scholar] [CrossRef]
- Jouquet, P.; Bloquel, E.; Doan, T.T.; Ricoy, M.; Orange, D.; Rumpel, C.; Duc, T.T. Do compost and vermicompost improve macronutrient retention and plant growth in degraded tropical soils? Compos. Sci. Util. 2011, 19, 15–24. [Google Scholar] [CrossRef]
- Caldwell, B.A. Enzyme activities as a component of soil biodiversity: A review. Pedobiologia 2005, 49, 637–644. [Google Scholar] [CrossRef]
- Huang, C.Y. Soil Science; China Agriculture Press: Beijing, China, 2000. [Google Scholar]
- Murphy, J.; Riley, J.P. A modified single solution method for the determination of phosphate in natural waters. Anal. Chim. Acta 1962, 27, 31–36. [Google Scholar] [CrossRef]
- Lu, R.K. Analytical Methods of Soil Agrochemistry, 1st ed.; China Agricultural Science and Technology Press: Beijing, China, 1999. [Google Scholar]
- Kemper, W.D.; Chepil, W.S. Size distribution of aggregates. In Methods of Soil Analysis; Black, C.A., Evans, D.D., White, J.L., Ensminger, L.E., Clark, F.E., Eds.; American Society of Agronomy: Madison, WI, USA, 1965; pp. 499–510. [Google Scholar]
- Kandeler, E.; Gerber, H. Short-term assay of soil urease activity using colorimetric determination of ammonium. Biol. Fertil. Soils 1988, 6, 68–72. [Google Scholar] [CrossRef]
- Johnson, J.I.; Temple, K.L. Some variables affecting the measurements of “catalase activity” in soil. Soil Sci. Soc. Am. J. 1964, 28, 207–209. [Google Scholar] [CrossRef]
- Arshad, M.A.; Coen, G.M. Characterization of soil quality: Physical and chemical criteria. Am. J. Altern. Agric. 1992, 7, 25–32. [Google Scholar] [CrossRef]
- Tejada, M.; Gonzalez, J.L.; Garcia-Martinez, A.M.; Parrado, J. Effects of different green manures on soil biological properties and maize yield. Bioresour. Technol. 2008, 99, 1758–1767. [Google Scholar] [CrossRef] [PubMed]
- Ketterings, Q.M.; Blair, J.M.; Marinissen, J.C.Y. Effects of earthworm on soil aggregate stability and carbon and nitrogen storage in legume cover crop agroe-cosystem. Soil Biol. Biochem. 1997, 29, 401–408. [Google Scholar] [CrossRef]
- Lavelle, P.; Spain, A.V. Soil Ecology; Kluwer Academic Publishers: Dordrecht, The Netherlands, 2001. [Google Scholar]
- Bossuyt, H.; Six, J.; Hendrix, P.F. Rapid incorporation of carbon from fresh residues into newly formed stable microaggregates within earthworm casts. Eur. J. Soil Sci. 2004, 55, 393–399. [Google Scholar] [CrossRef]
- Oo, A.N.; Iwai, C.B.; Saenjan, P. Soil properties and maize growth in saline and nonsaline soils using cassava-industrial waste compost and vermicompost with or without earthworms. Land Degrad. Dev. 2015, 26, 300–310. [Google Scholar] [CrossRef]
- Frederickson, J.; Howell, G.; Hobson, A.M. Effect of pre-composting and vermicomposting on compost characteristics. Eur. J. Soil Sci. 2007, 43, S320–S326. [Google Scholar] [CrossRef]
- Singh, S.; Singh, J.; Vig, A.P. Earthworm as ecological engineers to change the physico-chemical properties of soil: Soil vs. vermicast. Ecol. Eng. 2016, 90, 1–5. [Google Scholar] [CrossRef]
- Tersic, T.; Gosar, M. Comparison of elemental contents in earthworm cast and soil from a mercury contaminated site (Idrija area, Slovenia). Sci. Total Environ. 2012, 430, 28–33. [Google Scholar] [CrossRef] [PubMed]
- Wahid, A.; Akhtar, S.; Ali, I.; Rasul, E. Amelioration of saline-sodic soils with organic matter and their use of wheat growth. Commun. Soil Sci. Plan. Anal. 1998, 29, 2307–2318. [Google Scholar] [CrossRef]
- Dick, R.P.; Sandor, J.A.; Eash, N.S. Soil enzyme activities after 1500 years of terrace agriculture in the Colca Valley, Peru. Agric. Ecosyst. Environ. 1994, 50, 123–131. [Google Scholar] [CrossRef]
- Kizilkaya, R.; Bayrakli, B. Effect of N enriched sewage sludge on soil enzyme activities. Appl. Soil Ecol. 2005, 30, 192–202. [Google Scholar] [CrossRef]
- Bulluck, L.R.; Brosius, M.; Evanylo, G.K.; Ristaino, J.B. Organic and synthetic fertility amendments influence soil microbial, physical and chemical properties on organic and conventional farms. Appl. Soil Ecol. 2002, 19, 147–160. [Google Scholar] [CrossRef]
- Gil-Sotres, F.; Trasar-Cepeda, C.; Leirós, M.C.; Seoane, S. Different approaches to evaluating soil quality using biochemical properties. Soil Biol. Biochem. 2005, 37, 877–887. [Google Scholar] [CrossRef]
- Liu, Y.J.; Zaprasis, A.; Liu, S.J.; Drake, H.L.; Horn, M.A. The earthworm Aporrectodea caliginosa stimulates abundance and activity of phenoxyalkanoic acid herbicide degraders. ISME J. 2011, 5, 473–485. [Google Scholar] [CrossRef] [PubMed]
- Marinari, S.; Masciandaro, G.; Ceccanti, B.; Grego, S. Influence of organic and mineral fertilisers on soil biological and physical properties. Bioresour. Technol. 2000, 72, 9–17. [Google Scholar] [CrossRef]
- Doan, T.T.; Jusselme, D.M.; Lata, J.; Nguyen, B.V.; Jouquet, P. The earthworm species Metaphire posthuma modulates the effect of organic amendments (compost vs. vermicompost from buffalo manure) on soil microbial properties. A laboratory experiment. Eur. J. Soil Biol. 2013, 59, 15–21. [Google Scholar] [CrossRef]
- Hueso, S.; García, C.; Hernández, T. Severe drought conditions modify the microbial community structure, size and activity in amended and unamended soils. Soil Biol. Biochem. 2012, 50, 167–173. [Google Scholar] [CrossRef]
- Macci, C.; Doni, S.; Peruzzi, E.; Masciandaro, G.; Mennone, C.; Ceccanti, B. Almond tree and organic fertilization for soil quality improvement in southern Italy. Environ. Manag. 2012, 95, 215–222. [Google Scholar] [CrossRef] [PubMed]
- Cao, C.Y.; Jiang, D.M.; Teng, X.H.; Jiang, Y.; Liang, W.J.; Cui, Z.B. Soil chemical and microbiological properties along a chronosequence of Caragana microphylla Lam. plantations in the Horqin sandy land of Northeast China. Appl. Soil Ecol. 2008, 40, 78–85. [Google Scholar] [CrossRef]
- Kujur, M.; Gartia, S.; Patel, A.K. Quantifying the contribution of different soil properties on enzyme activities in dry tropical ecosystems. J. Agric. Biol. Sci. 2012, 7, 763–772. [Google Scholar]
- López, R.; Burgos, P.; Hermoso, J.M.; Hormaza, J.I.; González-Fernández, J.J. Long term changed in soil properties and enzyme activities after almond shell mulching in avocado organic production. Soil Tillage Res. 2014, 143, 155–163. [Google Scholar] [CrossRef]
- Birkhofer, K.; Bezemer, T.M.; Bloem, J.; Bonkowski, M.; Christensen, S.; Dubois, D.; Ekelund, F.; Fliessbach, A.; Gunst, L.; Hedlund, K.; et al. Long-term organic farming fosters below and aboveground biota: Implications for soil quality, biological control and productivity. Soil Biol. Biochem. 2008, 40, 2297–2308. [Google Scholar] [CrossRef]
- Sinha, R.K.; Sinha, R. Environmental Biotechnology: Role of Plants, Microbes and Earthworms in Environmental Management & Sustainable Development; Aavishkar Publishers: Distributors, India, 2008. [Google Scholar]
- Anastasi, A.; Varese, G.C.; Marchisio, V.F. Isolation and identification of fungal communities in compost and vermicompost. Mycologia 2005, 97, 33–44. [Google Scholar] [CrossRef] [PubMed]
- Vivas, A.; Moreno, B.; Garcia-Rodriguez, S.; Benitez, E. Assessing the impact of composting and vermicomposting on bacterial community size and structure, and microbial functional diversity of an olive-mill waste. Bioresour. Technol. 2009, 100, 1319–1326. [Google Scholar] [CrossRef] [PubMed]
- Yakushev, A.V.; Blagodatsky, S.A.; Byzov, B.A. The effect of earthworms on the physiological state of the microbial community at vermicomposting. Microbiology 2009, 78, 510–519. [Google Scholar] [CrossRef]







| Items | pH | TN (g kg−1) | TP (g kg−1) | TK (g kg−1) | SOM (g kg−1) |
|---|---|---|---|---|---|
| Cow manure a | 6.1 | 9.6 | 4.2 | 4.0 | 193.2 |
| Organic wastes | 6.1 | 9.8 | 5.1 | 8.9 | 150.6 |
| Treatment | MWD (mm) | The Proportion of Different Size Class Aggregates (%) | |||
|---|---|---|---|---|---|
| >2 mm | 1–2 mm | 0.25–1 mm | <0.25 mm | ||
| C | 1.6 ± 0.0b | 50.6 ± 0.6Ab | 21.5 ± 0.2Ca | 25.5 ± 0.7Bb | 2.5 ± 0.2Da |
| F | 1.5 ± 0.0c | 44.3 ± 2.4Bc | 20.0 ± 0.01Cab | 32.9 ± 2.1Aa | 2.8 ± 0.6Da |
| O | 1.7 ± 0.0b | 57.2 ± 2.0Aa | 17.79 ± 0.9Cb | 22.8 ± 1.7Bc | 2.3 ± 0.4Da |
| E | 1.7 ± 0.0a | 58.4 ± 0.2Aa | 21.1 ± 0.6Ca | 18.9 ± 0.4Bc | 1.6 ± 0.3 Da |
© 2018 by the authors. Licensee MDPI, Basel, Switzerland. This article is an open access article distributed under the terms and conditions of the Creative Commons Attribution (CC BY) license (http://creativecommons.org/licenses/by/4.0/).
Share and Cite
Xiang, H.; Guo, L.; Zhang, J.; Zhao, B.; Wei, H. In Situ Earthworm Breeding to Improve Soil Aggregation, Chemical Properties, and Enzyme Activity in Papayas. Sustainability 2018, 10, 1193. https://doi.org/10.3390/su10041193
Xiang H, Guo L, Zhang J, Zhao B, Wei H. In Situ Earthworm Breeding to Improve Soil Aggregation, Chemical Properties, and Enzyme Activity in Papayas. Sustainability. 2018; 10(4):1193. https://doi.org/10.3390/su10041193
Chicago/Turabian StyleXiang, Huimin, Lei Guo, Jiaen Zhang, Benliang Zhao, and Hui Wei. 2018. "In Situ Earthworm Breeding to Improve Soil Aggregation, Chemical Properties, and Enzyme Activity in Papayas" Sustainability 10, no. 4: 1193. https://doi.org/10.3390/su10041193
APA StyleXiang, H., Guo, L., Zhang, J., Zhao, B., & Wei, H. (2018). In Situ Earthworm Breeding to Improve Soil Aggregation, Chemical Properties, and Enzyme Activity in Papayas. Sustainability, 10(4), 1193. https://doi.org/10.3390/su10041193
