Farmers’ Value Assessment of Sociocultural and Ecological Ecosystem Services in Agricultural Landscapes
Abstract
1. Introduction
2. Materials and Methods
2.1. Study Area
2.2. Sampling Method
2.3. Landscape Stratification and ESs Classification
2.4. Data Collection and Analysis
3. Result and Discussion
3.1. Farmers’ Perception of Ecosystem Services and Ecosystem/LUC Types
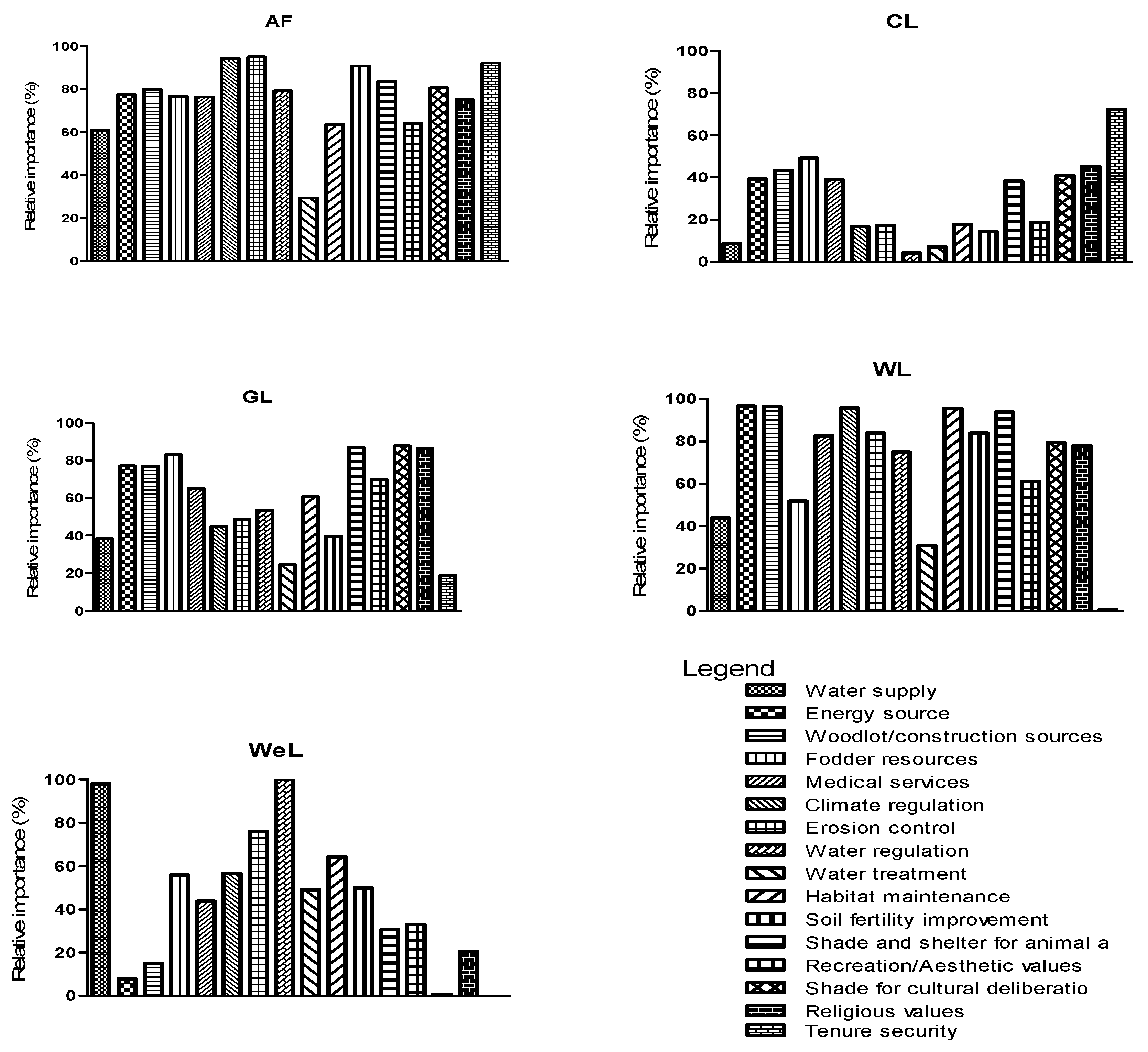
3.2. Relative Importance of the Individual and Bundle ESs
3.3. Land Use Preferences for ES Values in Gedeo-Abaya Landscape
3.4. Spatial Variations of Community Values and Threats
4. Conclusions
Acknowledgments
Author Contributions
Conflicts of Interest
References
- MEA. Ecosystems and Human Well-Being: Wetlands and Water; World Resources Institute: Washington, DC, USA, 2005. [Google Scholar]
- Brink, A.B.; Bodart, C.; Brodsky, L.; Defourney, P.; Ernst, C.; Donney, F.; Lupi, A.; Tuckova, K. Anthropogenic pressure in East Africa—Monitoring 20 years of land cover changes by means of medium resolution satellite data. Int. J. Appl. Earth Obs. Geoinf. 2014, 28, 60–69. [Google Scholar] [CrossRef]
- Temesgen, H.; Nyssen, J.; Zenebe, A.; Haregeweyn, N.; Kindu, M.; Lemenih, M.; Haile, M. Ecological succession and land use changes in a lake retreat area (Main Ethiopian Rift Valley). J. Arid Environ. 2013, 91, 53–60. [Google Scholar] [CrossRef]
- Wang, Z.; Mao, D.; Li, L.; Jia, M.; Dong, Z.; Miao, Z.; Ren, C.; Song, C. Quantifying changes in multiple ecosystem services during 1992–2012 in the Sanjiang Plain of China. Sci. Total Environ. 2015, 514, 119–130. [Google Scholar] [CrossRef] [PubMed]
- Yirsaw, E.; Wu, W.; Temesgen, H.; Bekele, B. Effect of temporal land use/land cover changes on ecosystem services value in coastal area of China: The case of Su-Xi-Chang region. Appl. Ecol. Environ. Res. 2016, 14, 409–422. [Google Scholar] [CrossRef]
- Lambin, E.F.; Meyfroidt, P. Land Use Transitions: Socio-Ecological Feedback versus Socio-Economic Change. Land Use Policy 2010, 27, 108–118. [Google Scholar] [CrossRef]
- Pender, J.; Place, F.; Ehui, S. Strategies for Sustainable Land Management in the East African Highlands; International Food Policy Research Institute (IFPRI): Washington, DC, USA, 2006. [Google Scholar]
- Hailu, G. Environment Law: Ethiopia; International Encyclopedia of Laws; Kulwer Law International: Leuven, Belgium, 2000. [Google Scholar]
- McGinley, M. Ethiopian montane moorlands. In Encyclopedia of Earth; Cleveland, C.J., Ed.; Environmental Information Coalition and the National Council for Science and the Environment: Washington, DC, USA, 2008. [Google Scholar]
- Feintrenie, L. Agro-industrial plantations in Central Africa, risks and opportunities. Biodivers. Conserv. 2014, 23, 1577–1589. [Google Scholar] [CrossRef]
- Temesgen, H.; Wu, W.; Legesse, A.; Yirsaw, E.; Bekele, B. Landscape based upstream-downstream prevalence of land use/cover change drivers in southeastern rift escarpment of Ethiopia. Environ. Monit. Assess. 2018, 190, 166. [Google Scholar] [CrossRef] [PubMed]
- Woodhouse, P. Beyond industrial agriculture? Some questions about farm size, productivity and sustainability. J. Agrar. Chang. 2010, 10, 437–453. [Google Scholar] [CrossRef]
- Daily, G. Nature’s Services: Societal Dependence on Natural Ecosystems; Island Press: Washington, DC, USA, 1997. [Google Scholar]
- Jacobs, M. Environmental Valuation, Deliberative Democracy and Public Decision-Making Institutions. In Valuing Nature; Taylor & Francis Group: London, UK, 1997; pp. 211–231. [Google Scholar]
- Reyers, B.; Biggs, R.; Cumming, G.S.; Elmqvist, T.; Hejnowicz, A.P.; Polasky, S. Getting the measure of ecosystem services: A social–ecological approach. Front. Ecol. Environ. 2013, 11, 268–273. [Google Scholar] [CrossRef]
- Wilson, M.A.; Howarth, R.B. Discourse-Based Valuation of Ecosystem Services: Establishing Fair Outcomes through Group Deliberation. Ecol. Econ. 2002, 41, 431–443. [Google Scholar] [CrossRef]
- Curtis, A.; de Lacy, T. Landcare, stewardship and sustainable agriculture in Australia. Environ. Values 1998, 7, 59–78. [Google Scholar] [CrossRef]
- Cáceres, D.; Tapella, E.; Quétier, F.; Díaz, S. The social value of biodiversity and ecosystem services from the perspectives of different social actors. Ecol. Soc. 2015, 20, 62. [Google Scholar] [CrossRef]
- De Groot, R.S.; Wilson, M.A.; Boumans, R.M. A typology for the classification, description and valuation of ecosystem functions, goods and services. Ecol. Econ. 2002, 41, 393–408. [Google Scholar] [CrossRef]
- Chan, K.M.; Satterfield, T.; Goldstein, J. Rethinking ecosystem services to better address and navigate cultural values. Ecol. Econ. 2012, 74, 8–18. [Google Scholar] [CrossRef]
- Milcu, A.; Hanspach, J.; Abson, D.; Fischer, J. Cultural ecosystem services: A literature review and prospects for future research. Ecol. Soc. 2013, 18, 44. [Google Scholar] [CrossRef]
- Plieninger, T.; van der Horst, D.; Schleyer, C.; Bieling, C. Sustaining ecosystem services in cultural landscapes. Ecol. Soc. 2014, 19, 59. [Google Scholar] [CrossRef]
- Schultz, L.; Folke, C.; Olsson, P. Enhancing ecosystem management through social-ecological inventories: Lessons from Kristianstads Vattenrike, Sweden. Environ. Conserv. 2007, 34, 140–152. [Google Scholar] [CrossRef]
- Smith, H.F.; Sullivan, C.A. Ecosystem services within agricultural landscapes—Farmers’ perceptions. Ecol. Econ. 2014, 98, 72–80. [Google Scholar] [CrossRef]
- Viglizzo, E.F.; Paruelo, J.M.; Laterrae, P.; Jobbágy, G. Ecosystem service evaluation to support land-use policy. Agric. Ecosyst. Environ. 2012, 154, 78–84. [Google Scholar] [CrossRef]
- Duguma, L.A.; Hager, H. Farmers’ assessment of the social and ecological values of land uses in central Highland Ethiopia. Environ. Manag. 2011, 47, 969–982. [Google Scholar] [CrossRef] [PubMed]
- Kanshie, T.K. Five Thousand Years of Sustainability? A Case Study on Gedeo Landuse (Southern Ethiopia); Treemail Publishers: Heelsum, The Netherlands, 2002. [Google Scholar]
- Legesse, A. The Dynamics of Gedeo Agroforestry and Its Implications to Sustainability. PhD Dissertation, UNISA, Pretoria, South Africa, 2014. [Google Scholar]
- Mebrate, B.T. Agroforestry Practices in Gedeo Zone Ethiopia a Geographical Analysis. Ph.D. Thesis, Panjab University, Chandigarh, India, 2007. [Google Scholar]
- Bevan, P.; Pankhurst, A. Ethiopian Village Studies: Adado Gedeo; Department of Sociology, Addis Ababa University: Addis Abeba, Ethiopia, 1996. [Google Scholar]
- SLUF. Indigenous Agro-Forestry Practices and Their Implications on Sustainable Land Use and Natural Resources Management, the Case of Wonago Woreda: SIDA and Oxfam Novib; Addis Ababa, Ethiopia, Unpublished work; 2006. [Google Scholar]
- Nair, P.; Garrity, D. Agroforestry, the Future of Global Land Use; Nair, P.K.R., Garrity, D., Eds.; Springer: Dordrecht, The Netherlands, 2012. [Google Scholar]
- Debelo, A.R.; Tura, A.L.; Milstein, T.; Orkaydo, O.O. “Tree is life”: The rising of Dualism and the Declining of Mutualism among the Gedeo of southern Ethiopia. Front. Commun. 2017, 2, 7. [Google Scholar] [CrossRef]
- Bishaw, B. Farmers’ Strategies for Adapting to and Mitigating Climate Variability and Change through Agroforestry in Ethiopia and Kenya; Forestry Communications Group, Oregon State University: Corvallis, Oregon, OR, USA, 2013. [Google Scholar]
- Negash, M.; Yirdaw, E.; Luukkanen, O. Potential of indigenous multistrata agroforests for maintaining native floristic diversity in the south-eastern Rift Valley escarpment, Ethiopia. Agrofor. Syst. 2012, 85, 9–28. [Google Scholar] [CrossRef]
- Deininger, K.W.; Byerlee, D. Rising Global Interest in Farmland: Can It Yield Sustainable and Equitable Benefits? The World Bank: Washington, DC, USA, 2011. [Google Scholar]
- World Bank. GEM Commodities. 2012. Available online: http://data.worldbank.org/data-catalog/commodity-price-data (accessed on 1 December 2017).
- Negasa, T.; Ketema, H.; Legesse, A.; Sisay, M.; Temesgen, H. Variation in soil properties under different land use types managed by smallholder farmers along the toposequence in southern Ethiopia. Geoderma 2017, 290, 40–50. [Google Scholar] [CrossRef]
- CSA. Population Projection of Ethiopia for All Regions at Wereda Level from 2014–2017; Central Statistical Authority: Addis Ababa, Ethiopia, 2013. [Google Scholar]
- Negash, M. Trees management and livelihoods in Gedeo’s agroforests, Ethiopia. For. Trees Livelihoods 2007, 17, 157–168. [Google Scholar] [CrossRef]
- Debelo, A.R. Ethnicity and Inter-Ethnic Relations. The ‘Ethiopian Experiment’ and the Case of the Guji and Gedeo. Master’s Thesis, Universitetet i Tromsø, Tromsø, Norway, 2007. [Google Scholar]
- Farber, S.C.; Costanza, R.; Wilson, M.A. Economic and ecological concepts for valuing ecosystem services. Ecol. Econ. 2002, 41, 375–392. [Google Scholar] [CrossRef]
- Randall, A. Valuing the outputs of multifunctional agriculture. Eur. Rev. Agric. Econ. 2002, 29, 289–307. [Google Scholar] [CrossRef]
- King, D.M. Comparing Ecosystem Services and Values; US Department of Commerce, NOAA, Damage Assessment and Restoration Program: Silver Spring, MD, USA, 1997.
- Díaz, S.; Quétier, F.; Cáceres, D.M.; Trainor, S.F.; Pérez-Harguindeguy, N.; Bret-Harte, M.S.; Finegan, B.; Peña-Claros, M.; Poorter, L. Linking functional diversity and social actor strategies in a framework for interdisciplinary analysis of nature’s benefits to society. Proc. Natl. Acad. Sci. USA 2011, 108, 895–902. [Google Scholar] [CrossRef] [PubMed]
- Smith, K.R. Public payments for environmental services from agriculture: Precedents and possibilities. Am. J. Agric. Econ. 2006, 88, 1167–1173. [Google Scholar] [CrossRef]
- Young, C.; Wesner, M. Aesthetic Values of Forests: Measuring the Visual Impact of Forestry Operations; FAO: Rome, Italy, 2003; pp. 23–28. [Google Scholar]
- Kindu, M.; Schneider, T.; Teketay, D.; Knoke, T. Drivers of land use/land cover changes in Munessa-Shashemene landscape of the south-central highlands of Ethiopia. Environ. Monit. Assess. 2015, 187, 1–17. [Google Scholar] [CrossRef] [PubMed]
- Driedger, W. The game of Bao, or Mankala in East Africa. Mila 1972, 3, 7–19. [Google Scholar]
- Cleaver, F. Paradoxes of participation: Questioning participatory approaches to development. J. Int. Dev. 1999, 11, 597. [Google Scholar] [CrossRef]
- Franzel, S.; Hitimana, L.; Akyeampong, E. Farmer participation in on-station tree species selection for agroforestry: A case study from Burundi. Exp. Agric. 1995, 31, 27–38. [Google Scholar] [CrossRef]
- Mafongoya, P.L.; Kuntashula, E. Participatory evaluation of Tephrosia species and provenances for soil fertility improvement and other uses using farmer criteria in eastern Zambia. Exp. Agric. 2005, 41, 69–80. [Google Scholar] [CrossRef]
- Stallman, H.R. Ecosystem services in agriculture: Determining suitability for provision by collective management. Ecol. Econ. 2011, 71, 131–139. [Google Scholar] [CrossRef]
- Adimassu, Z.; Langan, S.; Johnston, R. Understanding determinants of farmers’ investments in sustainable land management practices in Ethiopia: Review and synthesis. Environ. Dev. Sustain. 2016, 18, 1005–1023. [Google Scholar] [CrossRef]
- Beyene, F. Land use change and determinants of land management: Experience of pastoral and agro-pastoral herders in eastern Ethiopia. J. Arid Environ. 2016, 125, 56–63. [Google Scholar] [CrossRef]
- Wolancho, K.W. Evaluating watershed management activities of campaign work in Southern nations, nationalities and peoples’ regional state of Ethiopia. Environ. Syst. Res. 2015, 4, 6. [Google Scholar] [CrossRef]
- Negash, M.; Achalu, N. History of Indigenous Agro-Forestry in Gedeo, Southern Ethiopia, Based on local community interviews: Vegetation diversity and structure in the Land-use systems. Ethiop. J. Nat. Resour. 2008, 10, 31–52. [Google Scholar]
- ICRAF. Paths to Prosperity through Agroforestry. ICRAF’s Corporate Strategy, 2001–2010; International Centre for Research in Agroforestry: Nairobi, Kenya, 2000. [Google Scholar]
- Biazin, B.; Sterk, G. Drought vulnerability drives land-use and land cover changes in the Rift Valley dry lands of Ethiopia. Agric. Ecosyst. Environ. 2013, 164, 100–113. [Google Scholar] [CrossRef]









| Ecosystem (LUC) Types | Description | Area Coverage (%) a | Region Dominance (Visual Estimation) |
|---|---|---|---|
| Agroforestry (AF) | Indigenously managed semi-forest area in which annual/perennial crops and/or animals are consciously used on the same land management units; | 40.51 | In the upstream region |
| Cultivation land (CL) | Cropping fields (with sparsely existing farm trees) owned by both smallholders and large-scale farmers; | 15.04 | Through out |
| Grassland (GL) | Dominated with grass and herb cover together with scattered trees and shrubs | 23.58 | In the downstream region |
| Woodland (WL) | Areas dominated with woody Acacia plants which cover >20% of the surface (with height 5–20 m); also includes shrubland covered with small trees and bushes; | 7.78 | In the downstream region |
| Wetland (WeL) | Includes: river beds, intermittent ponds, and marshy areas with shallow water and permanent reed vegetation | 9.55 | In the downstream region |
| Ecosystem Services | WS | ES | WCS | FR | MS | CR | EC | WR | WT | HM | SFI | ShSh | RAV | ShCD | RV | TS |
|---|---|---|---|---|---|---|---|---|---|---|---|---|---|---|---|---|
| Upstream Region | ||||||||||||||||
| WS | 1 | 0.18 | −0.15 | −0.03 | 0.10 | 0.42 | 0.71 | 0.98 ** | 0.99 ** | 0.53 | 0.62 | −0.19 | 0.08 | −0.15 | −0.19 | −0.28 |
| ES | 1 | 1.00 ** | 0.73 | 0.95 * | 0.78 | 0.54 | 0.01 | −0.28 | 0.70 | 0.64 | 0.95 * | 0.89 * | 0.94 * | 0.94 * | 0.37 | |
| WCS | 1 | 0.73 | 0.96 ** | 0.80 | 0.56 | 0.02 | −0.25 | 0.72 | 0.66 | 0.94 * | 0.89 * | 0.94 * | 0.93 * | 0.36 | ||
| FR | 1 | 0.70 | 0.48 | 0.50 | 0.10 | −0.14 | 0.43 | 0.51 | 0.80 | 0.93 * | 0.88 * | 0.90 * | 0.68 | |||
| MS | 1 | 0.92 * | 0.77 | 0.26 | −0.01 | 0.86 | 0.84 | 0.85 | 0.91 * | 0.86 | 0.85 | 0.37 | ||||
| CR | 1 | 0.91 * | 0.56 | 0.33 | 0.98 ** | 0.96 ** | 0.66 | 0.76 | 0.66 | 0.63 | 0.10 | |||||
| EC | 1 | 0.81 | 0.62 | 0.93 * | 0.98 ** | 0.45 | 0.70 | 0.50 | 0.47 | 0.15 | ||||||
| WR | 1 | 0.96 ** | 0.67 | 0.73 | −0.01 | 0.24 | 0.02 | −0.02 | −0.25 | |||||||
| WT | 1 | 0.46 | 0.52 | −0.26 | −0.04 | −0.24 | −0.29 | −0.39 | ||||||||
| HM | 1 | 0.97 ** | 0.62 | 0.70 | 0.61 | 0.57 | −0.03 | |||||||||
| SFI | 1 | 0.54 | 0.74 | 0.57 | 0.54 | 0.15 | ||||||||||
| ShSh | 1 | 0.88 * | 0.99 ** | 0.98 ** | 0.28 | |||||||||||
| RAV | 1 | 0.94 * | 0.94 * | 0.55 | ||||||||||||
| ShCD | 1 | 1.00 ** | 0.40 | |||||||||||||
| RV | 1 | 0.47 | ||||||||||||||
| TS | 1 | |||||||||||||||
| Downstream Region | ||||||||||||||||
| WS | 1 | −0.46 | −0.47 | 0.58 | 0.35 | 0.55 | 0.63 | 0.74 | 0.78 | 0.43 | 0.15 | −0.04 | 0.31 | −0.71 | −0.27 | −0.52 |
| ES | 1 | 1.00 ** | 0.14 | 0.57 | 0.15 | 0.12 | 0.17 | 0.09 | 0.52 | 0.41 | 0.86 | 0.65 | 0.94 * | 0.91 * | −0.34 | |
| WCS | 1 | 0.10 | 0.57 | 0.14 | 0.11 | 0.16 | 0.09 | 0.52 | 0.40 | 0.85 | 0.65 | 0.95 * | 0.91 * | −0.34 | ||
| FR | 1 | 0.86 | 0.07 | 0.16 | 0.46 | 0.62 | 0.67 | −0.23 | 0.19 | 0.80 | −0.07 | 0.47 | −0.69 | |||
| MS | 1 | 0.27 | 0.33 | 0.60 | 0.70 | 0.91 * | 0.14 | 0.63 | 0.99 ** | 0.33 | 0.80 | −0.86 | ||||
| CR | 1 | 1.00 ** | 0.90 * | 0.72 | 0.53 | 0.90 * | 0.64 | 0.36 | −0.12 | 0.01 | −0.45 | |||||
| EC | 1 | 0.94 * | 0.77 | 0.58 | 0.86 | 0.62 | 0.41 | −0.14 | 0.02 | −0.51 | ||||||
| WR | 1 | 0.94 * | 0.80 | 0.70 | 0.62 | 0.63 | −0.15 | 0.21 | −0.76 | |||||||
| WT | 1 | 0.88 * | 0.46 | 0.48 | 0.68 | −0.24 | 0.27 | −0.91 * | ||||||||
| HM | 1 | 0.42 | 0.72 | 0.90 * | 0.22 | 0.70 | −0.97 ** | |||||||||
| SFI | 1 | 0.77 | 0.26 | 0.24 | 0.15 | −0.28 | ||||||||||
| ShSh | 1 | 0.73 | 0.67 | 0.73 | −0.54 | |||||||||||
| RAV | 1 | 0.41 | 0.82 | −0.81 | ||||||||||||
| ShCD | 1 | 0.80 | −0.03 | |||||||||||||
| RV | 1 | −0.59 | ||||||||||||||
| TS | 1 | |||||||||||||||
| Individual ESs | Catchments | |
|---|---|---|
| Upstream (Most Frequent; 2nd most Frequent) | Downstream (Most Frequent; 2nd most Frequent) | |
| Water supply | Deforestation; Drought/RF var. | Drought/RF var.; Agri-business investment(inv.) |
| Energy source | Commercializing woodlots; Deforestation | Charcoaling; Agri-business inv. |
| Woodlot/construction sources | Commercializing woodlots; Deforestation | Charcoaling; Agri-business inv. |
| Fodder resources | Diminished holding size; Drought/RF var. | Drought/rainfall var.; Agri-business inv. |
| Medical services | Deforestation; Land degradation | Overgrazing; Drought/RF var. |
| Climate regulation | Drought/RF var.; Deforestation | Drought/rainfall var.; Livestock population |
| Erosion control | Commercializing woodlots; Drought/RF var. | Overgrazing; Drought/RF var. |
| Water regulation | Deforestation; Drought/RF var. | Agri-business inv.; Deforestation |
| Water treatment | Deforestation; Population pressure | NA; NA (Not well understood) a |
| Habitat maintenance | Diminished holding size; Drought/RF var. | Agri-business inv.; Livestock population |
| Soil fertility improvement | Deforestation; Drought/RF var. | Deforestation; Overgrazing |
| Shade & shelter for animal & plant | Commercializing woodlots, Deforestation | Charcoaling; Commercializing woodlots |
| Recreation/Aesthetic values | Diminished holding size; Population pressure | Deforestation; Drought/RF var. |
| Shade for cultural deliberations | Commercializing woodlots; Deforestation | Charcoaling; land use change |
| Religious values | Socio-cultural change; Diminished holding size | New religions; Deforestation |
| Tenure security | Population increment; Diminished holding size | Agri-business inv.; land use policy |
© 2018 by the authors. Licensee MDPI, Basel, Switzerland. This article is an open access article distributed under the terms and conditions of the Creative Commons Attribution (CC BY) license (http://creativecommons.org/licenses/by/4.0/).
Share and Cite
Temesgen, H.; Wu, W. Farmers’ Value Assessment of Sociocultural and Ecological Ecosystem Services in Agricultural Landscapes. Sustainability 2018, 10, 703. https://doi.org/10.3390/su10030703
Temesgen H, Wu W. Farmers’ Value Assessment of Sociocultural and Ecological Ecosystem Services in Agricultural Landscapes. Sustainability. 2018; 10(3):703. https://doi.org/10.3390/su10030703
Chicago/Turabian StyleTemesgen, Habtamu, and Wei Wu. 2018. "Farmers’ Value Assessment of Sociocultural and Ecological Ecosystem Services in Agricultural Landscapes" Sustainability 10, no. 3: 703. https://doi.org/10.3390/su10030703
APA StyleTemesgen, H., & Wu, W. (2018). Farmers’ Value Assessment of Sociocultural and Ecological Ecosystem Services in Agricultural Landscapes. Sustainability, 10(3), 703. https://doi.org/10.3390/su10030703

