Next Article in Journal
Contribution of Schinziophyton rautanenii to Sustainable Diets, Livelihood Needs and Environmental Sustainability in Southern Africa
Previous Article in Journal
An Optimal Strategic Business Model for Small Businesses Using Online Platforms
 
 
Font Type:
Arial Georgia Verdana
Font Size:
Aa Aa Aa
Line Spacing:
Column Width:
Background:
Article

Analysis of Carbon Emission Reduction in a Dual-Channel Supply Chain with Cap-And-Trade Regulation and Low-Carbon Preference

School of Management, Huazhong University of Science and Technology, Wuhan 430074, China
*
Author to whom correspondence should be addressed.
Sustainability 2018, 10(3), 580; https://doi.org/10.3390/su10030580
Submission received: 28 December 2017 / Revised: 31 January 2018 / Accepted: 20 February 2018 / Published: 26 February 2018

Abstract

This paper focuses on the reduction of carbon emissions driven by cap-and-trade regulation and consumers’ low-carbon preference in a dual-channel supply chain. Under the low-carbon environment, we also discuss the pricing strategies and the profits for the supply chain members using the Stackelberg game model in two cases. In the first (second) case where the initial proportion of consumers who prefer the online direct channel (traditional retail channel) is “larger”, the direct sale price of low-carbon products could be set higher than (equal to) the wholesale price. And it is shown that in both cases, tighter cap-and-trade regulation and higher low-carbon preference stimulate the manufacturer to cut carbon emissions in its production process. However, improving consumers’ low-carbon preference is more acceptable to the supply chain members. It always benefits the manufacturer and the retailer. In comparison, the firm’s profit increases with carbon price only when the clean production level is relatively high. Our findings can provide useful managerial insights for policy-makers and firms in the development of low-carbon sustainability.

1. Introduction

With economic development, the environment which people survive on has suffered serious damage. As an important part of environmental issues, global warming which is mainly caused by carbon emissions from human activities further intensifies. According to the report of the Intergovernmental Panel on Climate Change (IPCC), the rising rate of global temperature in recent 50 years is approximately twice as fast as that in previous periods. Reducing carbon emissions is urgently needed.
Governments in many countries have implemented policy instruments to regulate carbon emissions. A typical policy is the cap-and-trade regulation, in which “cap” indicates government sets and limits the total amount of carbon emissions and “trade” indicates firms can buy/sell permits in carbon trading market if their permits are short/surplus [1]. From enterprises’ perspective, more specifically, they need to make a tradeoff between spending in carbon market and reducing their own emissions [2,3]. Since the European Union Emissions Trading Scheme (EU ETS) was established in 2005, the movement has spread rapidly to Europe, North America, Asia and South America [4].
At the same time, people’s environmental awareness is increasing. More and more consumers begin to pay attention to the environmental performance of products and present their low-carbon preference in choosing products. Eurobarometer survey in 2008 suggests when deciding which products to buy, 34% of citizens felt that the environmental performance of products is “very important” and 49% felt “rather important” [5]. Consumers’ low-carbon preference can provide low-carbon products with added value. And the higher the preference, the more consumers are willing to pay more for low-carbon products [6,7]. It could also be said that the preference actually gives an added-market for low-carbon products [8]. Accordingly, manufacturers may voluntarily participate in low-carbon production to improve their market competitiveness. For example, Haier, Gree and Lenovo integrate the low-carbon concept to product development, design, production and sales.
Based on the above background, it is of great practical significance to investigate the impacts of cap-and-trade regulation and consumers’ low-carbon preference on firms’ operational decisions. Furthermore, e-commerce is developing rapidly in recent years. Chinese e-commerce colossus Alibaba announced the daily turnover in its Double 11 event of 2017 hit a record of 18 billion dollars. Recognizing the inevitable trend of e-commerce development, many branded manufacturers such as IBM, Nike and Apple have opened online shops to sell their products [9]. In this context, a dual-channel supply chain which consists of an online direct channel operated by manufacturer and a traditional retail channel operated by manufacturer and retailer emerges. Obviously, it strikes the traditional retail market and leads to the competition between manufacturer and retailer. Considering these realistic factors, it is necessary to analyze the pricing and low-carbon strategies for chain members.
As discussed above, we consider a dual-channel supply chain. And with the cap-and-trade regulation and consumers’ low-carbon preference, we try to answer the following research questions: (1) After opening online direct channel under low-carbon environment, what is the impact on the chain members’ pricing policies? (2) What is the impact of cap-and-trade policy intensity on the players’ emission reduction behaviors and profits? (3) How about the impact of consumers’ low-carbon preference? And through comparatively evaluating the two drivers, what managerial insights can be obtained for policy-makers and firms?
To address these questions, this paper uses the Stackelberg game model to analyze the dual-channel low-carbon supply chain consisting of one manufacturer and one retailer. Here, the manufacturer is the leader of the game. It produces low-carbon products and decides the low-carbon degree of the products. And it decides the wholesale price of the products sold to the retailer and the direct sale price of the products sold to consumers online. The retailer is the follower. It decides the retail price of the low-carbon products. Then, we derive some valuable results: First, we find that when the initial proportion of consumers who prefer the direct channel is “larger”, the manufacturer could set the direct sale price higher than the wholesale price; otherwise, the direct sale price could be set equal to the wholesale price. “Larger” is not only judged by 1/2, but also related to the gap between the low-carbon sensibilities of direct channel and retail channel. Second, we find that both stricter regulation and higher preference stimulate the manufacturer to reduce carbon emissions. And improving low-carbon preference always benefits the manufacturer and the retailer. However, the firm may benefit from tighter cap-and-trade regulation only when the clean production level is relatively high. These results will provide references for the strategies of policy-makers and firms in low-carbon development.
The remainder of this paper is organized as follows. In Section 2, we review the related literature. In Section 3, we introduce the notations and assumptions, and present the model. In Section 4, we derive the equilibrium results and discuss the results. In Section 5, we conduct numerical experiments. In Section 6, conclusions and some future research directions are presented. In addition, all proofs are provided in Appendix A.

2. Literature Review

Our study is closely relevant to the research on green or sustainable supply chain management (GSCM/SSCM). GSCM integrates environmental dimensions into supply chain management, and its core parts include green procurement, green logistics, green manufacturing and reverse logistics [10]. The implementation of GSCM can improve the economic performance, environmental performance and social performance of organizations, which in turn stimulates the organizations to continue greening [10,11,12]. Green procurement emphasizes on reducing environmental impacts of sourcing and increasing resource efficiency [13]. Green logistics contains two important activities: transportation and warehousing. It has attracted many researchers’ interest in this field, such as companies’ intentions to reduce transportation emissions, drivers and barriers affecting the reduction, and environmental sustainability in logistics service providers [14,15,16,17,18]. Reverse logistics is an important support of circular economy, which further conserves natural resources and environment. And recently, sustainable closed loop supply chain is a research hotspot [19,20].
Green manufacturing which is also called green production, aims at the pursuit of economic benefits while reducing environmental impacts of manufacturing activities [21]. The existing literature has studied green production from four aspects: green product [22], green processes and operations [23,24,25], green use [26], and green end-of-life management [27]. Our paper focuses on the carbon emission reduction decision of the manufacturer in its production process driven by cap-and-trade regulation and consumers’ low-carbon preference. To highlight our contribution, we shall only review the literature about green operations especially emission reduction decisions driven by cap-and-trade regulation and consumers’ preference.
In the view of emission reduction driven by cap-and-trade regulation, Du et al. focused on an emission-dependent supply chain and analyzed the influence of the emission cap allocated by government on decision-making [28]. They demonstrated that manufacturer’s emissions level increases with the carbon cap. In other words, tighter cap-and-trade regulation can stimulate manufacturer to emit less carbon. However, they just considered the emission reduction through cutting down production instead of adopting low-carbon technology. Some other studies introduced low-carbon technology. However, these studies just regarded cap-and-trade regulation as a driver for emission reduction, and did not analyze the effects of the policy intensity on emission reduction [29,30]. Qin et al. analyzed the emission reduction considering three demand forecasting scenarios under the cap-and-trade scheme [31]. And they delved the impacts of the cap-and-trade policy just by conducting numerical experiments, which needs further theoretical analysis.
In the view of emission reduction driven by consumers’ environmental awareness, Liu et al. analyzed the influence of the driver on supply chain members given three types of competition structure, involving the competition between manufacturers and the competition between retailers [32]. Results indicated manufacturers’ emission reduction increases with consumers’ environmental awareness, and manufacturers and retailers with superior green operations benefit. Du et al. made a similar contribution [33]. They showed the emission reduction and the channel profit increase with consumers’ low-carbon preference in the emission-concerned supply chain. Our paper will continue to contribute to the subject, and comparatively evaluate the two realistic drivers.
However, none of the above studies is performed under a dual-channel supply chain. With the rapid growth of e-commerce, more and more scholars pay attention to dual-channel supply chain management [34,35,36,37,38,39,40]. There are two ways forming dual-channel: manufacturer opens online channel as in our paper; retailer opens online channel. However, there are only a few studies exploring green operations in the dual-channel supply chain. In this area, Chen et al. built a game model to investigate pricing policies of a dual-channel supply chain, where the differentiation of channel environmental sustainability is considered [41]. Similarly, some research suggested online channel could lower the environmental effect of shopping and analyzed how this impacts chain members’ decisions [42,43,44]. Ji et al. developed a dual-channel mode for retailer and analyzed the emission reduction strategies of players driven by cap-and-trade regulation [45]. Their focus was on discussing and comparing the influences of initial carbon allowance allocation rules, which differs with ours.
The closest papers to our study are Li et al. [46] and Ji et al. [47]. Li et al. discussed the pricing and green strategies of players in a competitive dual-channel supply chain using a game-theoretic framework [46]. However, they just considered the influence of consumers’ preference without the low-carbon policy. Ji et al. continued to make a contribution in this issue by exploring players’ emission reduction behaviors under cap-and-trade regulation [47]. However, they simply compared the cases with regulation and without regulation, and did not discuss the influence of policy intensity. In addition, the focus of these two papers was supply chain members’ channel choice. They didn’t continue to formally investigate the effect on players’ decision-makings especially pricing strategies after manufacturer opens online direct channel under low-carbon environment. Our paper aims to fill these gaps.

3. The Model

This paper considers a dual-channel low-carbon supply chain, which consists of a traditional retail channel operated by manufacturer and retailer and an online direct channel operated by manufacturer. In the environment of government’s cap-and-trade regulation and consumers’ low-carbon preference, the manufacturer makes one kind of low-carbon products. Consumers can buy the low-carbon products through either the retail channel or the direct channel, depending on their preference. Naturally, these two channels will compete on the product sale price.
Similar to Liu et al. [32], Li et al. [46] and Ji et al. [47], we assume that the demands in the retail channel and the direct channel are linear functions of retail price, direct sale price and carbon emission reduction level, as follows:
D r = ρ a p r + λ p m + β r e
D m = ( 1 ρ ) a p m + λ p r + β m e
where D r and D m are the demands of the low-carbon products in the retail channel and the direct channel, respectively. Both demands are negatively related to the sale price in their own channel, positively related to the sale price in their competitive channel, and positively related to the level of carbon emission reduction per unit produced denoted by e . a is the potential market demand of the low-carbon products. We assume it is constant and significantly larger than the other parameters. ρ ( 0 < ρ < 1 ) is the initial proportion of consumers who prefer the retail channel, and 1 ρ is the initial proportion of consumers who prefer the direct channel. p r and p m are the product sale prices in the retail channel and the direct channel, respectively. λ is the cross-price sensitivity coefficient, and 0 < λ < 1 indicates one channel’s price has a greater effect on the channel’s demand compared to its competitive channel’s price. β r and β m are the low-carbon sensitivity coefficients in the retail channel and the direct channel, respectively. They measure consumers’ low-carbon preference. And their larger values mean that consumers are more sensitive to the low-carbon performance of products. We suppose 0 < β m < β r < 1 , which indicates one channel’s price effect is larger than low-carbon degree effect, and the improvement level of carbon emissions has greater influences on the retail channel’s demand than the direct one since the low-carbon products purchased from the direct channel cannot be examined physically and are only checked through websites.
In the cap-and-trade system, government initially allocates free carbon permits to the manufacturer, and we use A ( A 0 ) to denote the initial permits allocation. The manufacturer can buy permits from carbon trading market when the amount it emits exceeds the cap A . Conversely, the manufacturer can also sell its excessive permits in the carbon market. The permit price, denoted by p , is decided by the carbon market.
To make low-carbon production, the manufacturer employs low-carbon technologies, which incurs some extra cost. Following Liu et al. [32], Li et al. [46] and Ji et al. [47], we assume the extra cost is a quadratic function of emission reduction level:
C ( e ) = k e 2 / 2
where k is the cost coefficient of carbon emission reduction. A higher amount of carbon abatement is more difficult. In addition, we assume c is the unit production cost of the traditional product without adoption of low-carbon technologies, and e 0 is the carbon emission level per unit tradition production.
We model the supply chain structure, as shown in Figure 1. w represents the wholesale price of the low-carbon products. It is assumed all the information is common knowledge to the manufacturer and the retailer. The Stackelberg game is used to process the model. The manufacturer as the leader first decides the emission reduction level e , the wholesale price w and the direct sale price p m . The retailer as the follower then decides the retailer price p r .
The participants in the supply chain seek to maximize their profits. In order to ensure that the manufacturer and the retailer gain non-negative profits, we have: c w p r and c p m . In addition, it should also be satisfied that the demand in each channel is non-negative.
Based on the above assumptions, the manufacturer’s profit π m and the retailer’s profit π r are modeled as follows:
π m = ( w c ) D r + ( p m c ) D m C ( e ) p [ ( D r + D m ) ( e 0 e ) A ] = ( w c ) ( ρ a p r + λ p m + β r e ) + ( p m c ) [ ( 1 ρ ) a p m + λ p r + β m e ] k e 2 / 2 p { [ a ( 1 λ ) ( p r + p m ) + ( β r + β m ) e ] ( e 0 e ) A }
where the last term in Equation (4) is the cost the manufacturer has to pay in the carbon trading market. It can also be negative, which means the revenue the manufacturer receives from the carbon market.
π r = ( p r w ) D r = ( p r w ) ( ρ a p r + λ p m + β r e )

4. Model Solutions and Discussions

In this section, we derive the optimal decisions for the supply chain members. Further, we analyze and discuss the equilibrium solutions. We focus on the impacts of cap-and-trade regulation and consumers’ low-carbon preference on the manufacturer’s carbon emission reduction and firms’ profits. And some management insights are obtained to promote low-carbon production.
Backward induction is used to find the equilibrium of this game. We first get the retailer’s optimal response function from its profit maximization, in which p r is expressed by e , w and p m :
p r = ρ a + λ p m + β r e + w 2
Substituting Equation (6) into Equation (4), the optimization problem of the manufacturer is expressed as:
max e , w , p m π m = ( w c ) ( ρ a 2 + λ 2 p m + β r 2 e 1 2 w ) + ( p m c ) [ ( 1 ρ + λ ρ 2 ) a ( 1 λ 2 2 ) p m + ( λ β r 2 + β m ) e + λ 2 w ] k 2 e 2 p { [ ( 1 ( 1 λ ) ρ 2 ) a ( 1 λ ) ( 2 + λ ) 2 p m + ( 1 + λ 2 β r + β m ) e 1 λ 2 w ] ( e 0 e ) A }
We find π m is jointly concave with w and p m . For the optimal solution of the manufacturer’s problem, we first determine w and p m with respect to the carbon emission reduction level:
w = a ( λ + ρ λ ρ ) + c ( 1 λ 2 ) + ( β m λ + β r ) e + ( 1 λ 2 ) ( e 0 e ) p 2 ( 1 λ 2 )
p m = a ( 1 ρ + λ ρ ) + c ( 1 λ 2 ) + ( β m + β r λ ) e + ( 1 λ 2 ) ( e 0 e ) p 2 ( 1 λ 2 )
Note that the wholesale price cannot be higher than the direct sale price; otherwise the retailer will buy the low-carbon products with the direct sale price. Thus, we discuss the pricing strategy of the manufacturer in two cases. If 0 < ρ < 1 2 ( β r β m ) e 2 a , it can be seen that w < p m , so the manufacturer sets the wholesale price and direct sale price as Equations (8) and (9). Intuitively, when the initial potential market demand in the retail channel is relatively small, the direct sale price is set higher than the wholesale price. If 1 2 ( β r β m ) e 2 a ρ < 1 , implying the initial potential market demand in the retail channel is relatively large, the manufacturer sets the wholesale price equal to the direct sale price. Moreover, the above threshold is less than 1/2, due to the demand advantage caused by the low-carbon sensitivity in the retail channel. Further detailed discussion is performed as follows.

4.1. Case 1: 0 < ρ < 1 2 ( β r β m ) e 2 a

In this case, a relatively large number of consumers initially prefer buying the low-carbon products from the online direct channel. Because of this demand advantage in the direct channel, the manufacturer sets the direct sale price higher than the wholesale price. It offers useful marketing insights for firms. For the products whose consuming objections mainly concentrate on young consumers or the consumer groups who are used to shopping online, in which different low-carbon sensibilities in these two channels also matter, their direct sale price could be set higher than their wholesale price.
Substituting Equations (8) and (9) into Equation (7) and solving the optimization problem, we obtain the following:
Lemma 1.
If 0 < ρ < 1 2 ( β r β m ) e 2 a , the optimal carbon emission reduction level for the manufacturer is:
(i) 
e = a M N 4 ( k K ) for k > K ,
(ii) 
e = e 0 for k K ,
where
K = 1 4 ( λ + 3 ) ( 1 λ ) p 2 + 1 2 β r p ( 1 + λ ) + β m p + β m 2 2 ( 1 λ 2 ) + β m β r λ 1 λ 2 + β r 2 ( λ 2 + 1 ) 4 ( 1 λ 2 ) ,
M = 2 β m ( 1 ρ + λ ρ ) 1 λ 2 + β r ρ ( 1 λ ) 1 + λ + 2 β r λ 1 λ 2 + p ( 2 ρ + λ ρ ) ,
N = ( λ + 3 ) ( 1 λ ) ( e 0 p + c ) p + 2 β m ( c + e 0 p ) + β r ( c + e 0 p ) ( 1 + λ ) .
It is easy to see that when the carbon abatement cost is low ( k K ), the manufacturer chooses to reduce emissions completely. And if the abatement cost is high ( k > K ), the manufacturer’s decision on emission reduction depends on a series of factors. In particular, we will explore how e changes with cap-and-trade regulation and consumers’ low-carbon preference.
In the following, we focus on discussing the case of k > K .
Proposition 1.
(1) 
e p > 0 ;
(2) 
e β m > e β r > 0 .
Proposition 1 indicates that the higher carbon price stimulates the manufacturer to emit less carbon. In the cap-and-trade system, the cap A has no impact on the manufacturer’s emission reduction decision. However, the cap of the whole carbon market which is supplied by government matters since it significantly affects the carbon price.
Moreover, the higher consumers’ low-carbon preference, the more the manufacturer is willing to cut carbon emissions in order to enhance its environmental image and market competitiveness. And the low-carbon sensitivity in direct channel provides greater incentives for the manufacturer to reduce emissions than that in the retail channel. This is because the increment of consumers’ low-carbon preference degree that increasing β m corresponds to is obviously greater, compared to increasing the same amount of β r . In order to promote low-carbon production, government should especially encourage and support online advertising of the low-carbon attributes of green products.
Substituting e into Equations (8) and (9), we can obtain the optimal wholesale price and direct sale price. Then through Equation (6), we also obtain the optimal retail price. And substituting these into Equations (4) and (5), we obtain the manufacturer’s optimal profit π m and the retailer’s optimal profit π r .
Proposition 2.
(1) 
There exists e ¯ [ 0 , e 0 ] such that
(i) 
π m p < 0 for 0 e < e ¯ ;
(ii) 
π m p > 0 for e ¯ < e e 0 .
(2) 
π m β r > 0 , π m β m > 0 .
Proposition 2(1) indicates how the cap-and-trade regulation impacts the manufacturer’s optimal profit. If the manufacturer’s carbon emission reduction level is less than the threshold ( e ¯ ), its profit decreases as the carbon price increases. This is because the manufacturer has to buy permits from the carbon market when its carbon abatement level is low. And higher carbon price makes it pay more in the carbon market. However, the manufacturer’s profit increases as the carbon price increases if its carbon emission reduction level is greater than the threshold. This is because the manufacturer starts to have an advantage in the carbon market when it emits less pollution. The rise in carbon price enhances this advantage, and the high carbon price is enough for low-carbon production.
Proposition 2(2) indicates when consumers’ low-carbon preference increases, the manufacturer will raise its profit. It is straightforward. With the rising of consumers’ low-carbon preference, the demand of low-carbon products increases.
Proposition 3.
(1) 
There exists e [ 0 , e ¯ ] such that
(i) 
π r p < 0 for 0 e < e ;
(ii) 
π r p > 0 for e < e e 0 .
(2) 
π r β r > 0 , π r β m > 0 .
Proposition 3(1) indicates that the higher carbon price decreases the retailer’s profit if 0 e < e , and the higher carbon price increases the retailer’s profit if e < e e 0 , where e < e ¯ . We make detailed explanations below. When 0 e < e holds, the manufacturer reduces more emissions with the rising of carbon price, which incurs higher low-carbon production cost. And the manufacturer transfers the cost to the retailer. When e ¯ < e e 0 holds, the manufacturer benefits from the rising of carbon price, which incurs lower pricing of the low-carbon products. It is beneficial for the retailer. When e < e < e ¯ holds, although the manufacturer costs more to reduce more emissions, the retailer’s profit still increases with the carbon price. At this point, the demand in the retail channel is increased, but it is not so for the direct channel.
Proposition 3(2) indicates the low-carbon sensitivities in both the retail channel and direct channel have positive effects on the retailer’s profit. A rise in β r increases the demand in the retail channel, which directly leads to increased retailer’s profit. A rise in β m also increases the retailer’s profit. It is reasonable because in Case 1 where the wholesale price is set lower than the direct sale price, the retailer has an advantage in the product price. And the rise in β m could improve this advantage. In short, increasing consumers’ low-carbon preference allows the retailer to earn more profit.

4.2. Case 2: 1 2 ( β r β m ) e 2 a ρ < 1

In this case, a relatively large number of consumers initially prefer buying the low-carbon products from the traditional retail channel. Considering this demand advantage in the retail channel and the retailer’s strategy choice, the manufacturer sets the direct sale price equal to the wholesale price. This offers useful marketing insights for firms when products’ consuming objections mainly concentrate on old consumers or the consumer groups who are used to shopping in stores, in which different low-carbon sensibilities in the two channels also matter.
Setting p m equal to w in Equations (6) and (7), the followings are obtained:
p r = ρ a + ( λ + 1 ) w + β r e 2
max   e , w π m = ( w c ) [ ( 1 ( 1 λ ) ρ 2 ) a 3 2 λ λ 2 2 w + ( 1 + λ 2 β r + β m ) e ] k 2 e 2 p { [ ( 1 ( 1 λ ) ρ 2 ) a 3 2 λ λ 2 2 w + ( 1 + λ 2 β r + β m ) e ] ( e 0 e ) A }
It can be seen that π m is concave with w . We first determine w with respect to the carbon emission reduction level:
w = [ β m + ( 1 + λ ) β r 2 ] e + ( 1 ρ 2 + λ ρ 2 ) a ( λ + 3 ) ( 1 λ ) + 1 2 c + 1 2 p ( e 0 e )
Substituting Equation (12) into Equation (11) and then differentiating Equation (11) with respect to e , we obtain the following:
Lemma 2.
If 1 2 ( β r β m ) e 2 a ρ < 1 , the optimal carbon emission reduction level for the manufacturer is:
(i) 
e = U V 4 ( k K ˜ ) for k > K ˜ ,
(ii) 
e = e 0 for k K ˜ ,
where
K ˜ = 1 4 ( λ + 3 ) ( 1 λ ) p 2 + 2 β m + ( 1 + λ ) β r 2 p + 4 β m 2 + 4 ( λ + 1 ) β m β r + ( λ + 1 ) 2 β r 2 4 ( λ + 3 ) ( 1 λ ) ,
U = 2 β m + ( 1 + λ ) β r ( λ + 3 ) ( 1 λ ) + p ,
V = ( 2 ρ + λ ρ ) a ( λ + 3 ) ( 1 λ ) ( c + e 0 p ) .
It is easy to see that when the carbon abatement cost is low ( k K ˜ ), the manufacturer chooses to reduce emissions completely. And if the abatement cost is high ( k > K ˜ ), the manufacturer’s emission reduction decision depends on a series of factors, including the carbon price and low-carbon sensitivities in both channels. In the following, we focus on discussing the case of k > K ˜ .
Next, we provide propositions that state the impacts of cap-and-trade regulation and consumers’ low-carbon preference on carbon emission reduction and the firms’ profits.
Proposition 4.
(1) 
e p > 0 ;
(2) 
e β m > e β r > 0 .
Similar to Proposition 1, Proposition 4 also indicates that both the higher carbon price and the higher consumers’ preference stimulate the manufacturer to carry out its low-carbon production. In addition, the low-carbon sensitivity in the direct channel provides greater incentives for the manufacturer to reduce emissions than that in the retail channel.
Substituting e into Equation (12), we can obtain the optimal wholesale price which is equal to the direct sale price. Then through Equation (10), we also obtain the optimal retail price. And substituting these into Equations (4) and (5), we obtain the manufacturer’s optimal profit π m and the retailer’s optimal profit π r .
Proposition 5.
(1) 
There exists e ˜ [ 0 , e 0 ] such that
(i) 
π m p < 0 for 0 e < e ˜ ;
(ii) 
π m p > 0 for e ˜ < e e 0 .
(2) 
π m β r > 0 , π m β m > 0 .
Similar to Proposition 2, Proposition 5 indicates how the cap-and-trade regulation and consumers’ low-carbon preference impact the manufacturer’s optimal profit. If the manufacturer’s carbon emission reduction level is less than the threshold ( e ˜ ), the firm’s profit decreases as the carbon price increases. On the contrary, the manufacturer’s profit increases as the carbon price increases if its carbon emission reduction level is greater than the threshold. Moreover, increasing consumers’ preference brings more profit to the manufacturer.
Proposition 6.
(1) 
There exists e [ 0 , e ˜ ] such that
(i) 
π r p < 0 for 0 e < e ;
(ii) 
π r p > 0 for e < e e 0 .
(2) 
π r β r > 0 , π r β r + π r β m > 0 .
Similar to Proposition 3(1), Proposition 6(1) indicates that the higher carbon price decreases the retailer’s profit if 0 e < e , and the higher carbon price increases the retailer’s profit if e < e e 0 , where e < e ˜ .
Proposition 6(2) states that the low-carbon sensitivity in the retail channel has a positive effect on the retailer’s profit. And increasing consumers’ low-carbon preference brings more profit to the retailer. In fact, the low-carbon sensitivity in the direct channel may even have a negative effect on the retailer’s profit when the emission reduction level is high, since a rise in β m increases the demand in the direct channel, which is not profitable for the retailer. However, the effect of β r on the retailer’s profit is significantly larger, which results that the net effect of consumers’ preference is positive.
It is shown that in any case, both stricter cap-and-trade regulation and higher consumers’ low-carbon preference push the manufacturer to reduce carbon emissions in its production process. However, compared to the cap-and-trade regulation, improving consumers’ low-carbon preference is more acceptable to the supply chain members, since it always benefits the manufacturer and the retailer. In contrast, the firm’s profit increases as the carbon price rises only when the clean production degree is relatively high. In practice, the carbon price doesn’t raise high enough to employ low-carbon technologies for large-scale emission reduction. It provides some managerial insights for government and firms. “Low-carbon preference” can be regarded as an important policy instrument to promote low-carbon development. In the long run, “low-carbon preference” policy can fundamentally transform economic development model. And firms especially retailers may also accept cap-and-trade policy when “low-carbon preference” policy is relatively stringent. Government can take some measures, such as enhancing low-carbon education for citizen and strengthening low-carbon propaganda through media. From the perspective of interest, firms including manufacturer and retailer should actively support and participate in “low-carbon preference” policy.

5. Numerical Analysis

In this section, numerical experiments are conducted to intuitively present the results obtained in Section 4. Let a = 3 , λ = 0.4 , e 0 = 0.7 , c = 0.4 , k = 2.8 , A = 0.3 .

5.1. Case 1: 0 < ρ < 1 2 ( β r β m ) e 2 a

According to the condition, let us assume ρ = 0.4 in this case where the direct sale price is set higher than the wholesale price. Figure 2 shows the effects of carbon price, where it is set to be β r = 0.4 and β m = 0.3 . Specifically, Figure 2a shows the impacts of the carbon price on the manufacturer’s emission reduction level and its profit. It can be seen that the emission reduction level increases with the carbon price. When p = 0.9 , the manufacturer almost reduces emissions completely. And as the carbon price rises, the manufacture’s profit decreases first and then increases. When p < 0.5 implying e < 0.45 , π m decreases with p . When p > 0.5 implying e > 0.45 , π m increases with p . The higher carbon price may benefit the manufacturer only at high clean production level. Figure 2b shows the impacts of the carbon price on the retailer’s profit. As the carbon price increases, the retailer’s profit decreases first and then increases as well. The turning point is approximately p = 0.2 which corresponds to e = 0.32 . Compared to the manufacturer, it is much earlier for the retailer to reach a turning point, and its profit is much smaller.
Figure 3 shows the effects of consumers’ low-carbon preference, where it is set to be p = 0.2 . β r and β m measure consumers’ low-carbon preference from the retail channel and the direct channel, respectively. Figure 3a,b shows the impacts of β r on firm’s emission reduction level and profits, where it is set to be β m = 0.3 and β m < β r < 1 . It can be seen that the manufacturer’s emission reduction level increases with β r . But the manufacturer will not reduce emissions completely even when β r is close to 1, since the low-carbon sensitivity in the direct channel is low. Moreover, as β r rises, both the manufacturer’s profit and the retailer’s profit increase. Figure 3c,d show the impacts of β m on firm’s emission reduction level and profits, where it is set to be β r = 0.4 and 0 < β m < β r . When β m increases, the manufacturer’s emission reduction level and its profit both increase. The retailer’s profit also increases with β m . In short, the higher low-carbon preference not only stimulates the manufacturer to reduce emissions, but also benefits the manufacturer and the retailer. It suggests “low-carbon preference” can be regarded as a policy to attract firms for voluntary emission reduction. And improving low-carbon sensitivities in the direct channel and the retail channel are both very important, be short of one cannot.

5.2. Case 2: 1 2 ( β r β m ) e 2 a ρ < 1

According to the condition, let’s assume ρ = 0.6 in this case where the direct sale price is set equal to the wholesale price. Similar to Figure 2 and Figure 4 also shows the effects of carbon price, where it is set to be β r = 0.4 and β m = 0.3 . With the carbon price rising, the manufacturer’s emission reduction level increases, and its profit decreases first and then increases. And so does the retailer’s profit. But the retailer’s profit begins to increase with p much earlier than the manufacturer’s. Compared to Figure 2, the retailer’s profit becomes larger and the manufacturer’s profit becomes smaller, since the initial potential market demand of the low-carbon products in the retail channel is greater. To sum up, the higher carbon price provides incentives for the manufacturer to reduce emissions, but it may damage the firms’ economic benefits, especially the manufacturer’s.
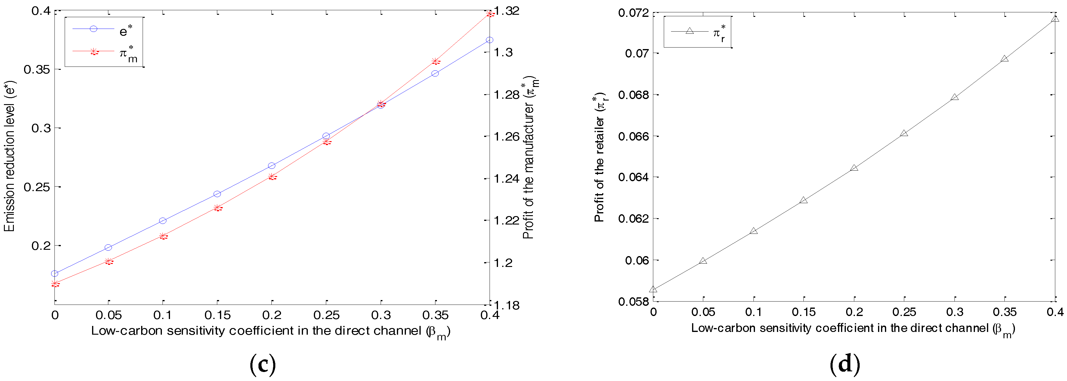
Similar to Figure 3 and Figure 5 also shows the effects of consumers’ low-carbon preference on firm’s emission reduction level and profits, where it is set to be p = 0.2 . In Figure 5a,b, we set β m = 0.3 and β m < β r < 1 . It can be seen that with the rise in β r , the manufacturer’s emission reduction level and its profit increase. And so does the retailer’s profit. In Figure 5c,d, we set β r = 0.4 and 0 < β m < β r . It can be seen that with the rise in β m , the manufacturer’s emission reduction level and its profit increase. And so does the retailer’s profit. But the profit growth rate of the retailer gets smaller and smaller. In fact, if β m is high enough, the retailer’s profit may even decrease with β m , since the retailer faces strong channel competition and has no product price advantage. However, based on Figure 5b,d, it is easy to see that the impact of β r on the retailer’s profit is significantly greater than β m . Thus, improving consumers’ low-carbon preference always benefits the retailer.

6. Conclusions

The reduction of carbon emissions has been the global consensus. And introducing e-commerce into the low-carbon supply chain is becoming a trend. This paper focuses on the impacts of cap-and-trade regulation and consumers’ low-carbon preference on carbon emission reduction in the framework of dual-channel supply chain. We also discuss the pricing strategies and the profits for the supply chain members. The discussions are performed in two cases.
In the first case, the initial proportion of consumers who prefer the online direct channel is “larger”. “Larger” is not simply judged by 1/2, but also related to the gap between the low-carbon sensibilities in the direct channel and the retail channel. At this point, the manufacturer could set the direct sale price of low-carbon products higher than the wholesale price. In the second case, the initial proportion of consumers who prefer the traditional retail channel is “larger”. At this point, the manufacturer could set the direct sale price of low-carbon products equal to the wholesale price.
These results can offer useful product marketing insights for firms. For the products whose consuming objections mainly concentrate on young consumers or the consumer groups who are used to shopping online, their direct sale price could be set higher than their wholesale price. For the products whose consuming objections mainly concentrate on old consumers or the consumer groups who are used to shopping in stores, their direct sale price could be set equal to their wholesale price. And the channel preference under low-carbon environment should be corrected by the differentiation of channel low-carbon sensibilities.
Moreover, in any case, both tighter cap-and-trade regulation and higher low-carbon preference stimulate the manufacturer to reduce carbon emissions in its production process. However, improving low-carbon preference is more acceptable to the supply chain members. It is always profitable for the manufacturer and the retailer. In contrast, with the rise in carbon price, the firm’s profit decreases first and then increases. Specially, it is much later for the manufacturer to start increasing trend in its profit. In short, the higher carbon price may benefit the firm only when the clean production level is relatively high. In practice, the carbon price does not rise high enough to reduce large-scale emissions with low-carbon technology adoption.
The findings provide useful suggestions for government and firms to promote low-carbon production. For government, “low-carbon preference” should be used as a policy instrument. The benefits are: First, this policy can fundamentally transform consumption patterns and reduce carbon emissions, which facilitates the sustainable economic development. Second, when “low-carbon preference” policy is implemented strongly, cap-and-trade regulation is acceptable for firms especially retailers, which in turn encourages firms to run with higher low-carbon degree. Thus, a virtuous cycle is formed. Some measures can be taken to improve the policy, enhancing low-carbon education for citizen and strengthening low-carbon propaganda through media included. For firms, they should give their full support to this policy and be spontaneous in the related actions, which makes them more profitable. In this way, government and firms can achieve a win-win situation. Our research is implicational and contributes to green supply chain management. However, there are some limitations which leave room for future research. First, this paper assumes all the information is common knowledge to firms. We could make a discussion under asymmetric information in the future. Second, this paper assumes all consumers have the same low-carbon sensibility in one channel. We could relax this assumption and consider the heterogeneity of consumers’ low-carbon preference. Third, this paper considers a simple supply chain consisting of one manufacturer and one retailer. An interesting extension is to consider multiple manufacturers, and thus take the impact of multiple manufacturers’ decisions on carbon price into account.

Acknowledgments

The authors acknowledge support from the National Nature Science Foundation of China (No. 71471070).

Author Contributions

Xiaoyan Wang developed the model and wrote the paper. All authors read and improved the final manuscript.

Conflicts of Interest

The authors declare no conflict of interest.

Appendix A

Backward induction is used to find the equilibrium of the Stackelberg game. Taking the second derivative of π r with respect to p r in Equation (5), we obtain: 2 π r p r 2 = 2 < 0 . Thus let π r p r = 0 , the retailer’s optimal response can be given by p r = ρ a + λ p m + β r e + w 2 . Then, taking the second derivative of π m with respect to w , p m and e in (7), the Hessian matrix is obtained:
H = ( 2 π m w 2 2 π m w p m 2 π m w e 2 π m p m w 2 π m p m 2 2 π m p m e 2 π m e w 2 π m e p m 2 π m e 2 ) = ( 1 λ β r p ( 1 λ ) 2 λ λ 2 2 λ 2 β r + β m ( 1 λ ) ( 2 + λ ) 2 p β r p ( 1 λ ) 2 λ 2 β r + β m ( 1 λ ) ( 2 + λ ) 2 p k + p ( 1 + λ ) β r + 2 p β m )
D 1 = 1 < 0
D 2 = | 1 λ λ λ 2 2 | = 2 ( 1 λ 2 ) > 0
D 3 = | H | = 2 ( 1 λ 2 ) [ 1 4 ( λ + 3 ) ( 1 λ ) p 2 + 1 2 β r p ( 1 + λ ) + β m p + β m 2 2 ( 1 λ 2 ) + β m β r λ 1 λ 2 + β r 2 ( λ 2 + 1 ) 4 ( 1 λ 2 ) k ]
H isn’t always negative definite since D 3 may be positive. Hence, π m isn’t jointly concave with w , p m and e . However, we can find π m is jointly concave with w and p m . Let π m / w = 0 and π m / p m = 0 , then we obtain w and p m with respect to e .
w = c + β r e + a λ + a ρ e p + e 0 p c λ 2 + e λ 2 p e 0 λ 2 p + β m e λ a λ ρ 2 ( 1 λ 2 )
p m = a + c + β m e a ρ e p + e 0 p c λ 2 + e λ 2 p e 0 λ 2 p + β r e λ + a λ ρ 2 ( 1 λ 2 )
p m w = a 2 a ρ + β m e β r e 2 ( 1 + λ )
Note that w can’t be higher than p m ; otherwise the retailer will buy the low-carbon products with p m . Thus, two cases are discussed. First, if p m > w , i.e., 0 < ρ < 1 2 ( β r β m ) e 2 a , w and p m are set as Equations (8) and (9). Second, if w p m , i.e., 1 2 ( β r β m ) e 2 a ρ < 1 , we set w = p m and the manufacturer actually has only two decision variables.
Proofs in Case 1.
Substituting Equations (8) and (9) into (7) and then taking the second derivative of π m with respect to e , we can obtain: 2 π m / e 2 > 0 for k < K and 2 π m / e 2 < 0 for k > K , where K = 1 4 ( λ + 3 ) ( 1 λ ) p 2 + 1 2 β r p ( 1 + λ ) + β m p + β m 2 2 ( 1 λ 2 ) + β m β r λ 1 λ 2 + β r 2 ( λ 2 + 1 ) 4 ( 1 λ 2 ) . So if k K , there is no extreme point. And π m ( e 0 ) > π m ( 0 ) . Thus, e = e 0 for k K .
In the following, we focus on the case of k > K . Let π m / e = 0 , then we get: e = a M N 4 ( k K ) , where M = 2 β m ( 1 ρ + λ ρ ) 1 λ 2 + β r ρ ( 1 λ ) 1 + λ + 2 β r λ 1 λ 2 + p ( 2 ρ + λ ρ ) and N = ( λ + 3 ) ( 1 λ ) ( e 0 p + c ) p + 2 β m ( c + e 0 p ) + β r ( c + e 0 p ) ( 1 + λ ) .
e p = ( 2 ρ + λ ρ ) a ( λ + 3 ) ( 1 λ ) ( 2 e 0 p + c ) [ 2 β m + ( 1 + λ ) β r ] e 0 4 ( k K )   + ( a M N ) [ 2 β m + ( 1 + λ ) β r + ( λ + 3 ) ( 1 λ ) p ] 8 ( k K ) 2 > 0
e β m = ( 1 ρ + λ ρ ) a ( e 0 p + c ) ( 1 λ 2 ) 2 ( 1 λ 2 ) ( k K ) + ( a M N ) [ p ( 1 λ 2 ) + β m + β r λ ] 4 ( 1 λ 2 ) ( k K ) 2 > 0
e β r = 2 a λ + a ρ ( 1 λ 2 ) ( e 0 p + c ) ( 1 λ 2 ) ( 1 + λ ) 4 ( 1 λ 2 ) ( k K ) + ( a M N ) [ p ( 1 + λ ) ( 1 λ 2 ) + ( 1 + λ 2 ) β r + 2 λ β m ] 8 ( 1 λ 2 ) ( k K ) 2 > 0
Substituting e into Equations (8), (9) and (6), we can obtain w , p m and p r . Then substituting these into Equations (4) and (5), we obtain π m and π r .
π m p = ( ρ a p r + λ p m + β r e ) [ 1 2 ( e 0 e p e p ) + λ β m + β r 2 ( 1 λ 2 ) e p ] + [ w c p ( e 0 e ) ] [ 1 λ 4 ( e 0 e p e p ) + β r 4 e p ] + [ ( 1 ρ ) a p m + λ p r + β m e ] [ 1 2 ( e 0 e p e p ) + β m + λ β r 2 ( 1 λ 2 ) e p ] + [ p m c p ( e 0 e ) ] [ ( 1 λ ) ( λ + 2 ) 4 ( e 0 e p e p ) + β m 2 e p + λ β r 4 e p ] k e e p + A
π m β m = ( ρ a p r + λ p m + β r e ) [ 1 2 p e β m + λ β m + β r 2 ( 1 λ 2 ) e β m + λ e 2 ( 1 λ 2 ) ] + [ ( 1 ρ ) a p m + λ p r + β m e ] [ 1 2 p e β m + β m + λ β r 2 ( 1 λ 2 ) e β m + e 2 ( 1 λ 2 ) ] + [ w c p ( e 0 e ) ] [ 1 λ 4 p e β m + 1 4 β r e β m ] + [ p m c p ( e 0 e ) ] [ ( 1 λ ) ( 2 + λ ) 4 p e β m + λ β r 4 e β m + 1 2 β m e β m + 1 2 e ] k e e β m
π m β r = ( ρ a p r + λ p m + β r e ) [ 1 2 p e β r + λ β m + β r 2 ( 1 λ 2 ) e β r + e 2 ( 1 λ 2 ) ] + [ ( 1 ρ ) a p m + λ p r + β m e ] [ 1 2 p e β r + β m + λ β r 2 ( 1 λ 2 ) e β r + λ e 2 ( 1 λ 2 ) ] + [ w c p ( e 0 e ) ] [ 1 λ 4 p e β r + ( 3 λ + 1 ) e 4 ( 1 + λ ) + 1 4 β r e β r ] + [ p m c p ( e 0 e ) ] [ ( 1 λ ) ( 2 + λ ) 4 p e β r + λ β r 4 e β r + λ 4 e + 1 2 β m e β r ] k e e β r
It can be seen that there exists e ¯ [ 0 , e 0 ] such that π m / p < 0 for 0 e < e ¯ and π m / p > 0 for e ¯ < e e 0 . In addition, π m / β m > 0 and π m / β r > 0 .
π r p = ( ρ a w + λ p m + β r e ) [ 1 λ 4 ( e 0 e p e p ) + β r 4 e p ]
It can be seen that there exists e [ 0 , e 0 ] such that π r / p < 0 for 0 e < e and π r / p > 0 for e < e e 0 . And if e ¯ < e e 0 , we get π r / p > 0 . So it is satisfied that e [ 0 , e ¯ ] .
π r β m = ( ρ a w + λ p m + β r e ) ( 1 λ 4 p + β r 4 ) e β m > 0
π r β r = ( ρ a w + λ p m + β r e ) [ 1 λ 4 p e β r + 1 4 ( e + β r e β r ) ] > 0
Proofs in Case 2.
Setting p m equal to w in (7) and then taking the second derivative of π m with respect to w and e , the Hessian matrix is obtained:
L = ( 2 π m w 2 2 π m e w 2 π m w e 2 π m e 2 ) = ( ( 3 2 λ λ 2 ) 1 + λ 2 β r + β m 3 2 λ λ 2 2 p 1 + λ 2 β r + β m 3 2 λ λ 2 2 p k + p ( ( 1 + λ ) β r + 2 β m ) )
It can be found that π m isn’t jointly concave with w and e , but π m is concave with w . Let π m / w = 0 , then we obtain w with respect to e .
w = p m = [ β m + ( 1 + λ ) β r 2 ] e + ( 1 ρ 2 + λ ρ 2 ) a ( λ + 3 ) ( 1 λ ) + 1 2 c + 1 2 p ( e 0 e )
Substituting Equation (12) into (7) and then taking the second derivative of π m with respect to e , we can obtain: 2 π m / e 2 > 0 for k < K ˜ and 2 π m / e 2 < 0 for k > K ˜ , where K ˜ = 1 4 ( λ + 3 ) ( 1 λ ) p 2 + 2 β m + ( 1 + λ ) β r 2 p + 4 β m 2 + 4 ( λ + 1 ) β m β r + ( λ + 1 ) 2 β r 2 4 ( λ + 3 ) ( 1 λ ) . So if k K ˜ , there is no extreme point. And π m ( e 0 ) > π m ( 0 ) . Thus, e = e 0 for k K ˜ .
In the following, we focus on the case of k > K ˜ . Let π m / e = 0 , then we get: e = U V 4 ( k K ˜ ) , where U = 2 β m + ( 1 + λ ) β r ( λ + 3 ) ( 1 λ ) + p and V = ( 2 ρ + λ ρ ) a ( λ + 3 ) ( 1 λ ) ( c + e 0 p ) .
e p = V ( λ + 3 ) ( 1 λ ) e 0 U 4 ( k K ˜ ) + ( λ + 3 ) ( 1 λ ) U 2 V 8 ( k K ˜ ) 2 > 0
e β m = V 2 ( λ + 3 ) ( 1 λ ) ( k K ˜ ) + U 2 V 4 ( k K ˜ ) 2 > 0
e β r = ( λ + 1 ) V 4 ( λ + 3 ) ( 1 λ ) ( k K ˜ ) + ( λ + 1 ) U 2 V 8 ( k K ˜ ) 2 > 0
Substituting e into Equations (12) and (6), we can obtain w = p m and p r . Then substituting these into Equations (4) and (5), we obtain π m and π r .
π m p = [ 2 ( 1 λ ) ρ 2 a ( 1 λ ) ( 3 + λ ) 2 w + 1 + λ 2 β r e + β m e ] [ 2 β m + ( 1 + λ ) β r 2 ( λ + 3 ) ( 1 λ ) e p 1 2 ( e 0 e p e p ) ] + [ w c p ( e 0 e ) ] [ 2 β m + ( 1 + λ ) β r 4 e p ( 1 λ ) ( 3 + λ ) 4 ( e 0 e p e p ) ] + A k e e p
π m β m = [ 2 ( 1 λ ) ρ 2 a ( 1 λ ) ( 3 + λ ) 2 w + 1 + λ 2 β r e + β m e ] [ 2 β m + ( 1 + λ ) β r 2 ( λ + 3 ) ( 1 λ ) e β m + e ( λ + 3 ) ( 1 λ ) + 1 2 p e β m ] + [ w c p ( e 0 e ) ] [ 2 β m + ( 1 + λ ) β r 4 e β m + 1 2 e + ( 1 λ ) ( 3 + λ ) 4 p e β m ] k e e β m
π m β r = [ 2 ( 1 λ ) ρ 2 a ( 1 λ ) ( 3 + λ ) 2 w + 1 + λ 2 β r e + β m e ] [ 2 β m + ( 1 + λ ) β r 2 ( λ + 3 ) ( 1 λ ) e β r + ( 1 + λ ) e 2 ( λ + 3 ) ( 1 λ ) + 1 2 p e β r ] + [ w c p ( e 0 e ) ] [ 2 β m + ( 1 + λ ) β r 4 e β r + 1 + λ 4 e + ( 1 λ ) ( 3 + λ ) 4 p e β r ] k e e β r
It can be seen that there exists e ˜ [ 0 , e 0 ] such that π m / p < 0 for 0 e < e ˜ and π m / p > 0 for e ˜ < e e 0 . In addition, π m / β m > 0 and π m / β r > 0 .
π r p = [ ρ a ( 1 λ ) w + β r e ] [ β m 2 ( λ + 3 ) e p + ( λ + 5 ) β r 4 ( λ + 3 ) e p 1 λ 4 ( e 0 e p e p ) ]
It can be seen that there exists e [ 0 , e 0 ] such that π r / p < 0 for 0 e < e and π r / p > 0 for e < e e 0 . And if e ˜ < e e 0 , we get π r / p > 0 . So it is satisfied that e [ 0 , e ˜ ] .
π r β m = [ ρ a ( 1 λ ) w + β r e ] [ ( λ + 5 ) β r 2 β m 4 ( λ + 3 ) e β m e 2 ( λ + 3 ) + 1 λ 4 p e β m ]
π r β r = [ ρ a ( 1 λ ) w + β r e ] [ ( λ + 5 ) β r 2 β m 4 ( λ + 3 ) e β r + ( λ + 5 ) e 4 ( λ + 3 ) + 1 λ 4 p e β r ] > 0
π m β m + π r β r = [ ρ a ( 1 λ ) w + β r e ] [ ( ( λ + 5 ) β r 2 β m 4 ( λ + 3 ) + 1 λ 4 p ) ( e β m + e β r ) + ( λ + 3 ) e 4 ( λ + 3 ) ] > 0
It can be seen that π r / β m < 0 is possible when e is large enough. However, we confirm that π r / β r > 0 and π r / β m + π r / β r > 0 .

References

  1. Wang, X.; Xue, M.; Xing, L. Market-based pollution regulations with damages varying across space: When the adoption of clean technology is socially optimal. Adv. Manag. Appl. Econ. 2018, 8, 67–85. [Google Scholar]
  2. Du, S.; Ma, F.; Fu, Z.; Zhu, L.; Zhang, J. Game-theoretic analysis for an emission-dependent supply chain in a ‘cap-and-trade’ system. Ann. Oper. Res. 2015, 228, 135–149. [Google Scholar] [CrossRef]
  3. Du, S.; Hu, L.; Song, M. Production optimization considering environmental performance and preference in the cap-and-trade system. J. Clean. Prod. 2016, 112, 1600–1607. [Google Scholar] [CrossRef]
  4. Chesney, M.; Gheyssens, J.; Pana, A.C.; Taschini, L. Environmental Finance and Investments, 2nd ed.; Springer: Berlin, Germany, 2016; pp. 26–39. [Google Scholar]
  5. European Commission. Europeans’ Attitudes towards the Issue of Sustainable Consumption and Production; Flash Eurobarometer 256; EC: Brussels, Belgium, 2009. [Google Scholar]
  6. Chitra, K. In search of the green consumers: A perceptual study. J. Serv. Res. 2007, 7, 173–191. [Google Scholar]
  7. Du, S.; Tang, W.; Song, M. Low-carbon production with low-carbon premium in cap-and-trade regulation. J. Clean. Prod. 2016, 134, 652–662. [Google Scholar] [CrossRef]
  8. Moon, W.; Florkowski, W.J.; Brückner, B.; Schonhof, I. Willingness to pay for environmental practices: Implications for eco-labeling. Land Econ. 2002, 78, 88–102. [Google Scholar] [CrossRef]
  9. Dumrongsiri, A.; Fan, M.; Jain, A.; Moinzadeh, K. A supply chain model with direct and retail channel. Eur. J. Oper. Res. 2008, 187, 691–718. [Google Scholar] [CrossRef]
  10. Dubey, R.; Gunasekaran, A.; Papadopoulos, T. Green supply chain management: Theoretical framework and further research directions. Benchmarking Int. J. 2017, 24, 184–218. [Google Scholar] [CrossRef]
  11. Green, K.W., Jr.; Zelbst, P.J.; Meacham, J.; Bhadauria, V.S. Green supply chain management practices: Impact on performance. Supply Chain Manag. Int. J. 2012, 17, 290–305. [Google Scholar] [CrossRef]
  12. Dubey, R.; Gunasekaran, A.; Papadopoulos, T.; Childe, S.J.; Shibin, K.T.; Wamba, S.F. Sustainable supply chain management: Framework and further research directions. J. Clean. Prod. 2017, 142, 1119–1130. [Google Scholar] [CrossRef]
  13. Dubey, R.; Bag, S.; Ali, S.S.; Venkatesh, V.G. Green purchasing is key to superior performance: An empirical study. Int. J. Procure Manag. 2013, 6, 187–210. [Google Scholar] [CrossRef]
  14. Pålsson, H.; Johansson, O. Reducing transportation emissions: Company intentions, barriers and discriminating factors. Benchmarking Int. J. 2016, 23, 674–703. [Google Scholar] [CrossRef]
  15. Gautam, P.; Khanna, A. An imperfect production inventory model with setup cost reduction and carbon emission for an integrated supply chain. Uncertain Supply Chain Manag. 2018, 6, 271–286. [Google Scholar] [CrossRef]
  16. Dhull, S.; Narwal, M.S. Drivers and barriers in green supply chain management adaptation: A state-of-art review. Uncertain Supply Chain Manag. 2016, 4, 61–76. [Google Scholar] [CrossRef]
  17. Centobelli, P.; Cerchione, R.; Esposito, E. Environmental sustainability in the service industry of transportation and logistics service providers: Systematic literature review and research directions. Transp. Res. Part D 2017, 53, 454–470. [Google Scholar] [CrossRef]
  18. Centobelli, P.; Cerchione, R.; Esposito, E. Developing the WH2 framework for environmental sustainability in logistics service providers: A taxonomy of green initiatives. J. Clean. Prod. 2017, 165, 1063–1077. [Google Scholar] [CrossRef]
  19. Savaskan, R.C.; Bhattacharya, S.; Wassenhove, L.N.V. Closed-loop supply chain models with product remanufacturing. Manag. Sci. 2004, 50, 239–252. [Google Scholar] [CrossRef]
  20. Fang, X.; Du, Y.; Qiu, Y. Reducing carbon emissions in a closed-loop production routing problem with simultaneous pickups and deliveries under carbon cap-and-trade. Sustainability 2017, 9, 2198. [Google Scholar] [CrossRef]
  21. Baines, T.; Brown, S.; Benedettini, O.; Ball, P. Examining green production and its role within the competitive strategy of manufacturers. J. Int. Eng. Manag. 2012, 5, 53–87. [Google Scholar] [CrossRef]
  22. Asadi, E.; Sadjadi, S.J. Optimization methods applied to renewable and sustainable energy: A review. Uncertain Supply Chain Manag. 2017, 5, 1–26. [Google Scholar] [CrossRef]
  23. Liu, B.; Li, T.; Tsai, S. Low carbon strategy analysis of competing supply chains with different power structures. Sustainability 2017, 9, 835. [Google Scholar]
  24. Yu, W.; Han, R. Coordinating a two-echelon supply chain under carbon tax. Sustainability 2017, 9, 2360. [Google Scholar] [CrossRef]
  25. Wang, Q.; Zhao, D.; He, L. Contracting emission reduction for supply chains considering market low-carbon preference. J. Clean. Prod. 2016, 120, 72–84. [Google Scholar] [CrossRef]
  26. Seliger, G.; Kim, H.; Kernbaum, S.; Zettl, M. Approaches to sustainable manufacturing. Int. J. Sustain. Manuf. 2008, 1, 58–77. [Google Scholar] [CrossRef]
  27. Rahimifard, S.; Clegg, A.J. Aspects of sustainable design and manufacture. Int. J. Prod. Res. 2007, 45, 4013–4019. [Google Scholar]
  28. Du, S.; Zhu, L.; Liang, L.; Ma, F. Emission-dependent supply chain and environment-policy-making in the ‘cap-and-trade’ system. Energy Policy 2013, 57, 61–67. [Google Scholar] [CrossRef]
  29. Xia, L.; Guo, T.; Qin, J.; Yue, X.; Zhu, N. Carbon emission reduction and pricing policies of a supply chain considering reciprocal preferences in cap-and-trade system. Ann. Oper. Res. 2017, in press. [Google Scholar] [CrossRef]
  30. Yang, L.; Zhang, Q.; Ji, J. Pricing and carbon emission reduction decisions in supply chains with vertical and horizontal cooperation. Int. J. Prod. Econ. 2017, 191, 286–297. [Google Scholar] [CrossRef]
  31. Qin, J.; Ren, L.; Xia, L. Carbon emission reduction and pricing strategies of supply chain under various demand forecasting scenarios. Asia Pac. J. Oper. Res. 2017, 34, 1–27. [Google Scholar] [CrossRef]
  32. Liu, Z.; Anderson, T.D.; Cruz, J.M. Consumer environmental awareness and competition in two-stage supply chains. Eur. J. Oper. Res. 2012, 218, 602–613. [Google Scholar] [CrossRef]
  33. Du, S.; Zhu, J.; Jiao, H.; Ye, W. Game-theoretical analysis for supply chain with consumer preference to low carbon. Int. J. Prod. Res. 2015, 53, 3753–3768. [Google Scholar] [CrossRef]
  34. Chiang, W.K.; Chhajed, D.; Hess, J.D. Direct marketing, indirect profits: A strategic analysis of dual-channel supply-chain design. Manag. Sci. 2003, 49, 1–20. [Google Scholar] [CrossRef]
  35. Hua, G.; Wang, S.; Cheng, T.C.E. Price and lead time decisions in dual-channel supply chains. Eur. J. Oper. Res. 2010, 205, 113–126. [Google Scholar] [CrossRef]
  36. Dan, B.; Xu, G.; Liu, C. Pricing policies in a dual-channel supply chain with retail services. Int. J. Prod. Econ. 2012, 139, 312–320. [Google Scholar] [CrossRef]
  37. Xu, H.; Liu, Z.; Zhang, S. A strategic analysis of dual-channel supply chain design with price and delivery lead time considerations. Int. J. Prod. Econ. 2012, 139, 654–663. [Google Scholar] [CrossRef]
  38. Chen, J.; Zhang, H.; Sun, Y. Implementing coordination contracts in a manufacturer Stackelberg dual-channel supply chain. Omega 2012, 40, 571–583. [Google Scholar] [CrossRef]
  39. Xiao, T.; Shi, J. Pricing and supply priority in a dual-channel supply chain. Eur. J. Oper. Res. 2016, 254, 813–823. [Google Scholar] [CrossRef]
  40. Chen, J.; Liang, L.; Yao, D.; Sun, S. Price and quality decisions in dual-channel supply chains. Eur. J. Oper. Res. 2017, 259, 935–948. [Google Scholar] [CrossRef]
  41. Chen, S.; Wang, X.; Wu, Y.; Zhou, F. Pricing policies of a dual-channel supply chain considering channel environmental sustainability. Sustainability 2017, 9, 382. [Google Scholar] [CrossRef]
  42. Edwards, J.; McKinnon, A.; Cullinane, S. Comparative carbon auditing of conventional and online retail supply chains: A review of methodological issues. Supply Chain Manag. 2011, 16, 57–63. [Google Scholar] [CrossRef]
  43. Carrillo, J.E.; Vakharia, A.J.; Wang, R. Environmental implications for online retailing. Eur. J. Oper. Res. 2014, 239, 744–755. [Google Scholar] [CrossRef]
  44. Loon, P.V.; Deketele, L.; Dewaele, J.; McKinnon, A.; Rutherford, C. A comparative analysis of carbon emissions from online retailing of fast moving consumer goods. J. Clean. Prod. 2015, 106, 478–486. [Google Scholar] [CrossRef]
  45. Ji, J.; Zhang, Z.; Yang, L. Comparisons of initial carbon allowance allocation rules in an O2O retail supply chain with the cap-and-trade regulation. Int. J. Prod. Econ. 2017, 187, 68–84. [Google Scholar] [CrossRef]
  46. Li, B.; Zhu, M.; Jiang, Y.; Li, Z. Pricing policies of a competitive dual-channel green supply chain. J. Clean. Prod. 2016, 112, 2029–2042. [Google Scholar] [CrossRef]
  47. Ji, J.; Zhang, Z.; Lei, Y. Carbon emission reduction decisions in the retail-/dual-channel supply chain with consumers’ preference. J. Clean. Prod. 2017, 141, 852–867. [Google Scholar] [CrossRef]
Figure 1. The supply chain structure.
Figure 1. The supply chain structure.
Sustainability 10 00580 g001
Figure 2. Effects of carbon price when ρ = 0.4 . (a) Effects of carbon price on manufacturer’s carbon emission reduction and profit; (b) Effects of carbon price on retailer’s profit.
Figure 2. Effects of carbon price when ρ = 0.4 . (a) Effects of carbon price on manufacturer’s carbon emission reduction and profit; (b) Effects of carbon price on retailer’s profit.
Sustainability 10 00580 g002
Figure 3. Effects of consumers’ low-carbon preference when ρ = 0.4 . (a) Effects of β r on manufacturer’s carbon emission reduction and profit; (b) Effects of β r on retailer’s profit; (c) Effects of β m on manufacturer’s carbon emission reduction and profit; (d) Effects of β m on retailer’s profit.
Figure 3. Effects of consumers’ low-carbon preference when ρ = 0.4 . (a) Effects of β r on manufacturer’s carbon emission reduction and profit; (b) Effects of β r on retailer’s profit; (c) Effects of β m on manufacturer’s carbon emission reduction and profit; (d) Effects of β m on retailer’s profit.
Sustainability 10 00580 g003aSustainability 10 00580 g003b
Figure 4. Effects of carbon price when ρ = 0.6 . (a) Effects of carbon price on manufacturer’s carbon emission reduction and profit; (b) Effects of carbon price on retailer’s profit.
Figure 4. Effects of carbon price when ρ = 0.6 . (a) Effects of carbon price on manufacturer’s carbon emission reduction and profit; (b) Effects of carbon price on retailer’s profit.
Sustainability 10 00580 g004
Figure 5. Effects of consumers’ low-carbon preference when ρ = 0.6 . (a) Effects of β r on manufacturer’s carbon emission reduction and profit; (b) Effects of β r on retailer’s profit; (c) Effects of β m on manufacturer’s carbon emission reduction and profit; (d) Effects of β m on retailer’s profit.
Figure 5. Effects of consumers’ low-carbon preference when ρ = 0.6 . (a) Effects of β r on manufacturer’s carbon emission reduction and profit; (b) Effects of β r on retailer’s profit; (c) Effects of β m on manufacturer’s carbon emission reduction and profit; (d) Effects of β m on retailer’s profit.
Sustainability 10 00580 g005

Share and Cite

MDPI and ACS Style

Wang, X.; Xue, M.; Xing, L. Analysis of Carbon Emission Reduction in a Dual-Channel Supply Chain with Cap-And-Trade Regulation and Low-Carbon Preference. Sustainability 2018, 10, 580. https://doi.org/10.3390/su10030580

AMA Style

Wang X, Xue M, Xing L. Analysis of Carbon Emission Reduction in a Dual-Channel Supply Chain with Cap-And-Trade Regulation and Low-Carbon Preference. Sustainability. 2018; 10(3):580. https://doi.org/10.3390/su10030580

Chicago/Turabian Style

Wang, Xiaoyan, Minggao Xue, and Lu Xing. 2018. "Analysis of Carbon Emission Reduction in a Dual-Channel Supply Chain with Cap-And-Trade Regulation and Low-Carbon Preference" Sustainability 10, no. 3: 580. https://doi.org/10.3390/su10030580

APA Style

Wang, X., Xue, M., & Xing, L. (2018). Analysis of Carbon Emission Reduction in a Dual-Channel Supply Chain with Cap-And-Trade Regulation and Low-Carbon Preference. Sustainability, 10(3), 580. https://doi.org/10.3390/su10030580

Note that from the first issue of 2016, this journal uses article numbers instead of page numbers. See further details here.

Article Metrics

Back to TopTop