Effects of Irrigation Regime and Nitrogen Fertilizer Management on CH4, N2O and CO2 Emissions from Saline–Alkaline Paddy Fields in Northeast China
Abstract
:1. Introduction
2. Materials and Methods
2.1. Site Description
2.2. Experimental Design
2.3. Emissions Measurements
2.4. Soil Properties Analysis
2.5. Calculation of CH4, N2O and CO2 Emission
2.6. Statistical Analysis
3. Results
3.1. GHG Emissions under IF and CF Regime
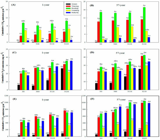
3.2. GHG Emissions under Fertilizer N Addition
3.3. Area-Scaled Global Warming Potential
4. Discussion
4.1. Seasonal Emissions of CH4, N2O and CO2
4.2. Effects of Irrigation Regimes on GHG Emissions
4.3. Impacts of N Fertilization Rate on Regulating GHG Emissions
4.4. Relationships between GHG Emissions and Tillage Year
5. Conclusions
Acknowledgments
Author Contributions
Conflicts of Interest
References
- Burney, J.A.; Davis, S.J.; Lobell, D.B. Greenhouse gas mitigation by agricultural intensification. Proc. Natl. Acad. Sci. USA 2010, 107, 12052–12057. [Google Scholar] [CrossRef] [PubMed]
- Linquist, B.; Van Groenigen, K.J.; Adviento-Borbe, M.A.; Pittelkow, C.; Van Kessel, C. An agronomic assessment of greenhouse gas emissions from major cereal crops. Glob. Chang. Biol. 2012, 18, 194–209. [Google Scholar] [CrossRef]
- Stocker, T.F.; Qin, D.; Plattner, G.-K.; Tignor, M.; Allen, S.K.; Boschung, J.; Nauels, A.; Xia, Y.; Bex, V.; Midgley, P.M. The Physical Science Basis. Contribution of Working Group I to the Fifth Assessment Report of the Intergovernmental Panel on Climate Change; Cambridge University Press: Cambridge, UK, 2013; ISBN 9781107661820. [Google Scholar]
- Yao, Z.; Zheng, X.; Dong, H.; Wang, R.; Mei, B.; Zhu, J. A 3-year record of N2O and CH4 emissions from a sandy loam paddy during rice seasons as affected by different nitrogen application rates. Agric. Ecosyst. Environ. 2012, 152, 1–9. [Google Scholar] [CrossRef]
- Serrano-Silva, N.; Sarria-Guzmán, Y.; Dendooven, L.; Luna-Guido, M. Methanogenesis and Methanotrophy in Soil: A Review. Pedosphere 2014, 24, 291–307. [Google Scholar] [CrossRef]
- Alley, R.B.; Berntsen, T.; Bindoff, N.L.; Chen, Z.; Chidthaisong, A.; Friedlingstein, P.; Gregory, J.M.; Hegerl, G.C.; Heimann, M.; Hewitson, B.; et al. The Physical Science Basis. Contribution of Working Group I to the Fourth Assessment Report of the Intergovernmental Panel on Climate Change; Cambridge University Press: Cambridge, UK, 2007; p. 18. ISBN 9291691216. [Google Scholar]
- Rowlings, D.W.; Grace, P.R.; Kiese, R.; Weier, K.L. Environmental factors controlling temporal and spatial variability in the soil-atmosphere exchange of CO2, CH4 and N2O from an Australian subtropical rainforest. Glob. Chang. Biol. 2012, 18, 726–738. [Google Scholar] [CrossRef]
- Ibrahim, M.; Cao, C.G.; Zhan, M.; Li, C.F.; Iqbal, J. Changes of CO2 emission and labile organic carbon as influenced by rice straw and different water regimes. Int. J. Environ. Sci. Technol. 2015, 12, 263–274. [Google Scholar] [CrossRef]
- Yang, P.; He, Q.; Huang, J.; Tong, C. Fluxes of greenhouse gases at two different aquaculture ponds in the coastal zone of southeastern China. Atmos. Environ. 2015, 115, 269–277. [Google Scholar] [CrossRef]
- Conrad, R. Microbiological and Biochemical Background of Production and Consumption of NO and N2O in Soil; Springer: Dordrecht, The Netherlands, 2002. [Google Scholar]
- Zheng, X.; Wang, M.; Wang, Y.; Shen, R.; Gou, J.; Li, J.; Jin, J.; Li, L. Impacts of soil moisture on nitrous oxide emission from croplands: A case study on the rice-based agro-ecosystem in Southeast China. Chemosphere Glob. Chang. Sci. 2000, 2, 207–224. [Google Scholar] [CrossRef]
- Bhowmik, A.; Cloutier, M.; Ball, E.; Bruns, M.A. Underexplored Microbial Metabolisms for Enhanced nutrient cycling in agricultural Soils. AIMS Microbiol. 2017, 3, 826–845. [Google Scholar] [CrossRef]
- Linn, D.M.; Doran, J.M. Effect of water filled pore space on carbon dioxide and nitrous oxide production in tilled and non-tilled soil. Soil Sc. Soc. Am. J. 1984, 48, 1267–1272. [Google Scholar] [CrossRef]
- Firestone, M.K.; Davidson, E.A. Microbiological basis of NO and N2O production and consumption in soil. In Exchange of Trace Gases between Terrestrial Ecosystems and the Atmosphere; Wiley: New York, NY, USA, 1989; Volume 47, pp. 7–21. [Google Scholar]
- Bhowmik, A.; Fortuna, A.M.; Cihacek, L.J.; Rahman, S.; Borhan, M.S.; Carr, P.M. Use of laboratory incubation techniques to estimate greenhouse gas footprints from conventional and no-tillage organic agroecosystems. Soil Biol. Biochem. 2017, 112, 204–215. [Google Scholar] [CrossRef]
- Liu, Y.; Jiang, W.L.; Xiao, B.L.; Lei, B. Observed climatic variations in the growing season of field crops in northeast China from 1992 to 2012. J. Integr. Agric. 2014, 13, 1451–1461. [Google Scholar] [CrossRef]
- Watanabe, A.; Machida, N.; Takahashi, K.; Kitamura, S.; Kimura, M.T. Flow of photosynthesized carbon from rice plants into the paddy soil ecosystem at different stages of rice growth. Plant Soil 2004, 258, 151–160. [Google Scholar] [CrossRef]
- Kögel-Knabner, I.; Amelung, W.; Cao, Z.; Fiedler, S.; Frenzel, P.; Jahn, R.; Kalbitz, K.; Kölbl, A.; Schloter, M. Biogeochemistry of paddy soils. Geoderma 2010, 157, 1–14. [Google Scholar] [CrossRef]
- Corton, T.M.; Bajita, J.B.; Grospe, F.S.; Pamplona, R.R.; Assis, J.A.; Wassmann, R.; Lantin, R.S.; Buendia, L.V. Methane emission from irrigated and intensively managed rice fields in Central Luzon (Philippines). Nutr. Cycl. Agroecosyst. 2000, 58, 37–53. [Google Scholar] [CrossRef]
- Yan, X.; Yagi, K.; Akiyama, H.; Akimoto, H. Statistical analysis of the major variables controlling methane emission from rice fields. Glob. Chang. Biol. 2005, 11, 1131–1141. [Google Scholar] [CrossRef]
- Li, X.; Yuan, W.; Xu, H.; Cai, Z.; Yagi, K. Effect of timing and duration of midseason aeration on CH4 and N2O emissions from irrigated lowland rice paddies in China. Nutr. Cycl. Agroecosyst. 2011, 91, 293–305. [Google Scholar] [CrossRef]
- Wang, W.J.; Reeves, S.H.; Salter, B.; Moody, P.W.; Dalal, R.C. Effects of urea formulations, application rates and crop residue retention on N2O emissions from sugarcane fields in Australia. Agric. Ecosyst. Environ. 2016, 216, 137–146. [Google Scholar] [CrossRef]
- Zhu, Z.; Xiong, Z.; Xing, G. Impacts of population growth and economic development on the nitrogen cycle in Asia. Sci. China Ser. C Life Sci. 2005, 48 (Suppl. 2), 729–737. [Google Scholar]
- Snyder, C.S.; Bruulsema, T.W.; Jensen, T.L.; Fixen, P.E. Review of greenhouse gas emissions from crop production systems and fertilizer management effects. Agric. Ecosyst. Environ. 2009, 133, 247–266. [Google Scholar] [CrossRef]
- Linquist, B.A.; Adviento-Borbe, M.A.; Pittelkow, C.M.; van Kessel, C.; van Groenigen, K.J. Fertilizer management practices and greenhouse gas emissions from rice systems: A quantitative review and analysis. Field Crops Res. 2012, 135, 10–21. [Google Scholar] [CrossRef]
- Zheng, X.; Han, S.; Huang, Y.; Wang, Y.; Wang, M. Re-quantifying the emission factors based on field measurements and estimating the direct N2O emission from Chinese croplands. Glob. Biogeochem. Cycles 2004, 18, 1–19. [Google Scholar] [CrossRef]
- Cheng-Fang, L.; Dan-Na, Z.; Zhi-Kui, K.; Zhi-Sheng, Z.; Jin-Ping, W.; Ming-Li, C.; Cou-Gui, C. Effects of tillage and nitrogen fertilizers on CH4 and CO2 emissions and soil organic carbon in paddy fields of central China. PLoS ONE 2012, 7, e34642. [Google Scholar] [CrossRef] [PubMed]
- Zhang, X.; Yin, S.; Li, Y.; Zhuang, H.; Li, C.; Liu, C. Comparison of greenhouse gas emissions from rice paddy fields under different nitrogen fertilization loads in Chongming Island, Eastern China. Sci. Total Environ. 2014, 472, 381–388. [Google Scholar] [CrossRef] [PubMed]
- Zhong, Y.; Wang, X.; Yang, J.; Zhao, X.; Ye, X. Exploring a suitable nitrogen fertilizer rate to reduce greenhouse gas emissions and ensure rice yields in paddy fields. Sci. Total Environ. 2016, 565, 420–426. [Google Scholar] [CrossRef] [PubMed]
- Banger, K.; Tian, H.Q.; Lu, C.Q. Do nitrogen fertilizers stimulate or inhibit methane emissions from rice fields? Glob. Chang. Biol. 2012, 18, 3259–3267. [Google Scholar] [CrossRef] [PubMed]
- Cai, Z.C.; Tsuruta, H.; Minami, K. Methane emission from rice fields in China: Measurements and influencing factors. Journal of Geophysical Research Atmospheres. 2000, 105, 231–242. [Google Scholar] [CrossRef]
- Tang, X.; Liu, S.; Zhou, G.; Zhang, D.; Zhou, C. Soil-atmospheric exchange of CO2, CH4, and N2O in three subtropical forest ecosystems in southern China. Glob. Chang. Biol. 2006, 12, 546–560. [Google Scholar] [CrossRef]
- Liu, H.; Zhao, P.; Lu, P.; Wang, Y.S.; Lin, Y.B.; Rao, X.Q. Greenhouse gas fluxes from soils of different land-use types in a hilly area of South China. Agric. Ecosyst. Environ. 2008, 124, 125–135. [Google Scholar] [CrossRef]
- Shrivastava, P.; Kumar, R. Soil salinity: A serious environmental issue and plant growth promoting bacteria as one of the tools for its alleviation. Saudi J. Biol. Sci. 2015, 22, 123–131. [Google Scholar] [CrossRef] [PubMed]
- China Meteorological Data Service Center (CMDC). Data of Monthly Temperature and Precipitation (2012–2013). Available online: http://data.cma.cn/en (accessed on 25 January 2018).
- Liu, S.; Zhang, L.; Jiang, J.; Chen, N.; Yang, X.; Xiong, Z.; Zou, J. Methane and nitrous oxide emissions from rice seedling nurseries under flooding and moist irrigation regimes in Southeast China. Sci. Total Environ. 2012, 426, 166–171. [Google Scholar] [CrossRef] [PubMed]
- Wang, W.; Dalal, R.C.; Reeves, S.H.; Butterbach-Bahl, K.; Kiese, R. Greenhouse gas fluxes from an Australian subtropical cropland under long-term contrasting management regimes. Glob. Chang. Biol. 2011, 17, 3089–3101. [Google Scholar] [CrossRef]
- Andersen, J.M. An ignition method for determination of total phosphorus in lake sediments. Water Res. 1976, 10, 329–331. [Google Scholar] [CrossRef]
- Adviento-Borbe, M.A.A.; Linquist, B. Assessing fertilizer N placement on CH4 and N2O emissions in irrigated rice systems. Geoderma 2016, 266, 40–45. [Google Scholar] [CrossRef]
- Nigussie, A.; Bruun, S.; Kuyper, T.W.; de Neergaard, A. Delayed addition of nitrogen-rich substrates during composting of municipal waste: Effects on nitrogen loss, greenhouse gas emissions and compost stability. Chemosphere 2017, 166, 352–362. [Google Scholar] [CrossRef] [PubMed]
- Nishimura, S.; Yonemura, S.; Minamikawa, K.; Yagi, K. Seasonal and diurnal variations in net CO2 flux throughout the year from soil in paddy field. J. Geophys. Res. Biogeosci. Res. 2014, 120, 63–76. [Google Scholar]
- Wassmann, R.; Aulakh, M.S. The role of rice plants in regulating mechanisms of methane missions. Biol. Fertil. Soils 2000, 31, 20–29. [Google Scholar] [CrossRef]
- Guo, J.; Zhou, C. Greenhouse gas emissions and mitigation measures in Chinese agroecosystems. Agric. For. Meteorol. 2007, 142, 270–277. [Google Scholar] [CrossRef]
- Trumbore, S. Age of soil organic matter and soil respiration: Radiocarbon constraints on belowground C dynamics. Ecol. Appl. 2000, 10, 399–411. [Google Scholar] [CrossRef]
- Sanz-Cobena, A.; Lassaletta, L.; Aguilera, E.; del Prado, A.; Garnier, J.; Billen, G.; Iglesias, A.; Sánchez, B.; Guardia, G.; Abalos, D.; et al. Strategies for greenhouse gas emissions mitigation in Mediterranean agriculture: A review. Agric. Ecosyst. Environ. 2017, 238, 5–24. [Google Scholar] [CrossRef]
- Yue, J.; Shi, Y.; Liang, W.; Wu, J.; Wang, C.; Huang, G. Methane and nitrous oxide emissions from rice field and related microorganism in black soil, northeastern China. Nutr. Cycl. Agroecosyst. 2005, 73, 293–301. [Google Scholar] [CrossRef]
- Zhang, G.; Ji, Y.; Ma, J.; Xu, H.; Cai, Z.; Yagi, K. Intermittent irrigation changes production, oxidation, and emission of CH 4 in paddy fields determined with stable carbon isotope technique. Soil Biol. Biochem. 2012, 52, 108–116. [Google Scholar] [CrossRef]
- Gilbert, B.; Frenzel, P. Methanotrophic bacteria in the rhizosphere of rice microcosms and their effect on porewater methane concentration and methane emission. Biol. Fertil. Soils 1995, 20, 93–100. [Google Scholar] [CrossRef]
- Zou, J.; Huang, Y.; Zheng, X.; Wang, Y. Quantifying direct N2O emissions in paddy fields during rice growing season in mainland China: Dependence on water regime. Atmos. Environ. 2007, 41, 8030–8042. [Google Scholar] [CrossRef]
- Schimel, J. Global change: Rice, microbes and methane. Nature 2000, 403, 375–377. [Google Scholar] [CrossRef] [PubMed]
- Bodelier, P.L.E.; Laanbroek, H.J. Nitrogen as a regulatory factor of methane oxidation in soils and sediments. FEMS Microbiol. Ecol. 2004, 47, 265–277. [Google Scholar] [CrossRef]
- Cai, Z.; Shan, Y.; Xu, H. Effects of nitrogen fertilization on CH4 emissions from rice fields. In Soil Science and Plant Nutrition; Taylor and Francis: Tokyo, Japan, 2007; Volume 53, pp. 353–361. [Google Scholar]
- Wang, W.; Lai, D.Y.F.; Wang, C.; Tong, C.; Zeng, C. Effects of inorganic amendments, rice cultivars and cultivation methods on greenhouse gas emissions and rice productivity in a subtropical paddy field. Ecol. Eng. 2016, 95, 770–778. [Google Scholar] [CrossRef]
- Akiyama, H.; Tsuruta, H. Nitrous oxide, nitric oxide, and nitrogen dioxide fluxes from soils after manure and urea application. J. Environ. Qual. 2003, 32, 423–431. [Google Scholar] [CrossRef] [PubMed]
- Dobbie, K.E.; McTaggart, I.P.; Smith, K.A. Nitrous oxide emissions from intensive agricultural systems: Variations between crops and seasons, key driving variables, and mean emission factors. J. Geophys. Res. Atmos. 1999, 104, 26891–26899. [Google Scholar] [CrossRef]
- Yao, Z.; Zhou, Z.; Zheng, X.; Xie, B.; Mei, B.; Wang, R.; Butterbach-Bahl, K.; Zhu, J. Effects of organic matter incorporation on nitrous oxide emissions from rice-wheat rotation ecosystems in China. Plant Soil 2010, 327, 315–330. [Google Scholar] [CrossRef]
- Ma, J.; Li, X.L.; Xu, H.; Han, Y.; Cai, Z.C.; Yagi, K. Effects of nitrogen fertiliser and wheat straw application on CH4 and N2O emissions from a paddy rice field. Aust. J. Soil Res. 2007, 45, 359–367. [Google Scholar] [CrossRef]
- Zou, J.; Huang, Y.; Jiang, J.; Zheng, X.; Sass, R.L. A 3-year field measurement of methane and nitrous oxide emissions from rice paddies in China: Effects of water regime, crop residue, and fertilizer application. Glob. Biogeochem. Cycles 2005, 19, 1–9. [Google Scholar] [CrossRef]
- Burton, A.J.; Pregitzer, K.S.; Crawford, J.N.; Zogg, G.P.; Zak, D.R. Simulated chronic NO-3 deposition reduces soil respiration in northern hardwood forests. Glob. Chang. Biol. 2004, 10, 1080–1091. [Google Scholar] [CrossRef]
- DeForest, J.L.; Zak, D.R.; Pregitzer, K.S.; Burton, A.J. Atmospheric Nitrate Deposition, Microbial Community Composition, and Enzyme Activity in Northern Hardwood Forests. Soil Sci. Soc. Am. J. 2004, 68, 132. [Google Scholar] [CrossRef]
- Wilson, H.M.; Al-Kaisi, M.M. Crop rotation and nitrogen fertilization effect on soil CO2 emissions in central Iowa. Appl. Soil Ecol. 2008, 39, 264–270. [Google Scholar] [CrossRef]
- Iqbal, J.; Hu, R.; Lin, S.; Hatano, R.; Feng, M.; Lu, L.; Ahamadou, B.; Du, L. CO2 emission in a subtropical red paddy soil (Ultisol) as affected by straw and N-fertilizer applications: A case study in Southern China. Agric. Ecosyst. Environ. 2009, 131, 292–302. [Google Scholar] [CrossRef]
- Allen, A.S.; Schlesinger, W.H. Nutrient limitations to soil microbial biomass and activity in loblolly pine forests. Soil Biol. Biochem. 2004, 36, 581–589. [Google Scholar] [CrossRef]
- Oertel, C.; Matschullat, J.; Zurba, K.; Zimmermann, F.; Erasmi, S. Greenhouse gas emissions from soils—A review. Chem. Erde Geochem. 2016, 76, 327–352. [Google Scholar] [CrossRef]
- Pilegaard, K.; Skiba, U.; Ambus, P.; Beier, C.; Bruggemann, N.; Butterbach-Bahl, K.; Dick, J.; Dorsey, J.; Duyzer, J.; Gallagher, M.; et al. Factors controlling regional differences in forest soil emission of nitrogen oxides (NO and N2O). Biogeosciences 2006, 3, 651–661. [Google Scholar] [CrossRef]
- Tang, J.; Liang, S.; Li, Z.; Zhang, H.; Wang, S.; Zhang, N. Emission laws and influence factors of greenhouse gases in Saline-Alkali paddy fields. Sustainability 2016, 8, 163. [Google Scholar] [CrossRef]
- Wassmann, R.; Lantin, R.S.; Neue, H.U.; Buendia, L.V.; Corton, T.M.; Lu, Y. Characterization of methane emissions from rice fields in Asia. III. Mitigation options and future research needs. Nutr. Cycl. Agroecosyst. 2000, 58, 23–36. [Google Scholar] [CrossRef]





| Tillage Year | BD (g cm−3) 1 | pH | EC (ms cm−1) | SOC (g kg−1) | TN (g kg−1) | TP (g kg−1) | ESP (%) |
|---|---|---|---|---|---|---|---|
| 1 | 1.32 ± 0.25 2 | 9.72 ± 0.43 | 1.27 ± 0.38 | 4.29 ± 1.03 | 0.78 ± 0.21 | 0.57 ± 0.14 | 17.11 ± 0.22 |
| 57 | 1.26 ± 0.27 | 8.31 ± 0.29 | 0.31 ± 0.11 | 23.06 ± 2.15 | 2.24 ± 0.65 | 1.14 ± 0.22 | 6.35 ± 0.75 |
| Growing Period | 1-Year | 57-Year | Analysis of Variance | |||||
|---|---|---|---|---|---|---|---|---|
| CF | IF | CF | IF | Tillage Year (Y) | Irrigation Regime (I) | Y × I | ||
| CH4 (gm−2) | Green | 0.13 ± 0.01 2 | 0.13 ± 0.01 | 0.22 ± 0.03 | 0.22 ± 0.06 | ** 1 | NS | NS |
| Tillering | 0.61 ± 0.12 | 0.71 ± 0.13 | 4.37 ± 0.86 | 4.92 ± 1.43 | ** | NS | NS | |
| Booting | 1.79 ± 0.01 | 1.49 ± 0.07 | 16.11 ± 0.52 | 14.21 ± 0.64 | ** | * | * | |
| Heading | 0.65 ± 0.13 | 0.45 ± 0.03 | 9.39 ± 0.34 | 5.36 ± 0.53 | ** | ** | ** | |
| Mature | 0.33 ± 0.04 | 0.23 ± 0.02 | 1.83 ± 0.88 | 0.51 ± 0.04 | ** | ** | ** | |
| Total | 3.51 ± 0.05 | 3.01 ± 0.11 | 32.34 ± 0.59 | 25.18 ± 2.46 | ** | ** | ** | |
| N2O (gm−2) | Green | 0.03 ± 0.01 | 0.03 ± 0.01 | 0.03 ± 0.01 | 0.03 ± 0.01 | NS | NS | NS |
| Tillering | 0.06 ± 0.01 | 0.07 ± 0.02 | 0.05 ± 0.01 | 0.07 ± 0.01 | NS | NS | NS | |
| Booting | 0.07 ± 0.02 | 0.05 ± 0.01 | 0.07 ± 0.01 | 0.05 ± 0.01 | NS | NS | NS | |
| Heading | 0.05 ± 0.02 | 0.07 ± 0.02 | 0.04 ± 0.01 | 0.07 ± 0.01 | NS | NS | NS | |
| Mature | 0.02 ± 0.01 | 0.04 ± 0.01 | 0.02 ± 0.01 | 0.03 ± 0.01 | NS | ** | NS | |
| Total | 0.23 ± 0.02 | 0.29 ± 0.06 | 0.20 ± 0.01 | 0.24 ± 0.01 | NS | NS | NS | |
| CO2 (gm−2) | Green | 40.57 ± 5.33 | 46.52 ± 12.29 | 87.21 ± 13.15 | 104.56 ± 19.13 | ** | NS | NS |
| Tillering | 462.95 ± 28.44 | 620.59 ± 26.18 | 589.50 ± 16.64 | 758.85 ± 50.11 | ** | ** | NS | |
| Booting | 401.56 ± 9.69 | 542.02 ± 21.13 | 451.77 ± 31.36 | 677.22 ± 41.13 | ** | ** | NS | |
| Heading | 352.58 ± 2.52 | 472.28 ± 49.10 | 389.41 ± 36.65 | 532.34 ± 41.04 | NS | ** | NS | |
| Mature | 489.12 ± 51.77 | 552.68 ± 72.04 | 465.76 ± 13.41 | 576.59 ± 81.05 | NS | NS | NS | |
| Total | 1746.77 ± 111.23 | 2224.09 ± 215.90 | 2120.15 ± 285.09 | 2649.55 ± 112.36 | ** | ** | NS | |
| Treatment | Area-Scaled GWP (CH4 + N2O, g CO2-eq m−2) | Area-Scaled GWP (CH4 + N2O + CO2, g CO2-eq m−2) | |||
|---|---|---|---|---|---|
| 1-year-old | 57-year-old | 1-year-old | 57-year-old | ||
| Water Regime | CF | 678 ± 26 1 | 1112 ± 18 | 2516 ± 26 | 3630 ± 138 |
| IF | 546 ± 23.56 | 916 ± 80 | 2813 ± 23 | 4271 ± 241 | |
| Nitrogen application | N0 | 515 ± 74a | 737 ± 41a | 2130 ± 62b | 3003 ± 125c |
| N60 | 515 ± 88a | 907 ± 76a | 2420 ± 192b | 3789 ± 256b | |
| N150 | 551 ± 58a | 923 ± 99a | 2669 ± 271ab | 4332 ± 220ab | |
| N250 | 637 ± 43a | 974 ± 132a | 3252 ± 353a | 4549 ± 296a | |
© 2018 by the authors. Licensee MDPI, Basel, Switzerland. This article is an open access article distributed under the terms and conditions of the Creative Commons Attribution (CC BY) license (http://creativecommons.org/licenses/by/4.0/).
Share and Cite
Tang, J.; Wang, J.; Li, Z.; Wang, S.; Qu, Y. Effects of Irrigation Regime and Nitrogen Fertilizer Management on CH4, N2O and CO2 Emissions from Saline–Alkaline Paddy Fields in Northeast China. Sustainability 2018, 10, 475. https://doi.org/10.3390/su10020475
Tang J, Wang J, Li Z, Wang S, Qu Y. Effects of Irrigation Regime and Nitrogen Fertilizer Management on CH4, N2O and CO2 Emissions from Saline–Alkaline Paddy Fields in Northeast China. Sustainability. 2018; 10(2):475. https://doi.org/10.3390/su10020475
Chicago/Turabian StyleTang, Jie, Jingjing Wang, Zhaoyang Li, Sining Wang, and Yunke Qu. 2018. "Effects of Irrigation Regime and Nitrogen Fertilizer Management on CH4, N2O and CO2 Emissions from Saline–Alkaline Paddy Fields in Northeast China" Sustainability 10, no. 2: 475. https://doi.org/10.3390/su10020475
APA StyleTang, J., Wang, J., Li, Z., Wang, S., & Qu, Y. (2018). Effects of Irrigation Regime and Nitrogen Fertilizer Management on CH4, N2O and CO2 Emissions from Saline–Alkaline Paddy Fields in Northeast China. Sustainability, 10(2), 475. https://doi.org/10.3390/su10020475
