Effects of Continuous Slope Gradient on the Dominance Characteristics of Plant Functional Groups and Plant Diversity in Alpine Meadows
Abstract
1. Introduction
2. Material and Methods
2.1. Study Area
2.2. Methods
2.2.1. Sampling Design
2.2.2. Data Analysis
2.2.3. Analysis Methodology
3. Results
3.1. Analysis of the Plant Species and Community Quantitative Characteristics of Sunny Slope
3.2. Effects of Slope Differentiation on Plant Community and the Physical and Chemical Properties of Soil
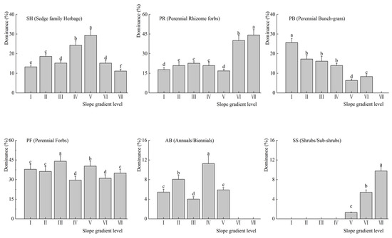
3.2.1. Effect of Slope on the Composition of Plant Functional Groups
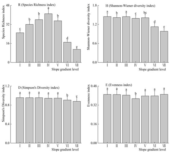
3.2.2. Effect of Slope Gradient on Plant Diversity
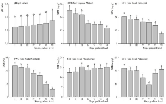
3.2.3. Effect of Slope on the Physical and Chemical Characteristics of Soil
3.3. Correlation Analysis
3.3.1. Correlation Analysis between the Characteristics of Plant Functional Groups and Soil Factors
3.3.2. Correction Analysis between Plant Diversity and the Physical and Chemical Characteristics of Soil
4. Discussions
4.1. The Difference of the Plant Functional Groups at Each Slope Gradient Level
4.2. The Plant Diversity at Each Slope Gradient Level
4.3. The Physical and Chemical Characteristics of Soil at Each Slope Gradient Level
4.4. The Relationship between Plant Community Characteristics and the Physical and Chemical of Soil
5. Conclusions
Author Contributions
Funding
Acknowledgments
Conflicts of Interest
References
- Woodward, F.I.; Mckee, I.F. Vegetation and climate. Environ. Int. 1991, 17, 535–546. [Google Scholar] [CrossRef]
- Zhang, X. A vegetation-climate classification system for global change studies in China. Quat. Sci. 1993, 13, 157–169. [Google Scholar]
- Wang, H.Z.; Li, R.D.; Wu, H.H. Quantitative study on height differentiation of land use degree in the suburban county of Wuhan city based on spatial overlaying analysis. Resour. Environ. Yangtze Basin 2002, 11, 531–535. [Google Scholar]
- Chen, L.; Zhang, S.; Fu, B.; Peng, H. Correlation analysis on spatial pattern of land use and soil at catchment scale. Acta Ecol. Sin. 2003, 23, 2497–2505. [Google Scholar]
- Luo, J.; Zhou, W.; Qin, C.; Deng, Q.; Luo, M.; Xiao, X.U.; Liu, G.; Zhang, B.; Guohong, L.I. Response of vegetation to micro-topography in the gullied area of Yuanmou dry-hot valley. J. Mt. Sci. 2012, 30, 535–542. [Google Scholar]
- Chang, X.L.; Lü, S.H.; Feng, Z.Y.; Ye, S.X. Impact of topography on the spatial distribution pattern of net primary productivity in a meadow. Acta Ecol. Sin. 2015, 35, 3339–3348. [Google Scholar]
- Jubenville, A.; O’Sullivan, K. Relationship of vegetation type and slope gradient to trail erosion in interior Alaska. J. Soil Water Conserv. 1987, 68, 729–737. [Google Scholar]
- Scatena, F.N.; Lugo, A.E. Geomorphology, disturbance, and the soil and vegetation of two subtropical wet steepland watersheds of Puerto Rico. Geomorphology 1995, 13, 199–213. [Google Scholar] [CrossRef]
- Zheng, D.; Hunt, E.R.; Running, S.W. Comparison of available soil water capacity estimated from topography and soil series information. Landsc. Ecol. 1996, 11, 3–14. [Google Scholar] [CrossRef]
- Kapolka, N.M.; Dollhopf, D.J. Effect of slope gradient and plant growth on soil loss on reconstructed steep slopes. Int. J. Surf. Min. Reclam. Environ. 2001, 15, 86–99. [Google Scholar] [CrossRef]
- Liu, J.G.; Xue, J.H. Impacts of slope gradient on the characteristics of Vetiveria zizanioides community in early-stage. Grassl. Turf 2010, 30, 56–61. [Google Scholar]
- Zhu, S.B.; Xu, W.N.; Liu, G.; Zhao, J.; Chen, Y.G. Effect of slope gradient on physiological characteristic of mediccago sativa and Cynodon Dactylon. Res. Soil Water Conserv. 2012, 19, 218–221. [Google Scholar]
- Wei, S.; Huang, F.; Yang, J. A base of formation on meadow vegetation. Pratacultural Sci. 2001, 18, 16–19. [Google Scholar]
- Zhang, H.Q. Species diversity of plant community in the origin area of the Minjiang River, southwestern China. Res. Soil Water Conserv. 2013, 20, 135–140. [Google Scholar]
- Liu, Z.Q.; Zhu, Q.K.; Wang, J.; Kuang, G.M.; Zhao, H. Effect of site factor on plant community characteristic in closed watershed in loess hilly and gully region. Agric. Sci. Technol. 2011, 12, 274–278. [Google Scholar]
- Introduction of Hezuo City. Available online: http://www.hezuo.gov.cn/zjhz/hzgl/2017-03-11/14891651406086.html (accessed on 25 May 2018).
- Noymeir, I.; Gutman, M.; Kaplan, Y. Responses of mediterranean grassland plants to grazing and protection. J. Ecol. 1989, 77, 290–310. [Google Scholar] [CrossRef]
- Vesk, P.A.; Westoby, M. Predicting plant species’ responses to grazing. J. Appl. Ecol. 2001, 38, 897–909. [Google Scholar] [CrossRef]
- Zhang, Y.; Zhao, X. Quantitative characteristics of degenerative succession in festuca sinensis sowing grassland in the alpine pastoral area. Chin. J. Appl. Ecol. 2002, 13, 285–289. [Google Scholar]
- Zhou, C. Geomorphology Dictionary; China Water Power Press: Beijing, China, 2006. [Google Scholar]
- Zhang, T. Quantitative Ecology; Science Press: Beijing, China, 2011. [Google Scholar]
- Whittaker, R.H. Evolution and measurement of species diversity. Taxon 1972, 21, 213–251. [Google Scholar] [CrossRef]
- Pielou, E.C. Shannon’s formula as a measure of specific diversity: Its use and misuse. Am. Nat. 1966, 100, 463–465. [Google Scholar] [CrossRef]
- Walkley, A.; Black, I.A. An examination of the degtjareff method for determining soil organic matter a proposed modification of the chromic acid titration method. Soil Sci. 1934, 37, 29–38. [Google Scholar] [CrossRef]
- Cornelissen, J.H.C.; Lavorel, S.; Garnier, E.; Díaz, S.; Buchmann, N.; Gurvich, D.E.; Reich, P.B.; Steege, H.T.; Morgan, H.D.; Heijden, M.G.A.V.D. A handbook of protocols for standardised and easy measurement of plant functional traits worldwide. Aust. J. Bot. 2003, 51, 335–380. [Google Scholar] [CrossRef]
- Zhang, C.S.; Xie, G.D.; Bao, W.K.; Long, C.; Sha, P.; Na, F. Effects of topographic factors on the plant species richness and distribution pattern of alpine meadow in source region of Lancang River, Southwest China. Chin. J. Ecol. 2012, 31, 2767–2774. [Google Scholar]
- Smith, J.K. Constraints for the restoration of tropical alpine vegetation on degraded slopes of the Venezuelan Andes. Plant Ecol. Divers. 2015, 8, 277–291. [Google Scholar]
- Luo, Y.; Bo, S.U.; Currie, W.S.; Dukes, J.S.; Finzi, A.; Hartwig, U.; Hungate, B.; Murtrie, R.E.M.; Oren, R.; Parton, W.J. Progressive nitrogen limitation of ecosystem responses to rising atmospheric carbon dioxide. Bioscience 2004, 54, 731–739. [Google Scholar] [CrossRef]
- Janssens, F.; Peeters, A.; Tallowin, J.R.B.; Bakker, J.P.; Bekker, R.M.; Fillat, F.; Oomes, M.J.M. Relationship between soil chemical factors and grassland diversity. Plant Soil 1998, 202, 69–78. [Google Scholar] [CrossRef]
- Putten, W.H.V.D.; Wardle, D.A. Plant–soil feedbacks: The past, the present and future challenges. J. Ecol. 2013, 101, 265–276. [Google Scholar] [CrossRef]
- Guo, Q.; Berry, W.L. Species richness and biomass: Dissection of the hump-shaped relationships. Ecology 1998, 79, 2555–2559. [Google Scholar] [CrossRef]
- Mittelbach, G.; Steiner, C.; Scheiner, S.; Gross, K.; Reynolds, H.; Waide, R.; Willig, M.; Dodson, S.; Gough, L. What is the observed relationship between species richness and productivity? Ecology 2001, 82, 2381–2396. [Google Scholar] [CrossRef]
- Bärlocher, F.; Corkum, M. Nutrient enrichment overwhelms diversity effects in leaf decomposition by stream fungi. Oikos 2010, 101, 247–252. [Google Scholar] [CrossRef]
- Kopeć, M.; Zarzycki, J.; Gondek, K. Species diversity of submontane grasslands: Effects of topographic and soil factors. Pol. J. Ecol. 2010, 58, 285–295. [Google Scholar]
- Kampmann, D.; Herzog, F.; Jeanneret, P.; Konold, W.; Peter, M.; Walter, T.; Wildi, O.; Lüscher, A. Mountain grassland biodiversity: Impact of site conditions versus management type. J. Nat. Conserv. 2008, 16, 12–25. [Google Scholar] [CrossRef]
- Marini, L.; Scotton, M.; Klimek, S.; Pecile, A. Patterns of plant species richness in alpine hay meadows: Local vs. landscape controls. Basic Appl. Ecol. 2008, 9, 365–372. [Google Scholar] [CrossRef]
- Pykälä, J.; Luoto, M.; Heikkinen, R.K.; Kontula, T. Plant species richness and persistence of rare plants in abandoned semi-natural grasslands in northern Europe. Basic Appl. Ecol. 2005, 6, 25–33. [Google Scholar] [CrossRef]
- Tilman, D.; Downing, J.A. Biodiversity and stability in grasslands. Nature 1994, 367, 363–365. [Google Scholar] [CrossRef]
- Li, Y.Y.; Shao, M.A. The change of plant diversity during natural recovery process of vegetation in Ziwuling area. Acta Ecol. Sin. 2004, 24, 252–260. [Google Scholar]
- Baskin, Y. Ecosystem function of biodiversity. Biol. Sci. 1995, 44, 657–660. [Google Scholar] [CrossRef]
- Wang, G.H.; Zhou, G.S.; Yang, L.M.; Li, Z.Q. Distribution, Species diversity and life-form spectra of plant communities along an altitudinal gradient in the Northern slopes of Qilianshan Mountains, Gansu, China. Plant Ecol. 2003, 165, 169–181. [Google Scholar] [CrossRef]
- Angassa, A.; Oba, G. Effects of grazing pressure, age of enclosures and seasonality on bush cover dynamics and vegetation composition in southern Ethiopia. J. Arid Environ. 2010, 74, 111–120. [Google Scholar] [CrossRef]
- Dong, Q.M.; Ma, Y.S.; Li, Q.Y.; Zhao, X.Q.; Wang, Q.J.; Shi, J.J. Effects of Stocking Rates for Yak on Community Composition and Plant Diversity in Kobresia parva Alpine Meadow Warm season Pasture. Acta Bot. Boreali-Occident. Sin. 2005, 25, 94–102. [Google Scholar]
- Wang, C.T.; Long, R.J.; Wang, Q.L.; Cao, G.M.; Shi, J.J.; Du, Y.G. Response of plant diversity and productivity to soil resources changing under grazing disturbance on an alpine meadow. Acta Ecol. Sin. 2008, 28, 4144–4152. [Google Scholar]
- Bakker, J.P. Nature Management by Grazing and Cutting; Springer: Dordrecht, The Netherlands, 1989. [Google Scholar]
- Cao, C.Y.; Jiang, D.M.; Zhu, L.H.; Nan, Y.H. Degradation and diversity changes of meadow grassland in Keerqin Sandy Land. Acta Prataculturae Sin. 2006, 15, 18–26. [Google Scholar]
- Liu, W.T.; Wei, Z.J.; Lü, S.J.; Wang, T.L.; Zhang, S. The impacts of grazing on plant diversity in Stipa breviflora desert grassland. Acta Ecol. Sin. 2017, 37, 3394–3402. [Google Scholar]
- Biondini, M.E.; Patton, B.D.; Nyren, P.E. Grazing intensity and ecosystem processes in a northern mixed-grass prairie, USA. Ecol. Appl. 1998, 8, 469–479. [Google Scholar] [CrossRef]
- Crawley, M.J. Plant Ecology; Blackwell Science: Cambridge, MA, USA, 1996. [Google Scholar]
- Wrigh, I.J.; Reich, P.B.; Cornelissen, J.H.C.; Falster, D.S.; Gamier, E.; Hikosaka, K.; Lamont, B.B.; Lee, W.; Oleksyn, J.; Osada, N.; et al. Assessing the generality of global leaf trait relationships. New Phytol. 2005, 166, 485–496. [Google Scholar] [CrossRef]
- Xue, S.; Liu, G.B.; Pan, Y.P.; Dai, Q.H.; Zhang, C.; Yu, N. Evolution of soil labile organic matter and carbon management index in the artificial Robinia of loess hilly area. Sci. Agric. Sin. 2009, 42, 1458–1464. [Google Scholar]
- Wang, B.Q.; Liu, G.B. Effects of Relief on Soil Nutrient Losses in Sloping Fieldsin Hilly Region of Loess Plateau. J. Soil Eros. Soil Water Conserv. 1999, 5, 18–22. [Google Scholar]
- Li, G.L.; Wu, F.Q.; Liu, B.Z.; Zhang, X.N. The effect of erosion on soil properties on the Loess Plateau area. J. Arid Land Resour. Environ. 1997, 11, 45–52. [Google Scholar]
- Jiang, H.M. Dynamics of Soil Organic Carbon, Fertility and Water in Different Land Uses from the Semi-Arid Loess Plateau. Ph.D. Thesis, Lanzhou University, Lanzhou, China, 2006; pp. 37–45. [Google Scholar]
- Qiu, L.P. Change of Soil Quality and Its Regulation in Revegetation Ecosystem of the Loess Plateau. Ph.D. Thesis, Northwest A&F University, Yangling, China, 2007. [Google Scholar]
- Wu, W.Z. Spatial Heterogeneity of Soil Moisture and Its Relation to Topographic Factors at Hillslope Scale. Master’s Thesis, Lanzhou University, Lanzhou, China, 2014. [Google Scholar]
- Zhao, C.; Zhang, H.L.; Li, J.L.; Tian, J.; Wu, W.Z.; Jin, X.; Zhang, X.F.; Jiang, Y.W.; Wang, X.L.; He, C.S.; et al. Analysis of the relationships between the spatial variations of soil moisture and the environmental factors in the upstream of the Heihe River watershed. J. Lanzhou Univ. Nat Sci. 2014, 50, 338–347. [Google Scholar]
- Takahashi, K.; Murayama, Y. Effects of topographic and edaphic conditions on alpine plant species distribution along a slope gradient on Mount Norikura, central Japan. Ecol. Res. 2014, 29, 823–833. [Google Scholar] [CrossRef]
- Moore, L.D.; Burch, G.J.; Mackenzie, D.H. Topographic effects on the distribution of surface soil water and the location of ephemeral gullies. TASAE 1988, 31, 1098–1107. [Google Scholar]
- Qiu, Y.; Fu, B.J.; Wang, J.; Chen, L.D. Relation to environmental induces in a Spatial variability of soil moisture content and its semi-arid gully catchment of the loess plateau, China. J. Arid Environ. 2001, 49, 723–750. [Google Scholar] [CrossRef]
- Liu, F.; Zhang, H.Q. Effects of Land Use and Topographic Factors on the Variability of Soil Nutrients in Newly Reclaimed Area in Yili. Resour. Sci. 2012, 34, 758–768. [Google Scholar]
- Jing, G.B. Investigation on Soil Organic Carbon and Nutrient Concentrations of Summer- and Winter-Grazing Pastures in Xiahe County. Master’s Thesis, Lanzhou University, Lanzhou, China, 2014. [Google Scholar]
- Nikora, V.I.; Pearson, C.P.; Shankar, U. Scaling properties in landscape patterns: New Zealand experience. Landsc. Ecol. 1999, 14, 17–33. [Google Scholar] [CrossRef]
- Nie, Y.Y. The Training of Plant Community Diversity and Above Ground Biomass of the Habitat Gradient from South-Facing Slope to North-Facing Slope. Master’s Thesis, Lanzhou University, Lanzhou, China, 2010; pp. 27–30. [Google Scholar]
- Aerts, R.; Chapin, F.S., III. The mineral nutrition of wild plants revisited: A re-evaluation of processes and patterns. Adv. Ecol. Res. 2000, 30, 1–67. [Google Scholar]
- Gartlan, J.S.; Newbery, D.M.; Thomas, D.W.; Waterman, P.G. The influence of topography and soil phosphorus on the vegetation of korup forest reserve, cameroun. Vegetatio 1986, 65, 131–148. [Google Scholar] [CrossRef]
- Baer, S.G.; Blair, J.M.; Collins, S.L.; Knapp, A.K. Soil resources regulate productivity and diversity in newly established tallgrass prairie. Ecology 2003, 84, 724–735. [Google Scholar] [CrossRef]
- Kattge, J.; Diaz, S.; Lavoreli, S.; Prentice, I.C.; Leadly, P.; Bonisch, G.; Garnier, E.; Westoby, M.; Reich, P.B.; Wright, I.J. Try—A global database on plant traits. Glob. Chang. Biol. 2011, 17, 2905–2935. [Google Scholar] [CrossRef]
- Nie, Y.Y.; Li, X.E.; Wang, G. Variation mode of α diversity and β diversity of plant community of different habitat gradients from south-facing slope to north-facing slope and its relation with different environmental factors. J. Lanzhou Univ. 2010, 46, 73–79. [Google Scholar]
- Cong, W.F.; Ruijven, J.; Mommer, L.; De Deyn, G.B.; Berendse, F.; Hoffland, E. Plant species richness promotes soil carbon and nitrogen stocks in grasslands without legumes. J. Ecol. 2015, 102, 1163–1170. [Google Scholar] [CrossRef]
- Chen, P.; Chu, Y.; Gu, F.X.; Zhang, Y.D.; Pan, X.L. Spatial heterogeneity of vegetation and soil characteristics in oasis-desert ecotone. Chin. J. Appl. Ecol. 2003, 14, 904–908. [Google Scholar]




| Gradients | I | II | III | IV | V | VI | VII |
|---|---|---|---|---|---|---|---|
| Family | 9 | 12 | 16 | 15 | 13 | 8 | 7 |
| Genus | 23 | 25 | 31 | 35 | 26 | 14 | 10 |
| Species | 19 | 32 | 36 | 41 | 35 | 17 | 11 |
| Important species | K. humilis (14.74%) | S. capillata (7.96%) | S. capillata (12.92%) | E. nutans (19.29%) | K. humilis (14.33%) | E. nutans (14.67%) | F. arioides (24.38%) |
| P. pratensis (13.02%) | E. nutans (6.74%) | E. nutans (9.60%) | K. humilis (9.08%) | E. nutans (8.46%) | P. pratensis (13.74%) | K. capillifolia (11.13%) | |
| S. capillata (12.37) | P. pratensis (6.71%) | K. cristata (6.44%) | T. mongolicum (8.21%) | K. capillifolia (7.43%) | L. japonicum (8.87%) | S. hieracioides (9.85%) | |
| P. fragarioids (11.16) | M. ruthenica (6.55%) | S. chamaejasme (5.79%) | P. pratensis (7.59%) | S. chamaejasme (5.05%) | K. humilis (7.20%) | C. adpressus (9.75%) | |
| E. nutans (10.10%) | K. humilis (5.66%) | K. humilis (4.73%) | S. chamaejasme (7.40%) | P. pratensis (4.55%) | F. arioides (6.69%) | G. macrophylla (8.13%) |
| SS (Shrubs/Sub-Shrubs) | SH (Sedge Family Herbage) | PR (Perennial Rhizome Forbs) | PB (Perennial Bunch-Grass) | PF (Perennial Forbs) | AB (Annuals/Biennials) | |
|---|---|---|---|---|---|---|
| pH-value (PH) | 0.939 (**) | −0.185 | 0.855 (*) | −0.914 (**) | −0.355 | −0.621 |
| Soil Organic Matter (SOM) | −0.709 | −0.219 | −0.654 | 0.912 (**) | 0.453 | 0.343 |
| Soil Total Nitrogen (STN) | −0.951 (**) | 0.259 | −0.870 (*) | 0.894 (**) | 0.349 | 0.615 |
| Soil Total Phosphorus (STP) | 0.506 | 0.010 | 0.327 | −0.552 | 0.242 | −0.528 |
| Soil Total Potassium (STK) | 0.205 | −0.941 (**) | 0.270 | 0.368 | 0.042 | −0.356 |
| Soil Water Content (SWC) | 0.942 (**) | 0.202 | −0.913 (**) | 0.902 (**) | 0.453 | 0.672 |
| R (Species Richness Index) | D (Simpson’s Diversity Index) | H (Shannon-Wiener Diversity Index) | E (Pielou’s Index of Evenness) | |
|---|---|---|---|---|
| pH-value (PH) | −0.661 | −0.951 (**) | −0.925 (**) | −0.007 |
| Soil Organic Matter (SOM) | 0.334 | 0.764 (*) | 0.718 | 0.398 |
| Soil Total Nitrogen (STN) | 0.683 | 0.959 (**) | 0.938 (**) | −0.057 |
| Soil Total Phosphorus (STP) | −0.168 | −0.496 | −0.457 | −0.084 |
| Soil Total Potassium (STK) | −0.491 | −0.170 | −0.224 | 0.620 |
| Soil Water Content (SWC) | 0.717 | 0.965 (**) | 0.951 (**) | 0.022 |
© 2018 by the authors. Licensee MDPI, Basel, Switzerland. This article is an open access article distributed under the terms and conditions of the Creative Commons Attribution (CC BY) license (http://creativecommons.org/licenses/by/4.0/).
Share and Cite
Zhang, Q.-P.; Wang, J.; Gu, H.-L.; Zhang, Z.-G.; Wang, Q. Effects of Continuous Slope Gradient on the Dominance Characteristics of Plant Functional Groups and Plant Diversity in Alpine Meadows. Sustainability 2018, 10, 4805. https://doi.org/10.3390/su10124805
Zhang Q-P, Wang J, Gu H-L, Zhang Z-G, Wang Q. Effects of Continuous Slope Gradient on the Dominance Characteristics of Plant Functional Groups and Plant Diversity in Alpine Meadows. Sustainability. 2018; 10(12):4805. https://doi.org/10.3390/su10124805
Chicago/Turabian StyleZhang, Qi-Peng, Jian Wang, Hong-Liang Gu, Zhi-Gang Zhang, and Qian Wang. 2018. "Effects of Continuous Slope Gradient on the Dominance Characteristics of Plant Functional Groups and Plant Diversity in Alpine Meadows" Sustainability 10, no. 12: 4805. https://doi.org/10.3390/su10124805
APA StyleZhang, Q.-P., Wang, J., Gu, H.-L., Zhang, Z.-G., & Wang, Q. (2018). Effects of Continuous Slope Gradient on the Dominance Characteristics of Plant Functional Groups and Plant Diversity in Alpine Meadows. Sustainability, 10(12), 4805. https://doi.org/10.3390/su10124805
