Inferring the Economic Attributes of Urban Rail Transit Passengers Based on Individual Mobility Using Multisource Data
Abstract
1. Introduction
2. Literature Review
3. Methods
3.1. Mobility Formulation Model
3.1.1. Extraction of Trip Chains
3.1.2. Individual Mobility
3.2. Attributes Inference Model
3.2.1. Location Economic Feature
3.2.2. Individual Consumption Characteristic
3.2.3. Economic Attributes Inference
4. Model Implementation and Results
4.1. Data Preparation
4.2. Model Implementation
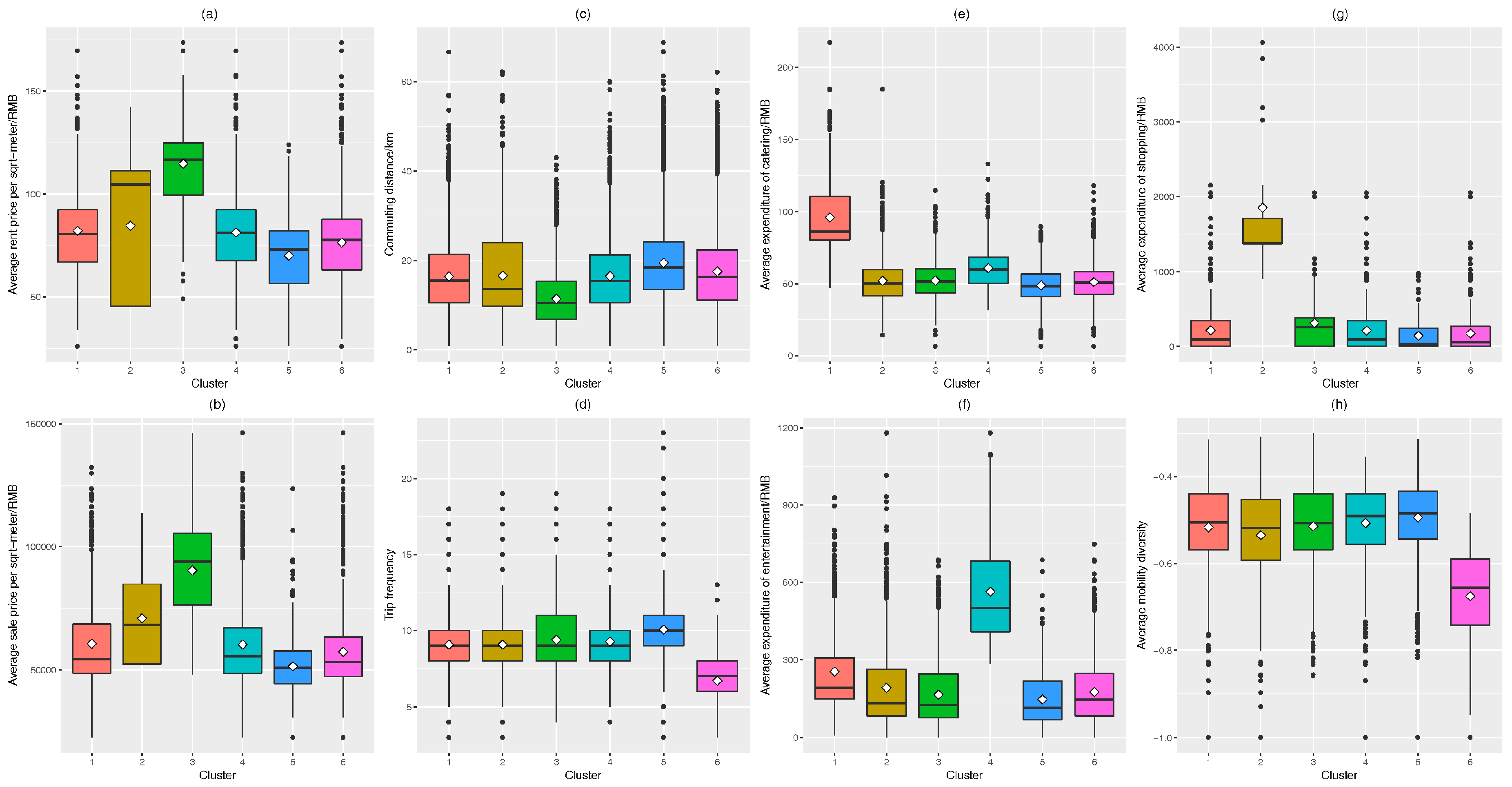
4.3. Results
5. Discussion
6. Conclusions
Author Contributions
Funding
Acknowledgments
Conflicts of Interest
Abbreviations
| Parameters | Meaning | Equation |
| olt | observable parameter set of the tth activity in the lth trip chain | (1), (2) |
| sl | activity start time | (1) |
| dlt | stay duration | (1) |
| clt | vector of the degree of land usage mixture of the station | (1) |
| k | observations of state in discrete observation state space | (2) |
| f(•) | Gaussian function for classification | (2), (3) |
| µk | mean value of Gaussian distributions | (2) |
| σk | variance of Gaussian distributions | (2) |
| π | initial activity vector | - |
| A | transition probability matrix | (3) |
| G | emission possibility matrix | (3) |
| Vt,xt | probability value of hidden state xt corresponding to observation o at t based on the former states | (3) |
| E(u) | The mobility entropy of individual u | (4), (5), (9) |
| D | set of all trip destination stations | (4) |
| p(d) | probability of station d | (4) |
| H | total number of trips | (4), (9) |
| IMu | individual mobility characteristic of passenger u | (5) |
| cdu | commuting distance of passenger u | (5), (9) |
| SuH | home location of passenger u | (5) |
| {S1, …, SM} | Other-type activity locations of passenger u | (5) |
| M | total number of stations visited for other-type activities | (5), (8) |
| avs | average sale price | (6), (9) |
| avr | average rental price | (6), (9) |
| vs | variance value of the sale price | (6), (9) |
| vr | variance value of the rental price | (6), (9) |
| av1 | average catering price | (7)–(11) |
| av2 | average entertainment price | (7)–(11) |
| av3 | average shopping price | (7)–(11) |
| v1 | variance value of catering price | (7)–(11) |
| v2 | variance value of entertainment price | (7)–(11) |
| v3 | variance value of shopping price | (7)–(11) |
| N1 | total number of catering shop | (7), (8), (10), (11) |
| N2 | total number of entertainment shop | (7), (8), (10), (11) |
| N3 | total number of shopping shop | (7), (8), (10), (11) |
| pri | i average price of the ith shop | (10), (11) |
| cfi | ratio of the review score of the ith shop to the sum score of all category c shops | (10), (11) |
References
- Anda, C.; Erath, A.; Fourie, P.J. Transport modelling in the age of big data. Int. J. Urban Sci. 2017, 21, 19–42. [Google Scholar] [CrossRef]
- Diao, M.; Zhu, Y.; Ferreira, J.; Ratti, C. Inferring individual daily activities from mobile phone traces: A Boston example. Environ. Plan. B Plan. Des. 2015, 43, 920–940. [Google Scholar] [CrossRef]
- Jiang, S.; Yang, Y.; Gupta, S.; Veneziano, D.; Athavale, S.; González, M.C. The TimeGeo modeling framework for urban mobility without travel surveys. Proc. Natl. Acad. Sci. USA 2016, 113, E5370–E5378. [Google Scholar] [CrossRef] [PubMed]
- Ben-Akivai, M.; Bowman, J.L.; Gopinath, D. Travel demand model system for the information era. Transportation 1996, 23, 241–266. [Google Scholar] [CrossRef]
- Zhong, C.; Batty, M.; Manley, E.; Wang, J.; Wang, Z.; Chen, F.; Schmitt, G. Variability in regularity: Mining temporal mobility patterns in london, singapore and beijing using smart-card data. PLoS ONE 2016, 11, e0149222. [Google Scholar] [CrossRef] [PubMed]
- Hasan, S.; Schneider, C.M.; Ukkusuri, S.V.; González, M.C. Spatiotemporal patterns of urban human mobility. J. Stat. Phys. 2013, 151, 304–318. [Google Scholar] [CrossRef]
- Long, Y.; Zhang, Y.; Cui, C. Identifying commuting pattern of Beijing using bus smart card data. Acta Geogr. Sin. 2012, 67, 1339–1352. [Google Scholar]
- Ali, A.; Kim, J.; Lee, S. Travel behavior analysis using smart card data. KSCE J. Civ. Eng. 2016, 20, 1532–1539. [Google Scholar] [CrossRef]
- Han, G.; Sohn, K. Activity imputation for trip-chains elicited from smart-card data using a continuous hidden Markov model. Transp. Res. B Meth. 2016, 83, 121–135. [Google Scholar] [CrossRef]
- El Mahrsi, M.; Côme, E.; Baro, J.; Oukhellou, L. Understanding Passenger Patterns in Public Transit Through Smart Card and Socioeconomic Data: A case study in Rennes, France. In Proceedings of the 3rd International Workshop on Urban Computing, New York, NY, USA, 24 August 2014. [Google Scholar]
- Wang, D.; Chai, Y. The jobs-housing relationship and commuting in Beijing, China: The legacy of Danwei. J. Transp. Geogr. 2009, 17, 30–38. [Google Scholar] [CrossRef]
- Zhong, Y.; Yuan, N.J.; Zhong, W.; Zhang, F.; Xie, X. You Are Where You Go: Inferring Demographic Attributes from Location Check-ins. In Proceedings of the Eighth ACM International Conference on Web Search and Data Mining, Shanghai, China, 2–6 February 2015; pp. 295–304. [Google Scholar]
- Song, C.; Qu, Z.; Blumm, N.; Barabási, A.-L. Limits of predictability in human mobility. Science 2010, 327, 1018–1021. [Google Scholar] [CrossRef] [PubMed]
- Rao, D.; Yarowsky, D.; Shreevats, A.; Gupta, M. Classifying latent user attributes in twitter. In Proceedings of the 2nd International Workshop on Search and Mining User-Generated Contents, Toronto, ON, Canada, 30 October 2010; pp. 37–44. [Google Scholar]
- Preotiuc-Pietro, D.; Volkova, S.; Lampos, V.; Bachrach, Y.; Aletras, N. Studying User Income through Language, Behaviour and Affect in Social Media. PLoS ONE 2015, 10, e0138717. [Google Scholar] [CrossRef] [PubMed]
- Lampos, V.; Aletras, N.; Geyti, J.K.; Zou, B.; Cox, I.J. Inferring the Socioeconomic Status of Social Media Users Based on Behaviour and Language. In Advances in Information Retrieval. ECIR 2016; Springer: Cham, Switzerland, March 2016; pp. 689–695. [Google Scholar]
- Yo, T.; Sasahara, K. Inference of Personal Attributes from Tweets Using Machine Learning. In Proceedings of the 2017 IEEE International Conference on Big Data, Boston, MA, USA, 11–14 December 2017. [Google Scholar]
- Liu, X.; Zhu, T. Deep learning for constructing microblog behavior representation to identify social media user’s personality. PeerJ Comput. Sci. 2016, 2, e81. [Google Scholar] [CrossRef]
- Aletras, N.; Chamberlain, B.P. Predicting Twitter User Socioeconomic Attributes with Network and Language Information. arXiv, 2018; arXiv:1804.04095. [Google Scholar]
- Luo, S.; Morone, F.; Sarraute, C.; Travizano, M.; Makse, H.A. Inferring personal economic status from social network location. Nat. Commun. 2017, 8, 15227. [Google Scholar] [CrossRef] [PubMed]
- Fixman, M.; Berenstein, A.; Brea, J.; Minnoni, M.; Travizano, M.; Sarraute, C. A Bayesian Approach to Income Inference in a Communication Network. In Proceedings of the 2016 IEEE/ACM International Conference on Advances in Social Networks Analysis and Mining Asonam, San Francisco, CA, USA, 18–21 August 2016; pp. 579–582. [Google Scholar]
- Frias-Martinez, V.; Virseda-Jerez, J.; Frias-Martinez, E. On the relation between socio-economic status and physical mobility. Inf. Technol. Dev. 2012, 18, 91–106. [Google Scholar] [CrossRef]
- Pappalardo, L.; Pedreschi, D.; Smoreda, Z.; Giannotti, F. Using big data to study the link between human mobility and socio-economic development. In Proceedings of the 2015 IEEE International Conference on Big Data, Santa Clara, CA, USA, 29 October–1 November 2015; pp. 871–878. [Google Scholar]
- Cheng, L.; Chen, X.; Yang, S. An exploration of the relationships between socioeconomics, land use and daily trip chain pattern among low-income residents. Transp. Plan. Technol. 2016, 39, 358–369. [Google Scholar] [CrossRef]
- Goulet-Langlois, G.; Koutsopoulos, H.N.; Zhao, J. Inferring patterns in the multi-week activity sequences of public transport users. Transp. Res. Part C Emerg. Technol. 2016, 64, 1–16. [Google Scholar] [CrossRef]
- Zhao, P.; Lü, B.; Roo, G.D. Impact of the jobs-housing balance on urban commuting in Beijing in the transformation era. J. Transp. Geogr. 2011, 19, 59–69. [Google Scholar] [CrossRef]
- Zhu, Z.; Li, Z.; Liu, Y.; Chen, H.; Zeng, J. The impact of urban characteristics and residents’ income on commuting in China. Transp. Res. Part D Transp. Environ. 2017, 57, 474–483. [Google Scholar] [CrossRef]
- Zhu, Y. House Price and Shop Consumer Data. Available online: https://figshare.com/articles/House_price_and_shop_consumer_data/6845099 (accessed on 9 November 2018).
- Carrion, C.; Pereira, F.; Ball, R.; Zhao, F.; Kim, Y.; Nawarathne, K.; Zheng, N.; Zegras, C.; Ben-Akiva, M. Evaluating FMS: A preliminary comparison with a traditional travel survey. In Proceedings of the 93rd Annual Meeting Transportation Research Board, Washington, DC, USA, 12–16 January 2014. [Google Scholar]
- Jiang, S.; Ferreira, J.; González, M.C. Activity-based human mobility patterns inferred from mobile phone data: A case study of Singapore. IEEE Trans. Big Data 2017, 3, 208–219. [Google Scholar] [CrossRef]
- Zhao, Z.; Koutsopoulos, H.N.; Zhao, J. Individual mobility prediction using transit smart card data. Transp. Res. Part C Emerg. Technol. 2018, 89, 19–34. [Google Scholar] [CrossRef]
- Lee, S.G.; Hickman, M. Trip purpose inference using automated fare collection data. Public Transp. 2014, 6, 1–20. [Google Scholar] [CrossRef]
- Long, Y.; Thill, J.-C. Combining smart card data and household travel survey to analyze jobs-housing relationships in Beijing. Comput. Environ. Urban 2015, 53, 19–35. [Google Scholar] [CrossRef]
- Zhong, C.; Huang, X.; Müller Arisona, S.; Schmitt, G.; Batty, M. Inferring building functions from a probabilistic model using public transportation data. Comput. Environ. Urban 2014, 48, 124–137. [Google Scholar] [CrossRef]
- Yue, Z.; Chen, F.; Wang, Z.; Huang, J.; Wang, B. Classifications of Metro Stations by Clustering Smart Card Data Using the Gaussian Mixture Model. Urban Rapid Rail Transit 2017, 30, 50–54. [Google Scholar]
- Zucchini, W.; MacDonald, I.L. Hidden Markov Models for Time Series: An Introduction Using R; CRC Press: Boca Raton, FL, USA, 2009. [Google Scholar]
- Chakirov, A.; Erath, A. Activity identification and primary location modelling based on smart card payment data for public transport. In Proceedings of the 13th International Conference on Travel Behaviour Research, Toronto, ON, Canada, 15–20 July 2012. [Google Scholar]
- Fernández-Kranz, D.; Hon, M.T. A Cross-Section Analysis of the Income Elasticity of Housing Demand in Spain: Is There a Real Estate Bubble? J. Real Estate Financ. Econ. 2006, 32, 449–470. [Google Scholar] [CrossRef]
- Lin, C.-C.; Lin, S.-J. An Estimation of Elasticities of Consumption Demand and Investment Demand for Owner-Occupied Housing in Taiwan: A Two-Period Model. Int. Real Estate Rev. 1999, 2, 110–125. [Google Scholar]
- Frank, R.H.; Glass, A.J. Microeconomics and Behavior; McGraw-Hill: New York, NY, USA, 1991. [Google Scholar]
- Holmgren, J. Meta-analysis of public transport demand. Transp. Res. A Pol. 2007, 41, 1021–1035. [Google Scholar] [CrossRef]
- Schenker, E.; Wilson, J. The Use of Public Mass Transportation in the Major Metropolitan Areas of the United States. Land Econ. 1967, 43, 361–367. [Google Scholar] [CrossRef]
- Chow, G.C.; Niu, L. Housing Prices in Urban China as Determined by Demand and Supply. Pac. Econ. Rev. 2015, 20, 1–16. [Google Scholar] [CrossRef]
- Kalwij, A.; Salverda, W. The effects of changes in household demographics and employment on consumer demand patterns. Appl. Econ. 2007, 39, 1447–1460. [Google Scholar] [CrossRef]
- Allgrunn, M.; Weinandt, M. Is shopping at Walmart an inferior good? Evidence from 1997–2010. J. Appl. Bus. Econ. 2016, 18, 77–83. [Google Scholar]
- Killeen, P.R. An Alternative to Null-Hypothesis Significance Tests. Psychol. Sci. 2005, 16, 345–353. [Google Scholar] [CrossRef] [PubMed]
- Davies, D.L.; Bouldin, D.W. A Cluster Separation Measure. IEEE Trans. Pattern Anal. Mach. Intell. 1979, PAMI-1, 224–227. [Google Scholar] [CrossRef]
- Zhu, Y.; Chen, F.; Wang, Z.; Li, M. Passengers’ trip chains extraction method based on probabilistic graphical model. J. Jilin Univ. (Eng. Technol. Ed.) 2018, 1–7. [Google Scholar] [CrossRef]
- Zhao, F.; Pereira, F.; Ball, R.; Kim, Y.; Han, Y.; Zegras, C.; Ben-Akiva, M. Exploratory Analysis of a Smartphone-Based Travel Survey in Singapore. Transp. Res. Rec. J. Transp. Res. Board 2015, 2494, 45–56. [Google Scholar] [CrossRef]
- Miller, C.; Savage, I. Does the demand response to transit fare increases vary by income? Transp. Policy 2017, 55, 79–86. [Google Scholar] [CrossRef]
- Beijing Municipal Commission of Transport. The Fifth Comprehensive Survey of Urban Traffic in Beijing; Beijing Transportation Research Center: Beijing, China, 2016. [Google Scholar]








| Cluster 1 | Cluster 2 | Cluster 3 | Cluster 4 | Cluster 5 | Cluster 6 | |
|---|---|---|---|---|---|---|
| Activity start time | 9:22 | 8:16 | 9:50 | 15:47 | 16:34 | 19:13 |
| Duration/min | 468.54 | 613.33 | 149.56 | 136.20 | 1022.62 | 763.40 |
| Cluster 1 | Cluster 2 | Cluster 3 | Cluster 4 | Cluster 5 | Cluster 6 | Trip Purpose | |
|---|---|---|---|---|---|---|---|
| Activity 1 | 0.221 | 0.751 | 0 | 0 | 0 | 0.028 | Work |
| Activity 2 | 0.236 | 0.015 | 0.24 | 0.221 | 0.2 | 0.088 | Other |
| Activity 3 | 0 | 0 | 0.001 | 0.016 | 0.074 | 0.908 | Go home |
| Activity 4 | 0.763 | 0.115 | 0.044 | 0.078 | 0 | 0 | Work |
| 1 | 2 | 3 | 4 | 5 | |
|---|---|---|---|---|---|
| cd | −0.607 | −0.026 | −0.044 | −0.091 | 0.022 |
| H | −0.03 | −0.002 | −0.007 | −0.007 | 0.832 |
| avs | 0.84 | 0.015 | 0.026 | 0.204 | −0.031 |
| avr | 0.905 | 0.02 | 0.045 | 0.08 | −0.006 |
| vs | 0.808 | 0.011 | 0.013 | −0.002 | −0.02 |
| vr | 0.532 | −0.017 | −0.027 | −0.154 | 0.046 |
| av1 | 0.039 | 0.216 | 0.933 | 0 | 0 |
| av2 | 0.021 | 0.974 | 0.164 | 0.002 | 0.004 |
| av3 | 0.082 | −0.001 | −0.006 | 0.929 | 0.001 |
| v1 | 0.034 | 0.095 | 0.957 | −0.003 | −0.001 |
| v2 | 0.019 | 0.977 | 0.147 | 0.004 | 0.004 |
| v3 | 0.046 | 0.005 | 0.002 | 0.932 | −0.006 |
| E | 0.015 | 0.009 | 0.006 | 0.001 | 0.834 |
| avs | Cluster 1 | Cluster 2 | Cluster 3 | Cluster 4 | Cluster 5 | Cluster 6 | All |
|---|---|---|---|---|---|---|---|
| cd | −0.360 ** | −0.518 ** | −0.160 ** | −0.381 ** | −0.272 ** | −0.321 ** | −0.415 ** |
| H | −0.060 ** | −0.099 ** | −0.063 ** | −0.044 ** | 0.041 ** | −0.145 ** | −0.038 ** |
| av1 | 0.080 ** | 0.201 ** | 0.111 ** | 0.005 | 0.053 ** | 0.081 ** | 0.055 ** |
| av2 | 0.045 ** | 0.135 ** | 0.109 ** | 0.155 ** | 0.021 ** | 0.046 ** | 0.033 ** |
| av3 | 0.264 ** | 0.260 ** | 0.034 ** | 0.235 ** | 0.155 ** | 0.254 ** | 0.225 ** |
| E | −0.008 | −0.108 ** | −0.081 ** | −0.039 ** | 0.012 | −0.128 ** | −0.010 * |
| Sample (%) | 8.45 | 5.07 | 18.41 | 11.99 | 37.55 | 18.53 | 100 |
| avr | Cluster 1 | Cluster 2 | Cluster 3 | Cluster 4 | Cluster 5 | Cluster 6 | All |
|---|---|---|---|---|---|---|---|
| cd | −0.458 ** | −0.614 ** | −0.034 ** | −0.457 ** | −0.401 ** | −0.410 ** | −0.481 ** |
| H | −0.037 * | −0.103 ** | −0.084 ** | −0.036 ** | 0.048 ** | −0.127 ** | −0.029 ** |
| av1 | 0.093 ** | 0.243 ** | 0.108 ** | 0.039 ** | 0.074 ** | 0.090 ** | 0.082 ** |
| av2 | 0.053 ** | 0.149 ** | 0.123 ** | 0.103 ** | 0.041 ** | 0.051 ** | 0.047 ** |
| av3 | 0.212 ** | 0.203 ** | −0.202 ** | 0.164 ** | 0.129 ** | 0.223 ** | 0.136 ** |
| E | −0.009 | −0.109 ** | −0.088 ** | −0.024 | 0.008 | −0.107 ** | −0.003 |
© 2018 by the authors. Licensee MDPI, Basel, Switzerland. This article is an open access article distributed under the terms and conditions of the Creative Commons Attribution (CC BY) license (http://creativecommons.org/licenses/by/4.0/).
Share and Cite
Zhu, Y.; Chen, F.; Li, M.; Wang, Z. Inferring the Economic Attributes of Urban Rail Transit Passengers Based on Individual Mobility Using Multisource Data. Sustainability 2018, 10, 4178. https://doi.org/10.3390/su10114178
Zhu Y, Chen F, Li M, Wang Z. Inferring the Economic Attributes of Urban Rail Transit Passengers Based on Individual Mobility Using Multisource Data. Sustainability. 2018; 10(11):4178. https://doi.org/10.3390/su10114178
Chicago/Turabian StyleZhu, Yadi, Feng Chen, Ming Li, and Zijia Wang. 2018. "Inferring the Economic Attributes of Urban Rail Transit Passengers Based on Individual Mobility Using Multisource Data" Sustainability 10, no. 11: 4178. https://doi.org/10.3390/su10114178
APA StyleZhu, Y., Chen, F., Li, M., & Wang, Z. (2018). Inferring the Economic Attributes of Urban Rail Transit Passengers Based on Individual Mobility Using Multisource Data. Sustainability, 10(11), 4178. https://doi.org/10.3390/su10114178
