Effluents from Fish Farming Ponds: A View from the Perspective of Its Main Components
Abstract
1. Introduction
2. Materials and Methods
2.1. Study Area
2.2. Sampling and Analysis of Effluent Samples
2.3. Data Analysis
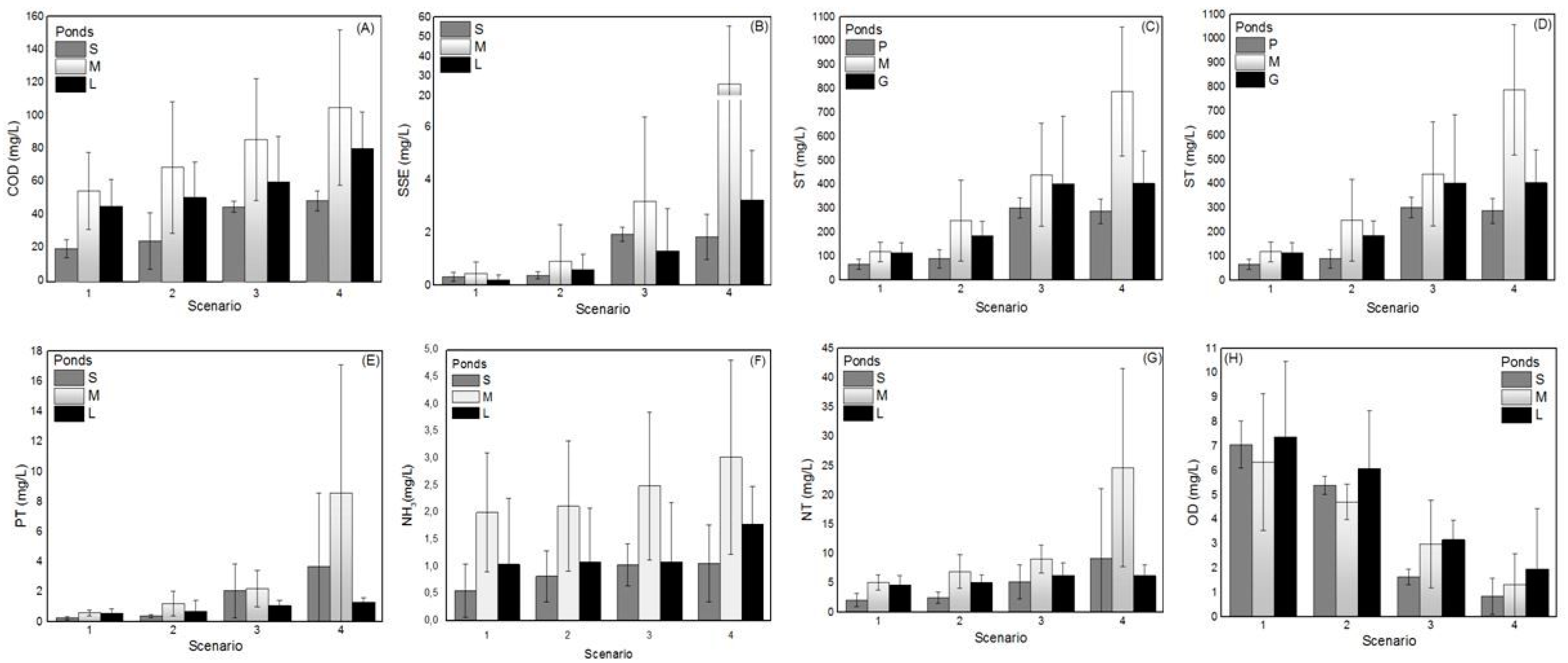
3. Results and Discussion
4. Conclusions
Acknowledgments
Author Contributions
Conflicts of Interest
References and Notes
- De Oliveira Sartori, A.G.; Amancio, R.D. Pescado: importância nutricional e consumo no Brasil. Segur. Aliment. Nutr. 2012, 19, 83–93. [Google Scholar]
- World Health Organization (WHO); United Nations University. Protein and Amino acid Requirements in Human Nutrition; World Health Organization: Geneva, Switzerland, 2007; Volume 935. [Google Scholar]
- Food and Agriculture Organization of the United Nations (FAO). The State of World Fisheries and Aquaculture 2016. Contributing to Food Security and Nutrition for All; FAO: Rome, Italy, 2016; p. 200. [Google Scholar]
- Cyrino, J.E.P.; Bicudo, Á.J.D.A.; Sado, R.Y.; Borghesi, R.; Dairik, J.K. A piscicultura e o ambiente: O uso de alimentos ambientalmente corretos em piscicultura. Rev. Bras. Zootec. 2010, 39, 68–87. [Google Scholar] [CrossRef]
- Kiedrzyńska, E.; Kiedrzyński, M.; Urbaniak, M.; Magnuszewski, A.; Skłodowski, M.; Wyrwicka, A.; Zalewski, M. Point sources of nutrient pollution in the lowland river catchment in the context of the Baltic Sea eutrophication. Ecol. Eng. 2014, 70, 337–348. [Google Scholar] [CrossRef]
- Palácio, S.M.; Espinoza-Quiñones, F.R.; de Pauli, A.R.; Piana, P.A.; Queiroz, C.B.; Fabris, S.C.; Fagundes-Klen, M.R.; Veit, M.T. Assessment of Anthropogenic Impacts on the Water Quality of Marreco River, Brazil, Based on Principal Component Analysis and Toxicological Assays. Water Air Soil Pollut. 2016, 227, 307. [Google Scholar] [CrossRef]
- Omofunmi, O.E.; Adewumi, J.K.; Adisa, A.F.; Alegbeleye, S.O. To Assess the Impact Catfish Farm Effluents on Water Quality of Majidun Stream, South-West, Nigeria. J. Environ. Sci. Toxicol. Food Technol. 2016, 10, 28–35. [Google Scholar]
- Porrello, S.; Lenzi, M.; Persia, E.; Tomassetti, P.; Finoia, M.G. Reduction of aquaculture wastewater eutrophication by phytotreatment ponds system: I. Dissolved and particulate nitrogen and phosphorus. Aquaculture 2003, 219, 515–529. [Google Scholar] [CrossRef]
- Abd-Elrahman, A.; Croxton, M.; Pande-Chettri, R.; Toor, G.S.; Smith, S.; Hill, J. In situ estimation of water quality parameters in freshwater aquaculture ponds using hyperspectral imaging system. ISPRS J. Photogramm. Remote Sens. 2011, 66, 463–472. [Google Scholar] [CrossRef]
- Crab, R.; Defoirdt, T.; Bossier, P.; Verstraete, W. Biofloc technology in aquaculture: Beneficial effects and future challenges. Aquaculture 2012, 356, 351–356. [Google Scholar] [CrossRef]
- Abdel-Tawwab, M.; Hagras, A.E.; Elbaghdady, H.A.M.; Monier, M.N. Effects of dissolved oxygen and fish size on Nile tilapia, Oreochromis niloticus (L.): Growth performance, whole-body composition, and innate immunity. Aquac. Int. 2015, 23, 1261–1274. [Google Scholar] [CrossRef]
- Xu, Z.; Boyd, C.E. Reducing the monitoring parameters of fish pond water quality. Aquaculture 2016, 465, 359–366. [Google Scholar] [CrossRef]
- Duarte, S.; Reig, L.; Masaló, I.; Blanco, M.; Oca, J. Influence of tank geometry and flow pattern in fish distribution. Aquac. Eng. 2011, 44, 48–54. [Google Scholar] [CrossRef]
- Ross, R.M.; Watten, B.J.; Krise, W.F.; DiLauro, M.N.; Soderberg, R.W. Influence of tank design and hydraulic loading on the behavior, growth, and metabolism of rainbow trout (Oncorhynchus mykiss). Aquac. Eng. 1995, 14, 29–47. [Google Scholar] [CrossRef]
- Oca, J.; Masaló, I. Design criteria for rotating flow cells in rectangular aquaculture tanks. Aquac. Eng. 2007, 36, 36–44. [Google Scholar] [CrossRef]
- Oca, J.; Masaló, I.; Reig, L. Comparative analysis of flow patterns in aquaculture rectangular tanks with different water inlet characteristics. Aquac. Eng. 2004, 31, 221–236. [Google Scholar] [CrossRef]
- American Public Health Association (APHA). Standard Methods for the Examination of Water and Wastewater; APHA: Washington, DC, USA, 2005. [Google Scholar]
- Borcard, D.; Gillet, F.; Legendre, P. Numerical Ecology with R; Springer: New York, NY, USA, 2011; p. 319. [Google Scholar]
- Quinn, G.P.; Michael, J.K. Experimental Design and Data Analysis for Biologists; Cambridge University Press: Cambridge, UK, 2002. [Google Scholar]
- STATISTICA (Data Analysis Software System), version 7.1; StatSoft: Tulsa, OK, USA, 2005.
- Von Sperling, M. Introdução à Qualidade das Águas e ao Tratamento de Esgotos, 4th ed.; UFMG: Belo Horizonte, Brazil, 2014; Volume 1, p. 472. [Google Scholar]
- Boyd, C. Sustainable aquaculture practices: Phytoplankton dynamics in aquaculture ponds. Glob. Aquac. Advocate 2006, 1, 67–68. [Google Scholar]
- Boyd, C.E.; Gautier, D. Effluent composition and water quality standards. Glob. Aquac. Advocate 2000, 3, 61–66. [Google Scholar]
- Boyd, C.E. Guidelines for aquaculture effluent management at the farm-level. Aquaculture 2003, 226, 101–112. [Google Scholar] [CrossRef]
- Frimpong, E.A.; Ansah, Y.B.; Amisah, S.; Adjei-Boateng, D.; Agbo, N.W.; Egna, H. Effects of two environmental best management practices on pond water and effluent quality and growth of Nile tilapia, Oreochromis niloticus. Sustainability 2014, 6, 652–675. [Google Scholar] [CrossRef]
- Boyd, C.E. Water Quality in Ponds for Aquaculture; International Center for Aquaculture, Alabama Agricultural Experiment Station, Auburn University: Auburn, AL, USA, 1990. [Google Scholar]
- Biesterfeld, S.; Farmer, G.; Russell, P.; Figueroa, L. Effect of alkalinity type and concentration on nitrifying biofilm activity. Water Environ. Res. 2003, 75, 196–204. [Google Scholar] [CrossRef] [PubMed]
- Brasil, Resolução CONAMA n° 357 de 17 de Março de 2005. Dispõe sobre a classificação dos corpos de água e diretrizes ambientais para o seu enquadramento, bem como estabelece as condições e padrões de lançamento de efluentes, e dá outras providências. In Diário Oficial da União: República Federativa do Brasil, Brasília, Brazil, n° 53, Seção 1; 2005; pp. 58–63.
- Brasil, Resolução CONAMA n° 430, de 13 de maio de 2011. Dispõe sobre as condições e padrões de lançamento de efluentes. In Diário Oficial da União: Republica Federativa do Brasil, Brasília, Brazil, n° 92; 2011; pp. 89–96.
- Hardy, R.W. Collaborative opportunities between fish nutrition and other disciplines in aquaculture: An overview. Aquaculture 1999, 177, 217–230. [Google Scholar] [CrossRef]
- Dieterich, F.; Boscolo, W.R.; Losch, J.A.; Feiden, A.; Furuya, W.M.; Signor, A.A. Fontes de fósforo em rações orgânicas para alevinos e juvenis de tilápia-do-nilo. Pesquisa Agropecuária Brasileira 2012, 47, 417–424. [Google Scholar] [CrossRef]
- Hu, J.; Qiao, Y.; Zhou, L.; Li, S. Spatiotemporal distributions of nutrients in the downstream from Gezhouba Dam in Yangtze River, China. Environ. Sci. Pollut. Res. 2012, 19, 2849–2859. [Google Scholar] [CrossRef] [PubMed]
- Macedo, C.F.; Sipauba-Tavares, L.H. Eutrofização e qualidade da água na piscicultura: consequências e recomendações. Bol. Inst. Pesca 2010, 36, 149–163. [Google Scholar]
- Hargreaves, J.A.; Tucker, C.S. Managing Ammonia in Fish Ponds; Southern Regional Aquaculture Center Stoneville: Stoneville, MS, USA, 2004; Volume 4603. [Google Scholar]
- Durborow, R.M.; Crosby, D.M.; Brunson, M.W. Ammonia in fish ponds. J. Fish. Res. Board Can. 1997, 32, 2379–2383. [Google Scholar]
- Ribeiro, G.M.; Maia, C.E.; Medeiros, J.F.D. Uso da regressão linear para estimativa da relação entre a condutividade elétrica e a composição iônica da água de irrigação. Rev. Bras. Eng. Agric. Ambient. 2005, 9, 15–22. [Google Scholar] [CrossRef]
- Zimmermann, S.; Moreira, H.; Vargas, L.; Ribeiro, R. Fundamentos da Moderna Aquicultura; ULBRA: Canoas, Brazil, 2001. [Google Scholar]
- Watten, B.J.; Beck, L.T. Comparative hydraulics of a rectangular cross-flow rearing unit. Aquac. Eng. 1987, 6, 127–140. [Google Scholar] [CrossRef]
- Colt, J.; Kroeger, E. Impact of aeration and alkalinity on the water quality and product quality of transported tilapia—A simulation study. Aquac. Eng. 2013, 55, 46–58. [Google Scholar] [CrossRef]
- Boyd, C. Water Quality in Warmwater Fish Ponds; Auburn University: Auburn, AL, USA, 1979. [Google Scholar]
- Schroeder, G.L.; Alkon, A.; Laher, M. Nutrient flow in pond aquaculture systems. Aquac. Water Qual. Adv. World Aquac. 1991, 3, 489–505. [Google Scholar]
- Green, J.; Brannon, E.; Hardy, R. Effects of dietary phosphorus and lipid levels on utilization and excretion of phosphorus and nitrogen by rainbow trout (Oncorhynchus mykiss). 2. Production-scale study. Aquac. Nutr. 2002, 8, 291–298. [Google Scholar] [CrossRef]
- Turcios, A.E.; Papenbrock, J. Sustainable treatment of aquaculture effluents—What can we learn from the past for the future? Sustainability 2014, 6, 836–856. [Google Scholar] [CrossRef]
- Hardy, R.W.; Gatlin, D.M. Nutritional strategies to reduce nutrient losses in intensive aquaculture. In Avances en Nutrición Aqcuícola VI; Memorías del VI Simposium Internacional de Nutrición Acuícola: Cancún, Mexico, 2002; pp. 23–34. [Google Scholar]





| Parameter | Small | Medium | Large | VPM 1 | |||||||||
|---|---|---|---|---|---|---|---|---|---|---|---|---|---|
| C1 | C2 | C3 | C4 | C1 | C2 | C3 | C4 | C1 | C2 | C3 | C4 | ||
| CaCO3 (mg/L) | 11.9 ± 4.87 | 12.08 ± 4.04 | 13.13 ± 3.47 | 15.63 ± 9.03 | 26.00 ± 9.70 | 20.50 ± 6.14 | 21.00 ± 4.24 | 26.25 ± 6.70 | 17.20 ± 10.37 | 17.68 ± 9.23 | 17.6 ± 8.64 | 18.75 ± 6.50 | - |
| TH (mg/L) | 9.60 ± 1.99 | 10.35 ± 1.81 | 16.75 ± 4.99 | 19.75 ± 7.27 | 21.80 ± 9.15 | 20.00 ± 7.83 | 19.30 ± 7.23 | 23.00 ± 7.07 | 18.75 ± 7.63 | 19.25 ± 7.50 | 18.75 ± 7.41 | 18.25 ± 10.40 | - |
| BOD (mg/L) | 6.98 ± 2.95 | 7.48 ± 3.83 | 11.93 ± 1.72 | 12.00 ± 1.41 | 27.03 ± 17.48 | 33.55 ± 26.04 | 49.2 ± 33.26 | 38.75 ± 15.39 | 23.9 ± 13.15 | 29.75 ± 14.08 | 28.0 ± 12.91 | 27.75 ± 12.28 | - |
| COD (mg/L) | 19.25 ± 5.50 | 23.75 ± 17.17 | 44.50 ± 3.32 | 48.25 ± 6.02 | 54.25 ± 23.34 | 68.50 ± 39.87 | 85.25 ± 36.86 | 104.7 ± 47.0 | 44.75 ± 16.46 | 50.25 ± 21.53 | 59.5 ± 27.69 | 80.00 ± 21.92 | - |
| COD/BOD | 2.76 | 3.18 | 3.73 | 4.02 | 2.01 | 2.04 | 1.73 | 2.70 | 1.87 | 1.69 | 2.13 | 2.88 | - |
| TP (mg/L) | 0.26 ± 0.11 | 0.39 ± 0.11 | 2.06 ± 1.78 | 3.67 ± 4.92 | 0.59 ± 0.20 | 1.22 ± 0.82 | 2.20 ± 1.21 | 8.56 ± 8.54 | 0.56 ± 0.29 | 0.68 ± 0.37 | 1.07 ± 0.74 | 1.30 ± 0.31 | 0.5 |
| PO4 (mg/L) | 0.027 ± 0.03 | 0.02 ± 0.01 | 0.01 ± 0.00 | 0.03 ± 0.03 | 0.03 ± 0.04 | 0.02 ± 0.02 | 0.01 ± 0.01 | 0.07 ± 0.10 | 0.01 ± 0.01 | 0.02 ± 0.02 | 0.01 ± 0.01 | 0.02 ± 0.01 | - |
| NO3− (mg/L) | 0.49 ± 0.16 | 0.40 ± 0.08 | 0.42 ± 0.15 | 0.36 ± 0.21 | 0.54 ± 0.21 | 0.99 ± 0.78 | 0.79 ± 0.61 | 0.47 ± 0.41 | 1.22 ± 1.06 | 1.18 ± 0.82 | 1.01 ± 0.79 | 0.47 ± 0.53 | 10 |
| NO2− (mg/L) | 0.03 ± 0.02 | 0.21 ± 0.19 | 0.03 ± 0.02 | 0.04 ± 0.03 | 0.46 ± 0.34 | 0.45 ± 0.41 | 0.43 ± 0.37 | 0.19 ± 0.14 | 0.24 ± 0.23 | 0.25 ± 0.15 | 0.21 ± 0.24 | 0.20 ± 0.26 | 1 |
| NH3 (mg/L) | 0.55 ± 0.49 | 0.82 ± 0.47 | 1.03 ± 0.36 | 1.06 ± 0.71 | 2.00 ± 1.10 | 2.12 ± 1.20 | 2.49 ± 1.37 | 3.23 ± 1.79 | 1.04 ± 1.22 | 1.08 ± 1.00 | 1.09 ± 1.10 | 1.78 ± 0.70 | 20 |
| TN (mg/L) | 2.08 ± 1.14 | 2.48 ± 0.99 | 5.18 ± 2.90 | 9.25 ± 11.87 | 5.10 ± 1.28 | 6.98 ± 2.83 | 9.08 ± 2.40 | 24.68 ± 16.91 | 4.68 ± 1.61 | 5.05 ± 1.31 | 6.30 ± 2.16 | 6.25 ± 1.85 | - |
| SES (mL/L) | 0.33 ± 0.17 | 0.38 ± 0.13 | 1.93 ± 0.26 | 1.83 ± 0.85 | 0.45 ± 0.44 | 0.90 ± 1.40 | 3.18 ± 3.19 | 26.05 ± 29.43 | 0.20 ± 0.20 | 0.58 ± 0.59 | 1.90 ± 1.61 | 3.23 ± 1.87 | 1 |
| SS (mg/L) | 27.00 ± 1.51 | 48.75 ± 20.29 | 257.0 ± 50.28 | 238.3 ± 66.0 | 66.75 ± 34.70 | 201.5 ± 162.9 | 382.0 ± 202.0 | 690.1 ± 247.5 | 67.75 ± 24.32 | 119.25 ± 52.6 | 337.7 ± 282.2 | 337.5 ± 141.5 | - |
| TS (mg/L) | 66.75 ± 21.08 | 88.75 ± 38.74 | 302.0 ± 41.74 | 288.0 ± 51.63 | 119 ± 40.96 | 249 ± 170.24 | 440 ± 216.03 | 788.0 ± 270.1 | 114.25 ± 42.2 | 186.5 ± 60.18 | 403 ± 282.82 | 404.5 ± 134.7 | - |
| TDS (mgL) | 22.5 ± 5.00 | 46.25 ± 21.75 | 76.25 ± 16.01 | 57.5 ± 5.00 | 40.00 ± 16.83 | 40.0 ± 14.72 | 58.75 ± 21.75 | 66.25 ± 8.54 | 40.00 ± 10.80 | 51.25 ± 25.94 | 61.25 ± 23.58 | 45.00 ± 9.13 | 500 |
| DO (mg/L) | 7.07 ± 0.96 | 5.40 ± 0.98 | 1.64 ± 0.32 | 0.86 ± 0.74 | 6.36 ± 2.80 | 4.72 ± 0.72 | 2.99 ± 1.81 | 1.31 ± 1.27 | 7.38 ± 3.09 | 6.08 ± 2.40 | 3.17 ± 0.79 | 1.97 ± 2.48 | ≥5 |
| DO% | 92.37 ± 5.63 | 60.53 ± 7.78 | 18.00 ± 3.70 | 10.5 ± 10.47 | 76.60 ± 29.57 | 54.55 ± 9.29 | 33.76 ± 20.27 | 14.18 ± 14.19 | 90.38 ± 27.37 | 70.48 ± 29.69 | 37.38 ± 10.22 | 22.23 ± 27.57 | - |
| EC (μ.S/cm) | 50.0 ± 10.0 | 93.75 ± 48.02 | 152.5 ± 27.54 | 118.75 ± 8.54 | 82.50 ± 32.27 | 82.50 ± 27.84 | 117.5 ± 42.52 | 133.8 ± 14.4 | 8.25 ± 25.29 | 105 ± 50.50 | 123.75 ± 49.6 | 91.25 ± 20.16 | - |
| pH | 6.96 ± 0.40 | 6.81 ± 0.55 | 6.35 ± 0.12 | 6.29 ± 0.12 | 6.89 ± 0.28 | 6.74 ± 0.11 | 6.63 ± 0.23 | 6.59 ± 0.20 | 6.79 ± 0.21 | 6.50 ± 0.37 | 6.43 ± 0.37 | 6.34 ± 0.21 | 5–9 |
| T °C ef 2 | 25.50 ± 2.89 | 15.50 ± 1.45 | 18.00 ± 5.35 | 22.88 ± 8.19 | 23.75 ± 4.57 | 15.50 ± 1.73 | 14.50 ± 1.73 | 18.25 ± 4.57 | 24.25 ± 2.22 | 18.00 ± 2.58 | 16.75 ± 0.96 | 26.75 ± 6.65 | - |
| T °C ar 3 | 21.70 ± 1.96 | 19.25 ± 0.55 | 18.55 ± 2.74 | 21.33 ± 5.81 | 21.83 ± 3.25 | 20.33 ± 1.25 | 19.90 ± 1.07 | 19.18 ± 1.14 | 21.60 ± 1.74 | 21.78 ± 1.70 | 21.68 ± 1.80 | 24.50 ± 5.13 | - |
| PC1 | PC2 | CaCO3 | BOD | COD | TH | NO3− | NO2− | SES | SS | TS | TP | NH3 | TN | PO4 | pH | DO | DO% | EC | |
|---|---|---|---|---|---|---|---|---|---|---|---|---|---|---|---|---|---|---|---|
| Autovalue | 2.66 | 1.83 | |||||||||||||||||
| Explanation (%) | 39.46 | 15.6 | |||||||||||||||||
| CaCO3 (mg/L) | 0.35 | 0.42 | |||||||||||||||||
| BOD (mg/L) | 0.55 | 0.69 | 0.26 | ||||||||||||||||
| COD (mg/L) | 0.79 | 0.36 | 0.28 | 0.72 | |||||||||||||||
| TH (mg/L) | 0.33 | 0.48 | 0.54 | 0.46 | 0.19 | ||||||||||||||
| NO3− (mg/L) | −0.01 | 0.58 | −0.21 | 0.59 | 0.23 | 0.36 | |||||||||||||
| NO2− (mg/L) | 0.15 | 0.78 | 0.2 | 0.77 | 0.37 | 0.48 | 0.62 | ||||||||||||
| SES (mg/L) | 0.68 | −0.05 | 0.08 | 0.3 | 0.52 | −0.05 | −0.17 | −0.06 | |||||||||||
| SS (mg/L) | 0.88 | −0.04 | 0.17 | 0.49 | 0.75 | 0.11 | −0.02 | 0.08 | 0.64 | ||||||||||
| TS (mg/L) | 0.89 | −0.03 | 0.18 | 0.51 | 0.76 | 0.13 | 0 | 0.09 | 0.66 | 0.99 | |||||||||
| TP (mg/L) | 0.75 | −0.06 | 0.16 | 0.27 | 0.5 | 0.06 | −0.16 | −0.06 | 0.89 | 0.62 | 0.64 | ||||||||
| NH3 (mg/L) | 0.62 | 0.35 | 0.66 | 0.52 | 0.67 | 0.18 | −0.17 | 0.27 | 0.43 | 0.53 | 0.53 | 0.42 | |||||||
| TN (mg/L) | 0.81 | 0.09 | 0.31 | 0.42 | 0.59 | 0.16 | −0.07 | 0.06 | 0.85 | 0.7 | 0.71 | 0.95 | 0.52 | ||||||
| PO4 (mg/L) | 0.5 | 0.23 | 0.2 | 0.31 | 0.47 | 0.08 | −0.03 | 0.11 | 0.72 | 0.35 | 0.37 | 0.73 | 0.53 | 0.67 | |||||
| pH | −0.44 | 0.31 | 0.2 | −0.13 | −0.17 | −0.24 | −0.21 | 0.07 | −0.15 | −0.29 | −0.31 | −0.22 | 0.19 | −0.18 | −0.06 | ||||
| DO (mg/L) | −0.59 | 0.55 | −0.03 | 0 | −0.22 | −0.15 | 0.25 | 0.26 | −0.26 | −0.45 | −0.45 | −0.36 | −0.11 | −0.34 | 0.03 | 0.5 | |||
| DO% | −0.62 | 0.54 | −0.04 | −0.02 | −0.25 | −0.16 | 0.26 | 0.24 | −0.27 | −0.48 | −0.47 | −0.37 | −0.15 | −0.35 | 0.01 | 0.51 | 0.99 | ||
| EC (μS/cm) | 0.5 | −0.57 | −0.04 | −0.06 | 0.15 | −0.06 | −0.2 | −0.21 | 0.24 | 0.45 | 0.45 | 0.26 | 0.1 | 0.24 | 0.05 | −0.43 | −0.47 | −0.49 | |
| TDS (mg/L) | 0.51 | −0.55 | −0.02 | −0.05 | 0.17 | −0.06 | −0.2 | −0.2 | 0.25 | 0.45 | 0.44 | 0.26 | 0.12 | 0.24 | 0.07 | −0.43 | −0.45 | −0.48 | 0.99 |
| PC1 * | PC2 ** | |||||||
|---|---|---|---|---|---|---|---|---|
| Variation Source | F | p | GG (ε) | p | HF (ε) | p | F | p |
| Size | 12.85 | 0.002 | - | - | - | - | 3.46 | 0.077 |
| Scenario | 35.77 | <0.001 | 0.49 | <0.001 | 0.57 | <0.001 | 14.70 | <0.001 |
| Size: Scenario | 1.89 | 0.119 | 0.49 | 0.180 | 0.57 | 0.169 | 0.62 | 0.710 |
© 2017 by the authors. Licensee MDPI, Basel, Switzerland. This article is an open access article distributed under the terms and conditions of the Creative Commons Attribution (CC BY) license (http://creativecommons.org/licenses/by/4.0/).
Share and Cite
Coldebella, A.; Gentelini, A.L.; Piana, P.A.; Coldebella, P.F.; Boscolo, W.R.; Feiden, A. Effluents from Fish Farming Ponds: A View from the Perspective of Its Main Components. Sustainability 2018, 10, 3. https://doi.org/10.3390/su10010003
Coldebella A, Gentelini AL, Piana PA, Coldebella PF, Boscolo WR, Feiden A. Effluents from Fish Farming Ponds: A View from the Perspective of Its Main Components. Sustainability. 2018; 10(1):3. https://doi.org/10.3390/su10010003
Chicago/Turabian StyleColdebella, Anderson, André Luis Gentelini, Pitágoras Augusto Piana, Priscila Ferri Coldebella, Wilson Rogério Boscolo, and Aldi Feiden. 2018. "Effluents from Fish Farming Ponds: A View from the Perspective of Its Main Components" Sustainability 10, no. 1: 3. https://doi.org/10.3390/su10010003
APA StyleColdebella, A., Gentelini, A. L., Piana, P. A., Coldebella, P. F., Boscolo, W. R., & Feiden, A. (2018). Effluents from Fish Farming Ponds: A View from the Perspective of Its Main Components. Sustainability, 10(1), 3. https://doi.org/10.3390/su10010003

