Genotoxic Impact of a Municipal Effluent Dispersion Plume in the Freshwater Mussel Elliptio complanata: An In Situ Study †
Introduction
Materials and Methods
Mussel handling and caging
Biomarkers
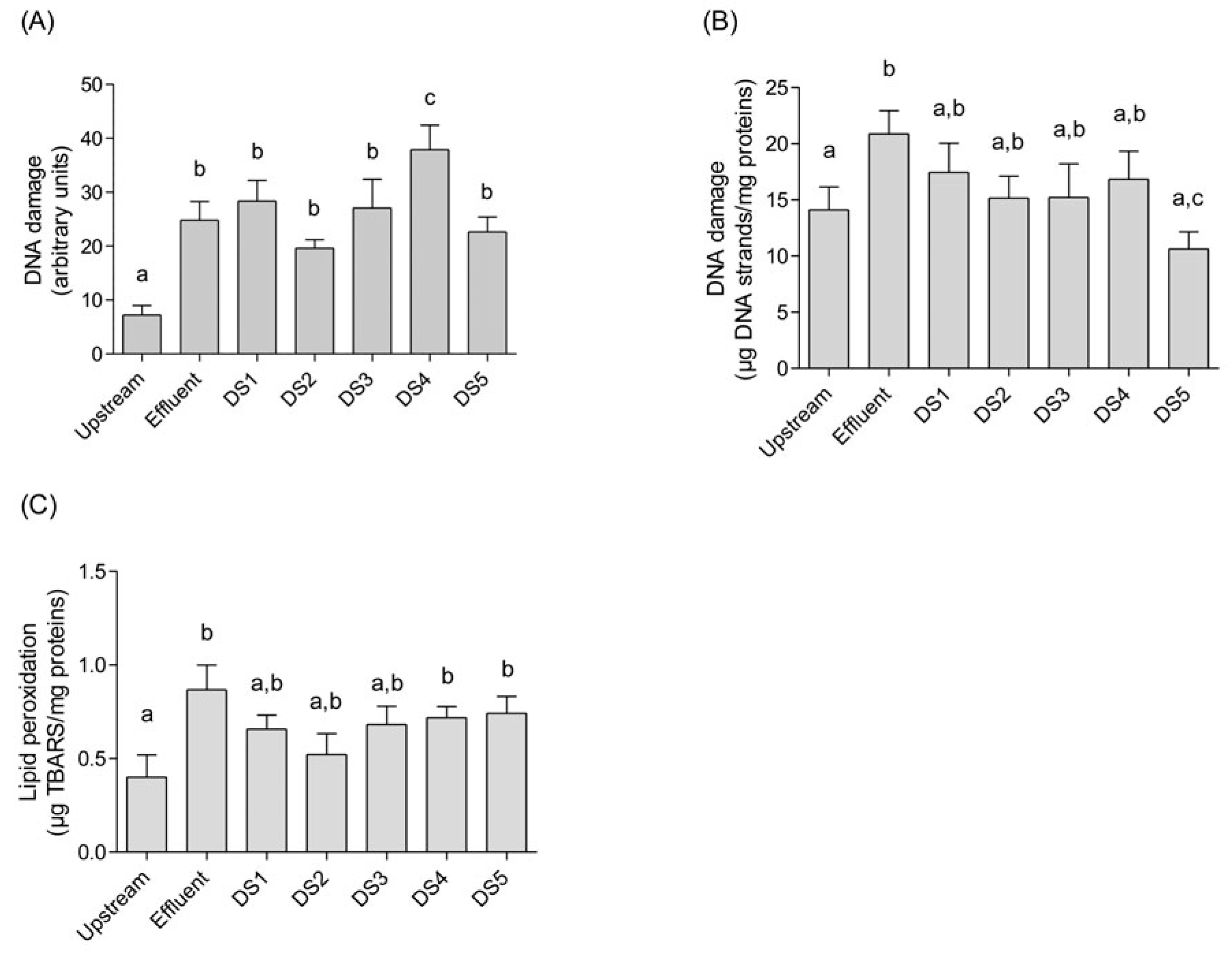
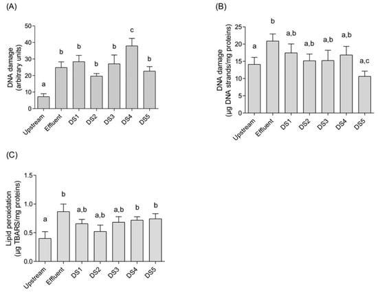
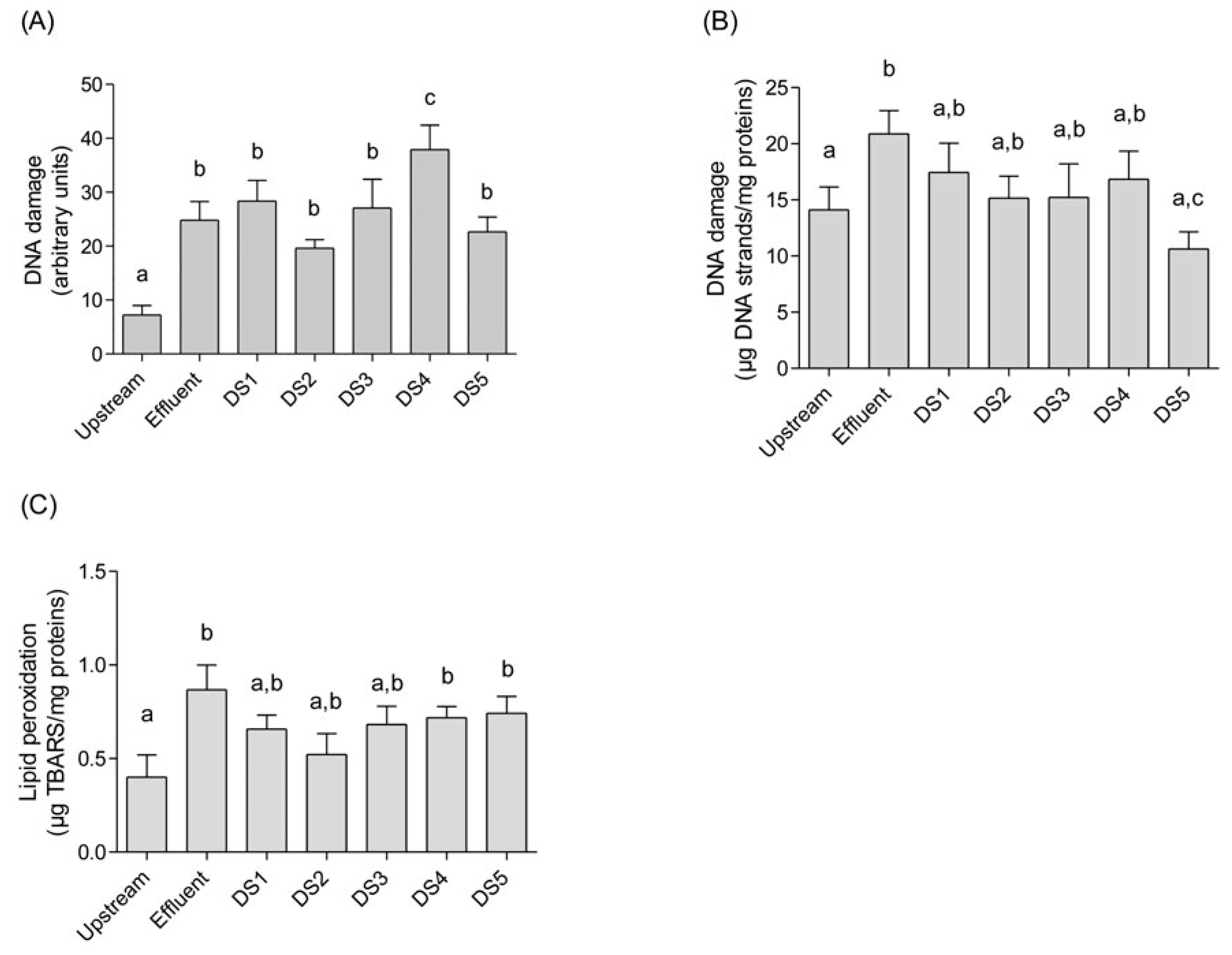
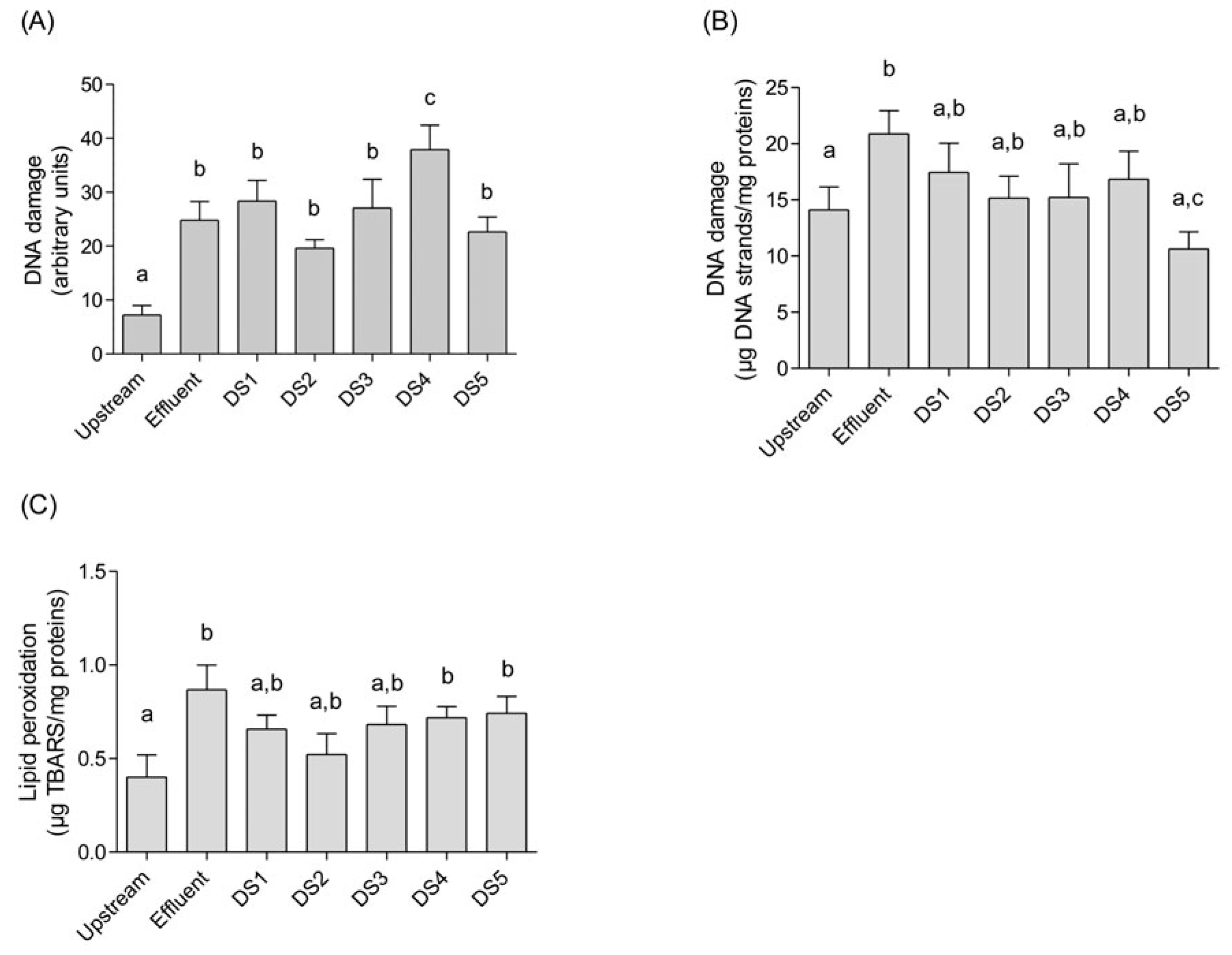
Results and Discussion
Acknowledgments
References
- Ohe, T.; Watanabe, T.; Wakabayashi, K. Mutagens in surface waters: A review. Mutat Res 2004, 567, 109–149. [Google Scholar] [CrossRef] [PubMed]
- Joss, A.; Siegrist, H.; Ternes, T.A. Are we about to upgrade wastewater treatment for removing organic micropollutants? Water Sci Technol 2008, 57, 251–255. [Google Scholar] [CrossRef] [PubMed]
- Farcy, E.; Gagné, F.; Martel, L.; Fortier, M.; Trépanier, S.; Brousseau, P.; et al. Short-term physiological effects of a xenobiotic mixture on the freshwater mussel Elliptio complanata exposed to municipal efflu ents. Environ Res 2011, 111, 1096–1206. [Google Scholar] [CrossRef] [PubMed]
- Gagné, F.; Bouchard, B.; André, C.; Farcy, E.; Fournier, M. Evidence of feminization in wild Elliptio complanata mussels in the receiving waters downstream of a municipal effluent outfall. Comp Biochem Phys C 2011, 153, 99–106. [Google Scholar] [CrossRef] [PubMed]
- Bouchard, B.; Gagné, F.; Fortier, M.; Fournier, M. An in-situ study of the impacts of urban wastewater on the immune and reproductive systems of the freshwater mussel Elliptio complanata. Comp Biochem Physiol C Toxicol Pharmacol 2009, 150, 132–140. [Google Scholar] [CrossRef] [PubMed]
- Jha, A.N. Genotoxicological studies in aquatic organisms: An overview. Mutat Res Fund Mol M 2004, 552, 1–17. [Google Scholar] [CrossRef] [PubMed]
- Cheng, T.C. Bivalves. In Invertebrates Blood Cells; Ratcliffe, N.A., Rowley, A.F., Eds.; Academic Press: London, UK, 2001. [Google Scholar]
- Bradford, M.M. A rapid and sensitive method for the quantitation of microgram quantities of protein utilizing the principle of protein dye binding. Anal Biochem 1976, 72, 248–254. [Google Scholar] [CrossRef] [PubMed]
- Wills, E.D. Evaluation of lipid peroxidation in lipids and biological membranes. In Biochemical Toxicology: A Practical Approach; Snell, K., Mullock, B., Eds.; IRL Press: Washington, DC, USA, 1987. [Google Scholar]
- Olive, P.L. DNA precipitation assay: A rapid and simple method for detecting DNA damage in mammalian cells. Environ Mol Mutagen 1988, 11, 487–495. [Google Scholar] [CrossRef] [PubMed]
- Gagné, F.; Blaise, C. Evaluation of the genotoxicity of environmental contaminants in sediments to rainbow trout hepatocytes. Environ Toxic Water 1995, 10, 217–229. [Google Scholar] [CrossRef]
- Singh, N.P.; McCoy, M.T.; Tice, R.R.; Schneider, E.L. A simple technique for quantitation of low levels of DNA damage in individual cells. Exp Cell Res 1988, 175, 184–191. [Google Scholar] [CrossRef] [PubMed]
- Collins, A.R.; Dobson, V.L.; Dušinská, M.; Kennedy, G.; Št tina, R. The comet assay: What can it really tell us? Mutat Res Fund Mol M 1997, 375, 183–193. [Google Scholar] [CrossRef] [PubMed]
- White, P.A.; Rasmussen, J.B.; Blaise, C. Genotoxic substances in the St. Lawrence system I: Industrial genotoxins sorbed to particulate matter in the St. Lawrence, St. Maurice, and Saguenay Rivers, Canada. Environ. Toxicol Chem 1998, 17, 286–303. [Google Scholar]
- Gagnon, C.; Gagné, F.; Turcotte, P.; Saulnier, I.; Blaise, C.; Salazar, M.; et al. Exposure of caged mussels to metals in a primary-treated municipal wastewater plume. Chemosphere 2006, 62, 998–1010. [Google Scholar] [CrossRef] [PubMed]
- Lacaze, E.; Devaux, A.; Mons, R.; Bony, S.; Garric, J.; Geffard, A.; et al. DNA damage in caged Gammarus fossarum amphipods: A tool for freshwater genotoxicity assessment. Environ Poll 2011, 159, 1682–1691. [Google Scholar] [CrossRef] [PubMed]


![]() |
© Copyright E. Lacaze et al., 2013 Licensee PAGEPress, Italy. This work is licensed under a Creative Commons Attribution NonCommercial 3.0 License (CC BYNC 3.0). (CC BY-NC 3.0).
Share and Cite
Lacaze, E.; Devaux, A.; Bony, S.; Bruneau, A.; André, C.; Pelletier, M.; Gagné, F. Genotoxic Impact of a Municipal Effluent Dispersion Plume in the Freshwater Mussel Elliptio complanata: An In Situ Study. J. Xenobiot. 2013, 3, s1e6. https://doi.org/10.4081/xeno.2013.s1.e6
Lacaze E, Devaux A, Bony S, Bruneau A, André C, Pelletier M, Gagné F. Genotoxic Impact of a Municipal Effluent Dispersion Plume in the Freshwater Mussel Elliptio complanata: An In Situ Study. Journal of Xenobiotics. 2013; 3(s1):s1e6. https://doi.org/10.4081/xeno.2013.s1.e6
Chicago/Turabian StyleLacaze, E., A. Devaux, S. Bony, A. Bruneau, C. André, M. Pelletier, and F. Gagné. 2013. "Genotoxic Impact of a Municipal Effluent Dispersion Plume in the Freshwater Mussel Elliptio complanata: An In Situ Study" Journal of Xenobiotics 3, no. s1: s1e6. https://doi.org/10.4081/xeno.2013.s1.e6
APA StyleLacaze, E., Devaux, A., Bony, S., Bruneau, A., André, C., Pelletier, M., & Gagné, F. (2013). Genotoxic Impact of a Municipal Effluent Dispersion Plume in the Freshwater Mussel Elliptio complanata: An In Situ Study. Journal of Xenobiotics, 3(s1), s1e6. https://doi.org/10.4081/xeno.2013.s1.e6

