Coffee Waste as a Green Precursor for Iron Nanoparticles: Toward Circular, Efficient and Eco-Friendly Dye Removal from Aqueous Systems
Abstract
1. Introduction
2. Materials and Methods
2.1. Extraction and Determination of the Polyphenol Content of the Coffee Residue
2.2. Synthesis of Zero-Valent Iron Nanoparticles, n-ZVI, and Removal of Dyes. Influence of Variables
2.3. Characterization of the n-ZVI
2.3.1. Texture and Morphology
2.3.2. Chemical Characterization and Crystal Structure of nZVI
2.4. Experimental Design
2.5. Computational Methods
3. Results and Discussion
3.1. Determination and Quantification of Polyphenols in Coffee Waste Extracts
3.2. Preparation and Characterization of the Zero-Valent Iron Nanoparticles, n-ZVI
3.2.1. Porosity and Morphology
3.2.2. Chemical Characterization and Crystal Structure
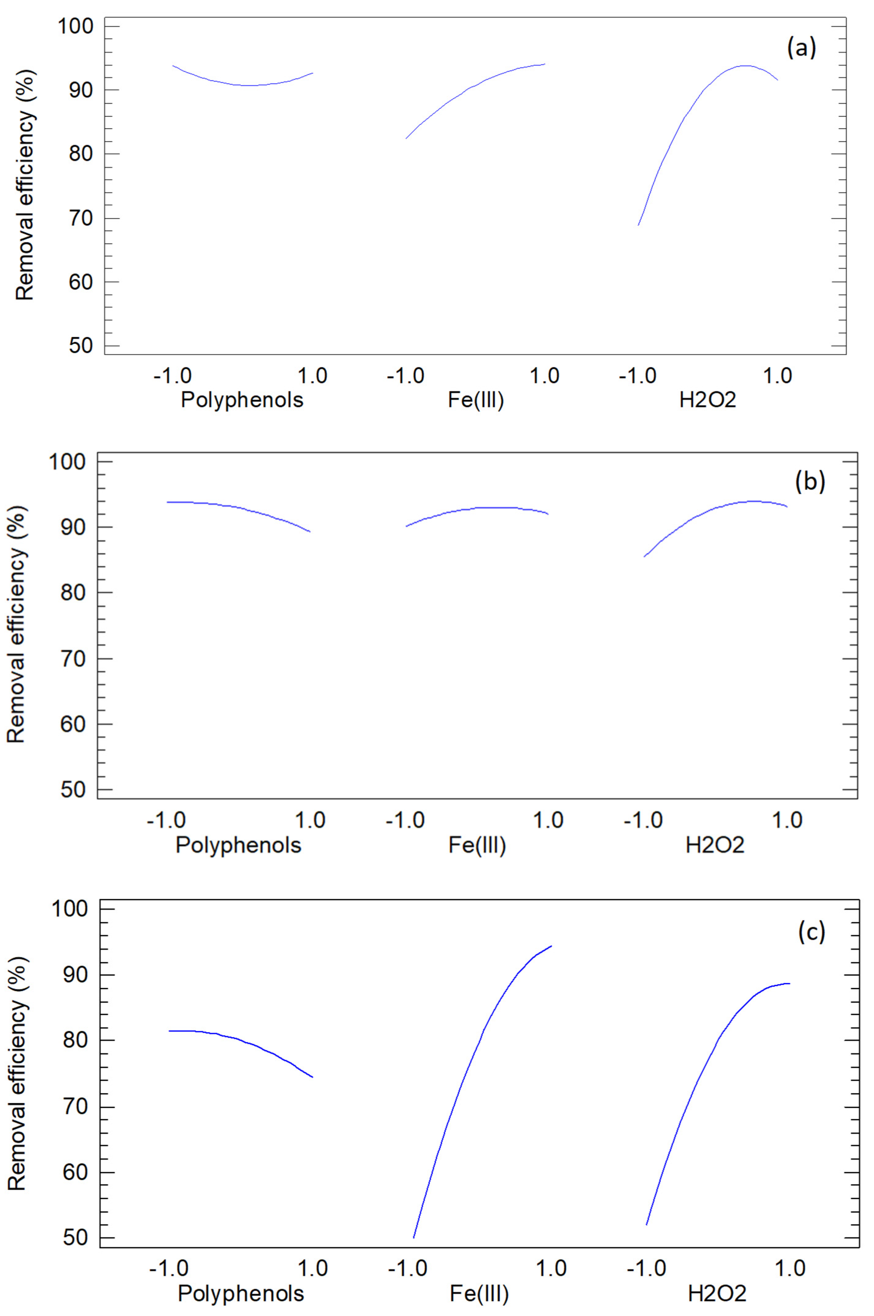
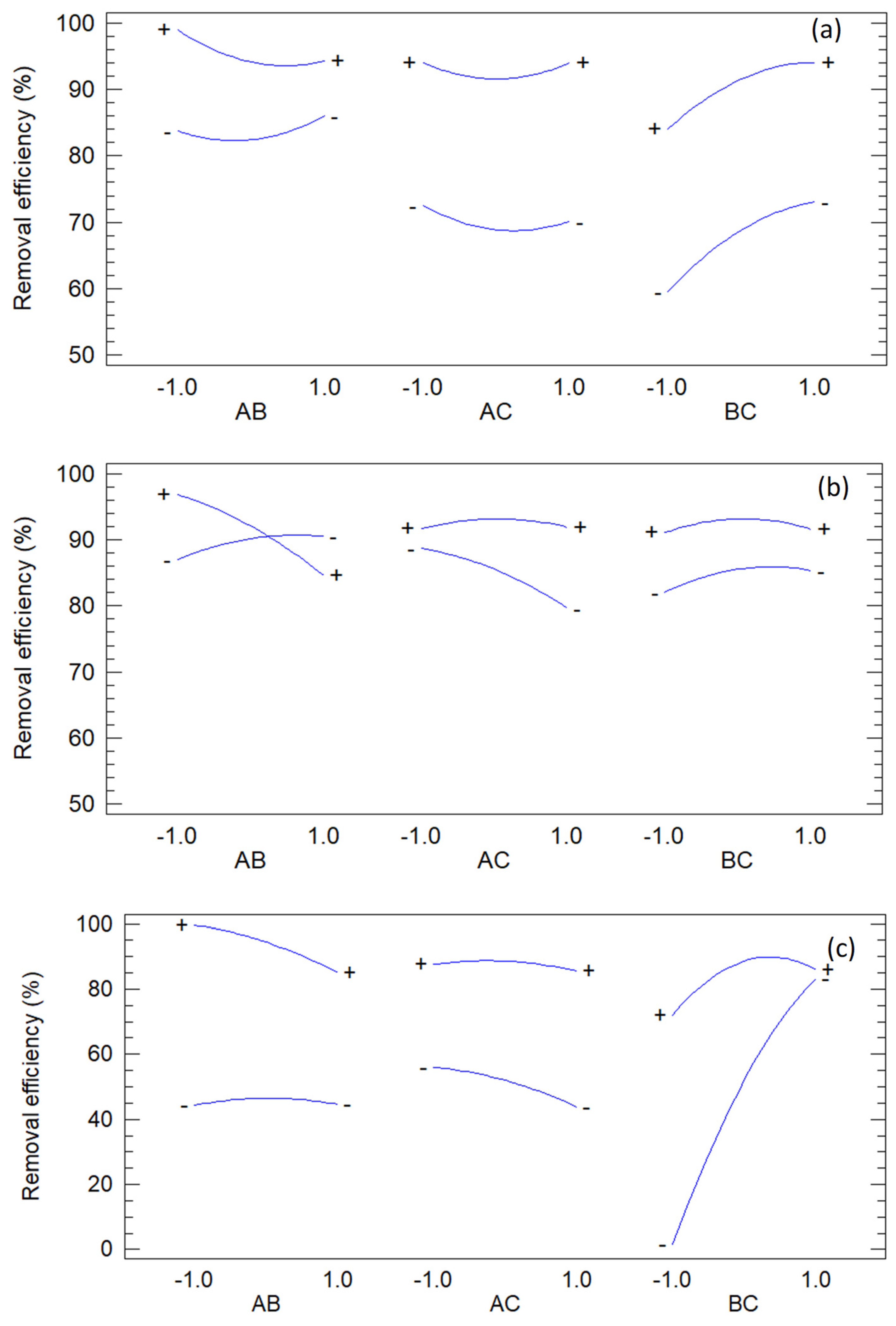
3.3. Removal of Organic Dyes from Water. Influence of Variables
3.3.1. Numerical Analysis
3.3.2. Graphical Analysis
3.4. Some Insights into the Degradation Mechanism of Dyes
4. Conclusions
- It was established that spent coffee waste provides an effective green precursor for the biosynthesis of nanoscale zero-valent iron, with polyphenols supplying the reducing capacity required for in situ nanoparticle formation and subsequent dye removal.
- A core–shell architecture was supported by microscopy and elemental mapping, in which a zero-valent iron core is enveloped by an iron-oxide passivation layer and an outer polyphenol-derived carbonaceous coating. This configuration enhances interfacial reactivity while allowing some aggregation.
- Spectroscopic and diffractometric evidence indicated very poor crystallinity and the presence of oxygenated and phenolic surface functionalities. Broad diffuse features and attenuated iron reflections were consistent with extremely small iron domains below routine laboratory detection limits.
- The face-centered central composite design at an alpha level of 0.05 identified hydrogen peroxide and Fe(III) as the principal drivers of removal for methylene blue and methyl orange, whereas hydrogen peroxide and polyphenols were most influential for orange G, with Fe(III) playing a lesser role.
- Statistically significant interactions were dye-dependent: AB and AC interactions were confirmed for orange G, and a strong BC interaction was confirmed for methyl orange. Negative quadratic terms for Fe(III) and hydrogen peroxide indicated diminishing returns at high levels, supporting interior or near-edge optima rather than corner solutions.
- Operating conditions that achieved complete removal were determined and experimentally verified. Robust windows were identified near, but not at, the highest levels of oxidant and iron, which limited nonproductive radical consumption and preserved performance against small perturbations.
- The mechanistic approach is coherent with a radical-mediated degradation pathway under Fenton and Fenton-like conditions. Hydroxyl radical attack accounted for demethylation and subsequent ring opening in methylene blue, and for azo-bond cleavage in methyl orange and orange G. Polyphenols acted as reductants during synthesis and as ligands that modulate Fe(III) to Fe(II) cycling during treatment; at elevated concentrations, they also behaved as radical scavengers, explaining the negative main effect observed in the statistical analysis.
- Practical implications include the feasibility of valorizing coffee waste into reactive iron materials for water decolorization, together with the need to manage aggregation and to validate performance in realistic water matrices, where ionic strength, natural organic matter, and competing oxidant demand may influence efficiency and iron release.
- The development of efficient methods for processing and utilizing coffee waste and by-products constitutes an important effort to minimize food waste and reuse it in eco-friendly processes, centered on a circular economy approach.
Supplementary Materials
Author Contributions
Funding
Institutional Review Board Statement
Informed Consent Statement
Data Availability Statement
Acknowledgments
Conflicts of Interest
References
- Turkeli, S.; Kemp, R.P.M.; Huang, B.; Bleischwitz, R.; McDowall, W. Circular Economy Scientific Knowledge in the European Union and China: A Bibliometric, Network and Survey Analysis (2006–2016). J. Clean. Prod. 2018, 197, 1244–1261. [Google Scholar] [CrossRef]
- Katz-Gerro, T.; López-Sintas, J. Mapping Circular Economy Activities in the European Union: Patterns of Implementation and Their Correlates in Small and Medium-Sized Enterprises. Bus. Strategy Env. 2019, 28, 485–496. [Google Scholar] [CrossRef]
- Kaza, S.; Yao, L.C.; Bhada-Tata, P.; Van Woerden, F. What a Waste 2.0: A Global Snapshot of Solid Waste Management to 2050; World Bank: Washington, DC, USA, 2018. [Google Scholar]
- Ravindran, R.; Jaiswal, A.K. Exploitation of Food Industry Waste for High-Value Products. Trends Biotechnol. 2016, 34, 58–69. [Google Scholar] [CrossRef] [PubMed]
- Osorio-Arias, J.; Delgado-Arias, S.; Duarte-Correa, Y.; Largo-Avila, E.; Montaño, D.F.; Simpson, R.J.; Vega-Castro, O.A. New Powder Material Obtained from Spent Coffee Ground and Whey Protein; Thermal and Morphological Analysis. Mater. Chem. Phys. 2020, 240, 122171. [Google Scholar] [CrossRef]
- Freitas, V.V.; Borges, L.L.R.; Cristina Teixeira Ribeiro Vidigal, M.C.T.R.; Dos Santos, M.H.; Stringheta, P.C. Coffee: A Comprehensive Overview of Origin, Market, and the Quality Process. Trends Food Sci. Technol. 2024, 146, 104411. [Google Scholar] [CrossRef]
- Arya, S.S.; Venkatram, R.; More, P.R.; Vijayan, P. The Wastes of Coffee Bean Processing for Utilization in Food: A Review. J. Food Sci. Technol. 2022, 59, 429–444. [Google Scholar] [CrossRef] [PubMed]
- Chen, X.E.; Mangindaan, D.W.; Chien, H. Green Sustainable Photothermal Materials by Spent Coffee Grounds. J. Taiwan Inst. Chem. Eng. 2022, 137, 104259. [Google Scholar] [CrossRef]
- Mondal, P.; Anweshan, A.; Purkait, M.K. Green Synthesis and Environmental Application of Iron-Based Nanomaterials and Nanocomposite: A Review. Chemosphere 2020, 259, 127509. [Google Scholar] [CrossRef]
- Truskewycz, A.; Shukla, R.; Ball, A.S. Iron Nanoparticles Synthesized Using Green Tea Extracts for the Fenton-like Degradation of Concentrated Dye Mixtures at Elevated Temperatures. J. Environ. Chem. Eng. 2016, 4, 4409–4417. [Google Scholar] [CrossRef]
- Chaudhary, P.; Ahamad, L.; Chaudhary, A.; Kumar, G.; Chen, W.J.; Chen, S. Nanoparticle-Mediated Bioremediation as a Powerful Weapon in the Removal of Environmental Pollutants. J. Environ. Chem. Eng. 2023, 11, 109591. [Google Scholar] [CrossRef]
- Mittal, A.K.; Chisti, Y.; Banerjee, U.C. Synthesis of Metallic Nanoparticles Using Plant Extracts. Biotechnol. Adv. 2013, 31, 346–356. [Google Scholar] [CrossRef]
- Soleimani-Gorgani, A.; Al-Sabahi, J.; Nejad, S.A.T.; Heydari, M.; Al-Abri, M.; Namaeighasemi, A. Visible-Light-Driven Super-Active Sn and GO Single- and Sn/Cu Co-Doped Nanophotocatalysts for Phenol Degradation: Thin-Film Printability, Thermal Stability, and Cytotoxicity Assay. J. Ind. Eng. Chem. 2023, 120, 514–528. [Google Scholar] [CrossRef]
- Hamad, M.T.M.H.; El-Sesy, M.E. Adsorptive Removal of Levofloxacin and Antibiotic Resistance Genes from Hospital Wastewater by Nano-Zero-Valent Iron and Nano-Copper Using Kinetic Studies and Response Surface Methodology. Bioresour. Bioprocess. 2023, 10, 1. [Google Scholar] [CrossRef]
- Alzahrani, H.A.H.; Almulaiky, Y.Q.; Alsaiari, A.O. The Photocatalytic Dye Degradation of Methylene Blue (MB) by Nanostructured ZnO under UV Irradiation. Phys. Scr. 2023, 98, 045703. [Google Scholar] [CrossRef]
- Gadge, S.; Tamboli, A.; Shinde, M.; Fouad, H.; Terashima, C.; Chauhan, R.; Gosavi, S. Sonocatalytic Degradation of Methylene Blue Using Spindle Shaped Cerium Oxide Nanoparticles. J. Solid State Electrochem. 2023, 27, 2005–2015. [Google Scholar] [CrossRef]
- Liu, B.; Wang, S.; Wang, H.; Wang, Y.; Xiao, Y.; Cheng, Y. Quaternary Ammonium Groups Modified Magnetic Cyclodextrin Polymers for Highly Efficient Dye Removal and Sterilization in Water Purification. Molecules 2023, 28, 167. [Google Scholar] [CrossRef]
- Wang, M.; Feng, L. A Carbon Based-Screen-Printed Electrode Amplified with Two-Dimensional Reduced Graphene/Fe3O4 Nanocomposite as Electroanalytical Sensor for Monitoring 4-Aminophenol in Environmental Fluids. Chemosphere 2023, 323, 138238. [Google Scholar] [CrossRef] [PubMed]
- Manikandan, V.; Anushkkaran, P.; Hwang, I.S.; Chae, W.S.; Lee, H.H.; Choi, S.H.; Mahadik, M.A.; Jang, J.S. Synergistic Role of In-Situ Zr-Doping and Cobalt Oxide Cocatalysts on Photocatalytic Bacterial Inactivation and Organic Pollutants Removal over Template-Free Fe2O3 Nanorods. Chemosphere 2023, 310, 136825. [Google Scholar] [CrossRef] [PubMed]
- Li, S.; Feng, D.; Liu, J.; Liu, Q.; Tang, J. Surfactant-Enhanced Reduction of Soil-Adsorbed Nitrobenzene by Carbon-Coated NZVI: Enhanced Desorption and Mechanism. Sci. Total Environ. 2023, 856, 159186. [Google Scholar] [CrossRef]
- Liu, X.; Xu, J.; Zhang, T.; Zhang, J.; Xia, D.; Du, Y.; Jiang, Y.; Lin, K. Construction of Ag Nanocluster-Modified Ag3PO4 Containing Silver Vacancies via in-Situ Reduction: With Enhancing the Photocatalytic Degradation Activity of Sulfamethoxazole. J. Colloid Interface Sci. 2023, 629, 989–1002. [Google Scholar] [CrossRef]
- Priyadarshini, I.; Chowdhury, A.; Rao, A.; Roy, B.; Chattopadhyay, P. Assessment of Bimetallic Zn/Fe0 Nanoparticles Stabilized Tween-80 and Rhamnolipid Foams for the Remediation of Diesel Contaminated Clay Soil. J. Environ. Manag. 2023, 325, 116596. [Google Scholar] [CrossRef]
- Basumatary, S.; Kumar, K.J.; Daimari, J.; Mondal, A.; Kalita, S.; Dey, K.S.; Deka, A.K. Biosynthesis of Silver Nanoparticles Using Antidesma Acidum Leaf Extract: Its Application in Textile Organic Dye Degradation. Environ. Nanotechnol. Monit. Manage. 2023, 19, 100769. [Google Scholar] [CrossRef]
- Rather, M.Y.; Shincy, M.; Sundarapandian, S. Photocatalytic Degradation of Rhodamine-B by Phytosynthesized Gold Nanoparticles. Int. J. Environ. Sci. Technol. 2023, 20, 4073–4084. [Google Scholar] [CrossRef]
- Ebrahiminezhad, A.; Zare-Hoseinabadi, A.; Berenjian, A.; Ghasemi, Y. Green Synthesis and Characterization of Zero-Valent Iron Nanoparticles Using Stinging Nettle (Urtica Dioica) Leaf Extract. Green Process. Synth. 2017, 6, 469–475. [Google Scholar] [CrossRef]
- Suazo-Hernández, J.; Sepúlveda, P.; Cáceres-Jensen, L.; Castro-Rojas, J.; Poblete-Grant, P.; Bolan, N.; Mora, M.d.l.L. NZVI-Based Nanomaterials Used for Phosphate Removal from Aquatic Systems. Nanomaterials 2023, 13, 399. [Google Scholar] [CrossRef]
- Balu, P.; Asharani, I.V.; Thirumalai, D. Catalytic Degradation of Hazardous Textile Dyes by Iron Oxide Nanoparticles Prepared from Raphanus Sativus Leaves’ Extract: A Greener Approach. J. Mater. Sci. Mater. Electron. 2020, 31, 10669–10676. [Google Scholar] [CrossRef]
- Machado, S.; Pinto, S.L.; Grosso, J.P.; Nouws, H.P.A.; Albergaria, J.T.; Delerue-Matos, C. Green Production of Zero-Valent Iron Nanoparticles Using Tree Leaf Extracts. Sci. Total Environ. 2013, 445–446, 1–8. [Google Scholar] [CrossRef]
- Rodríguez-Rasero, C.; Alexandre-Franco, M.F.; Fernández-González, C.; Montes, V.; Cuerda-Correa, E.M. Valorizing Tea Waste: Green Synthesis of Iron Nanoparticles for Efficient Dye Removal from Water. Antioxidants 2024, 13, 1059. [Google Scholar] [CrossRef]
- Alexandre-Franco, M.F.; Rodríguez-Rasero, C.; González-Trejo, A.; Casas-Pulido, M.; Fernández-González, C.; Cuerda-Correa, E.M. Leveraging the Potential of In Situ Green-Synthesized Zero-Valent Iron Nanoparticles (NZVI) for Advanced Oxidation of Clinical Dyes in Water. Appl. Sci. 2024, 14, 6558. [Google Scholar] [CrossRef]
- Tomás-Barberán, F.A.; Gil, M.I.; Cremin, P.; Waterhouse, A.L.; Hess-Pierce, B.; Kader, A.A. HPLC-DAD-ESIMS Analysis of Phenolic Compounds in Nectarines, Peaches, and Plums. J. Agric. Food Chem. 2001, 49, 4748–4760. [Google Scholar] [CrossRef]
- Frisch, M.J.; Trucks, G.W.; Schlegel, H.B.; Scuseria, G.E.; Robb, M.A.; Cheeseman, J.R.; Scalmani, G.; Barone, V.; Petersson, G.A.; Nakatsuji, H.; et al. Gaussian, 16, Revision A.03; Gaussian, Inc.: Wallingford, CT, USA, 2016; Available online: https://gaussian.com/man/ (accessed on 21 September 2025).
- Zhao, Y.; Truhlar, D.G. The M06 Suite of Density Functionals for Main Group Thermochemistry, Thermochemical Kinetics, Noncovalent Interactions, Excited States, and Transition Elements: Two New Functionals and Systematic Testing of Four M06-Class Functionals and 12 Other Functionals. Theor. Chem. Acc. 2008, 120, 215–241. [Google Scholar] [CrossRef]
- Marenich, A.V.; Cramer, C.J.; Truhlar, D.G. Universal Solvation Model Based on Solute Electron Density and on a Continuum Model of the Solvent Defined by the Bulk Dielectric Constant and Atomic Surface Tensions. J. Phys. Chem. B 2009, 113, 6378–6396. [Google Scholar] [CrossRef]
- Parr, R.G.; Yang, W. Density Functional Approach to the Frontier-Electron Theory of Chemical Reactivity. J. Am. Chem. Soc. 1984, 106, 4049–4050. [Google Scholar] [CrossRef]
- Morell, C.; Grand, A.; Toro-Labbé, A. New Dual Descriptor for Chemical Reactivity. J. Phys. Chem. A 2005, 109, 205–212. [Google Scholar] [CrossRef]
- Lu, T.; Chen, F. Multiwfn: A Multifunctional Wavefunction Analyzer. J. Comput. Chem. 2012, 33, 580–592. [Google Scholar] [CrossRef] [PubMed]
- Lu, T.; Chen, Q. Realization of Conceptual Density Functional Theory and Information-Theoretic Approach in Multiwfn Program. In Conceptual Density Functional Theory; Wiley: Hoboken, NJ, USA, 2022; pp. 631–647. ISBN 9783527829941. [Google Scholar]
- Humphrey, W.; Dalke, A.; Schulten, K. VMD: Visual Molecular Dynamics. J. Mol. Graph. 1996, 14, 33–38. [Google Scholar] [CrossRef]
- Fazlzadeh, M.; Rahmani, K.; Zarei, A.; Abdoallahzadeh, H.; Nasiri, F.; Khosravi, R. A Novel Green Synthesis of Zero Valent Iron Nanoparticles (NZVI) Using Three Plant Extracts and Their Efficient Application for Removal of Cr(VI) from Aqueous Solutions. Adv. Powder Technol. 2017, 28, 122–130. [Google Scholar] [CrossRef]
- Ponder, A.; Krakówko, K.; Kruk, M.; Kuliński, S.; Magoń, R.; Ziółkowski, D.; Jarienè, E.; Hallmann, E. Organic and Conventional Coffee Beans, Infusions, and Grounds as a Rich Sources of Phenolic Compounds in Coffees from Different Origins. Molecules 2025, 30, 1290. [Google Scholar] [CrossRef]
- Kyzas, G.Z.; Lazaridis, N.K.; Mitropoulos, A.C. Removal of Dyes from Aqueous Solutions with Untreated Coffee Residues as Potential Low-Cost Adsorbents: Equilibrium, Reuse and Thermodynamic Approach. Chem. Eng. J. 2012, 189–190, 148–159. [Google Scholar] [CrossRef]
- Hu, Y.; Zhou, S.; Pan, X.; Zhou, F.; Sun, Y.; Liu, M.; Zhang, D.; Zhang, L. Fe Nanoparticles Synthesized by Pomegranate Leaves for Treatment of Malachite Green. J. Wuhan Univ. Technol. Mater. Sci. Ed. 2022, 37, 350–354. [Google Scholar] [CrossRef]
- Wang, Z. Iron Complex Nanoparticles Synthesized by Eucalyptus Leaves. ACS Sustain. Chem. Eng. 2013, 1, 1551–1554. [Google Scholar] [CrossRef]
- Xiao, C.; Li, H.; Zhao, Y.; Zhang, X.; Wang, X. Green Synthesis of Iron Nanoparticle by Tea Extract (Polyphenols) and Its Selective Removal of Cationic Dyes. J. Environ. Manag. 2020, 275, 111262. [Google Scholar] [CrossRef]
- Han, X.; Zhao, Y.; Zhao, F.; Wang, F.; Tian, G.; Liang, J. Novel Synthesis of Nanoscale Zero-Valent Iron from Iron Ore Tailings and Green Tea for the Removal of Methylene Blue. Colloids Surf. A Physicochem. Eng. Asp. 2023, 656, 130412. [Google Scholar] [CrossRef]
- Shi, G.; Zeng, S.; Liu, Y.; Xiang, J.; Deng, D.; Wu, C.; Teng, Q.; Yang, H. Efficient Heterogeneous Fenton-like Degradation of Methylene Blue Using Green Synthesized Yeast Supported Iron Nanoparticles. Ecotoxicol. Environ. Saf. 2023, 263, 115240. [Google Scholar] [CrossRef] [PubMed]
- Bashir, A.; Pandith, A.H.; Qureashi, A.; Malik, L.A.; Gani, M.; Moreno-Pérez, J. Catalytic Propensity of Biochar Decorated with Core-Shell NZVI@Fe3O4: A Sustainable Photo-Fenton Catalysis of Methylene Blue Dye and Reduction of 4-Nitrophenol. J. Environ. Chem. Eng. 2022, 10, 107401. [Google Scholar] [CrossRef]
- Wang, Q.; Tian, S.; Ning, P. Degradation Mechanism of Methylene Blue in a Heterogeneous Fenton-like Reaction Catalyzed by Ferrocene. Ind. Eng. Chem. Res. 2014, 53, 643–649. [Google Scholar] [CrossRef]
- Sharma, K.S.; Vyas, R.K.; Dalai, A.K.K. Thermodynamic and Kinetic Studies of Methylene Blue Degradation Using Reactive Adsorption and Its Comparison with Adsorption. J. Chem. Eng. Data 2017, 62, 3651–3662. [Google Scholar] [CrossRef]
- de Oliveira Guidolin, T.; Possolli, N.M.; Polla, M.B.; Wermuth, T.B.; de Oliveira, T.F.; Eller, S.C.W.; Montedo, O.R.K.; Arcaro, S.; Cechinel, M.A.P. Photocatalytic Pathway on the Degradation of Methylene Blue from Aqueous Solutions Using Magnetite Nanoparticles. J. Clean. Prod. 2021, 318, 128556. [Google Scholar] [CrossRef]
- Cohen, M.; Ferroudj, N.; Combès, A.; Pichon, V.; Abramson, S. Tracking the Degradation Pathway of Three Model Aqueous Pollutants in a Heterogeneous Fenton Process. J. Environ. Chem. Eng. 2019, 7, 102987. [Google Scholar] [CrossRef]
- Wang, L.; Zhou, C.; Yuan, Y.; Jin, Y.; Liu, Y.; Jiang, Z.; Li, X.; Dai, J.; Zhang, Y.; Siyal, A.A. Catalytic Degradation of Crystal Violet and Methyl Orange in Heterogeneous Fenton-like Processes. Chemosphere 2023, 344, 140406. [Google Scholar] [CrossRef]
- Park, J.; Wang, J.J.; Xiao, R.; Tafti, N.; DeLaune, R.D.; Seo, D. Degradation of Orange G by Fenton-like Reaction with Fe-Impregnated Biochar Catalyst. Bioresour. Technol. 2018, 249, 368–376. [Google Scholar] [CrossRef] [PubMed]
- Rodríguez Vega, S.; Vasquez, L.; Costa, D.; Romero, A.; Santos López, A.M. Oxidation of Orange G by Persulfate Activated by Fe(II), Fe(III) and Zero Valent Iron (ZVI). Chemosphere 2014, 101, 86–92. [Google Scholar] [CrossRef] [PubMed]













| Concentration (Coded Value) | Removal Efficiency (%) | ||||
|---|---|---|---|---|---|
| Polyphenols | Fe(III) | H2O2 | MB | OG | MO |
| −1 | −1 | 1 | 98.09 | 83.09 | 68.3 |
| 0 | 0 | 0 | 90.76 | 93.26 | 79.6 |
| −1.68179 | 0 | 0 | 90.50 | 95.11 | 74.8 |
| 0 | 0 | 0 | 90.60 | 93.44 | 83.0 |
| 0 | 0 | 0 | 97.82 | 93.44 | 80.7 |
| 0 | 0 | 0 | 91.02 | 89.00 | 81.4 |
| −1 | 1 | 1 | 93.29 | 92.89 | 85.6 |
| 0 | 0 | 0 | 95.74 | 93.07 | 77.6 |
| 0 | 1.68179 | 0 | 72.31 | 89.74 | 95.9 |
| 1.68179 | 0 | 0 | 90.71 | 83.81 | 66.9 |
| 0 | −1.68179 | 0 | 95.03 | 86.60 | 3.4 |
| 0 | 0 | 0 | 90.97 | 93.44 | 78.1 |
| 1 | 1 | 1 | 64.28 | 85.48 | 73.4 |
| 0 | 0 | 0 | 88.6 | 93.63 | 78.9 |
| 1 | −1 | −1 | 91.80 | 80.71 | 4.8 |
| 1 | −1 | 1 | 73.16 | 94.19 | 72.9 |
| 0 | 0 | 0 | 62.51 | 93.44 | 82.9 |
| 1 | 1 | −1 | 90.76 | 77.57 | 75.2 |
| −1 | −1 | −1 | 80.06 | 81.66 | 12.2 |
| 0 | 0 | 0 | 79.32 | 93.63 | 79.5 |
| 0 | 0 | 1.68179 | 39.98 | 91.41 | 90.2 |
| −1 | 1 | −1 | 98.09 | 92.31 | 95.6 |
| 0 | 0 | −1.68179 | 90.76 | 74.90 | 8.2 |
| Peak | Retention Time (min) | Compound | Structure |
|---|---|---|---|
| 1 | 2.06 | Gallic acid | ![]() |
| 2 | 2.39 | Protocatechuic acid | ![]() |
| 3 | 3.50 | Vanillic acid | ![]() |
| 4 | 7.78 | Caffeic acid | ![]() |
| 5 | 11.15 | Caffeine | ![]() |
| 6 | 11.75 | Ferulic acid | ![]() |
| 7 | 12.95 | p-Coumaric acid | ![]() |
| 8 | 14.64 | Chlorogenic acid (isomer 1) | ![]() |
| 9 | 17.54 | Chlorogenic acid (isomer 2) | ![]() |
| Factor | Methylene Blue | Orange-G | Methyl Orange |
|---|---|---|---|
| A: Polyphenols | 0.0576 | 0.0009 | 0.0809 |
| B: Fe(III) | 0.0000 | 0.0894 | 0.0000 |
| C: H2O2 | 0.0000 | 0.0000 | 0.0000 |
| AA | 0.0000 | 0.0136 | 0.2535 |
| AB | 0.0004 | 0.0001 | 0.1549 |
| AC | 0.1295 | 0.0046 | 0.3259 |
| BB | 0.0000 | 0.0022 | 0.0001 |
| BC | 0.0353 | 0.3261 | 0.0000 |
| CC | 0.0000 | 0.0000 | 0.0001 |
| Variable | Coded Values | Real Values | ||||
|---|---|---|---|---|---|---|
| MB | OG | MO | MB | OG | MO | |
| Polyphenols | −1.34883 | −1.64942 | −1.29133 | 55.44 | 5.85 | 64.93 |
| Fe(III) | 0.618576 | 1.58924 | 1.08589 | 2.74 × 10−2 | 3.91 × 10−2 | 3.30 × 10−2 |
| H2O2 | 0.963645 | 0.0361344 | 0.208298 | 1.58 × 10−2 | 1.02 × 10−2 | 1.12 × 10−2 |
Disclaimer/Publisher’s Note: The statements, opinions and data contained in all publications are solely those of the individual author(s) and contributor(s) and not of MDPI and/or the editor(s). MDPI and/or the editor(s) disclaim responsibility for any injury to people or property resulting from any ideas, methods, instructions or products referred to in the content. |
© 2025 by the authors. Licensee MDPI, Basel, Switzerland. This article is an open access article distributed under the terms and conditions of the Creative Commons Attribution (CC BY) license (https://creativecommons.org/licenses/by/4.0/).
Share and Cite
Rodríguez-Rasero, C.; Garrido-Zoido, J.M.; García-Galán, M.d.M.; Cuerda-Correa, E.M.; Alexandre-Franco, M.F. Coffee Waste as a Green Precursor for Iron Nanoparticles: Toward Circular, Efficient and Eco-Friendly Dye Removal from Aqueous Systems. J. Xenobiot. 2025, 15, 158. https://doi.org/10.3390/jox15050158
Rodríguez-Rasero C, Garrido-Zoido JM, García-Galán MdM, Cuerda-Correa EM, Alexandre-Franco MF. Coffee Waste as a Green Precursor for Iron Nanoparticles: Toward Circular, Efficient and Eco-Friendly Dye Removal from Aqueous Systems. Journal of Xenobiotics. 2025; 15(5):158. https://doi.org/10.3390/jox15050158
Chicago/Turabian StyleRodríguez-Rasero, Cristina, Juan Manuel Garrido-Zoido, María del Mar García-Galán, Eduardo Manuel Cuerda-Correa, and María Francisca Alexandre-Franco. 2025. "Coffee Waste as a Green Precursor for Iron Nanoparticles: Toward Circular, Efficient and Eco-Friendly Dye Removal from Aqueous Systems" Journal of Xenobiotics 15, no. 5: 158. https://doi.org/10.3390/jox15050158
APA StyleRodríguez-Rasero, C., Garrido-Zoido, J. M., García-Galán, M. d. M., Cuerda-Correa, E. M., & Alexandre-Franco, M. F. (2025). Coffee Waste as a Green Precursor for Iron Nanoparticles: Toward Circular, Efficient and Eco-Friendly Dye Removal from Aqueous Systems. Journal of Xenobiotics, 15(5), 158. https://doi.org/10.3390/jox15050158










