Ecotoxicological Assessment of Sediment Samples Impacted by Wastewater Treatment Plant Effluents Transporting Contaminants of Emerging Concern
Abstract
1. Introduction
2. Materials and Methods
2.1. Sediment Sampling and Sample Preparation for Testing
2.2. Test Organisms and Test Setup
2.2.1. Aliivibrio fischeri (Microtox®Test)
2.2.2. Lemna minor
2.2.3. Raphidocelis subcapitata
2.2.4. Daphnia magna
2.2.5. Chironomus riparius
2.2.6. Statistical Analysis
3. Results and Discussion
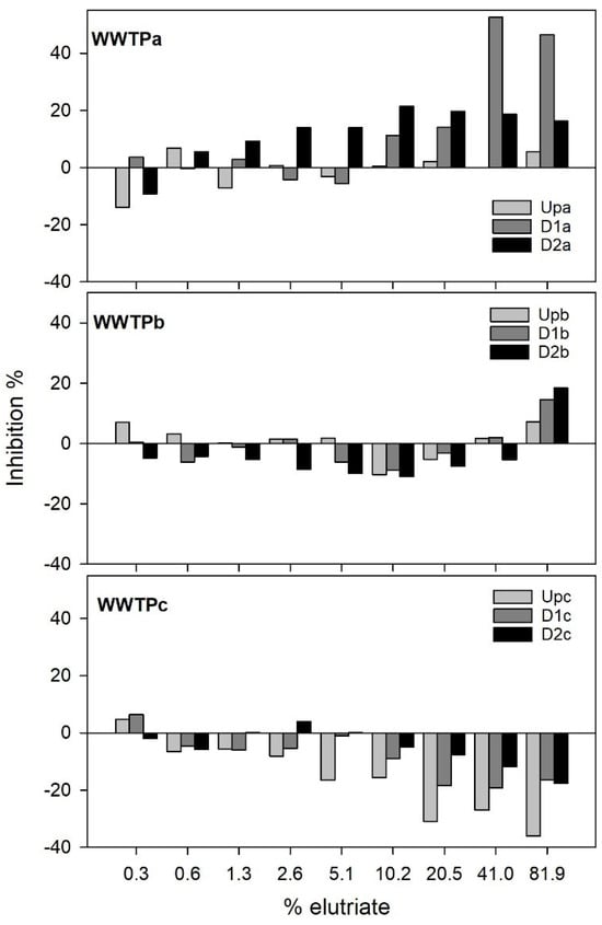
3.1. Effects of Elutriates in Aliivibrio fischeri Luminescence
3.2. Effects of Elutriates in Autotrophs
3.3. Effects of Elutriates in Daphnia magna Reproductive Output
3.4. Effects of Elutriates in Chironomus riparius Growth
3.5. Insights on Consistency Between Ecotoxicological Responses and Ecological Quality
4. Conclusions
Supplementary Materials
Author Contributions
Funding
Institutional Review Board Statement
Informed Consent Statement
Data Availability Statement
Conflicts of Interest
Abbreviations
| WWTPs | Wastewater treatment plant |
| CEC | Contaminants of emerging concern |
| PPCP | Pharmaceuticals and personal care products |
| PAHs | Polycyclic aromatic hydrocarbons |
| WFD | Water framework directive |
| OECD | Organisation for Economic Cooperation and Development |
| MBL | Woods Hole MBL medium |
| ASTM | American Society for Testing and Materials |
References
- Stalter, D.; Magdeburg, A.; Wagner, M.; Oehlmann, J. Ozonation and Activated Carbon Treatment of Sewage Effluents: Removal of Endocrine Activity and Cytotoxicity. Water Res. 2011, 45, 1015–1024. [Google Scholar] [CrossRef] [PubMed]
- Stalter, D.; Magdeburg, A.; Quednow, K.; Botzat, A.; Oehlmann, J. Do Contaminants Originating from State-of-the-Art Treated Wastewater Impact the Ecological Quality of Surface Waters? PLoS ONE 2013, 8, e60616. [Google Scholar] [CrossRef] [PubMed]
- Yadav, D.; Rangabhashiyam, S.; Verma, P.; Singh, P.; Devi, P.; Kumar, P.; Hussain, C.M.; Gaurav, G.K.; Kumar, K.S. Environmental and Health Impacts of Contaminants of Emerging Concerns: Recent Treatment Challenges and Approaches. Chemosphere 2021, 272, 129492. [Google Scholar] [CrossRef] [PubMed]
- Čelić, M.; Gros, M.; Farré, M.; Barceló, D.; Petrović, M. Pharmaceuticals as Chemical Markers of Wastewater Contamination in the Vulnerable Area of the Ebro Delta (Spain). Sci. Total Environ. 2019, 652, 952–963. [Google Scholar] [CrossRef]
- Gago-Ferrero, P.; Bletsou, A.A.; Damalas, D.E.; Aalizadeh, R.; Alygizakis, N.A.; Singer, H.P.; Hollender, J.; Thomaidis, N.S. Wide-Scope Target Screening of >2000 Emerging Contaminants in Wastewater Samples with UPLC-Q-ToF-HRMS/MS and Smart Evaluation of Its Performance through the Validation of 195 Selected Representative Analytes. J. Hazard. Mater. 2020, 387, 121712. [Google Scholar] [CrossRef]
- Golovko, O.; Örn, S.; Sörengård, M.; Frieberg, K.; Nassazzi, W.; Lai, F.Y.; Ahrens, L. Occurrence and Removal of Chemicals of Emerging Concern in Wastewater Treatment Plants and Their Impact on Receiving Water Systems. Sci. Total Environ. 2021, 754, 142122. [Google Scholar] [CrossRef]
- Enns, D.; Cunze, S.; Baker, N.J.; Oehlmann, J.; Jourdan, J. Flushing Away the Future: The Effects of Wastewater Treatment Plants on Aquatic Invertebrates. Water Res. 2023, 243, 120388. [Google Scholar] [CrossRef]
- Fuzzen, M.L.M.; Bennett, C.J.; Tetreault, G.R.; McMaster, M.E.; Servos, M.R. Severe Intersex Is Predictive of Poor Fertilization Success in Populations of Rainbow Darter (Etheostoma caeruleum). Aquat. Toxicol. 2015, 160, 106–116. [Google Scholar] [CrossRef]
- Cazenave, J.; Bacchetta, C.; Rossi, A.; Ale, A.; Campana, M.; Parma, M.J. Deleterious Effects of Wastewater on the Health Status of Fish: A Field Caging Study. Ecol. Indic. 2014, 38, 104–112. [Google Scholar] [CrossRef]
- Nieto, E.; Corada-Fernández, C.; Hampel, M.; Lara-Martín, P.A.; Sánchez-Argüello, P.; Blasco, J. Effects of Exposure to Pharmaceuticals (Diclofenac and Carbamazepine) Spiked Sediments in the Midge, Chironomus riparius (Diptera, Chironomidae). Sci. Total Environ. 2017, 609, 715–723. [Google Scholar] [CrossRef]
- Jones, L.; Sullivan, T.; Kinsella, B.; Furey, A.; Regan, F. Occurrence of Selected Metals in Wastewater Effluent and Surface Water in Ireland. Anal. Lett. 2017, 50, 724–737. [Google Scholar] [CrossRef]
- Papageorgiou, M.; Zioris, I.; Danis, T.; Bikiaris, D.; Lambropoulou, D. Comprehensive investigation of a wide range of pharmaceuticals and personal care products in urban and hospital wastewaters in Greece. Sci. Total Environ. 2019, 694, 133565. [Google Scholar] [CrossRef] [PubMed]
- Münze, R.; Hannemann, C.; Orlinskiy, P.; Gunold, R.; Paschke, A.; Foit, K.; Becker, J.; Kaske, O.; Paulsson, E.; Peterson, M.; et al. Pesticides from Wastewater Treatment Plant Effluents Affect Invertebrate Communities. Sci. Total Environ. 2017, 599–600, 387–399. [Google Scholar] [CrossRef] [PubMed]
- Kienle, C.; Vermeirssen, E.L.M.; Schifferli, A.; Singer, H.; Stamm, C.; Werner, I. Effects of Treated Wastewater on the Ecotoxicity of Small Streams—Unravelling the Contribution of Chemicals Causing Effects. PLoS ONE 2019, 14, e0226278. [Google Scholar] [CrossRef] [PubMed]
- Serpa, D.; Keizer, J.J.; Cassidy, J.; Cuco, A.; Silva, V.; Gonçalves, F.; Cerqueira, M.; Abrantes, N. Assessment of River Water Quality Using an Integrated Physicochemical, Biological and Ecotoxicological Approach. Environ. Sci. Process. Impacts 2014, 16, 1434–1444. [Google Scholar] [CrossRef] [PubMed]
- Maranho, L.A.; Garrido-Pérez, M.C.; Baena-Nogueras, R.M.; Lara-Martín, P.A.; Antón-Martín, R.; DelValls, T.A.; Martín-Díaz, M.L. Are WWTPs Effluents Responsible for Acute Toxicity? Seasonal Variations of Sediment Quality at the Bay of Cádiz (SW, Spain). Ecotoxicology 2015, 24, 368–380. [Google Scholar] [CrossRef]
- Haring, H.J.; Smith, M.E.; Lazorchak, J.M.; Crocker, P.A.; Euresti, A.; Wratschko, M.C.; Schaub, M.C. Comparison of Bulk Sediment and Sediment Elutriate Toxicity Testing Methods. Arch. Environ. Contam. Toxicol. 2010, 58, 676–683. [Google Scholar] [CrossRef]
- Silva, C.; Cachada, A.; Gonçalves, F.J.M.; Nannou, C.; Lambropoulou, D.; Patinha, C.; Abrantes, N.; Pereira, J.L. Chemical Characterization of Riverine Sediments Affected by Wastewater Treatment Plant Effluent Discharge. Sci. Total Environ. 2022, 839, 156305. [Google Scholar] [CrossRef]
- U.S. Environmental Protection Agency (EPA) and the U.S. Army Corps of Engineers. Evaluation of Dredged Material Proposed for Discharge in Waters of the US—Testing Manual; EPA-823-B-98-O04; U.S. Environmental Protection Agency (EPA) and the U.S. Army Corps of Engineers: Washington, DC, USA, 1998; p. 176.
- Bond, G.P.; Martin, J. Microtox. In Encyclopedia of Toxicology; Elsevier: Amsterdam, The Netherlands, 2005; pp. 110–111. [Google Scholar]
- Steinberg, R.A. Mineral Requirements of Lemna minor. Plant Physiol. 1946, 21, 42–48. [Google Scholar] [CrossRef]
- Organisation for Economic Co-Operation and Development (OECD). Test No. 221: Lemna sp. Growth Inhibition Test; OECD Guidelines for the Testing of Chemicals, Section 2; OECD: Paris, France, 2006; ISBN 9789264016194. [Google Scholar]
- Kaza, M.; Mankiewicz-Boczek, J.; Izydorczyk, K.; Sawicki, J. Toxicity Assessment of Water Samples from Rivers in Central Poland Using a Battery of Microbiotests—A Pilot Study. Pol. J. Environ. Stud. 2007, 16, 81–89. [Google Scholar]
- Kolasińska, J.; Bielińska, M.; Nałȩcz-Jawecki, G. Assessment of Fluoroquinolones Toxicity with Application to Lemna minor Microbiotest. Fresenius Environ. Bull. 2010, 19, 1453–1457. [Google Scholar]
- Stein-Taylor, J.R. Handbook of Phycological Methods: Culture Methods and Growth Measurements; Cambridge University Press: Cambridge, UK, 1973; Volume 1, ISBN 0521200490. [Google Scholar]
- Organisation for Economic Co-Operation and Development (OECD). Test No. 201: Alga, Growth Inhibition Test; OECD Guidelines for the Testing of Chemicals, Section 2: Effects on Biotic Systems; OECD Publishing: Paris, France, 2006; ISBN 9789264069923. [Google Scholar]
- Geis, S.W.; Fleming, K.L.; Korthals, E.T.; Searle, G.; Reynolds, L.; Karner, D.A. Modifications to the Algal Growth Inhibition Test for Use as a Regulatory Assay. Environ. Toxicol. Chem. 2000, 19, 36–41. [Google Scholar] [CrossRef]
- ASTM International. ASTM Report E729-80, Standard Guide for Conducting Acute Toxicity Tests on Test Materials with Fishes, Macroinvertebrates, and Amphibians; ASTM: Philadelphia, PA, USA, 1980. [Google Scholar]
- Baird, D.J.; Soares, A.; Girling, A.; Barber, I.; Bradley, M.C.; Calow, P. The Long-Term Maintenance of Daphnia magna Straus for Use in Ecotoxicity Tests: Problems and Prospects. In Proceedings of the First European Conference on Ecotoxicology, Copenhagen, Denmark, 17–19 October 1988; The Technical University of Denmark: Lyngby, Denmark, 1989; Volume 188, pp. 144–148. [Google Scholar]
- Organisation for Economic Co-Operation and Development (OECD). Daphnia magna Reproduction Test; OECD Guidelines for the Testing of Chemicals, Section 2; OECD: Paris, France, 2012; ISBN 9789264185203. [Google Scholar]
- Organisation for Economic Co-Operation and Development (OECD). Sediment-Water Chironomid Life-Cycle Toxicity Test Using Spiked Water or Spiked Sediment; OECD Guidelines for the Testing of Chemicals, Section 2; OECD: Paris, France, 2010; ISBN 9789264090910. [Google Scholar]
- Välitalo, P.; Kruglova, A.; Mikola, A.; Vahala, R. Toxicological Impacts of Antibiotics on Aquatic Micro-Organisms: A Mini-Review. Int. J. Hyg. Environ. Health 2017, 220, 558–569. [Google Scholar] [CrossRef] [PubMed]
- Marx, C.; Mühlbauer, V.; Krebs, P.; Kuehn, V. Environmental Risk Assessment of Antibiotics Including Synergistic and Antagonistic Combination Effects. Sci. Total Environ. 2015, 524–525, 269–279. [Google Scholar] [CrossRef]
- Wang, Z.; Chen, Q.; Hu, L.; Wang, M. Combined Effects of Binary Antibiotic Mixture on Growth, Microcystin Production, and Extracellular Release of Microcystis aeruginosa: Application of Response Surface Methodology. Environ. Sci. Pollut. Res. 2018, 25, 736–748. [Google Scholar] [CrossRef]
- Loureiro, S.; Ferreira, A.L.G.; Soares, A.M.V.M.; Nogueira, A.J.A. Evaluation of the Toxicity of Two Soils from Jales Mine (Portugal) Using Aquatic Bioassays. Chemosphere 2005, 61, 168–177. [Google Scholar] [CrossRef]
- Hagner, M.; Romantschuk, M.; Penttinen, O.P.; Egfors, A.; Marchand, C.; Augustsson, A. Assessing Toxicity of Metal Contaminated Soil from Glassworks Sites with a Battery of Biotests. Sci. Total Environ. 2018, 613–614, 30–38. [Google Scholar] [CrossRef]
- Vidic, T.; Lah, B.; Berden-Zrimec, M.; Marinsek-Logar, R. Bioassays for Evaluating the Water-Extractable Genotoxic and Toxic Potential of Soils Polluted by Metal Smelters. Environ. Toxicol. 2009, 24, 472–483. [Google Scholar] [CrossRef]
- Bispo, A.; Jourdain, M.J.; Jauzein, M. Toxicity and Genotoxicity of Industrial Soils Polluted by Polycyclic Aromatic Hydrocarbons (PAHs). Org. Geochem. 1999, 30, 947–952. [Google Scholar] [CrossRef]
- Abbas, M.; Adil, M.; Ehtisham-ul-Haque, S.; Munir, B.; Yameen, M.; Ghaffar, A.; Shar, G.A.; Tahir, M.A.; Iqbal, M. Vibrio fischeri bioluminescence inhibition assay for ecotoxicity assessment: A review. Sci. Total Environ. 2018, 626, 1295–1309. [Google Scholar] [CrossRef]
- Bollinger, E.; Zubrod, J.P.; Konschak, M.; Sulzer, L.; Schnurr, J.; Schreiner, V.C.; Schulz, R.; Bundschuh, M. As above, so below? Effects of fungicides on microbial organic matter decomposition are stronger in the hyporheic than in the benthic zone. Limnol. Oceanogr. 2022, 67, 39–52. [Google Scholar] [CrossRef]
- Calizza, E.; Costantini, M.L.; Rossi, L. Effect of multiple disturbances on food web vulnerability to biodiversity loss in detritus-based systems. Ecosphere 2015, 6, 124. [Google Scholar] [CrossRef]
- Xu, L.-L.; McIlroy, S.E.; Ni, Y.; Guibert, I.; Chen, J.; Rocha, U.; Baker, D.M.; Panagiotou, G. Chemical pollution drives taxonomic and functional shifts in marine sediment microbiome, influencing benthic metazoans. ISME Commun. 2025, 5, ycae141. [Google Scholar] [CrossRef] [PubMed]
- Davoren, M.; Ní Shúilleabháin, S.; O’Halloran, J.; Hartl, M.G.J.; Sheehan, D.; O’Brien, N.M.; Van Pelt, F.N.A.M.; Mothersill, C. A Test Battery Approach for the Ecotoxicological Evaluation of Estuarine Sediments. Ecotoxicology 2005, 14, 741–755. [Google Scholar] [CrossRef] [PubMed]
- Čvančarová, M.; Křesinová, Z.; Cajthaml, T. Influence of the Bioaccessible Fraction of Polycyclic Aromatic Hydrocarbons on the Ecotoxicity of Historically Contaminated Soils. J. Hazard. Mater. 2013, 254–255, 116–124. [Google Scholar] [CrossRef]
- Clements, W.H. Small-Scale Experiments Support Causal Relationships between Metal Contamination and Macroinvertebrate Community Responses. Ecol. Appl. 2004, 14, 954–967. [Google Scholar] [CrossRef]
- Baun, A.; Justesen, K.B.; Nyholm, N. Algal Tests with Soil Suspensions and Elutriates: A Comparative Evaluation for PAH-Contaminated Soils. Chemosphere 2002, 46, 251–258. [Google Scholar] [CrossRef]
- Dodds, W.K. Eutrophication and Trophic State in Rivers and Streams. Limnol. Oceanogr. 2006, 51, 671–680. [Google Scholar] [CrossRef]
- Cantinho, P.; Matos, M.; Trancoso, M.A.; dos Santos, M.M.C. Behaviour and Fate of Metals in Urban Wastewater Treatment Plants: A Review. Int. J. Environ. Sci. Technol. 2016, 13, 359–386. [Google Scholar] [CrossRef]
- Mojiri, A.; Zhou, J.L.; Ohashi, A.; Ozaki, N.; Kindaichi, T. Comprehensive Review of Polycyclic Aromatic Hydrocarbons in Water Sources, Their Effects and Treatments. Sci. Total Environ. 2019, 696, 133971. [Google Scholar] [CrossRef]
- Ellis, J.B.; Mitchell, G. Urban Diffuse Pollution: Key Data Information Approaches for the Water Framework Directive. Water Environ. J. 2006, 20, 19–26. [Google Scholar] [CrossRef]
- Gomes, J.F.; Frasson, D.; Pereira, J.L.; Gonçalves, F.J.M.; Castro, L.M.; Quinta-Ferreira, R.M.; Martins, R.C. Ecotoxicity Variation through Parabens Degradation by Single and Catalytic Ozonation Using Volcanic Rock. Chem. Eng. J. 2019, 360, 30–37. [Google Scholar] [CrossRef]
- Bandarra, B.S.; Gomes, L.A.; Pereira, J.L.; Gonçalves, F.J.M.; Martins, R.C.; Quina, M.J. Assessment of Hazardous Property HP 14 Using Ecotoxicological Tests: A Case Study of Weathered Coal Fly Ash. Environ. Sci. Pollut. Res. 2020, 27, 20972–20983. [Google Scholar] [CrossRef] [PubMed]
- Queirós, L.; Bouguerra, S.; Pereira, R.; Macário, I.P.E.; Santos, J.I.; Veloso, T.; Gonçalves, F.J.M.; Pereira, P.; Pereira, J.L. Improved Efficiency of an Herbicide Combining Bentazone and Terbuthylazine—Can Weeds Be Controlled with Better Environmental Safety? Environ. Sci. Adv. 2022, 1, 342–355. [Google Scholar] [CrossRef]
- Zhou, S.; Li, W.; He, S. Microalgal diversity enhances water purification efficiency in experimental microcosms. Front. Ecol. Evol. 2023, 11, 1125743. [Google Scholar] [CrossRef]
- Engelhardt, K.; Ritchie, M. Effects of macrophyte species richness on wetland ecosystem functioning and services. Nature 2001, 411, 687–689. [Google Scholar] [CrossRef]
- Campos, B.; Piña, B.; Carlos, B.C. Mechanisms of Action of Selective Serotonin Reuptake Inhibitors in Daphnia magna. Environ. Sci. Technol. 2012, 46, 2943–2950. [Google Scholar] [CrossRef]
- Ma, L.-D.; Li, J.; Li, J.-J.; Liu, M.; Yan, D.-Z.; Shi, W.-Y.; Xu, G. Occurrence and Source Analysis of Selected Antidepressants and Their Metabolites in Municipal Wastewater and Receiving Surface Water. Environ. Sci. Process Impacts 2018, 20, 1020–1029. [Google Scholar] [CrossRef]
- Wang, W.; Zhang, J.; Hu, M.; Liu, X.; Sun, T.; Zhang, H. Antidepressants in Wastewater Treatment Plants: Occurrence, Transformation and Acute Toxicity Evaluation. Sci. Total Environ. 2023, 903, 166120. [Google Scholar] [CrossRef]
- Yang, H.; Lu, G.; Yan, Z.; Liu, J.; Ma, B.; Dong, H. Biological Effects of Citalopram in a Suspended Sediment-Water System on Daphnia magna. Environ. Sci. Pollut. Res. 2017, 24, 21180–21190. [Google Scholar] [CrossRef]
- Yang, H.; Zhang, Z.; Liu, J.; Liu, Z.; Zhou, Z.; Feng, Q. Bioavailability of Citalopram to Daphnia magna in the Presence of Suspended Sediments with Various Properties. Mar. Pollut. Bull. 2022, 175, 113352. [Google Scholar] [CrossRef]
- Heyland, A.; Bastien, T.; Halliwushka, K. Transgenerational Reproductive Effects of Two Serotonin Reuptake Inhibitors after Acute Exposure in Daphnia magna Embryos. Comp. Biochem. Physiol. C Toxicol. Pharmacol. 2020, 238, 108875. [Google Scholar] [CrossRef]
- de Lima e Silva, M.R.; Bernegossi, A.C.; Castro, G.B.; Ogura, A.P.; Corbi, J.J.; Felipe, M.C. Assessing Caffeine and Linear Alkylbenzene Sulfonate Effects on Molting and Reproduction of Daphnia magna by Quantitative and Qualitative Approaches. Water Air Soil Pollut. 2022, 233, 98. [Google Scholar] [CrossRef]
- Nunes, B.; Santos, J.; Dionísio, R.; de Dias Alkimin, G. Investigation of Potential Behavioral and Physiological Effects of Caffeine on D. magna. Environ. Sci. Pollut. Res. 2022, 29, 43237–43250. [Google Scholar] [CrossRef] [PubMed]
- McMeans, B.C.; Koussoroplis, A.-M.; Arts, M.T.; Kainz, M.J. Terrestrial Dissolved Organic Matter Supports Growth and Reproduction of Daphnia magna When Algae Are Limiting. J. Plankton Res. 2015, 37, 1201–1209. [Google Scholar]
- Salomon, S.; Grubmüller, E.; Kropf, P.; Nickl, E.; Rühl, A.; Weigel, S.; Becker, F.; Antonio Vital, A.L.; Laforsch, C.; Schott, M.; et al. Effects of Dissolved Organic Matter on the Toxicity of Micro- and Nanoplastic Particles to Daphnia—A Meta-Analysis. Micropl. Nanopl. 2024, 4, 11. [Google Scholar] [CrossRef]
- Arambourou, H.; Beisel, J.N.; Branchu, P.; Debat, V. Exposure to Sediments from Polluted Rivers Has Limited Phenotypic Effects on Larvae and Adults of Chironomus riparius. Sci. Total Environ. 2014, 484, 92–101. [Google Scholar] [CrossRef]
- Stuijfzand, S.C.; Helms, M.; Kraak, M.H.S.; Admiraal, W. Interacting Effects of Toxicants and Organic Matter on the Midge Chironomus riparius in Polluted River Water. Ecotoxicol. Environ. Saf. 2000, 46, 351–356. [Google Scholar] [CrossRef][Green Version]
- Silva, C.; Santos, J.I.; Vidal, T.; Silva, S.; Almeida, S.F.P.; Gonçalves, F.J.M.; Abrantes, N.; Pereira, J.L. Potential Effects of the Discharge of Wastewater Treatment Plant (WWTP) Effluents in Benthic Communities: Evidence from Three Distinct WWTP Systems. Environ. Sci. Pollut. Res. 2024, 31, 34492–34506. [Google Scholar] [CrossRef]
- Santos, J.I.; Vidal, T.; Gonçalves, F.J.M.; Castro, B.B.; Pereira, J.L. Challenges to Water Quality Assessment in Europe—Is There Scope for Improvement of the Current Water Framework Directive Bioassessment Scheme in Rivers? Ecol. Indic. 2021, 121, 107030. [Google Scholar] [CrossRef]
- Wernersson, A.S.; Carere, M.; Maggi, C.; Tusil, P.; Soldan, P.; James, A.; Sanchez, W.; Dulio, V.; Broeg, K.; Reifferscheid, G.; et al. The European Technical Report on Aquatic Effect-Based Monitoring Tools under the Water Framework Directive. Environ. Sci. Eur. 2015, 27, 7. [Google Scholar] [CrossRef]






Disclaimer/Publisher’s Note: The statements, opinions and data contained in all publications are solely those of the individual author(s) and contributor(s) and not of MDPI and/or the editor(s). MDPI and/or the editor(s) disclaim responsibility for any injury to people or property resulting from any ideas, methods, instructions or products referred to in the content. |
© 2025 by the authors. Licensee MDPI, Basel, Switzerland. This article is an open access article distributed under the terms and conditions of the Creative Commons Attribution (CC BY) license (https://creativecommons.org/licenses/by/4.0/).
Share and Cite
Silva, C.; Ré, A.; Abrantes, N.; Gonçalves, F.J.M.; Pereira, J.L. Ecotoxicological Assessment of Sediment Samples Impacted by Wastewater Treatment Plant Effluents Transporting Contaminants of Emerging Concern. J. Xenobiot. 2025, 15, 132. https://doi.org/10.3390/jox15040132
Silva C, Ré A, Abrantes N, Gonçalves FJM, Pereira JL. Ecotoxicological Assessment of Sediment Samples Impacted by Wastewater Treatment Plant Effluents Transporting Contaminants of Emerging Concern. Journal of Xenobiotics. 2025; 15(4):132. https://doi.org/10.3390/jox15040132
Chicago/Turabian StyleSilva, Carlos, Ana Ré, Nelson Abrantes, Fernando J. M. Gonçalves, and Joana Luísa Pereira. 2025. "Ecotoxicological Assessment of Sediment Samples Impacted by Wastewater Treatment Plant Effluents Transporting Contaminants of Emerging Concern" Journal of Xenobiotics 15, no. 4: 132. https://doi.org/10.3390/jox15040132
APA StyleSilva, C., Ré, A., Abrantes, N., Gonçalves, F. J. M., & Pereira, J. L. (2025). Ecotoxicological Assessment of Sediment Samples Impacted by Wastewater Treatment Plant Effluents Transporting Contaminants of Emerging Concern. Journal of Xenobiotics, 15(4), 132. https://doi.org/10.3390/jox15040132

