Abstract
The association between embryo morphokinetics and its developmental competence is well documented. For instance, early cleaved embryos are more competent in developing to blastocysts, whereas the proportion of abnormally cleaved embryos that further developed to blastocysts is low. Numerous factors, such as the parental age, lifestyle, health, and smoking habits have been reported to affect the embryo morphokinetics and, consequently, its development. However, less is known about the effect of environmental stressors on embryo morphokinetics. The current review discusses the effect of the most concerning environmental stressors on embryo morphokinetics. These stresses include heat stress and human-made chemicals such as phthalates (e.g., bis-(2-ethylhexyl phthalate, dibutyl phthalate, dimethyl phthalate, and their primary metabolites), herbicides (e.g., diaminochlorotriazine, the primary metabolite of atrazine), pharmaceutical compounds (e.g., carbamazepine, nocodazole) and pro-oxidant agents (cumene hydroperoxide, Triton X-100), as well as naturally occurring toxins such as mycotoxin (e.g., aflatoxin B1 and its metabolite, and ochratoxin A). In addition, this review discusses the effect of ionizing or non-ionizing radiation and viral infections (e.g., SARS-CoV-2, papillomavirus). Finally, it points out some potential mechanisms that underlie the impairment of embryo morphokinetics, and it suggests protective compounds, mainly the supplementation of antioxidants to improve the morphokinetics, and consequently, the embryo developmental competence.
1. Embryo Morphokinetics
The developmental morphokinetics of the embryo is associated with its developmental competence. Time-lapse systems enable a larger and deeper view of the developmental competence of the preimplantation embryo and help explore its morphokinetics. The term morphokinetics includes the time interval between cell divisions combined with the morphological features of the embryos: (i) the time between fertilization and the appearance of the pronucleus [1], (ii) the appearance of nuclei after the first cleavage [2], (iii) the duration of the first cytokinesis [3,4], (iv) the time between the first and second mitosis [5,6], (v) the synchronicity of the second and third mitosis [3,4,7], and (vi) the expansion and hatching time of the blastocyst [8,9]. These parameters have been suggested as a tool for predicting embryo viability, its competence to implant, establishing pregnancy, and achieving a live birth [10,11].
Based on a time-lapse system, discrimination embryos can be classified into two developmental patterns: normal and abnormal. Embryos are classified as normal, when the cell cleaves into two equally sized blastomeres. The normally cleaved embryo can be further divided into two sub-categories: those embryos that represent synchronous (i.e., divisions into 4, 8, and 16 blastomeres) or asynchronous (i.e., divisions into 3, 5, 6, 7, 9, 10, or 12 blastomeres) cleavages (Figure 1A) [12,13]. The abnormal cleavages can be distinguished by one or more abnormalities. These cleavages include the direct cleavage when the zygote divides directly into >3 blastomeres [14], the unequal cleavage, when the zygote divides into two unequally sized blastomeres [15,16], and the reverse cleavage, when the number of blastomeres after division is reduced (Figure 1A) [5,17]. In addition, the time-lapse system allows embryo morphological classification at any developmental stage. Parameters such as the shape, color, number, and compactness of blastomeres, as well as the degree of fragmentation are used to classify the embryo as good, fair, or poor [12,15,18,19,20]. Taken together, examining embryo morphokinetics enables one to predict more accurately the developmental competence of the embryo. Numerous studies have indicated that embryos classified as normal and/or early divided in the first division have a higher probability to develop to the blastocyst stage [5,10,12,14,21,22,23]. More specifically, we reported that bovine embryos that developed to the blastocyst stage were faster in the 1st (i.e., division from 1-cell to 2-cell stage embryo) and 2nd (i.e., division from 2-cell to 4-cell stage embryo) divisions rather than those that did not develop to the blastocyst stage [5,12]. In addition, embryos displaying normal cleavage patterns exhibited higher chances to develop into blastocysts than did the abnormal ones [5,12]. Moreover, embryos that further developed into blastocysts displayed good morphology relative to the arrested ones [12,24]. In support, we recently encountered similar results using a new data set (Figure 1B,C; [25]). With respect to embryo morphology, previous studies indicated the usefulness of embryo scoring as a pregnancy predictor [26]. However, blastocysts that developed from normally and abnormally cleaved embryos displayed a similar morphology [12], which indicates that morphology should be considered with caution. Taken together, the establishment of a time-lapse imaging algorithm, mainly in IVF clinics, provides a superior tool for selecting embryos, rather than using the common subjective morphological evaluations.
Figure 1.
Embryo morphokinetics via the time-lapse system. (A) Representative images of a normally cleaved embryo through different developmental stages: (a) 2-cell, (b) 3-cell, (c) 4-cell, (d) 5-cell, (e) 6-cell, (f) 7-cell, (g) 8-cell, (h) morula, (i) an early blastocyst, and (j) an expanded blastocyst, and an abnormally cleaved embryo: (k,k’) a directly cleaved embryo from zygote to 3-cell, (l,l’,l’’) a reversed cleaved embryo from zygote to the 2-cell embryo and back to the 1-cell embryos, (m) a 2-cell stage embryo displaying unequally sized blastomeres, (n) a 2-cell stage embryo with large fragments, i.e., classified as having poor morphology, (o) a 4-cell stage embryo displaying unequal sized blastomeres, i.e., classified as having poor morphology, (p) an 8-cell stage embryo displaying unequally sized blastomeres, i.e., classified as having poor morphology, (q) a blastocyst exhibiting a poor morphological appearance, with loosely clustered cells at the inner cell mass and a trophoblast containing a layer of discontinuous cells. (B) Presented is the cleavage timing post-fertilization (1st, 2nd, and 3rd cleavages) of cleaved embryos that further developed (+) or did not (−) develop to the blastocyst stage [25]. The Kruskal–Wallis test, followed by the Wilcoxon test for pairwise comparisons, was used to compare the median time values of the 1st, 2nd, and 3rd divisions of embryos that either developed to blastocysts or did not. Data are presented in box and whisker plots, indicating the timing for 25, 50 (i.e., median), and 75% of the cleaved embryos. * p < 0.05. (C) Presented is the distribution of cleaved embryos classified as either with a normal or abnormal cleavage pattern among embryos that either developed (+; n = 101, the total number of embryos that developed to the blastocyst stage) or did not develop (−; n = 342, the total number of embryos that did not reach the blastocyst stage) to the blastocyst stage [25] . The chi-squared test, followed by Fisher’s exact test, was performed to compare the cleavage pattern distribution (normal or abnormal) of embryos that developed to blastocysts with those that did not.
2. Potential Factors That Affect Embryo Morphokinetics
Several factors were found to affect embryo morphokinetics, for instance, parental age (maternal and/or paternal), smoking habits, spermatozoa quality, and obesity [27,28,29,30,31,32,33]. Assistance reproductive technology (ART) methods such as stimulation protocol, fertilization method (IVF vs. ICSI), and culture medium were also found to affect the developmental morphokinetics [2,33,34,35,36,37]. A delay in the time of the division into 2-, 4-, and 7-cell stage embryos was reported when fertilization was performed with compromised spermatozoa, i.e., lower concentration and motility [32]. In addition, the time from pronuclei fading to the 2-cell stage and from the 2- to 3-cell stage was found to be longer. Moreover, a higher proportion of abnormal division patterns, mainly direct cleavage and higher fragmentation incidences was reported [32]. Another study reported that the kinetics of the developing embryos differ between fertilization with fresh and surgically derived spermatozoa, mainly expressed by a slower division into the 8-cell stage and a delay in embryo compaction and blastulation [37]. Increased maternal, as well as paternal, age is also associated with delayed kinetics, mainly in the first three divisions [30,31,38,39]. On the other hand, the association between the incidence of abnormal cleavages and maternal age is controversial [39,40,41]. In contrast, increased paternal age was reported to be associated with a higher proportion of abnormal cleavages, such as direct and reverse [30]. With further insight into embryo culture conditions, besides the culture medium, the incubator environment, including the temperature, oxygen levels, and osmotic pressure, can potentially affect embryo morphokinetics [42]. Although much has been reported regarding the best conditions for human embryonic development (for a review, see [43]), less is known about the impact on embryo developmental morphokinetics. For instance, a low oxygen level (i.e., 5%) during embryo culture has been suggested in many animal studies, since it was highly associated with a better developmental outcome (for a review, see [44]). For human embryos, information regarding the proper oxygen level is not clear cut [44]. Whereas some reports indicate that altering the oxygen level during culture does not affect embryo morphology [45], other reports indicate that embryos exhibit lower fragmentation when cultured at 5% O2, compared with those cultured at 20% O2 [46]. The benefit of culturing at 5% oxygen was demonstrated regarding the timing of the third division, e.g., the embryos displayed faster division at the third division [36]. Another aspect of the culture condition that is associated with in vitro embryonic development is the media osmolality [47]. The media osmolality can be affected, for example, by the humidity in the incubator [48], which can affect embryo developmental morphokinetics. For example, embryos cultured under relatively high humidity conditions exhibit a faster pronucleus appearance and fading, the time of the first division, and the time of morula development [49].
3. Environmental Stressors
Various environmental stressors were reported to affect the oocyte and/or the sperm, thereby impairing the developmental competence of the resulting embryo [50,51]. The current review discusses the effect of the most concerning environmental stressors on embryo morphokinetics. These stresses include heat stress, endocrine-disrupting compounds, mycotoxins, viruses, pharmaceutical compounds, and radiation (Figure 2). In addition, this review also specifies some potential protective compounds that might improve the embryo morphokinetics and its developmental competence.
Figure 2.
Schematic illustration of the most concerning environmental stressors that affect embryo morphokinetics. These stressors include heat stress as well as human-made chemical and naturally occurring compounds. They have been reported to affect the oocyte, spermatozoa, or zygote, which are further expressed by embryo kinetics, embryo morphology, and embryo division patterns.
3.1. Effect of Heat Stress on the Embryo Developmental Morphokinetics
Summer heat stress is a major environmental factor that contributes to low fertility in lactating dairy cows, manifested by immediate and long-lasting deleterious effects on the female reproductive system [52]. Seasonal studies in dairy cows reported that environmental heat stress negatively affects embryonic development. For instance, environmental heat stress was associated with an 8–12% embryonic loss throughout 21 to 30 days of gestation [53]. Exposing cows to thermal stress during the hot season reduces the proportion of oocytes that undergo fertilization and that developed to 2-cell, 8-cell stage embryos, morula, and blastocysts [54,55]. Similarly, exposing oocytes to elevated temperatures during in vitro maturation results in a decreased cleavage rate and a reduced proportion of oocytes that develop to the blastocyst stage [56,57,58]. Other reports indicate that not only the oocyte itself is sensitive to thermal stress—the formed embryos are also sensitive to it [52,59]. However, the association between thermal stress and embryo developmental morphokinetics has been studied less.
A recent seasonal study in which oocytes were collected during the hot season (June–September) or the cold season (December–May) found a seasonal variation in embryo developmental kinetics [60]. A delay in the second division was recorded post-fertilization for oocytes that were collected during the hot season. This delay was accompanied by reduced blastocyst formation. In support, Gendelman et al. [61] found a delay in the timing of the first cleavage for in vitro-derived embryos that developed from oocytes collected during the hot season relative to those collected during the cold season. The developmental peak to the 2-cell stage was higher and occurred about 13 h earlier in the cold season. A similar delay was found for the second division to the 4-cell stage, manifested by a higher proportion of 2-cell stage embryos versus 4-cell stage embryos at 42 h post-fertilization in the hot season [61]. With respect to embryo morphological scoring, interesting findings were found, indicating a higher proportion of good grade embryos during the hot season in the 1st, 2nd, and 3rd divisions [60]. In vitro exposure to a physiological thermal stress caused a delay in the first and the second divisions as well as a delayed time to blastocyst formation [62]. Early cleaved embryos are more likely to develop to the blastocyst stage than late-cleaving embryos [12,21,22] and are associated with higher pregnancy rates and lower abortion frequencies [63]. Therefore, heat stress-induced alteration in the embryo kinetics of the first divisions is suggested as one of the mechanisms that impair the embryo developmental competence (Figure 3). Alterations in the temperature gradient in in vitro culture systems were also found to impair mouse morphokinetics [64,65].
Heat stress can also affect the proportion of abnormally cleaved embryos, manifested by a higher proportion of unequally cleaved embryos in the hot season relative to the cold season (14.3 vs. 5.9%, respectively) [60]. Recent studies in ovine, bovine, and porcine found that the proportion of blastocysts that developed from unequally cleaved embryos was lower than those that developed from normally cleaved embryos [66,67,68]. Therefore, the heat that increased the proportion of abnormally cleaved embryos might partially explain the reduced embryonic development in bovine during the summer months. A recent seasonal study examined the morphokinetics of in vivo-derived bovine embryos using a time-lapse system [69]. The investigators used machine learning in which the pixel changes from one frame to the next, defined as the morphokinetic activity, and found a differential morphokinetic activity between seasons, manifested by increased metabolism. Such alterations were suggested to reduce the embryo competence to establish pregnancy.
Figure 3.
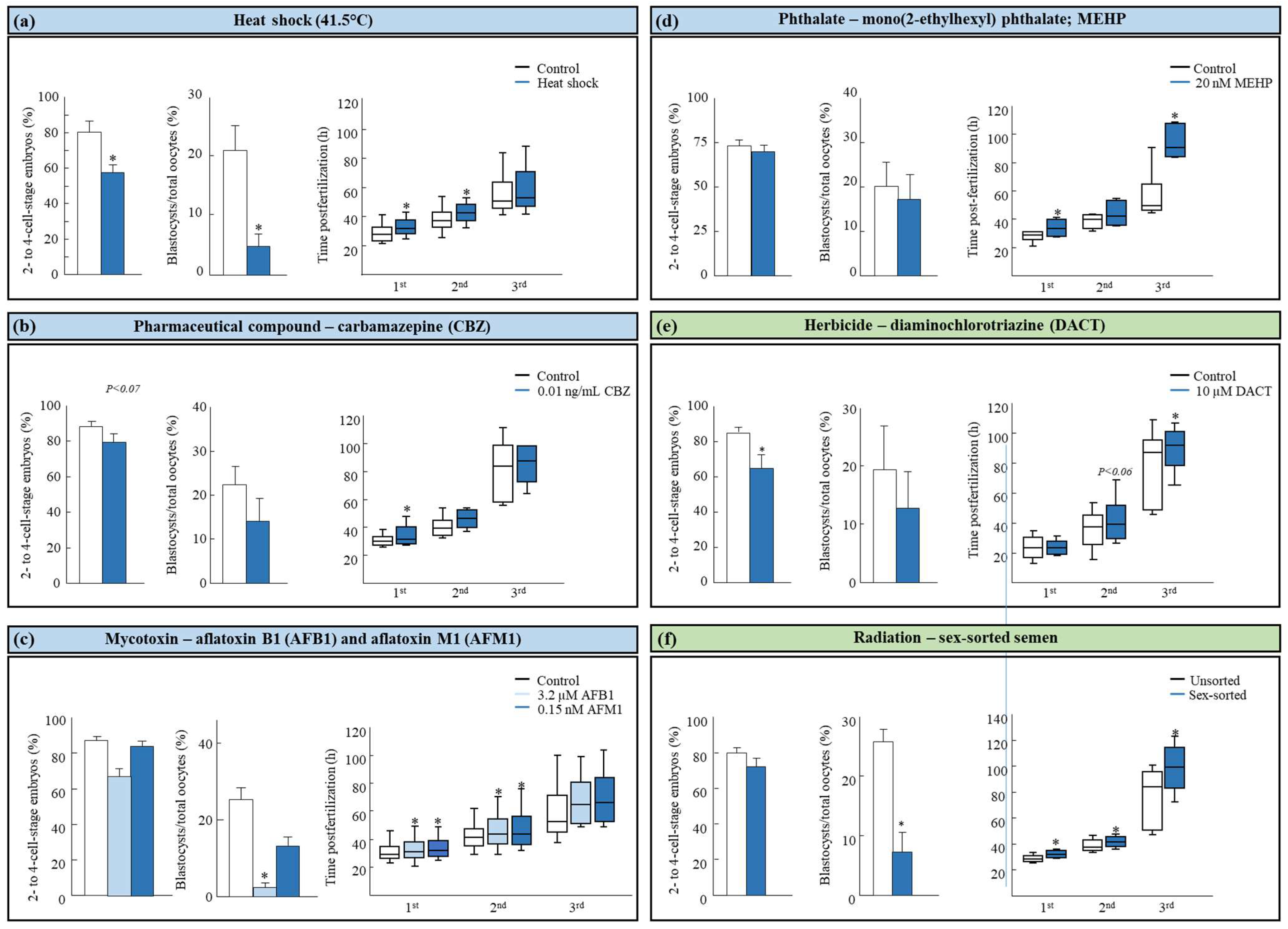
The effect of various environmental stressors on embryonic developmental morphokinetics. Presented are carry-over effects from the oocyte (in blue) or the spermatozoa (in green) to the developed embryo. Environmental stressors include (a) heat shock (i.e., 41.5 °C; modified from Yaacobi-Artzi et al. [61]), (b) 0.01 ng/mL of carbamazepine (CBZ; modified from Kalo et al. [70]), (c) 3.2 µM of aflatoxin B1 (AFB1) and 0.15 nM of AFM1 (modified from Yaacobi-Artzi et al. [71]), (d) 20 nM of mono (2-ethylhexyl) phthalate (MEHP; [72]), (e) 10 µM of diaminochlorotriazine (DACT; modified from Komsky-Elbaz et al. [73]), and (f) sex-sorting methodology (modified from Kalo et al. [74]). Embryo developmental competence was analyzed by one-way ANOVA, followed by Student’s t-test or by the Tukey–Kramer test; data are presented as the mean ± SEM. Embryo kinetics through the first three divisions were analyzed using the Kruskal–Wallis test, followed by the Wilcoxon test to compare the median time values of the 1st, 2nd, and 3rd divisions between groups. Data are presented in box and whisker plots, indicating the timing for 25, 50 (i.e., median), and 75% of the cleaved embryos * p < 0.05.
Figure 3.
The effect of various environmental stressors on embryonic developmental morphokinetics. Presented are carry-over effects from the oocyte (in blue) or the spermatozoa (in green) to the developed embryo. Environmental stressors include (a) heat shock (i.e., 41.5 °C; modified from Yaacobi-Artzi et al. [61]), (b) 0.01 ng/mL of carbamazepine (CBZ; modified from Kalo et al. [70]), (c) 3.2 µM of aflatoxin B1 (AFB1) and 0.15 nM of AFM1 (modified from Yaacobi-Artzi et al. [71]), (d) 20 nM of mono (2-ethylhexyl) phthalate (MEHP; [72]), (e) 10 µM of diaminochlorotriazine (DACT; modified from Komsky-Elbaz et al. [73]), and (f) sex-sorting methodology (modified from Kalo et al. [74]). Embryo developmental competence was analyzed by one-way ANOVA, followed by Student’s t-test or by the Tukey–Kramer test; data are presented as the mean ± SEM. Embryo kinetics through the first three divisions were analyzed using the Kruskal–Wallis test, followed by the Wilcoxon test to compare the median time values of the 1st, 2nd, and 3rd divisions between groups. Data are presented in box and whisker plots, indicating the timing for 25, 50 (i.e., median), and 75% of the cleaved embryos * p < 0.05.

3.2. Effect of Human-Made Chemicals on the Embryo Developmental Morphokinetics
Various compounds in the environment were found to have a deleterious effect on embryo developmental competence. Some of them are human-made chemicals, whereas others are naturally occurring toxins. About 80,000 compounds, regardless of their source, have been defined as endocrine disruptor compounds (EDCs) due to their ability to mimic, block, or interfere with the endogenous hormone cascade. Given the extreme number of existing compounds, the current review discusses only some representative compounds that are associated with reproductive health, in particular, those compounds that affect embryo developmental morphokinetics.
Phthalates: The phthalate group contains more than 25 types that are used for commercial applications. The bis-(2-ethylhexyl phthalate) (DEHP) is the most commonly used phthalate [75] and can be found in toys, vinyl flooring, wall covering, detergents, lubricating oils, food packaging, pharmaceuticals, blood bags, and personal care products [76,77]. Farm animals can be exposed to phthalate via milking equipment, such as milking pipes, liners, teat dip cups, food packing, and silage wrap [78]. In the body, DEHP is metabolized into several metabolites; the major metabolite is the mono(2-ethyhexyl) phthalate (MEHP), which has higher toxic effects than DEHP [76,79]. Phthalates were detected in female follicular fluid; they are associated with a negative reproduction outcome [80,81]. Similarly, Phthalates were found in the follicular fluid of lactating cows associated with reduced oocyte developmental competence [82]. Moreover, blastocysts that developed from 20 nM of MEHP-treated oocytes expressed a different transcriptomic profile [83].
An association between phthalate exposure and embryo morphokinetics was reported. Exposing equine oocytes to 500 nM DEHP during in vitro maturation affects the morphokinetics of the developing embryos, manifested by a lengthy time from fertilization to the extrusion of the second polar body and a shorter cell cycle time from the 2- to 3-cell stage [80]. In addition, a higher proportion of embryos expressed an abnormal division pattern, such as a direct first cleavage in the DEHP-treated group [84]. In agreement, we recently found that exposing bovine oocytes to 20 nM of MEHP results in a 5 h delay from fertilization to the first division into the 2-cell stage, relative to the untreated oocyte (33.7 ± 2.5 vs. 28.1 ± 0.9%, respectively, p = 0.04). A delay in the third division was also demonstrated (Figure 3; [72]). Studies in mice found that exposing 2-cell stage embryos to 10−3 M of monomethyl phthalate (MMP), a dimethyl phthalate metabolite, slows the developmental rate into the 4-, 8-cell stage, and to the morula and the blastocyst stages. Slowing the cleavage rate was also associated with increased reactive oxygen species (ROS) and decreased ATP synthesis [85]. On the other hand, exposure to 10−3 M of mono-n-butyl phthalate (MBP), a dibutyl phthalate (DBP) metabolite, did not impair the kinetics of mouse embryos into the 2-, 4- and 8-cell stages, but it reduced the blastocyst formation rate [86]. Exposing the oocytes of Galeolaria caespitose, a marine invertebrate, to 0.2, 2, and 20 mg/mL of DBP did not impair the proportion of embryos with normal vs. abnormal morphology. Interestingly, fertilization with DBP-treated G. caespitosa spermatozoa resulted in a high proportion of embryos with an abnormal morphology at the 4-, 8-, and 16-cell stage, in a dose-dependent manner [87], suggesting a paternal effect on embryo developmental morphokinetics.
Other synthetic compounds: Many chemical and synthetic compounds were suggested to negatively affect embryonic development. These compounds include chemicals such as parabens, bisphenols, microplastic, triclosan, per- and poly-fluoroalkyl substances (PFASs), perfluorinated compounds, and more [88]. Bisphenol A (BPA), for example, is the most studied bisphenol [89]. In vitro maturation of bovine oocytes with Bisphenol A (BPA) reduces both the cleavage and the blastocyst formation rate [90,91]. Moreover, BPA also impairs the expression of some miRNA in the oocytes [90], as well as the blastocyst metabolism [91]. However, the association between embryo development and morphokinetics is less known. One study on mouse oocytes indicated that BPA delays the cell cycle through meiosis [92], suggesting a possible impact on the embryo morphokinetics following fertilization. On the other hand, the BPA concentration in body fluids (urine, plasma, and follicular fluid) did not affect the IVF outcome, expressed as the proportion of good quality embryos or the proportion of normally fertilized oocytes [93]. Whereas some studies suggest a negative correlation between PFASs in women’s follicular fluid and the oocyte fertilization rate or the IVF outcome [94,95], other studies reported that there is no association [96,97]. In vitro maturation of bovine oocytes with perfluoroalkyl acids, a subgroup of PFASs, reduced the cleavage and blastocyst formation rates, but it did not alter the blastocyst morphology [98]. Taken together, although PFASs were reported to have a negative impact on the female reproductive system (for a review, see [99]), and to some extent on embryonic development, the effect of PFASs on the embryo morphokinetics remains obscure.
Herbicides and pesticides: The increasing use of herbicides and pesticides in agriculture has become, in turn, a global health problem [100,101,102]. About 1000 of these compounds were identified as EDCs [103]. Some of these compounds were reported to affect proper embryonic development in livestock [104]. For instance, atrazine is a chlorotriazine herbicide [105], which is known as a ubiquitous environmental contaminant [106] and is considered an EDC [107,108]. A study in bovine reported that atrazine and its primary metabolite diaminochlorotriazine (DACT) induces a carry-over effect, from the sperm to the embryo [73]. Pre-fertilization exposure of fresh spermatozoa to 10 µM of DACT impairs the morphokinetics of early cleaved embryos, manifested by a delay in the division time into the 4- and 8-cell stages (Figure 3). This delay was associated with a higher incidence of abnormal cleavage patterns, mostly a reverse cleavage. Other commonly used herbicides that were reported to affect embryonic development are BASTA-15® and ROUNDUP®. In vitro exposure of bovine semen to Glyphosate, the active ingredient in ROUNDUP® herbicide [109], did not impair the spermatozoa’s ability to fertilize oocytes, expressed by the cleavage rate; however, it reduced the proportion of embryos that developed to blastocysts [110]. Moreover, the addition of ROUNDUP® herbicide during oocyte maturation reduced both the cleavage and blastocyst formation rate [110]. In addition, the in vitro maturation of porcine oocyte with Glyphosate did not impair oocyte nuclear maturation or cleavage rate but it did reduce the proportion of developed blastocysts [111]. Similarly, the in vivo administration of BASTA-15® to dams reduced the proportion of morulas and early blastocysts, and the majority of the embryos arrested at earlier cleavage stages (up to 16 cells) [112]. In addition, the in vitro culturing of mouse embryos with BASTA-15® negatively affected embryo growth and quality even at low concentrations [112]. Currently, the effect of these compounds on the embryo morphokinetics is less known.
Pharmaceutical compounds: The presence of pharmaceutical compounds in the environment is a world-wide concern [113]. Several pharmaceutical compounds were found in the soils and in crops that were irrigated with treated waste water [114,115]. These compounds include carbamazepine, lamotrigine, caffeine, metoprolol, sulfamethoxazole, sildenafil, and others [115]. Among these compounds, carbamazepine, an antiepileptic drug, is one of the most frequently detected pharmaceuticals in the environment [116,117]. Another study in male rats showed that carbamazepine impairs steroidogenesis and sperm quality, decreases testosterone levels, and delays puberty [118]. Administration of carbamazepine during pregnancy decreases fetal weight, decreases the crown-rump distance [119,120], and increases the proportion of pre- and post-implantation embryonic loss [119]. Carbamazepine also impairs the embryo morphokinetics; we recently found that exposing the oocytes during maturation to carbamazepine at 0.01 mg/mL causes a delay in the division timing into the 2-, 4- and 6-cell stage, and exposure to 0.1 ng/mL induces a delay to the 6- and 7-cell stage embryos. In addition, a higher proportion of abnormally cleaved embryos was recorded in the treated group following exposure to 0.01 or 0.1 ng/mL of carbamazepine (p = 0.02) [70] (Figure 3). In mice, maternal exposure to carbamazepine from day 9 of gestation induced a delay in the developmental kinetics of embryos [121].
Another sample of pharmaceutical compound found in treated wastewater is the nocodazole, an antifungal drug [122]. It is known to disrupt the microtubule organizational capability, which in turn, leads to spindle abnormalities and chromosome segregation errors [123,124,125]. A recent study in mice found that nocodazole affects the morphokinetics of oocytes during in vitro maturation. In particular, it affects the timing to the first polar extrusion, which was longer, resulting in a prolonged meiosis I [125].
Oxidation agents: Oxidation agents are intensively used to induce oxidative stress in many biological models [126,127]. For instance, Cumene hydroperoxide was reported to induce oxidative stress, expressed by lipid peroxidation and DNA damage [128]. Similarly, Triton X-100, a human-made chemical, is mainly used in biochemical applications to induce oxidative stress [129,130]. Both chemicals (i.e., Cumene hydroperoxide and Triton X-100) were reported to affect the embryo morphokinetics. Culturing cryopreserved 1-cell mouse embryos with either Cumene hydroperoxide or Triton X-100 delays the timing of divisions and the cell cycle length [131]. For instance, cumene hydroperoxide at concentrations of 4, 6, and 8 µM induced a delay in the division timing into the 4-, 5-, 6-, 7-, and 8-cell stage, as well as in the time of morula formation, blastocoel cavity formation, and blastocyst expansion. Similarly, exposure to a low level (0.0004%) of Triton X-100 had a prominent effect on the timing of the blastocoel cavity formation, manifested by a delay of ~5 h [131]. Note that the timings of morula compaction and blastocyst formation are both markers for blastocysts of high quality. A rapid morula compaction and faster blastocyst formation were found to be associated with greater chances to develop to the blastocyst stage, establish pregnancy, and achieve live births [132,133].
Mineral oil is routinely used to protect the in vitro-cultured embryos from inadequate medium temperature, pH, and osmolality [134]. The mineral oil is composed of crude oil and contains unsaturated hydrocarbons, peroxides, and Triton-X 100. The two latter ones are known as embryo-toxic elements, which, under inappropriate storage conditions, can form free radicals [134,135]. A study conducted in mice reported that clinical-grade mineral oil impairs the embryo morphokinetics, manifested by an increased duration of the cell cycle and a delay in the division into the 2- and 8-cell stage, and the formation time of the blastocyst [136]. Wolff et al. [131] reported that using recalled mineral oil for mouse embryo culture caused a delay in division into the 3-, 4-, 5-, 6-, 7-, and 8-cell stages, as well as morula and blastocyst formation. Although not clear enough, the mineral oil seems to have a toxic effect on embryo morphokinetics, presumably via the induction of oxidative stress by ROS and other free radial agents; thus, it should be handled with caution. In support of this assumption, a study conducted in porcine oocytes reported an increase in the oxidant status of the culture medium following the use of Peroxidized mineral oil, i.e., an altered batch of mineral oil [137].
Taken together, human-made chemicals seem to have deleterious effects on the embryo developmental morphokinetics (Table 1), consequently impairing the proportion of embryos that develop into blastocysts. One of the suggested mechanisms underlying this impairment, is elevation in ROS levels above the required physiological level during preimplantation [138]. This point requires further investigation.
Table 1.
Collective data associating morphokinetic alterations following exposure to human-made chemicals.
3.3. Effect of Natural Occurring Compounds on the Embryo Developmental Morphokinetics
Naturally occurring compounds are derived from biological sources, such as mycotoxins, which are produced by fungi, chemicals from plant or soil origin, and physical source components, such as metal, glass, and gas (e.g., radon). In the current review, we aimed to discuss representative compounds, mainly mycotoxin, and their effect on embryo morphokinetics. Although not classified as toxins, we will also address the effect of viruses on the embryo morphokinetics, since viruses, for instance, SARS-CoV-2, naturally exist in the environment [139].
Mycotoxins: Aflatoxins are naturally occurring toxins that belong to a large group of mycotoxins produced by the fungi Aspergillus flavus and Aspergillus parasiticus [140]. Aflatoxins can be found in food products, grains, fruits, nuts, and other crops, especially under humid conditions [141]. Among the aflatoxins, aflatoxin B1 (AFB1) is highly toxic to mammals, due to its carcinogenic, mutagenic, and teratogenic effects [142,143]. In the body, AFB1 is catabolized into various metabolites; the main ones are AFM1 and AFQ1 [144]. AFM1 is classified as carcinogenic and immunosuppressive and can be found in the milk of animals that were fed contaminated feedstuff [145]. Accordingly, permissible limits for AFB1 and AFM1 concentrations in food were established for humans (0.01–0.1 μM) and animals (up to 1 μM) [144,146].
Aflatoxins are considered risk factors for infertility [147]. Accumulating studies indicated that mammalian oocytes are vulnerable to aflatoxins, in particular, to AFB1. Studies in porcine [148], ovine [149], bovine [71], and mice [150] found that AFB1 affects meiosis and might involve alterations in the cell cycle mechanism. In addition, exposing mouse oocytes to AFB1 impairs the endoplasmic reticulum, the Golgi, and the mitochondrial distribution [150]. Exposing ovine oocytes during maturation to AFB1 reduces their mitochondrial membrane potential in association with elevated ROS [149]. Exposing rat oocytes to AFB1 results in a reduced fertilization rate [151] and a decrease in the cleavage and blastocyst formation rates [149]. Similarly, culturing bovine embryos for 7.5 days post-fertilization with AFB1 reduces the cleavage and blastocyst formation rates [152].
Aflatoxins also affect embryo morphokinetics. A recent study in bovine reported that AFB1 increases the proportion of asynchronously cleaved embryos [71]. Both AFB1 and AFM1 induce alterations in the kinetics of cleaved embryos in a dose-dependent manner, manifested by a delay in the first, second, and the third divisions [71] (Figure 3). Given that the three first embryo divisions are associated with embryo developmental competence, aflatoxins are suggested to affect further stages of embryo development. Both AFB1 and AFM1 alter embryo morphology. For instance, AFB1 decreased the number of embryos displaying fair morphology in the 2nd division (i.e., moderately irregular blastomeres in shape, size, or color (at least 50% intact) [71]. In addition, AFM1 altered embryo morphology in the 2nd and 3rd divisions, as well as blastocyst morphology in a dose- dependent manner [71]. In accordance, a recent study in sheep examined the effect of Ochratoxin A, a natural mycotoxin produced by several fungi of Aspergillus and Penicillium [153]. Exposing ovine oocytes to Ochratoxin A during maturation increases the rate of embryos that arrested at the 2–4-cell and 8–16-cell stages, in a dose-dependent manner [153]. In addition, treatment with Orchatoxin A induces a delay in the division time into the 5-cell and 8-cell stages, with no difference at other time points of division. Note that both aflatoxin and Ochratoxin A do not affect the embryo morphology, indicating that embryo morphology is not a good parameter by itself to assess the embryo quality [13].
Viral infection—a lesson from the SARS-CoV-2 and papillomavirus: The outbreak of corona disease (COVID-19) has been a high concern of the World Health Organization (WHO). COVID-19 is a highly transmittable and pathogenic viral infection caused by the severe acute respiratory syndrome coronavirus 2 (SARS-CoV-2) [154]. SARS-CoV-2 invades the target host cells via binding to the angiotensin-converting enzyme 2 (ACE2) membrane receptor [155]. Human oocytes and embryos express the ACE2 receptor [156,157], which make them vulnerable to SARS-CoV-2 infection. A recent work reported that SARS-CoV-2-infected patients that undergo IVF procedures have a lower number of retrieved oocytes [158]. However, the maturation, fertilization, and blastocyst formation rates did not differ from those of uninfected patients [158]. Nonetheless, the number of 3-day embryos that were of high quality and suitable for transfer was lower in the SARS-CoV-2-infected patients. With respect to the embryo developmental kinetics, no differences were recorded in the time from fertilization to pronuclei fading and the time from fertilization to division into 2-, 3-, 4-, or 5-cell embryos. On the other hand, a delay of 1–2 h was found at each developmental stage from the 6-cell stage until early blastulation in the SARS-CoV-2-infected group; this action was accompanied by a prolonged duration from the 2- to 3-cell stage [158]. In support, Braga et al. [159] reported that the kinetics of cleaved embryos were delayed in the SARS-CoV-2-infected group compared with healthy counterparts. This delay included a longer time to pronuclei appearance, time to pronuclei fading, time to 2-, 3-, 4-, 5- cells, and time to blastulation. The duration of the transition time from the pronuclei fading to the 2-cell, 3- to 5-cell stage, and from the 3- to 4-cell stage increased in the infected group as well. Nevertheless, SARS-CoV-2 infection did not affect the implantation and pregnancy rates [159,160,161]. Although not clear enough, it is suggested that alterations in the embryo morphokinetics could result from SARS-CoV-2 interference with mitotic and cytoskeleton arrangement during embryonic divisions. This assumption is based on the understanding that, following invasion into the host cells, SARS-CoV-2 cooperates with the cytoskeletal network, i.e., the microtubules, actin, and the microtubule organization [162].
The papillomavirus, a DNA virus, is also reported to alter the embryo morphokinetics. Human embryos from positively infected patients showed faster kinetics in the early stages. This was manifested by a shorter pronuclei fading time following IVF or ICSI procedures; a shorter interval was recorded between the appearance and fading of the pronuclei, resulting in earlier division to the 2-cell stage. Nonetheless, the time of blastulation was found to be slower in the virus-infected group compared with the non-infected one [163]. It was suggested that papillomavirus affects the spindle assembly checkpoint, which in turn, leads to mitotic defects [164].
Taken together, the findings clearly indicate that virus infections, SARS-CoV-2, and papillomavirus are associated with morphokinetic alterations through meiosis and/or embryonic development.
Findings indicate that not only human-made chemicals impair the embryo developmental morphokinetics, but natural occurring compounds as well (Table 2). Based on this understanding, further research should be performed in this field to clarify the effects of other chemicals and/or numerous compounds in the environment.
Table 2.
Collective data associating morphokinetic alterations following exposure to natural occurring compounds.
3.4. Effect of Radiation on the Embryo Developmental Morphokinetics
In general, radiation is classified as either ionizing or non-ionizing. There are three main types of ionizing radiation: the alpha, beta, and gamma rays (or the X-ray). Owing to intensive technological progress, exposure to ionizing radiation is unavoidable. The ionizing radiation is characterized by high energy that can directly affect the DNA structure [171,172], or it can induce the generation of ROS and oxidative stress [173]. Ionizing radiation during pregnancy, mainly preimplantation, was reported to deleteriously affect the embryo [174,175]. On the other hand, Jacquet [176] stated that exposing mice to a very low dose of ionizing radiation did not impair the morphology and the transcription in preimplantation embryos. Moreover, exposing women to controlled X-rays during hysterosalpingography results in a beneficial effect on the oocyte developmental competence, reflected by a higher fertilization rate, higher blastocyst formation, and higher proportion of blastocysts of good quality [177].
A recent study reported that exposing bovine ovaries to X-ray radiation (100 mGy) affects the developmental morphokinetics of the embryos. The irradiated-cleaving embryos were divided into two groups: those that further developed to the blastocyst stage and those that did not [165]. It was found that the duration of the three first embryonic divisions was longer in the subgroup of embryos that did not develop to blastocysts. Exposing oocytes to X-rays increases the duration of the first division from the 2- to 3-cell stages and from the 3- to 4-cell stages but does not affect blastocyst formation.
Exposure to electromagnetic radiation through a variety of electrical devices is a risk factor for reproductive health [178,179]. Nevertheless, to date, the reports are controversial; some reports indicate no significant effect on the fertilization rate and on early embryonic development [180,181], whereas others documented a reduction in the blastocyst formation rate and an increase in embryonic death [182]. Electromagnetic radiation was reported to affect the mitochondria and to induce oxidative stress [183]; exposing mouse zygotes to electromagnetic radiation (900–1800 Hz) increases the proportion of necrotic embryos at the 2-cell stage; no impact was recorded on the proportion of embryos that developed to blastocysts; however, blastocysts that developed from irradiated zygotes were less viable and expressed a higher cell death [181].
In recent studies, mouse zygotes were irradiated with electromagnetic radiation (900–1800 Hz) and further cultured in an incubator that was equipped with a time-lapse system [166,167]. The results indicated a reduction in blastocyst formation in association with kinetic impairments: in particular, a delay in the first divisions into the 2-cell stage to the 12-cell stage [166,167]. In addition, a delay in the kinetics was recorded in embryos that developed from irradiated zygotes; this delay included the time of blastocoel formation, the formation time to the blastocyst stages, and the time to hatching [167]. Electromagnetic radiation also affects the embryo morphology and the cleavage pattern. For instance, a higher proportion of abnormal divisions was obtained following radiation, mainly a reverse cleavage pattern, which is known to be associated with a higher proportion of embryos of low quality [166,167].
The Impact of Radiation on the Spermatozoa in the Embryo Developmental Morphokinetics
It is well documented that ionizing radiation has a negative impact on human spermatozoa, manifested by a reduced spermatozoa concentration and motility, impairment of spermatozoa morphology, induction of oxidative stress, and DNA damage [184]. A negative impact of UV lasers, such as DNA breakage, was reported in human spermatozoa [185]. Similarly, in vitro exposure of human spermatozoa to electromagnetic radiation results in decreased spermatozoa motility and viability as well as an increase in ROS levels [186]. A study in bovine found that in vitro fertilization of oocytes with UV-irradiated spermatozoa affects the fertilization capability of the spermatozoa, reflected by a reduction in the cleavage rate into the 2-cell stage at 48 h post-fertilization, along with the complete inhibition of blastocyst development [187].
In bovine, sorting semen is a widely used procedure to achieve the desired sex of offspring [188,189]. One of the sorting methodologies is based on the DNA difference between X- and Y-spermatozoa, which, in domestic animals, is about 4.5 to 3%, respectively [190]. The sorting process involves several intervention points that can potentially compromise the function and quality of the sperm [189]. The spermatozoa undergo staining and then are sorted via a flow cytometer in which the spermatozoa are exposed to the high pressure (40–50 psi) of UV-laser light [191,192]. It is worth mentioning that during the spermatozoa sorting procedure, the seminal plasma is removed; therefore, the fluid components, including antioxidants, are eliminated [193]. Taken together, the spermatozoa are not only exposed to radiation but are also prone to the harmful effect of oxidative stress [193]. Studies in stallion, in which spermatozoa were sorted by flow cytometry, reported a significant increase in the ROS level, DNA fragmentation, a decrease in the mitochondrial membrane potential, as well as reduced spermatozoa viability [193,194,195].
Nevertheless, although the effect on the spermatozoa has been well studied, the subsequent effect on the developing embryo is less known. A recent study from our laboratory revealed that in vitro fertilization with bovine semen results in faster embryo divisions throughout all the developmental stages for unsorted, relative to Y- or X-sorted, semen (Figure 3) [74]. It is worth mentioning that the blastocyst formation rate was higher in the unsorted relative to the sorted group. No differences were found between normally vs. abnormally cleaved embryos following fertilization with sex-sorted semen. In addition, in vitro fertilization with Y- or X-sorted semen did not alter the morphology of the developing embryos as well. In contrast, another study in bovine reported that in vitro fertilization with X-sorted semen results in a higher proportion of abnormally cleaved embryos, mainly reverse cleavage, and slower kinetics of the division into the 2-cell stage and to the morula stage. A delay in the blastocoel formation was also recorded [168]. Bermejo-Alvarez et al. [169] recorded a first cleavage delay following in vitro fertilization with sex-sorted semen in bovine. Steele et al. [170] reported no differences in the kinetic development of bovine embryos following fertilization with sex-sorted semen; however, an increase in unfertilized oocytes, an increase in arrested zygotes and arrested embryos at the 4-cell stage were demonstrated. The carry-over effect of the sorted semen on the embryo morphokinetics is not clear enough and requires further investigation.
4. Potential Protective Compounds to Preserve the Embryo Morphokinetics
The mechanism underlying the effect of environmental stressors on embryo developmental morphokinetics is still an open question. Accumulating findings suggest that the mechanism involves the activation of oxidative stress and impairment of the anti-oxidation defense machinery. Over the time course of embryonic development, the ROS level and the antioxidant machinery are at a delicate balance [196]. Moreover, the oxidative status of the embryo correlates with the ability of the embryo to develop to a blastocyst of good quality [197]. Although low levels of ROS are required for normal embryonic development, high levels of ROS can lead to lipid peroxidation and can induce damage to the cell membrane as well as cause DNA fragmentation [196,198]. Consequently, the use of several antioxidant agents was suggested to minimize the impact of oxidative stress [198]. Some of these potential “protective” agents are discussed below.
Melatonin: Melatonin is a natural antioxidant compound [199]. Previous studies in mice, porcine, goat, bovine, and humans reported the beneficial effects of melatonin on oocyte and embryonic development [200]. Nevertheless, the impact of melatonin is controversial and differs between studies in a dose-dependent manner. Although some doses of melatonin result in a negative impact on embryonic development [201], others do not affect it [202,203]. On the other hand, melatonin was reported to protect cells from radiation [204,205] and to improve, to some extent, the formation rate of blastocysts exposed to heat shock [201]. Melatonin increased the cleavage and blastocyst rates following the exposure of bovine oocytes to high oxygen conditions (21% v/v) during maturation [206]. In another study in bovine, supplementing melatonin to the maturation did not affect the morphokinetics of embryos that developed from heat-shocked oocytes; a similar division time into the 2-, 4-, 8-cell stages, and blastocyst formation were recorded for both melatonin-treated and control groups [62]. In addition, the proportion of embryos with abnormal patterns, mainly direct cleavage, did not differ between the melatonin-treated and untreated groups. On the other hand, melatonin improved the cryotolerance of bovine blastocysts that underwent vitrification, manifested by a higher hatching rate at 24–72 h after thawing [206].
Insulin-like growth factor-I (IGF-I): IGF-I is secreted by the oviduct [207], the uterus [208], and the embryo [209]; it possesses antioxidation capabilities. A study in bovine showed that IGF-I can eliminate the effects of heat shock on bovine embryos, manifested by reducing apoptosis and improving the competence to develop to the blastocyst stage [210]. IGF-I was found to reduce the effects of hydrogen peroxide in mouse preimplantation embryos [211]. In our lab, we found that the addition of IGF-I to the maturation medium did not affect the cleavage rate post-fertilization, but tended to increase the blastocyst formation rate. With respect to embryo morphokinetics, IGF-I did not affect the proportion of normally vs. abnormally cleaved embryos but increased the proportion of asynchronously cleaved embryos. Treatment with IGF-I increased the proportion of unequally cleaved embryos and reduced the proportion of directly cleaved embryos. In addition, the time from fertilization to the first division to the 2-cell stage, as well as the time to blastocyst formation was faster upon IGF-I administration. In addition, treatment with IGF-I increased the blastocyst recovery after cryopreservation of heat-shocked embryos [212].
Vitamins: Vitamins are organic compounds found in food and are highly important for controlling health and metabolism. Most of the vitamins participate indirectly or directly against oxidative stress and serve as biological antioxidants [213]. A recent work in humans suggests that the content of vitamins (A, E, D, and K) in the follicular fluid serves as a good marker for oocyte developmental competence [214]. Supplementation of vitamin A to the buffalo maturation medium increased the maturation rate and balanced the expression of antioxidant-related genes [215]. The addition of vitamin C to the in vitro maturation medium of bovine oocytes decreased ROS levels and increased the blastocyst yield [216]. A study in humans associated the concentration of several vitamins (A, E, D, and B6) in the follicular fluid with embryo morphokinetics [217]. A positive correlation was found between the levels of vitamin A and vitamin B6 in the follicular fluid and the division timing into the 5-cell stage embryo and the transition timing from the 2- to 3-cell stage. Moreover, a positive correlation was noted between embryo morphology and the presence of vitamins A and B6 in the follicular fluid. On the other hand, a negative correlation was found between the levels of vitamin D and vitamin E regarding the optimal kinetic timing from the 2- to 3-cell stage and from the 3- to 4-cell stages, respectively [217]. Taken together, it seems that an optimal range of vitamins levels within the follicular fluid might improve oocyte developmental competence.
Other antioxidants: Acetyl-L-carnitine (ALC), N-acetyl-L-cysteine (NAC), and α-lipoic acid (ALA) were shown to have beneficial effects on embryos that developed under high-oxygen conditions. For instance, a study in bovine reported that the addition of NAC to the maturation medium increased the proportion of 2-cell stage embryos of good quality [218]. A study in buffalo reported that the addition of ALC to the culture media improved oocyte developmental competence and the cryotolerance of the developed blastocysts [219]. An impact on the embryo morphokinetics was also demonstrated; culturing mouse embryos with a mixture of ALC, NAC, and ALA and under an environment of high oxygen (20%) resulted in faster embryonic progression, manifested by earlier division to the 5-, 6-, 7- and 8-cell stage, faster morula compaction, and faster blastocyst formation and expansion [220]. In support, the treatment of aged mouse oocytes prior to fertilization with ‘Auraptene’, which possesses antioxidative properties, improved the morphokinetics of the developing embryos; the morphokinetic parameters were comparable to those of embryos that developed from young oocytes [221]. A retrospective study in humans compared women that consume Sinopol®, a mixture of Myo-Inositol, ALA, and folic acid vs. those women that consume only folic acid. The comparison indicated that a higher proportion of embryos displayed an optimal cleavage timing for the 2- and 3-cell stage in the ‘Sinopol’ group. The latter was associated with a significantly higher clinical pregnancy rate and a higher proportion of live births relative to the ‘folic acid’ group [222]. Another study in humans reported a positive effect of the ‘Mediterranean diet’, enriched with omega-3, vitamin D, and olive oil, on the embryo developmental morphokinetics. This positive effect was reflected by a shorter time of division from the 2-cell stage into the 4-cell stage and from the 5- to 8-cell stage [223]. Omega-3 was suggested as an antioxidant [224]; however, in vitro fertilization with spermatozoa collected from bulls that were fed omega-3-enriched food did not affect the developmental kinetics nor the proportion of normally vs. abnormally cleaved embryos [225].
Collectively, this evidence strongly suggests that embryo morphokinetics can be affected by supplementing antioxidant compounds to the diet or to the culture medium, consequently preventing some extent oxidative stress.
5. Synopsis
Utilizing the time-lapse system in IVF clinics and for research purposes indicated that embryo morphokinetics through early developmental stages were associated with its ability to further develop to a blastocyst. The current review combines some of the prominent environmental stressors and specifies their effects on embryo developmental morphokinetics. Interestingly, this review again raised an old but unsolved question: “whether different stressors share a common mechanism”. The data discussed here indicate that various stressors induce oxidative stress downstream of the cascade, manifested by an increased ROS level, DNA fragmentation, and an impaired mitochondrial function. Sometimes, pretreatments with antioxidants alleviate, to some extent, the deleterious effects on embryo developmental morphokinetics. The authors believe that further transcriptomic, proteomic, and metabolomic studies are required to better understand the intracellular and molecular mechanisms that underlie these alterations. This knowledge might lead to developing new strategies to cope with this phenomenon.
Author Contributions
Conceptualization, D.K., S.Y.-A., and Z.R.; Formal analysis, D.K., S.Y.-A., A.K.-E., A.M., and S.M.; Investigation, D.K., S.Y.-A., A.K.-E., A.M., and S.M.; writing—original draft, D.K., S.Y.-A., and Z.R.; writing—review and editing, D.K., S.Y.-A., and Z.R. All authors have read and agreed to the published version of this manuscript.
Funding
This research received no external funding.
Institutional Review Board Statement
Not applicable.
Informed Consent Statement
Not applicable.
Data Availability Statement
The raw data supporting the conclusions of this article will be made available by the authors on request.
Conflicts of Interest
The authors declare no conflicts of interest.
References
- Payne, D.; Flaherty, S.P.; Barry, M.F.; Matthews, C.D. Preliminary observations on polar body extrusion and pronuclear formation in human oocytes using time-lapse video cinematography. Hum. Reprod. 1997, 12, 532–541. [Google Scholar] [CrossRef] [PubMed]
- Lemmen, J.G.; Agerholm, I.; Ziebe, S. Kinetic markers of human embryo quality using time-lapse recordings of IVF/ICSI-fertilized oocytes. Reprod. Biomed. Online 2008, 17, 385–391. [Google Scholar] [CrossRef] [PubMed]
- Sugimura, S.; Akai, T.; Hashiyada, Y.; Somfai, T.; Inaba, Y.; Hirayama, M.; Yamanouchi, T.; Matsuda, H.; Kobayashi, S.; Aikawa, Y.; et al. Promising system for selecting healthy in vitro-fertilized embryos in cattle. PLoS ONE 2012, 7, e36627. [Google Scholar] [CrossRef] [PubMed]
- Wong, C.C.; Loewke, K.E.; Bossert, N.L.; Behr, B.; De Jonge, C.J.; Baer, T.M.; Reijo Pera, R.A. Non-invasive imaging of human embryos before embryonic genome activation predicts development to the blastocyst stage. Nat. Biotechnol. 2010, 28, 1115–1121. [Google Scholar] [CrossRef]
- Somfai, T.; Inaba, Y.; Aikawa, Y.; Ohtake, M.; Kobayashi, S.; Konishi, K.; Imai, K. Relationship between the length of cell cycles, cleavage pattern and developmental competence in bovine embryos generated by in vitro fertilization or parthenogenesis. J. Reprod. Dev. 2010, 56, 200–207. [Google Scholar] [CrossRef]
- Mizobe, Y.; Tokunaga, M.; Oya, N.; Iwakiri, R.; Yoshida, N.; Sato, Y.; Onoue, N.; Ezono, Y. Synchrony of the first division as an index of the blastocyst formation rate during embryonic development. Reprod. Med. Biol. 2017, 17, 64–70. [Google Scholar] [CrossRef]
- Meseguer, M.; Herrero, J.; Tejera, A.; Hilligsøe, K.M.; Ramsing, N.B.; Remoh, J. The use of morphokinetics as a predictor of embryo implantation. Hum. Reprod. 2011, 26, 2658–2671. [Google Scholar] [CrossRef]
- Huayhua, C.; Rodríguez, M.; Vega, J.; Briones, M.; Rodriguez-Alvarez, L.; Mellisho, E. Blastulation time measured with time-lapse system can predict in vitro viability of bovine blastocysts. PLoS ONE 2023, 18, e0289751. [Google Scholar] [CrossRef]
- Huang, T.T.; Chinn, K.; Kosasa, T.; Ahn, H.J.; Kessel, B. Morphokinetics of human blastocyst expansion in vitro. Reprod. Biomed. Online 2016, 33, 659–667. [Google Scholar] [CrossRef]
- Magata, F. Time-lapse monitoring technologies for the selection of bovine in vitro fertilized embryos with high implantation potential. Reprod. Dev. 2023, 69, 57–64. [Google Scholar] [CrossRef]
- Giménez, C.; Conversa, L.; Murria, L.; Meseguer, M. Time-lapse imaging: Morphokinetic analysis of in vitro fertilization outcomes. Fertil. Steril. 2023, 120, 218–227. [Google Scholar] [CrossRef] [PubMed]
- Yaacobi-Artzi, S.; Kalo, D.; Roth, Z. Association between the morphokinetics of in-vitro-derived bovine embryos and the transcriptomic profile of the derived blastocysts. PLoS ONE 2022, 17, e0276642. [Google Scholar] [CrossRef] [PubMed]
- Yaacobi-Artzi, S.; Kalo, D.; Roth, Z. Morphokinetics of in vitro-derived embryos—A lesson from human and bovine studies. Dairy 2024, 5, 419–435. [Google Scholar] [CrossRef]
- Zhan, Q.; Ye, Z.; Clarke, R.; Rosenwaks, Z.; Zaninovic, N. Direct unequal cleavages: Embryo developmental competence, genetic constitution and clinical outcome. PLoS ONE 2016, 11, e0166398. [Google Scholar] [CrossRef]
- Hardarson, T.; Hanson, C.; Sjögren, A.; Lundin, K. Human embryos with unevenly sized blastomeres have lower pregnancy and implantation rates: Indications for aneuploidy and multinucleation. Hum. Reprod. 2001, 16, 313–318. [Google Scholar] [CrossRef]
- Sugimura, S.; Akai, T.; Somfai, T.; Hirayama, M.; Aikawa, Y.; Ohtake, M.; Hattori, H.; Kobayashi, S.; Hashiyada, Y.; Konishi, K.; et al. Time-Lapse Cinematography-Compatible Polystyrene-Based Microwell Culture System: A Novel Tool for Tracking the Development of Individual Bovine Embryos. Biol. Reprod. 2010, 83, 97–978. [Google Scholar] [CrossRef]
- Liu, Y.; Chapple, V.; Roberts, P.; Matson, P. Prevalence, consequence, and significance of reverse cleavage by human embryos viewed with the use of the Embryoscope time-lapse video system. Fertil. Steril. 2014, 102, 1295–1300. [Google Scholar] [CrossRef]
- Van Royen, E.V.; Mangelschots, K.; Vercruyssen, M.; Neubourg, D.D.; Valkenburg, M.; Ryckaert, G.; Gerris, J. Multinucleation in cleavage stage embryos. Hum. Reprod. 2003, 18, 1062–1069. [Google Scholar] [CrossRef]
- Gardner, D.K. Blastocyst culture: Toward single embryo transfers. Hum. Fertil. 2000, 3, 229–237. [Google Scholar] [CrossRef]
- Stringfellow, D.A.; Seide, S.M. Manual of the International Embryo Transfer Society: A Procedural Guide and General Information for the Use of Embryo Transfer Technology Emphasizing Sanitary Procedures, 3rd ed.; International Embryo Transfer Society (IETS): Savory, IL, USA, 1998. [Google Scholar]
- Fenwick, J.; Platteau, P.; Murdoch, A.P.; Herbert, M. Time from insemination to first cleavage predicts developmental competence of human preimplantation embryos in vitro. Hum. Reprod. 2002, 17, 407–412. [Google Scholar] [CrossRef]
- Milewski, R.; Kuć, P.; Kuczyńska, A.; Stankiewicz, B.; Łukaszuk, K.; Kuczyński, W. A predictive model for blastocyst formation based on morphokinetic parameters in time lapse monitoring of embryo development. J. Assist. Reprod. Genet. 2015, 32, 571–579. [Google Scholar] [CrossRef] [PubMed]
- Rubio, I.; Kuhlmann, R.; Agerholm, I.; Kirk, J.; Herrero, J.; Escribá, M.J.; Bellver, J.; Meseguer, M. Limited implantation success of direct-cleaved human zygotes: A time-lapse study. Fertil. Steril. 2012, 98, 1458–1463. [Google Scholar] [CrossRef] [PubMed]
- Holm, P.; Shukri, N.N.; Vajta, G.; Booth, P.; Bendixen, C.; Callesen, H. Developmental kinetics of the first cell cycles of bovine in vitro produced embryos in relation to their in vitro viability and sex. Theriogenology 1998, 50, 1285–1299. [Google Scholar] [CrossRef] [PubMed]
- Kalo, D.; Roth, Z.; (Department of Animal Sciences, Robert H. Smith Faculty of Agriculture, Food and Environment, The Hebrew University, Rehovot, Israel). Morphokinetic of Bovine Embryos. 2023; (Unpublished work). [Google Scholar]
- Ebner, T.; Moser, M.; Sommergruber, M.; Tews, G. Selection based on morphological assessment of oocytes and embryos at different stages of preimplantation development: A review. Hum. Reprod. Update 2003, 9, 251–262. [Google Scholar] [CrossRef]
- Bellver, J.; Mifsud, A.; Grau, N.; Privitera, L.; Meseguer, M. Similar morphokinetic patterns in embryos derived from obese and normoweight infertile women: A time-lapse study. Hum. Reprod. 2013, 28, 794–800. [Google Scholar] [CrossRef]
- Fréour, T.; Dessolle, L.; Lammers, J.; Lattes, S.; Barrière, P. Comparison of embryo morphokinetics after in vitro fertilization-intracytoplasmic sperm injection in smoking and nonsmoking women. Fertil. Steril. 2013, 99, 1944–1950. [Google Scholar] [CrossRef]
- Hoek, J.; Schoenmakers, S.; van Duijn, L.; Willemsen, S.P.; van Marion, E.S.; Laven, J.S.E.; Baart, E.B.; Steegers-Theunissen, R.P.M. A higher preconceptional paternal body mass index influences fertilization rate and preimplantation embryo development. Andrology 2022, 10, 486–494. [Google Scholar] [CrossRef]
- Setti, A.S.; Braga, D.P.A.F.; Vingris, L.; Iaconelli, A., Jr.; Borges, E., Jr. Early and late paternal contribution to cell division of embryos in a time-lapse imaging incubation system. Andrologia 2021, 53, e14211. [Google Scholar] [CrossRef]
- Dal Canto, M.; Bartolacci, A.; Turchi, D.; Pignataro, D.; Lain, M.; De Ponti, E.; Brigante, C.; Mignini Renzini, M.; Buratini, J. Faster fertilization and cleavage kinetics reflect competence to achieve a live birth after intracytoplasmic sperm injection, but this association fades with maternal age. Fertil. Steril. 2021, 115, 665–672. [Google Scholar] [CrossRef]
- Liao, Q.; Huang, B.; Zhang, S.; Chen, J.; Chen, G.; Li, K.Z.; Ai, J.H. Influence of Different Quality Sperm on Early Embryo Morphokinetic Parameters and Cleavage Patterns: A Retrospective Time-lapse Study. Curr. Med. Sci. 2020, 40, 960–967. [Google Scholar] [CrossRef]
- Borges, E., Jr.; Braga, D.; Provenza, R.; Iaconelli, A., Jr.; Setti, A. Association between embryo morphokinetic development and intracytoplasmic sperm injection with epididymal sperm via time-lapse imaging. Mol. Reprod. Dev. 2024, 91, e23747. [Google Scholar] [CrossRef] [PubMed]
- Ciray, H.N.; Aksoy, T.; Goktas, C.; Ozturk, B.; Bahceci, M. Time-lapse evaluation of human embryo development in single versus sequential culture media--a sibling oocyte study. J. Assist. Reprod. Genet. 2012, 29, 891–900. [Google Scholar] [CrossRef] [PubMed]
- Cruz, M.; Garrido, N.; Gadea, B.; Muñoz, M.; Pérez-Cano, I.; Meseguer, M. Oocyte insemination techniques are related to alterations of embryo developmental timing in an oocyte donation model. Reprod. Biomed. Online 2013, 27, 367–375. [Google Scholar] [CrossRef] [PubMed][Green Version]
- Kirkegaard, K.; Hindkjaer, J.J.; Ingerslev, H.J. Effect of oxygen concentration on human embryo development evaluated by time-lapse monitoring. Fertil. Steril. 2013, 99, 738–744.e4. [Google Scholar] [CrossRef]
- Lammers, J.; Reignier, A.; Splingart, C.; Catteau, A.; David, L.; Barriere, P.; Freour, T. Does sperm origin affect embryo morphokinetic parameters? J. Assist. Reprod. Genet. 2015, 32, 1325–1332. [Google Scholar] [CrossRef]
- Akhter, N.; Shahab, M. Morphokinetic analysis of human embryo development and its relationship to the female age: A retrospective time-lapse imaging study. Cell. Mol. Biol. (Noisy-le-grand). 2017, 63, 84–92. [Google Scholar] [CrossRef]
- Faramarzi, A.; Khalili, M.A.; Mangoli, E. Correlations between embryo morphokinetic development and maternal age: Results from an intracytoplasmic sperm injection program. Clin. Exp. Reprod. Med. 2019, 46, 119–124. [Google Scholar] [CrossRef]
- Almagor, M.; Or, Y.; Fieldust, S.; Shoham, Z. Irregular cleavage of early preimplantation human embryos: Characteristics of patients and pregnancy outcomes. J. Assist. Reprod. Genet. 2015, 32, 1811–1815. [Google Scholar] [CrossRef]
- Ezoe, K.; Miki, T.; Akaike, H.; Shimazaki, K.; Takahashi, T.; Tanimura, Y.; Amagai, A.; Sawado, A.; Mogi, M.; Kaneko, S.; et al. Maternal age affects pronuclear and chromatin dynamics, morula compaction and cell polarity, and blastulation of human embryos. Hum. Reprod. 2023, 38, 387–399. [Google Scholar] [CrossRef]
- Apter, S.; Ebner, T.; Freour, T.; Guns, Y.; Kovacic, B.; Le Clef, N.; Marques, M.; Meseguer, M.; Montjean, D.; Sfontouris, I.; et al. Good practice recommendations for the use of time-lapse technology. ESHRE Working group on Time-lapse technology. Hum. Reprod. Open 2020, 2020, hoaa008. [Google Scholar] [CrossRef]
- Higdon, H.L.; Blackhurst, D.W.; Boone, W.R. Incubator management in an assisted reproductive technology laboratory. Fertil. Steril. 2008, 89, 703–710. [Google Scholar] [CrossRef] [PubMed]
- Konstantogianni, O.; Panou, T.; Zikopoulos, A.; Skentou, C.; Stavros, S.; Asimakopoulos, B. Culture of Human Embryos at High and Low Oxygen Levels. J. Clin. Med. 2024, 13, 2222. [Google Scholar] [CrossRef] [PubMed]
- Dumoulin, J.C.; Meijers, C.J.; Bras, M.; Coonen, E.; Geraedts, J.P.; Evers, J.L. Effect of oxygen concentration on human in-vitro fertilization and embryo culture. Hum. Reprod. 1999, 14, 465–469. [Google Scholar] [CrossRef] [PubMed]
- Jelinkova, L.; Brucker, C.; Reeka, N.; Gagsteiger, F. Effect of oxygen concentration on early cleavage of human embryos in vitro. Int. Congr. Ser. 2004, 1271, 147–150. [Google Scholar] [CrossRef]
- Mestres, E.; García-Jiménez, M.; Casals, A.; Cohen, J.; Acacio, M.; Villamar, A.; Matia-Algué, Q.; Calderón, G.; Costa-Borges, N. Factors of the human embryo culture system that may affect media evaporation and osmolality. Hum. Reprod. 2021, 36, 605–613. [Google Scholar] [CrossRef]
- Bossi, R.L.; Pinto, B.C.V.; Sampaio, M.A.C.; Geber, S. How to optimize culture media osmolality during Assisted Reproductive Technologies treatments. JBRA Assist. Reprod. 2023, 27, 35–40. [Google Scholar] [CrossRef]
- Valera, M.A.; Albert, C.; Marcos, J.; Larreategui, Z.; Bori, L.; Meseguer, M. A propensity score-based, comparative study assessing humid and dry time-lapse incubation, with single-step medium, on embryo development and clinical outcomes. Hum. Reprod. 2022, 37, 1980–1993. [Google Scholar] [CrossRef]
- Roth, Z.; Kalo, D.; Komsky-Elbaz, A. Effect of environmental contamination on female and male gametes—A lesson from bovine. Anim. Reprod. 2020, 17, e20200041. [Google Scholar] [CrossRef]
- Komsky-Elbaz, A.; Kalo, D.; Roth, Z. New evidence for deleterious effects of environmental contaminants on the male gamete. Anim Reprod. Sci. 2022, 246, 106886. [Google Scholar] [CrossRef]
- Roth, Z. Heat stress, the follicle, and its enclosed oocyte: Mechanisms and potential strategies to improve fertility in dairy cows. Reprod. Domest. Anim. 2008, 43 (Suppl. 2), 238–244. [Google Scholar] [CrossRef]
- García-Ispierto, I.; López-Gatius, F.; Santolaria, P.; Yániz, J.L.; Nogareda, C.; López-Béjar, M.; De Rensis, F. Relationship between heat stress during the peri-implantation period and early fetal loss in dairy cattle. Theriogenology 2006, 65, 799–807. [Google Scholar] [CrossRef] [PubMed]
- Rocha, A.; Randel, R.D.; Broussard, J.R.; Lim, J.M.; Blair, R.M.; Roussel, J.D.; Godke, R.; Hansel, W. High environmental temperature and humidity decrease oocyte quality in Bos taurus but not in Bos taurus cows. Theriogenology 1998, 49, 657–665. [Google Scholar] [CrossRef] [PubMed]
- Al-Katanani, Y.M.; Rivera, R.M.; Hansen, P.J. Seasonal variation in development of in vitro produced bovine embryos. Vet. Rec. 2002, 150, 486–487. [Google Scholar] [CrossRef] [PubMed]
- Edwards, J.L.; Hansen, P.J. Differential responses of bovine oocytes and preimplantation embryos to heat shock. Mol. Reprod. Develop. 1997, 46, 138–145. [Google Scholar] [CrossRef]
- Roth, Z.; Hansen, P.J. Involvement of apoptosis in disruption of developmental competence of bovine oocytes by heat shock during maturation. Biol. Reprod. 2004, 71, 1898–1906. [Google Scholar] [CrossRef]
- Ju, J.C. Cellular responses of oocytes and embryos under thermal stress: Hints to molecular signaling. Anim. Reprod. 2005, 2, 79–90. [Google Scholar]
- Hansen, P.J. Exploitation of genetic and physiological determinants of embryonic resistance to elevated temperature to improve embryonic survival in dairy cattle during heat stress. Theriogenology 2007, 68 (Suppl. 1), S242–S249. [Google Scholar] [CrossRef]
- Yaacobi-Artzi, S.; Kalo, D.; Roth, Z. Seasonal variation in the morphokinetics of in-vitro-derived bovine embryos is associated with the blastocyst developmental competence and gene expression. Front. Reprod. Health 2022, 4, 1030949. [Google Scholar] [CrossRef]
- Gendelman, M.; Aroyo, A.; Yavin, S.; Roth, Z. Seasonal effects on gene expression, cleavage timing, and developmental competence of bovine preimplantation embryos. Reproduction 2010, 140, 73–82. [Google Scholar] [CrossRef]
- Yaacobi-Artzi, S.; Shimoni, C.; Kalo, D.; Hansen, P.J.; Roth, Z. Melatonin slightly alleviates the effect of heat shock on bovine oocytes and resulting blastocysts. Theriogenology 2020, 158, 477–489. [Google Scholar] [CrossRef]
- Salumets, A.; Hydén-Granskog, C.; MaÈkinen, S.; Suikkari, A.M.; Tiitinen, A.; Tuuri, T. Early cleavage predicts the viability of human embryos in elective single embryo transfer procedures. Hum. Reprod. 2003, 18, 821–825. [Google Scholar] [CrossRef] [PubMed]
- Walters, E.A.; Brown, J.L.; Krisher, R.; Voelkel, S.; Swain, J.E. Impact of a controlled culture temperature gradient on mouse embryo development and morphokinetics. Reprod. Biomed. Online 2020, 40, 494–499. [Google Scholar] [CrossRef] [PubMed]
- Moriyama, D.F.; Makri, D.; Maalouf, M.N.; Adamova, P.; de Moraes, G.F.A.; Pinheiro, M.O.; Bernardineli, D.L.; Massaia, I.F.D.S.; Maalouf, W.E.; Lo Turco, E.G. The effects of temperature variation treatments on embryonic development: A mouse study. Sci. Rep. 2022, 12, 2489. [Google Scholar] [CrossRef] [PubMed]
- Fryc, K.; Nowak, A.; Kij, B.; Kochan, J.; Bartlewski, P.M.; Murawski, M. Timing of cleavage divisions determined with time-lapse imaging is linked to blastocyst formation rates and quality of in vitro-produced ovine embryos. Theriogenology 2021, 159, 147–152. [Google Scholar] [CrossRef]
- Angel-Velez, D.; De Coster, T.; Azari-Dolatabad, N.; Fernández-Montoro, A.; Benedetti, C.; Pavani, K.; Van Soom, A.; Bogado Pascottini, O.; Smits, K. Embryo morphokinetics derived from fresh and vitrified bovine oocytes predict blastocyst development and nuclear abnormalities. Sci. Rep. 2023, 13, 4765. [Google Scholar] [CrossRef]
- Yang, T.; Yuan, X.; Xue, Q.; Sun, L.; Xu, T.; Chen, Y.; Shi, D.; Li, X. Comparison of symmetrical and asymmetrical cleavage 2-cell embryos of porcine by Smart-seq2. Theriogenology 2023, 210, 221–226. [Google Scholar] [CrossRef]
- Hayden, C.; Wells, C.; Wiik, A.; Killingsworth, R. Machine learning identifies differences in morphokinetics of in vivo-derived bovine embryos between hot and cool seasons. In Proceedings of the 50th Annual Conference of the International Embryo Technology Society (IETS), Denver, CO, USA, 8–12 January 2024; Volume 36, pp. 270–271. [Google Scholar]
- Kalo, D.; Komsky-Elbaz, A.; Roth, Z. Effect of Carbamazepine At Environmentally Relevant Concentrations on Oocyte Developmental Competence. In Proceedings of the Society for the Study of Reproduction (SSR), Virtual Meeting, 18–20 of July 2020. [Google Scholar]
- Yaacobi-Artzi, S.; Kalo, D.; Roth, Z. Effect of the aflatoxins B1 and M1 on bovine oocyte developmental competence and embryo morphokinetics. Reprod. Toxicol. 2023, 120, 108437. [Google Scholar] [CrossRef]
- Kalo, D.; Roth, Z.; (Department of Animal Sciences, Robert H. Smith Faculty of Agriculture, Food and Environment, The Hebrew University, Rehovot, Israel). The Effect of MEHP on Bovine Embryo Morphokinetic. 2018; (Unpublished work). [Google Scholar]
- Komsky-Elbaz, A.; Kalo, D.; Roth, Z. Carryover effect of atrazine and its metabolite—From treated bovine spermatozoa to the embryo’s transcriptome. Biol. Reprod. 2021, 104, 1162–1180. [Google Scholar] [CrossRef]
- Kalo, D.; Manovich, S.; Yaacobi-Artzi, S.; Roth, Z. Using a Time-lapse system to examine the association between morphokinetic patterns and bovine embryo gender. In Proceeding of the 57th annual meeting of the Society for the Study of Reproduction (SSR), Dublin, Ireland, 15–19 July 2024. [Google Scholar]
- ATSDR, U.S. Agency for Toxic Substances and Disease Registry (ATSDR). Toxicological Profile for Di(2-Ethylhexyl)phthalate (DEHP). 2002. Available online: http://www.atsdr.cdc.gov/toxprofiles/tp9.html (accessed on 13 August 2024).
- Wang, Y.; Qian, H. Phthalates and Their Impacts on Human Health. Healthcare 2021, 9, 603. [Google Scholar] [CrossRef]
- Koch, H.M.; Calafat, A.M. Human body burdens of chemicals used in plastic manufacture. Philos. Trans. R Soc. Lond B Biol. Sci. 2009, 364, 2063–2078. [Google Scholar] [CrossRef]
- Pure Strategies. Sources of Phthalates in Dairy Farm Equipment. Prepared for Environmental Health Strategy Center and Coalition for Safer Food Processing & Packaging, with Screening and Testing by Ecology Center. 2018. Available online: https://www.kleanupkraft.org/Phthalates-Farm-Equipment.pdf (accessed on 13 August 2024).
- Koch, H.M.; Bolt, H.M.; Preuss, R.; Angerer, J. New metabolites of di(2-ethylhexyl)phthalate (DEHP) in human urine and serum after single oral doses of deuterium-labelled DEHP. Arch. Toxicol. 2005, 79, 367–376. [Google Scholar] [CrossRef] [PubMed]
- Yao, W.; Liu, C.; Qin, D.Y.; Yuan, X.Q.; Yao, Q.Y.; Li, N.J.; Huang, Y.; Rao, W.T.; Li, Y.Y.; Deng, Y.L.; et al. Associations between phthalate metabolite concentrations in follicular fluid and reproductive outcomes among women undergoing in vitro fertilization/intracytoplasmic sperm injection treatment. Environ. Health Perspect. 2023, 131, 127019. [Google Scholar] [CrossRef] [PubMed]
- Bellavia, A.; Zou, R.; Björvang, R.D.; Roos, K.; Sjunnesson, Y.; Hallberg, I.; Holte, J.; Pikki, A.; Lenters, V.; Portengen, L.; et al. Association between chemical mixtures and female fertility in women undergoing assisted reproduction in Sweden and Estonia. Environ. Res. 2023, 216 Pt 1, 114447. [Google Scholar] [CrossRef]
- Kalo, D.; Hadas, R.; Furman, O.; Ben-Ari, J.; Maor, Y.; Patterson, D.G.; Tomey, C.; Roth, Z. Carryover Effects of Acute DEHP Exposure on Ovarian Function and Oocyte Developmental Competence in Lactating Cows. PLoS ONE 2015, 10, e0130896. [Google Scholar] [CrossRef] [PubMed]
- Kalo, D.; Vitorino Carvalho, A.; Archilla, C.; Duranthon, V.; Moroldo, M.; Levin, Y.; Kupervaser, M.; Smith, Y.; Roth, Z. Mono(2-ethylhexyl) phthalate (MEHP) induces transcriptomic alterations in oocytes and their derived blastocysts. Toxicology 2019, 421, 59–73. [Google Scholar] [CrossRef]
- Marzano, G.; Mastrorocco, A.; Zianni, R.; Mangiacotti, M.; Chiaravalle, A.E.; Lacalandra, G.M.; Minervini, F.; Cardinalim, A.; Macciocca, M.; Vicenti, R.; et al. Altered morphokinetics in equine embryos from oocytes exposed to DEHP during IVM. Mol. Reprod. Dev. 2019, 86, 1388–1404. [Google Scholar] [CrossRef]
- Tian, W.; Liao, H.; Li, N.; Yao, W.; Li, Y.; Guo, N.; Yuan, X.; Du, Y.; Teng, X.; Li, Y.; et al. Monomethyl phthalate causes early embryo development delay, apoptosis, and energy metabolism disruptions through inducing redox imbalance. Reprod. Sci. 2024, 31, 139–149. [Google Scholar] [CrossRef]
- Chu, D.P.; Tian, S.; Sun, D.G.; Hao, C.J.; Xia, H.F.; Ma, X. Corrigendum to: Exposure to mono-n-butyl phthalate disrupts the development of preimplantation embryos. Reprod. Fertil. Develop. 2013, 26, 491. [Google Scholar] [CrossRef]
- Lu, Y.; Lin, M.; Aitken, R.J. Exposure of spermatozoa to dibutyl phthalate induces abnormal embryonic development in a marine invertebrate Galeolaria caespitosa (Polychaeta: Serpulidae). Aquat. Toxicol. 2017, 191, 189–200. [Google Scholar] [CrossRef]
- Xu, X.; Yang, M. Effects of Environmental EDCs on Oocyte Quality, Embryo Development, and the Outcome in Human IVF Process. In Environment and Female Reproductive Health. Advances in Experimental Medicine and Biology; Zhang, H., Yan, J., Eds.; Springer: Singapore, 2021; Volume 1300. [Google Scholar] [CrossRef]
- Matuszczak, E.; Komarowska, M.D.; Debek, W.; Hermanowicz, A. The Impact of Bisphenol A on Fertility, Reproductive System, and Development: A Review of the Literature. Int. J. Endocrinol. 2019, 10, 4068717. [Google Scholar] [CrossRef]
- Sabry, R.; Saleh, A.C.; Stalker, L.; LaMarre, J.; Favetta, L.A. Effects of bisphenol A and bisphenol S on microRNA expression during bovine (Bos taurus) oocyte maturation and early embryo development. Reprod. Toxicol. 2021, 99, 96–108. [Google Scholar] [CrossRef]
- Choi, B.I.; Harvey, A.J.; Green, M.P. Bisphenol A affects early bovine embryo development and metabolism that is negated by an oestrogen receptor inhibitor. Sci. Rep. 2016, 6, 29318. [Google Scholar] [CrossRef] [PubMed]
- Can, A.; Semiz, O.; Cinar, O. Bisphenol-A induces cell cycle delay and alters centrosome and spindle microtubular organization in oocytes during meiosis. Mol. Hum. Reprod. 2005, 11, 389–396. [Google Scholar] [CrossRef] [PubMed]
- Kim, H.K.; Ko, D.H.; Lee, W.; Kim, K.R.; Chun, S.; Song, J.; Min, W.K. Body fluid concentrations of bisphenol A and their association with in vitro fertilization outcomes. Hum. Fertil. 2021, 24, 199–207. [Google Scholar] [CrossRef] [PubMed]
- Governini, L.; Orvieto, R.; Guerranti, C.; Gambera, L.; De Leo, V.; Piomboni, P. The impact of environmental exposure to perfluorinated compounds on oocyte fertilization capacity. J. Assist. Reprod. Genet. 2011, 28, 415–418. [Google Scholar] [CrossRef]
- McCoy, J.A.; Bangma, J.T.; Reiner, J.L.; Bowden, J.A.; Schnorr, J.; Slowey, M.; O'Leary, T.; Guillette, L.J., Jr.; Parrott, B.B. Associations between perfluorinated alkyl acids in blood and ovarian follicular fluid and ovarian function in women undergoing assisted reproductive treatment. Sci. Total Environ. 2017, 605–606, 9–17. [Google Scholar] [CrossRef]
- Kim, Y.R.; White, N.; Bräunig, J.; Vijayasarathy, S.; Mueller, J.F.; Knox, C.L.; Harden, F.A.; Pacella, R.; Toms, L.L. Per- and poly-fluoroalkyl substances (PFASs) in follicular fluid from women experiencing infertility in Australia. Environ. Res. 2020, 190, 109963. [Google Scholar] [CrossRef]
- Lefebvre, T.; Fréour, T.; Duval, G.; Ploteau, S.; Marchand, P.; Le Bizec, B.; Antignac, J.P.; Cano-Sancho, G. Associations between internal concentrations of fluorinated and organochlorinated chemicals in women and in vitro fertilization outcomes: A multi-pollutant study. Environ. Pollut. 2022, 313, 120087. [Google Scholar] [CrossRef]
- Hallberg, I.; Kjellgren, J.; Persson, S.; Örn, S.; Sjunnesson, Y. Perfluorononanoic acid (PFNA) alters lipid accumulation in bovine blastocysts after oocyte exposure during in vitro maturation. Reprod. Toxicol. 2019, 84, 1–8. [Google Scholar] [CrossRef]
- González-Alvarez, M.E.; Antwi-Boasiako, C.; Keating, A.F. Effects of Per- and Polyfluoroalkylated Substances on Female Reproduction. Toxics 2024, 12, 455. [Google Scholar] [CrossRef]
- Abhilash, P.C.; Singh, N. Pesticide use and application: An Indian scenario. J. Hazard. Mater. 2009, 165, 1–12. [Google Scholar] [CrossRef] [PubMed]
- Swan, S.H.; Kruse, R.L.; Liu, F.; Barr, D.B.; Drobnis, E.Z.; Redmon, J.B.; Wang, C.; Brazil, C.; Overstreet, J.W. Study for Future Families Research Group. Semen quality in relation to biomarkers of pesticide exposure. Environ. Health Perspect. 2003, 111, 1478–1484. [Google Scholar] [CrossRef] [PubMed]
- Bretveld, R.W.; Thomas, C.M.; Scheepers, P.T.; Zielhuis, G.A.; Roeleveld, N. Pesticide exposure: The hormonal function of the female reproductive system disrupted? Reprod. Biol. Endocrinol. 2006, 4, 30. [Google Scholar] [CrossRef] [PubMed]
- Diamanti-Kandarakis, E.; Bourguignon, J.P.; Giudice, L.C.; Hauser, R.; Prins, G.S.; Soto, A.M.; Zoeller, R.T.; Gore, A.C. Endocrine-disrupting chemicals: An Endocrine Society scientific statement. Endocr. Rev. 2009, 30, 293–342. [Google Scholar] [CrossRef]
- McGraw, M.S.; Daigneault, B.W. Environment to embryo: Intersections of contaminant exposure and preimplantation embryo development in agricultural animals. Biol. Reprod. 2022, 107, 869–880. [Google Scholar] [CrossRef]
- Silveyra, G.R.; Canosa, I.S.; Zanitti, M.; Rodríguez, E.M.; Medesani, D.A. Interference of an atrazine commercial formulation with the endocrine control of ovarian growth exerted by the eyestalks. Environ. Sci. Pollut. Res. 2020, 27, 965–973. [Google Scholar] [CrossRef]
- Barr, D.B.; Panuwet, P.; Nguyen, J.V.; Udunka, S.; Needham, L.L. Assessing exposure to atrazine and its metabolites using biomonitoring. Environ. Health Perspect. 2007, 115, 1474–1478. [Google Scholar] [CrossRef]
- Gely-Pernot, A.; Hao, C.; Becker, E.; Stuparevic, I.; Kervarrec, C.; Chalmel, F.; Primig, M.; Jégou, B.; Smagulova, F. The epigenetic processes of meiosis in male mice are broadly affected by the widely used herbicide atrazine. BMC Genom. 2015, 16, 885. [Google Scholar] [CrossRef]
- Rey, F.; González, M.; Zayas, M.A.; Stoker, C.; Durando, M.; Luque, E.H.; Muñoz-de-Toro, M. Prenatal exposure to pesticides disrupts testicular histoarchitecture and alters testosterone levels in male Caiman latirostris. Gen. Comp. Endocrinol. 2009, 162, 286–292. [Google Scholar] [CrossRef]
- Dill, G.M.; Sammons, R.D.; Feng, P.C.C.; Kohn, F.; Kretzner, K.; Mehrsheikh, A.; Bleeke, M.; Honegger, J.L.; Farmer, D.; Wright, D.; et al. Glyphosate: Discovery, Development, Applications, and Properties; Nandula, V.K., Ed.; Glyphosate Resistance in Crops and Weeds: Hoboken, NJ, USA, 2010. [Google Scholar]
- Dovolou, E.; Nanas, I.; Giannoulis, T.; Fytsilli, A.; Ntemka, A.; Anifandis, G.; Tsakmakidis, I.; Amiridis, G.S. The effects of a glyphosate-based herbicide on the bovine gametes during an in vitro embryo production model. Environ. Pollut. 2024, 350, 123967. [Google Scholar] [CrossRef]
- Spinaci, M.; Nerozzi, C.; Tamanini, C.L.; Bucci, D.; Galeati, G. Glyphosate and its formulation Roundup impair pig oocyte maturation. Sci. Rep. 2020, 10, 12007. [Google Scholar] [CrossRef] [PubMed]
- Fabian, D.; Bystriansky, J.; Burkuš, J.; Rehák, P.; Legáth, J.; Koppel, J. The effect of herbicide BASTA 15 on the development of mouse preimplantation embryos in vivo and in vitro. Toxicol. Vitr. 2011, 25, 73–79. [Google Scholar] [CrossRef] [PubMed]
- Li, Y.; Zhu, G.; Ng, W.J.; Tan, S.K. A review on removing pharmaceutical contaminants from wastewater by constructed wetlands: Design, performance and mechanism. Sci. Total Environ. 2014, 15, 908–932. [Google Scholar] [CrossRef] [PubMed]
- Grossberger, A.; Hadar, Y.; Borch, T.; Chefetz, B. Biodegradability of pharmaceutical compounds in agricultural soils irrigated with treated wastewater. Environ. Pollut. 2014, 185, 168–177. [Google Scholar] [CrossRef] [PubMed]
- Mordechay, E.B.; Mordehay, V.; Tarchitzky, J.; Chefetz, B. Pharmaceuticals in edible crops irrigated with reclaimed wastewater: Evidence from a large survey in Israel. J. Hazar. Mater. 2021, 416, 126184. [Google Scholar] [CrossRef]
- Zhang, Y.; Geissen, S.U.; Gal, C. Carbamazepine and diclofenac: Removal in wastewater treatment plants and occurrence in water bodies. Chemosphere 2008, 73, 1151–1161. [Google Scholar] [CrossRef]
- Xie, Z.; Lu, G.; Liu, J.; Yan, Z.; Ma, B.; Zhang, Z.; Chen, W. Occurrence, bioaccumulation, and trophic magnification of pharmaceutically active compounds in Taihu Lake, China. Chemosphere 2015, 138, 140–147. [Google Scholar] [CrossRef]
- Andretta, R.R.; Okada, F.K.; Paccola, C.C.; Stumpp, T.; de Oliva, S.U.; Miraglia, S.M. Carbamazepine-exposure during gestation and lactation affects pubertal onset and spermatic parameters in male pubertal offspring. Reprod. Toxicol. 2014, 44, 52–62. [Google Scholar] [CrossRef]
- Nunes, M.; de Sousa, F.D.C.; Andretta, R.R.; Miraglia, S.M.; de Oliva, S.U. Carbmazepine causes changes in maternal reproductiv performance and fetal growth retarfation in rats. bioRxiv 2020, 303487. [Google Scholar]
- Afshar, M.; Moallem, S.A.; Houshang Mohammadpour, A.; Shiravi, A.; Majid Jalalian, S.; Jafar Golalipour, M. Teratogenic effects of carbamazepine on embryonic eye development in pregnant mice. Cutan. Ocul. Toxicol. 2010, 29, 10–15. [Google Scholar] [CrossRef]
- Douek-Maba, O.; Kalev-Altman, R.; Mordehay, V.; Hayby-Averbuch, H.; Shlezinger, N.; Chefetz, B.; Sela-Donenfeld, D. Maternal exposure to environmental levels of carbamazepine induces mild growth retradation in mouse embryos. bioRxiv 2023, 523650. [Google Scholar]
- Monapathi, M.E.; Oguegbulu, J.C.; Adogo, L.; Klink, M.; Okoli, B.; Mtunzi, F.; Modise, J.S. Pharmaceutical Pollution: Azole Antifungal Drugs and Resistance of Opportunistic Pathogenic Yeasts in Wastewater and Environmental Water. Appl. Environ. Soil. Sci. 2021, 2021, 9985398. [Google Scholar] [CrossRef]
- Yun, Y.; Holt, J.E.; Lane, S.I.; McLaughlin, E.A.; Merriman, J.A.; Jones, K.T. Reduced ability to recover from spindle disruption and loss of kinetochore spindle assembly checkpoint proteins in oocytes from aged mice. Cell Cycle 2014, 13, 1938–1947. [Google Scholar] [CrossRef] [PubMed]
- Sun, F.; Betzendahl, I.; Pacchierotti, F.; Ranaldi, R.; Smitz, J.; Cortvrindt, R.; Eichenlaub-Ritter, U. Aneuploidy in mouse metaphase II oocytes exposed in vivo and in vitro in preantral follicle culture to nocodazole. Mutagenesis 2005, 20, 65–75. [Google Scholar] [CrossRef] [PubMed]
- Zhu, Y.; Kratka, C.R.; Pea, J.; Lee, H.C.; Kratka, C.E.; Xu, J.; Marin, D.; Treff, N.R.; Duncan, F.E. The severity of meiotic aneuploidy is associated with altered morphokinetic variables of mouse oocyte maturation. Hum. Reprod. Open 2024, 2024, hoae023. [Google Scholar] [CrossRef]
- Ayala, A.; Parrado, J.; Bougria, M.; Machado, A. Effect of oxidative stress, produced by cumene hydroperoxide, on the various steps of protein synthesis. Modifications of elongation factor-2. J. Biol. Chem. 1996, 271, 23105–23110. [Google Scholar] [CrossRef]
- Hughes, P.M.; Morbeck, D.E.; Hudson, S.B.; Fredrickson, J.R.; Walker, D.L.; Coddington, C.C. Peroxides in mineral oil used for in vitro fertilization: Defining limits of standard quality control assays. J. Assist. Reprod. Genet. 2010, 27, 87–92. [Google Scholar] [CrossRef]
- Corrales, J.; Kristofco, L.A.; Steele, W.B.; Saari, G.N.; Kostal, J.; Williams, E.S.; Mills, M.; Gallagher, E.P.; Kavanagh, T.J.; Simcox, N.; et al. Toward the design of less hazardous chemicals: Exploring comparative oxidative stress in two common animal models. Chem. Res. Toxicol. 2017, 30, 893–904. [Google Scholar] [CrossRef]
- Adigun, N.S.; Oladiji, A.T.; Ajiboye, T.O. Antioxidant and anti-hyperlipidemic activity of hydroethanolic seed extract of Aframomum melegueta K. Schum in Triton X-100 induced hyperlipidemic rats. S. Afr. J. Bot. 2016, 105, 324–332. [Google Scholar] [CrossRef]
- Tijjani, H.; Adegunloye, A.P.; Uba, H.; Joel, E.B.; Olatunde, A. Antioxidant activities of aqueous and ethyl acetate fractions of Daucus carota L. seed against triton X-100 induced oxidative stress in mice. Sci. Afr. 2020, 8, e00429. [Google Scholar] [CrossRef]
- Wolff, H.S.; Fredrickson, J.R.; Walker, D.L.; Morbeck, D.E. Advances in quality control: Mouse embryo morphokinetics are sensitive markers of in vitro stress. Hum. Reprod. 2013, 28, 1776–1782. [Google Scholar] [CrossRef] [PubMed]
- Harada, Y.; Maeda, T.; Fukunaga, E.; Shiba, R.; Okano, S.; Kinutani, M.; Horiuchi, T. Selection of high-quality and viable blastocysts based on timing of morula compaction and blastocyst formation. Reprod. Med. Biol. 2019, 19, 58–64. [Google Scholar] [CrossRef] [PubMed]
- Haas, J.; Meriano, J.; Bassil, R.; Barzilay, E.; Zilberberg, E.; Casper, R.F. Developmental potential of slow-developing embryos: Day-5 morulae compared with day-5 cavitating morulae. Fertil. Steril. 2019, 111, 105–111. [Google Scholar] [CrossRef] [PubMed]
- Ebrahimi, M.; Mara, L.; Parham, A.; Dattena, M. Mineral Oil for in vitro Embryo Production: What We Should Know? Arch. Razi. Inst. 2022, 77, 1325–1330. [Google Scholar] [PubMed]
- Otsuki, J.; Nagai, Y.; Chiba, K. Peroxidation of mineral oil used in droplet culture is detrimental to fertilization and embryo development. Fertil. Steril. 2007, 88, 741–743. [Google Scholar] [CrossRef]
- Ainsworth, A.J.; Fredrickson, J.R.; Morbeck, D.E. Improved detection of mineral oil toxicity using an extended mouse embryo assay. J. Assist. Reprod. Genet. 2017, 34, 391–397. [Google Scholar] [CrossRef]
- Martinez, C.A.; Nohalez, A.; Ceron, J.J.; Rubio, C.P.; Roca, J.; Cuello, C.; Rodriguez-Martinez, H.; Martinez, E.A.; Gil, M.A. Peroxidized mineral oil increases the oxidant status of culture media and inhibits in vitro porcine embryo development. Theriogenology 2017, 103, 17–23. [Google Scholar] [CrossRef]
- Deluao, J.C.; Winstanley, Y.; Robker, R.L.; Pacella-Ince, L.; Gonzalez, M.B.; McPherson, N.O. Oxidative stress and reproductive function: Reactive oxygen species in the mammalian pre-implantation embryo. Reproduction 2022, 164, F95–F108. [Google Scholar] [CrossRef]
- Atoui, A.; Cordevant, C.; Chesnot, T.; Gassilloud, B. SARS-CoV-2 in the environment: Contamination routes, detection methods, persistence and removal in wastewater treatment plants. Sci. Total Environ. 2023, 881, 163453. [Google Scholar] [CrossRef]
- Dai, Y.; Huang, K.; Zhang, B.; Zhu, L.; Xu, W. Aflatoxin B1-induced epigenetic alterations: An overview. Food Chem. Toxicol. 2017, 109 Pt 1, 683–689. [Google Scholar] [CrossRef]
- Shen, H.M.; Shi, C.Y.; Lee, H.P.; Ong, C.N. Aflatoxin B1-induced lipid peroxidation in rat liver. Toxicol. Appl. Pharmacol. 1994, 127, 145–150. [Google Scholar] [CrossRef] [PubMed]
- Galvano, F.; Galofaro, V.; Galvano, G. Occurrence and stability of aflatoxin M1 in milk and milk products: A worldwide review. J. Food Prot. 1996, 10, 1079–1090. [Google Scholar] [CrossRef] [PubMed]
- Shin, K.T.; Guo, J.; Niu, Y.J.; Cui, X.S. The toxic effect of aflatoxin B1 on early porcine embryonic development. Theriogenology 2018, 118, 157–163. [Google Scholar] [CrossRef] [PubMed]
- Applebaum, R.S.; Brackett, R.E.; Wiseman, D.W.; Marth, E.H. Aflatoxin: Toxicity to dairy cattle and occurrence in milk and milk products-a review. J. Food Prot. 1982, 45, 752–777. [Google Scholar] [CrossRef] [PubMed]
- Marchese, S.; Polo, A.; Ariano, A.; Velotto, S.; Costantini, S.; Severino, L. Aflatoxin B1 and M1: Biological properties and their involvement in cancer development. Toxins 2018, 10, 214. [Google Scholar] [CrossRef]
- Williams, J.H.; Phillips, T.D.; Jolly, P.E.; Stiles, J.K.; Jolly, C.M.; Aggarwal, D. Human aflatoxicosis in developing countries: A review of toxicology, exposure, potential health consequences, and interventions. Am. J. Clin. Nut. 2004, 80, 1106–1122. [Google Scholar] [CrossRef]
- Gong, Y.Y.; Watson, S.; Routledge, M.N. Aflatoxin exposure and associated human health effects, a review of epidemiological studies. Food Saf. 2016, 4, 14–27. [Google Scholar] [CrossRef]
- Lu, Y.; Zhang, Y.; Liu, J.Q.; Zou, P.; Jia, L.; Su, Y.T.; Sun, Y.R.; Sun, S.C. Comparison of the toxic effects of different mycotoxins on porcine and mouse oocyte meiosis. PeerJ 2018, 6, e5111. [Google Scholar] [CrossRef]
- Hajarizadeh, A.; Eidi, A.; Arefian, E.; Tvrda, E.; Mohammadi-Sangcheshmeh, A. Aflatoxin B1 impairs in vitro early developmental competence of ovine oocytes. Theriogenology 2022, 183, 53–60. [Google Scholar] [CrossRef]
- Zhang, Y.Z.; Zhao, Q.H.; Duan, H.W.; Zou, Y.J.; Sun, S.C.; Hu, L.L. Aflatoxin B1 exposure disrupts organelle distribution in mouse oocytes. PeerJ 2022, 10, e13497. [Google Scholar] [CrossRef]
- Ibeh, I.N.; Saxena, D.K.; Uraih, N. Toxicity of aflatoxin: Effects on spermatozoa, oocytes, and in vitro fertilization. J. Environ. Pathol. Toxicol. Oncol. 2000, 19, 357–361. [Google Scholar] [PubMed]
- Jiang, Y.; Hansen, P.J.; Xiao, Y.; Amaral, T.F.; Vyas, D.; Adesogan, A.T. Aflatoxin compromises development of the preimplantation bovine embryo through mechanisms independent of reactive oxygen production. J. Dairy Sci. 2019, 102, 10506–10513. [Google Scholar] [CrossRef] [PubMed]
- Dell’Aquila, M.E.; Asif, S.; Temerario, L.; Mastrorocco, A.; Marzano, G.; Martino, N.A.; Lacalandra, G.M.; Roelen, B.A.; Carluccio, A.; Robbe, D.; et al. Ochratoxin A affects oocyte maturation and subsequent embryo developmental dynamics in the juvenile sheep model. Mycotoxin. Res. 2021, 37, 23–37. [Google Scholar] [CrossRef] [PubMed]
- Sohrabi, C.; Alsafi, Z.; O’Neill, N.; Khan, M.; Kerwan, A.; Al-Jabir, A.; Iosifidis, C.; Agha, R. World Health Organization declares global emergency: A review of the 2019 novel coronavirus (COVID-19). Int. J. Surg. 2020, 76, 71–76. [Google Scholar] [CrossRef]
- Ni, W.; Yang, X.; Yang, D.; Bao, J.; Li, R.; Xiao, Y.; Hou, C.; Wang, H.; Liu, J.; Yang, D.; et al. Role of angiotensin-converting enzyme 2 (ACE2) in COVID-19. Crit. Care 2020, 24, 422. [Google Scholar] [CrossRef]
- Colaco, S.; Chhabria, K.; Singh, D.; Bhide, A.; Singh, N.; Singh, A.; Husein, A.; Mishra, A.; Sharma, R.; Ashary, N.; et al. Expression map of entry receptors and infectivity factors for pan-coronaviruses in preimplantation and implantation stage human embryos. J. Assist. Reprod. Genet. 2021, 38, 1709–1720. [Google Scholar] [CrossRef]
- Montano, M.; Victor, A.R.; Griffin, D.K.; Duong, T.; Bolduc, N.; Farmer, A.; Garg, V.; Hadjantonakis, A.K.; Coates, A.; Barnes, F.L.; et al. SARS-CoV-2 can infect human embryos. Sci. Rep. 2022, 12, 15451. [Google Scholar] [CrossRef]
- Ma, L.; Yao, Y.; Zhang, Z.; Huang, Y.; Zhang, L.; Qiao, P.; Kang, J.; Ren, C.; Xie, W.; Liang, R.; et al. SARS-CoV-2 infection negatively impacts on the quality of embryos by delaying early embryonic development. Am. J. Reprod. Immunol. 2024, 91, e13831. [Google Scholar] [CrossRef]
- Braga, D.P.A.F.; Setti, A.S.; Iaconelli, A., Jr.; Borges, E., Jr. Previous infection with SARS-CoV-2 impacts embryo morphokinetics but not clinical outcomes in a time-lapse imaging system. Mol. Reprod. Dev. 2023, 90, 53–58. [Google Scholar] [CrossRef]
- Cao, M.; Han, Y.; Feng, T.; Lu, P.; Wang, Y.; Sun, Q.; Zhao, Z.; Pan, W. Impact of COVID-19 convalescence on pregnancy outcomes in patients undergoing IVF/ICSI during fresh ART cycles: A retrospective cohort study. Front. Endocrinol. 2024, 14, 1298995. [Google Scholar] [CrossRef]
- Li, X.F.; Zhang, Y.J.; Yao, Y.L.; Chen, M.X.; Wang, L.L.; Wang, M.D.; Hu, X.Y.; Tang, X.J.; Zhong, Z.H.; Fu, L.J.; et al. The association of post-embryo transfer SARS-CoV-2 infection with early pregnancy outcomes in in vitro fertilization: A prospective cohort study. Am. J. Obstet. Gynecol. 2024, 230, 436.e1–436.e12. [Google Scholar] [CrossRef] [PubMed]
- Aminpour, M.; Hameroff, S.; Tuszynski, J.A. How COVID-19 Hijacks the Cytoskeleton: Therapeutic Implications. Life 2022, 12, 814. [Google Scholar] [CrossRef] [PubMed]
- Zullo, F.; Fiano, V.; Gillio-Tos, A.; Leoncini, S.; Nesi, G.; Macrì, L.; Preti, M.; Rolfo, A.; Benedetto, C.; Revelli, A.; et al. Human papillomavirus infection in women undergoing in-vitro fertilization: Effects on embryo development kinetics and live birth rate. Reprod. Biol. Endocrinol. 2023, 21, 39. [Google Scholar] [CrossRef] [PubMed]
- Tan, C.L.; Teissier, S.; Gunaratne, J.; Quek, L.S.; Bellanger, S. Stranglehold on the spindle assembly checkpoint: The human papillomavirus E2 protein provokes BUBR1-dependent aneuploidy. Cell Cycle 2015, 14, 1459–1470. [Google Scholar] [CrossRef] [PubMed][Green Version]
- Vazirov, R.A.; Makutina, V.A.; Krivonogova, A.S.; Isaeva, A.G.; Romanova, A.S. The influence of low-intensity electromagnetic radiation on the development of bovine embryos in vitro. BIO Web Conf. 2024, 108, 23004. [Google Scholar] [CrossRef]
- Koohestanidehaghi, Y.; Khalili, M.A.; Fesahat, F.; Seify, M.; Mangoli, E.; Kalantar, S.M.; Annarita Nottola, S.; Macchiarelli, G.; Grazia Palmerini, M. Detrimental effects of radiofrequency electromagnetic waves emitted by mobile phones on morphokinetics, oxidative stress, and apoptosis in mouse preimplantation embryos. Environ. Pollut. 2023, 336, 122411. [Google Scholar] [CrossRef]
- Seify, M.; Khalili, M.A.; Anbari, F.; Koohestanidehaghi, Y. Detrimental effects of electromagnetic radiation emitted from cell phone on embryo morphokinetics and blastocyst viability in mice. Zygote 2024, 32, 149–153. [Google Scholar] [CrossRef]
- Magata, F.; Urakawa, M.; Matsuda, F.; Oono, Y. Developmental kinetics and viability of bovine embryos produced in vitro with sex-sorted semen. Theriogenology 2021, 161, 243–251. [Google Scholar] [CrossRef]
- Bermejo-Alvarez, P.; Lonergan, P.; Rath, D.; Gutiérrez-Adan, A.; Rizos, D. Developmental kinetics and gene expression in male and female bovine embryos produced in vitro with sex-sorted spermatozoa. Reprod. Fertil. Dev. 2010, 22, 426–436. [Google Scholar] [CrossRef]
- Steele, H.; Makri, D.; Maalouf, W.E.; Reese, S.; Kölle, S. Bovine Sperm Sexing Alters Sperm Morphokinetics and Subsequent Early Embryonic Development. Sci. Rep. 2020, 10, 6255. [Google Scholar] [CrossRef]
- Hada, M.; Georgakilas, A.G. Formation of clustered DNA damage after high-LET irradiation: A review. J. Radiat. Res. 2008, 49, 203–210. [Google Scholar] [CrossRef] [PubMed]
- Mavragani, I.V.; Nikitaki, Z.; Kalospyros, S.A.; Georgakilas, A.G. Ionizing Radiation and Complex DNA Damage: From Prediction to Detection Challenges and Biological Significance. Cancers 2019, 11, 1789. [Google Scholar] [CrossRef] [PubMed]
- Szumiel, I. Ionizing radiation-induced oxidative stress, epigenetic changes and genomic instability: The pivotal role of mitochondria. Int. J. Radiat. Biol. 2015, 91, 1–12. [Google Scholar] [CrossRef] [PubMed]
- Schlesinger, D.M.; Brent, R.L. Effects of X Irradiation during Preimplantation Stages of Gestation on Cell Viability and Embryo Survival in the Mouse. Radiat. Res. 1978, 75, 202–216. [Google Scholar] [CrossRef]
- Honjo, Y.; Ichinohe, T. Stage-Specific Effects of Ionizing Radiation during Early Development. Int. J. Mol. Sci. 2020, 21, 3975. [Google Scholar] [CrossRef]
- Jacquet, P. Developmental defects and genomic instability after x-irradiation of wild-type and genetically modified mouse pre-implantation and early post-implantation embryos. J. Radiol. Prot. 2012, 32, R13–R36. [Google Scholar] [CrossRef]
- Matsumoto, H.; Fukuda, A.; Mizuno, S.; Hashimoto, S.; Morimoto, Y. Effect of X-ray exposure during hysterosalpingography on capabilities of female germ cells. J. Assist. Reprod. Genet. 2021, 38, 3233–3242. [Google Scholar] [CrossRef]
- Altun, G.; Deniz, Ö.G.; Yurt, K.K.; Davis, D.; Kaplan, S. Effects of mobile phone exposure on metabolomics in the male and female reproductive systems. Environ. Res. 2018, 167, 700–707. [Google Scholar] [CrossRef]
- Jaffar, F.H.F.; Osman, K.; Ismail, N.H.; Chin, K.Y.; Ibrahim, S.F. Adverse effects of wi-fi radiation on male reproductive system: A systematic review. Tohoku J. Exp. Med. 2019, 248, 169–179. [Google Scholar] [CrossRef]
- Suzuki, S.; Okutsu, M.; Suganuma, R.; Komiya, H.; Nakatani-Enomoto, S.; Kobayashi, S.; Ugawa, Y.; Tateno, H.; Fujimori, K. Influence of radiofrequency-electromagnetic waves from 3rd-generation cellular phones on fertilization and embryo development in mice. Bioelectromagnetics 2017, 38, 466–473. [Google Scholar] [CrossRef]
- Safian, F.; Khalili, M.A.; Khoradmehr, A.; Anbari, F.; Soltani, S.; Halvaei, I. Survival Assessment of Mouse Preimplantation Embryos After Exposure to Cell Phone Radiation. J. Reprod. Infertil. 2016, 17, 138–143. [Google Scholar] [PubMed]
- Fatehi, D.; Anjomshoa, M.; Mohammadi, M.; Seify, M.; Rostamzadeh, A. Biological effects of cell-phone radiofrequency waves exposure on fertilization in mice; an in vivo and in vitro study. Middle East Fertil. Soc. J. 2018, 23, 148–153. [Google Scholar] [CrossRef]
- Santini, S.J.; Cordone, V.; Falone, S.; Mijit, M.; Tatone, C.; Amicarelli, F.; Di Emidio, G. Role of mitochondria in the oxidative stress induced by electromagnetic fields: Focus on reproductive systems. Oxid. Med. Cell. Longev. 2018, 2018, 5076271. [Google Scholar] [CrossRef] [PubMed]
- Kesari, K.K.; Agarwal, A.; Henkel, R. Radiations and male fertility. Reprod. Biol. Endocrinol. 2018, 16, 118. [Google Scholar] [CrossRef] [PubMed]
- Silva, P.F.N.; Gadella, B.M. Detection of damage in mammalian sperm cells. Theriogenology 2006, 65, 958–978. [Google Scholar] [CrossRef]
- Agarwal, A.; Desai, N.R.; Makker, K.; Varghese, A.; Mouradi, R.; Sabanegh, E.; Sharma, R. Effects of radiofrequency electromagnetic waves (RF-EMW) from cellular phones on human ejaculated semen: An in vitro pilot study. Fertil. Steril. 2009, 92, 1318–1325. [Google Scholar] [CrossRef]
- Bordignon, V.; Smith, L.C. Ultraviolet-Irradiated Spermatozoa Activate Oocytes but Arrest Preimplantation Development After Fertilization and Nuclear Transplantation in Cattle. Biol. Reprod. 1999, 61, 1513–1520. [Google Scholar] [CrossRef]
- Ghavi Hossein-Zadeh, N.; Nejati-Javaremi, A.; Miraei-Ashtiani, S.R.; Kohram, H. Bioeconomic evaluation of the use of sexed semen at different conception rates and herd sizes in Holstein populations. Anim. Reprod. Sci. 2010, 121, 17–23. [Google Scholar] [CrossRef]
- Vishwanath, R.; Moreno, J.F. Review: Semen sexing—Current state of the art with emphasis on bovine species. Animal 2018, 12, s85–s96. [Google Scholar] [CrossRef]
- Johnson, L.A. Sexing mammalian sperm for production of offspring: The state of the art. Anim. Reprod. Sci. 2000, 60, 93–107. [Google Scholar] [CrossRef]
- Espinosa-Cervantes, R.; Córdova-Izquierdo, A. Sexing sperm of domestic animals. Trop. Anim. Health Prod. 2012, 45, 1–8. [Google Scholar] [CrossRef] [PubMed]
- Gaur, P.; Saini, G.; Saharan, P.; Bisla, A.; Yadav, V. Sex Sorted Semen—Methods, Constraints and Future Perspective. Vet. Res. Int. 2020, 8, 368–375. [Google Scholar]
- Balao da Silva, C.M.; Ortega-Ferrusola, C.; Morrell, J.M.; Rodriguez Martínez, H.; Peña, F.J. Flow Cytometric Chromosomal Sex Sorting of Stallion Spermatozoa Induces Oxidative Stress on Mitochondria and Genomic DNA. Reprod. Domest. Anim. 2016, 51, 18–25. [Google Scholar] [CrossRef] [PubMed]
- Balao da Silva, C.M.; Ortega Ferrusola, C.; Morillo Rodriguez, A.; Gallardo Bolaños, J.M.; Plaza Dávila, M.; Morrell, J.M.; Rodriguez Martínez, H.; Tapia, J.A.; Aparicio, I.M.; Pena, F.J. Sex sorting increases the permeability of the membrane of stallion spermatozoa. Anim. Reprod. Sci. 2013, 138, 241–251. [Google Scholar] [CrossRef] [PubMed]
- Mari, G.; Rizzato, G.; Merlo, B.; Iacono, E.; Bucci, D.; Seren, E.; Tamanini, C.; Galeati, G.; Spinaci, M. Quality and fertilizing ability in vivo of sex-sorted stallion spermatozoa. Reprod. Domest. Anim. 2010, 45, 331–335. [Google Scholar] [CrossRef] [PubMed]
- Dennery, P.A. Effects of oxidative stress on embryonic development. Birth Defects Res. C Embryo Today 2007, 81, 155–162. [Google Scholar] [CrossRef] [PubMed]
- Alegre, L.; Del Gallego, R.; Arrones, S.; Hernández, P.; Muñoz, M.; Meseguer, M. Novel noninvasive embryo selection algorithm combining time-lapse morphokinetics and oxidative status of the spent embryo culture medium. Fertil. Steril. 2019, 111, 918–927.e3. [Google Scholar] [CrossRef]
- Guerin, P.; Mouatassim, S.E.; Menezo, Y. Oxidative stress and protection against reactive oxygen species in the pre-implantation embryo and its surroundings. Hum. Reprod. Update 2001, 7, 175–189. [Google Scholar] [CrossRef]
- Hardeland, R.; Pandi-Perumal, S.R. Melatonin, a potent agent in antioxidative defense: Actions as a natural food constituent, gastrointestinal factor, drug and prodrug. Nutr. Metab. 2005, 2, 22. [Google Scholar] [CrossRef]
- Tamura, H.; Jozaki, M.; Tanabe, M.; Shirafuta, Y.; Mihara, Y.; Shinagawa, M.; Tamura, I.; Maekawa, R.; Sato, S.; Taketani, T.; et al. Importance of melatonin in assisted reproductive technology and ovarian aging. Int. J. Mol. Sci. 2020, 21, 1135. [Google Scholar] [CrossRef]
- Cebrian-Serrano, A.; Salvador, I.; Raga, E.; Dinnyes, A.; Silvestre, M.A. Beneficial effect of melatonin on blastocyst in vitro production from heat-stressed bovine oocytes. Reprod. Domest. Anim. 2013, 48, 738–746. [Google Scholar] [CrossRef] [PubMed]
- El-Raey, M.; Geshi, M.; Somfai, T.; Kaneda, M.; Hirako, M.; Abdel-Ghaffar, A.E.; Sosa, G.A.; El-Roos, M.E.; Nagai, T. Evidence of melatonin synthesis in the cumulus oocyte complexes and its role in enhancing oocyte maturation in vitro in cattle. Mol. Reprod. Dev. 2011, 78, 250–262. [Google Scholar] [CrossRef] [PubMed]
- Takada, L.; Junior, A.M.; Mingoti, G.Z.; Balieiro, J.C.; Cipolla-Neto, J.; Coelho, L.A. Effect of melatonin on DNA damage of bovine cumulus cells during in vitro maturation (IVM) and on in vitro embryo development. Res. Vet. Sci. 2012, 92, 24–27. [Google Scholar] [CrossRef] [PubMed]
- Jammoul, M.; Lawand, N. Melatonin: A Potential Shield against Electromagnetic Waves. Curr. Neuropharmacol. 2022, 20, 648–660. [Google Scholar]
- Shokri, M.; Shamsaei, M.E.; Malekshah, A.K.; Amiri, F.T. The protective effect of melatonin on radiofrequency electromagnetic fields of mobile phone-induced testicular damage in an experimental mouse model. Andrologia 2020, 52, e13834. [Google Scholar] [CrossRef]
- Wang, F.; Tian, X.; Zhou, Y.; Tan, D.; Zhu, S.; Dai, Y.; Liu, G. Melatonin improves the quality of in vitro produced (IVP) bovine embryos: Implications for blastocyst development, cryotolerance, and modifications of relevant gene expression. PLoS ONE 2014, 9, e93641. [Google Scholar] [CrossRef]
- Makarevich, A.V.; Sirotkin, A.V. The involvement of the GH/IGF-I axis in the regulation of secretory activity by bovine oviduct epithelial cells. Anim. Reprod. Sci. 1997, 48, 197–207. [Google Scholar] [CrossRef]
- Robinson, R.S.; Mann, G.E.; Gadd, T.S.; Lamming, G.E.; Wathes, D.C. The expression of the IGF system in the bovine uterus throughout the oestrous cycle and early pregnancy. J. Endocrinol. 2000, 165, 231–243. [Google Scholar] [CrossRef]
- Lonergan, P.; Gutiérrez-Adán, A.; Pintado, B.; Fair, T.; Ward, F.; Fuente, J.D.; Boland, M. Relationship between time of first cleavage and the expression of IGF-I growth factor, its receptor, and two housekeeping genes in bovine two-cell embryos and blastocysts produced in vitro. Mol. Reprod. Dev. 2000, 57, 146–152. [Google Scholar] [CrossRef]
- Jousan, F.D.; Hansen, P.J. Insulin-like growth factor-I as a survival factor for the bovine preimplantation embryo exposed to heat shock. Biol. Reprod. 2004, 71, 1665–1670. [Google Scholar] [CrossRef]
- Kurzawa, R.; Głabowski, W.; Baczkowski, T.; Brelik, P. Evaluation of mouse preimplantation embryos exposed to oxidative stress cultured with insulin-like growth factor I and II, epidermal growth factor, insulin, transferrin and selenium. Reprod. Biol. 2002, 2, 143–162. [Google Scholar]
- Michaelov, A.; Roth, Z.; (Department of Animal Sciences, Robert H. Smith Faculty of Agriculture, Food and Environment, The Hebrew University, Rehovot, Israel). The Effect of IGF-I on Bovine Embryo Morphokinetic. 2023; (Unpublished work). [Google Scholar]
- Sinbad, O.O.; Folorunsho, A.A.; Olabisi, O.L.; Ayoola, O.A.; Temitope, E.J. Vitamins as Antioxidants. J. Food Sci. Nutr. Res. 2019, 2, 214–235. [Google Scholar]
- Skowrońska, P.; Kunicki, M.; Pastuszek, E.; Konieczna, L.; Bączek, T.; Łukaszuk, K. Follicular fat-soluble vitamins as markers of oocyte competency. Syst. Biol. Reprod. Med. 2020, 66, 112–121. [Google Scholar] [CrossRef] [PubMed]
- Gad, A.; Abu Hamed, S.; Khalifa, M.; Amin, A.; El-Sayed, A.; Swiefy, S.A.; El-Assal, S. Retinoic acid improves maturation rate and upregulates the expression of antioxidant-related genes in in vitro matured buffalo (Bubalus bubalis) oocytes. Int. J. Vet. Sci. Med. 2018, 6, 279–285. [Google Scholar] [CrossRef] [PubMed]
- Sovernigo, T.C.; Adona, P.R.; Monzani, P.S.; Guemra, S.; Barros, F.; Lopes, F.G.; Leal, C. Effects of supplementation of medium with different antioxidants during in vitro maturation of bovine oocytes on subsequent embryo production. Reprod. Domest. Anim. 2017, 52, 561–569. [Google Scholar] [CrossRef]
- Gode, F.; Akarsu, S.; Dikmen, Z.G.; Tamer, B.; Isik, A.Z. The Effect Follicular Fluid Vitamin A, E, D and B6 on Embryo Morphokinetics and Pregnancy Rates in Patients Receiving Assisted Reproduction. Gynecol. Obstet. Reprod. Med. 2019, 25, 89–95. [Google Scholar] [CrossRef]
- Sun, W.S.; Jang, H.; Park, M.R.; Oh, K.B.; Lee, H.; Hwang, S.; Xu, L.J.; Hwang, I.S.; Lee, J.W. N-acetyl-L-cysteine Improves the developmental competence of bovine oocytes and embryos cultured in vitro by attenuating oxidative damage and apoptosis. Antioxidants 2021, 10, 860. [Google Scholar] [CrossRef]
- El-Sokary, M.M.M.; El-Naby, A.A.H.; Hameed, A.R.A.E.; Mahmoud, K.G.M.; Scholkamy, T.H. Impact of L-carnitine supplementation on the in vitro developmental competence and cryotolerance of buffalo embryos. Vet. World 2021, 14, 3164–3169. [Google Scholar] [CrossRef]
- Truong, T.T.; Soh, Y.M.; Gardner, D.K. Antioxidants improve mouse preimplantation embryo development and viability. Hum. Reprod. 2016, 31, 1445–1454. [Google Scholar] [CrossRef]
- Kim, Y.H.; Lee, S.Y.; Kim, E.Y.; Kim, K.H.; Koong, M.K.; Lee, K.A. The Antioxidant Auraptene Improves Aged Oocyte Quality and Embryo Development in Mice. Antioxidants 2022, 12, 87. [Google Scholar] [CrossRef]
- Canosa, S.; Paschero, C.; Carosso, A.; Leoncini, S.; Mercaldo, N.; Gennarelli, G.; Benedetto, C.; Revelli, A. Effect of a Combination of Myo-Inositol, Alpha-Lipoic Acid, and Folic Acid on Oocyte Morphology and Embryo Morphokinetics in non-PCOS Overweight/Obese Patients Undergoing IVF: A Pilot, Prospective, Randomized Study. J. Clin. Med. 2020, 9, 2949. [Google Scholar] [CrossRef] [PubMed]
- Kermack, A.J.; Lowen, P.; Wellstead, S.J.; Fisk, H.L.; Montag, M.; Cheong, Y.; Osmond, C.; Houghton, F.D.; Calder, P.C.; Macklon, N.S. Effect of a 6-week “Mediterranean” dietary intervention on in vitro human embryo development: The Preconception Dietary Supplements in Assisted Reproduction double-blinded randomized controlled trial. Fertil. Steril. 2020, 113, 260–269. [Google Scholar] [CrossRef] [PubMed]
- Meital, L.T.; Windsor, M.T.; Perissiou, M.; Schulze, K.; Magee, R.; Kuballa, A.; Golledge, J.; Bailey, T.G.; Askew, C.D.; Russell, F.D. Omega-3 fatty acids decrease oxidative stress and inflammation in macrophages from patients with small abdominal aortic aneurysm. Sci. Rep. 2019, 9, 12978. [Google Scholar] [CrossRef] [PubMed]
- Kalo, D.; Reches, D.; Netta, N.; Komsky-Elbaz, A.; Zeron, Y.; Moallem, U.; Roth, Z. Carryover effects of feeding bulls with an omega-3-enriched-diet—From spermatozoa to developed embryos. PLoS ONE 2022, 17, e0265650. [Google Scholar] [CrossRef]
Disclaimer/Publisher’s Note: The statements, opinions and data contained in all publications are solely those of the individual author(s) and contributor(s) and not of MDPI and/or the editor(s). MDPI and/or the editor(s) disclaim responsibility for any injury to people or property resulting from any ideas, methods, instructions or products referred to in the content. |
© 2024 by the authors. Licensee MDPI, Basel, Switzerland. This article is an open access article distributed under the terms and conditions of the Creative Commons Attribution (CC BY) license (https://creativecommons.org/licenses/by/4.0/).

