Acute Quetiapine Intoxication: Relationship Between Ingested Dose, Serum Concentration and Clinical Presentation—Structured Literature Review and Analysis
Abstract
1. Introduction
2. Review of the Existing Literature
2.1. Quetiapine in Therapeutic Use
2.1.1. Pharmacokinetic Profile and Dose–Concentration Correlation in Therapeutic Use
2.1.2. Clinical and Adverse Effects of Quetiapine
2.1.3. Relationship Between Dose or Concentration and Clinical Response
2.2. Quetiapine in Acute Intoxication
2.2.1. Acute Toxicity Dose and Concentration Range
2.2.2. Toxicokinetic Profile
2.2.3. Toxicodynamic Profile
2.2.4. Relationship Between Dose or Concentration and Clinical Presentation in Quetiapine Intoxication
3. Analysis of Published Cases of Acute Quetiapine Intoxication
3.1. Methods
3.1.1. Literature Search and Inclusion/Exclusion Criteria
3.1.2. Data Gathering and Statistical Analysis
3.2. Results and Discussion
3.2.1. Dose–Concentration Correlation
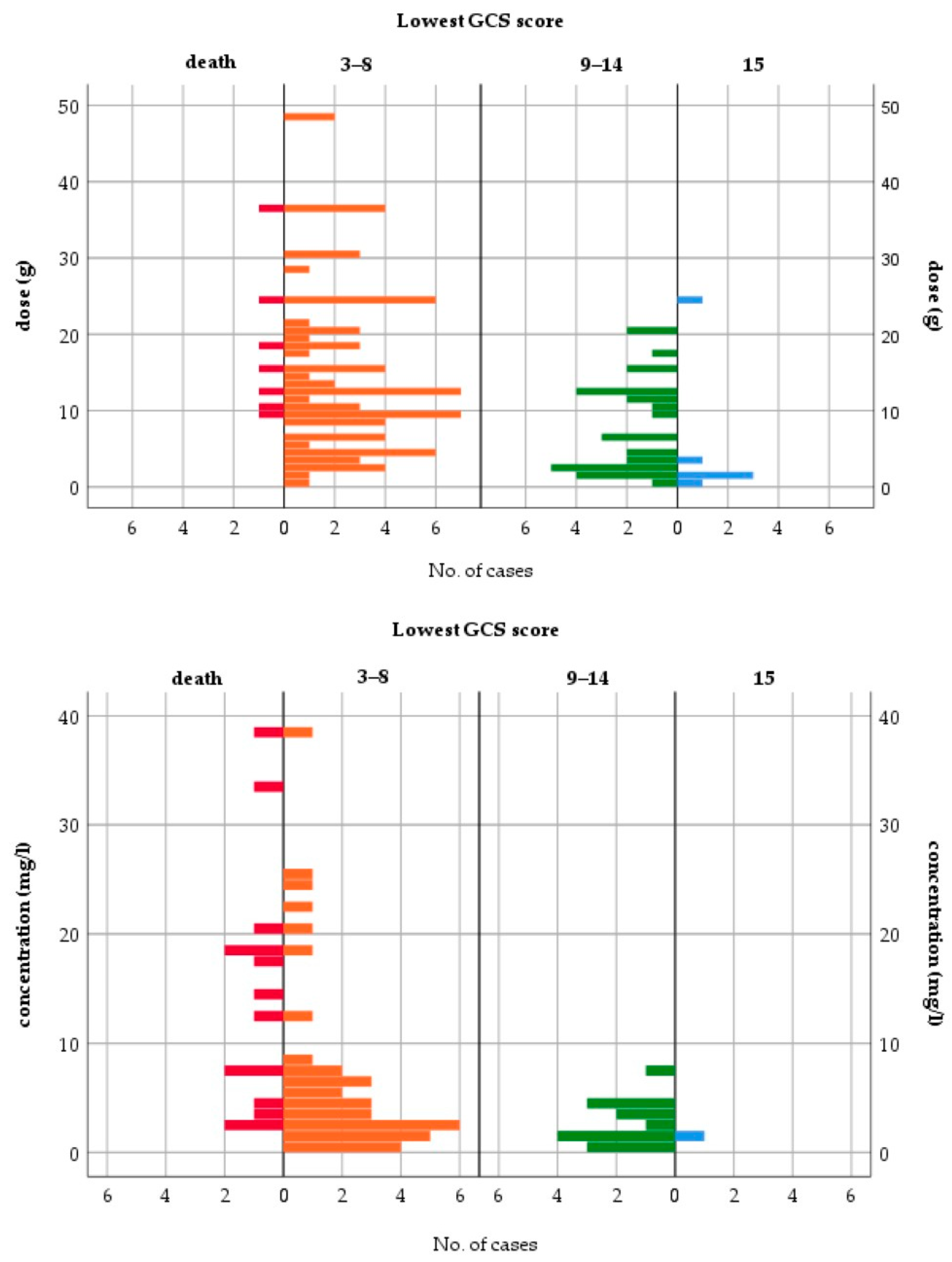
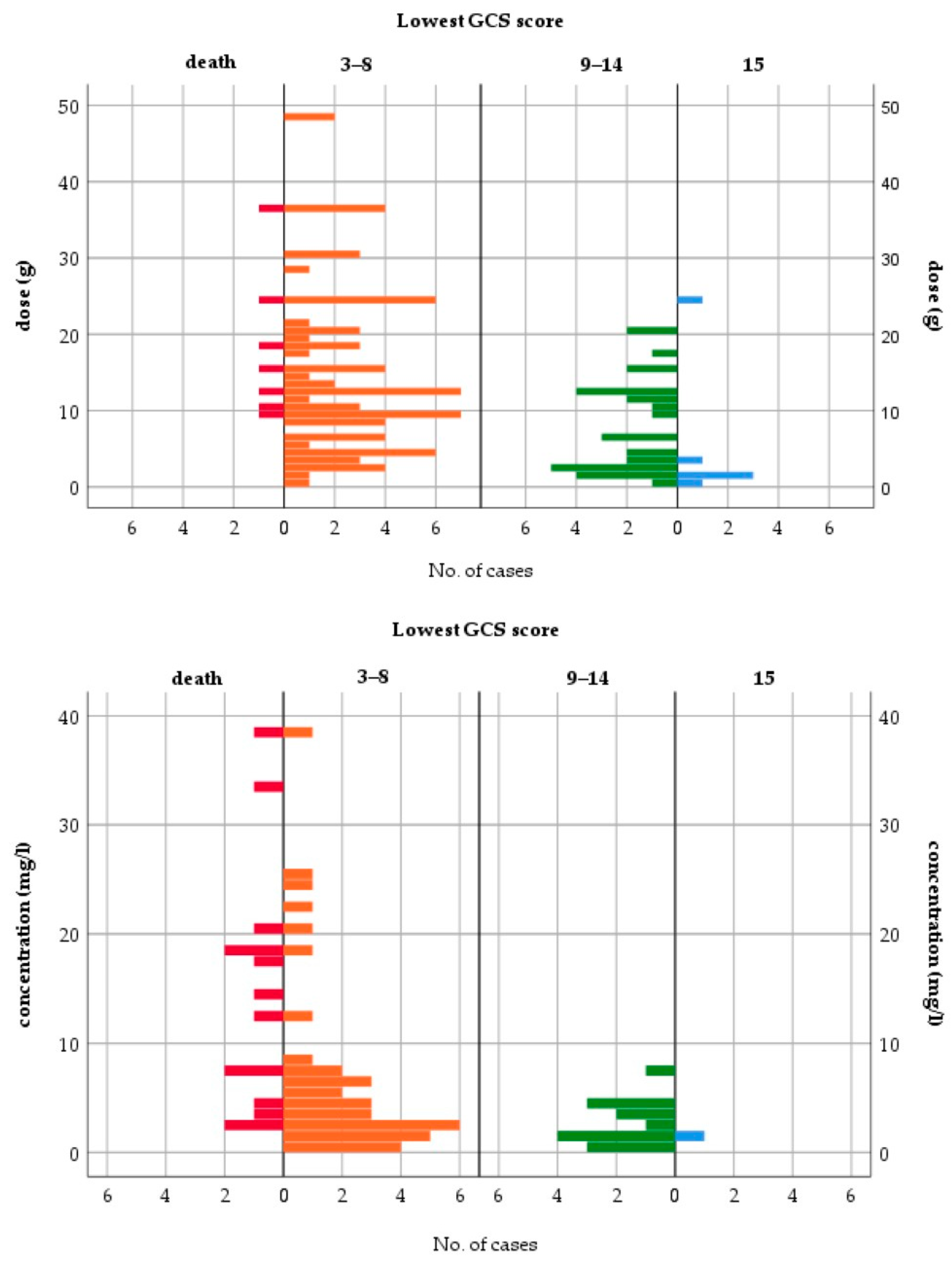
3.2.2. Relationship Between Dose or Concentration and Clinical Presentation
4. Limitations
5. Conclusions
6. Future Directions
Supplementary Materials
Author Contributions
Funding
Data Availability Statement
Conflicts of Interest
References
- Ngo, A.; Ciranni, M.; Olson, K.R. Acute Quetiapine Overdose in Adults: A 5-Year Retrospective Case Series. Ann. Emerg. Med. 2008, 52, 541–547. [Google Scholar] [CrossRef] [PubMed]
- Balit, C.R.; Isbister, G.K.; Hackett, L.P.; Whyte, I.M. Quetiapine Poisoning: A Case Series. Ann. Emerg. Med. 2003, 42, 751–758. [Google Scholar] [CrossRef] [PubMed]
- Vento, A.E.; Kotzalidis, G.D.; Cacciotti, M.; Papanti, G.D.; Orsolini, L.; Rapinesi, C.; Savoja, V.; Calabrò, G.; Del Casale, A.; Piacentino, D.; et al. Quetiapine Abuse Fourteen Years Later: Where Are We Now? A Systematic Review. Subst. Use Misuse 2020, 55, 304–313. [Google Scholar] [CrossRef] [PubMed]
- Philip, N.S.; Mello, K.; Carpenter, L.L.; Tyrka, A.R.; Price, L.H. Patterns of quetiapine use in psychiatric inpatients: An examination of off-label use. Ann. Clin. Psychiatry 2008, 20, 15–20. [Google Scholar] [CrossRef]
- Rowe, D.L. Off-label prescription of quetiapine in psychiatric disorders. Expert. Rev. Neurother. 2007, 7, 841–852. [Google Scholar] [CrossRef]
- Piróg-Balcerzak, A.; Habrat, B.; Mierzejewski, P. Misuse and abuse of quetiapine. Psychiatr. Pol. 2015, 49, 81–93. [Google Scholar] [CrossRef]
- Huthwaite, M.; Cleghorn, M.; MacDonald, J. “Out of the frying pan”: The challenges of prescribing for insomnia in psychiatric patients. Australas. Psychiatry 2014, 22, 288–291. [Google Scholar] [CrossRef]
- Brett, J. Concerns about quetiapine. Aust. Prescr. 2015, 38, 95–97. [Google Scholar] [CrossRef]
- Montebello, M.E.; Brett, J. Misuse and Associated Harms of Quetiapine and Other Atypical Antipsychotics. Curr. Top. Behav. Neurosci. 2015, 34, 125–139. [Google Scholar] [CrossRef]
- Taylor, L.; Graudins, A. Extended-release quetiapine overdose is associated with delayed onset of toxicity compared to immediate-release quetiapine overdose. EMA Emerg. Med. Australas. 2019, 31, 562–568. [Google Scholar] [CrossRef]
- Roy, S.; Charreteur, R.; Peries, M.; Kheloufi, F.; Eiden, C.; Nagot, N.; Donnadieu-Rigole, H.; Micallef, J.; Peyrière, H. Abuse and misuse of second-generation antipsychotics: An analysis using VigiBase, the World Health Organisation pharmacovigilance database. Br. J. Clin. Pharmacol. 2022, 88, 4646–4653. [Google Scholar] [CrossRef] [PubMed]
- Pires, M.; Brigadeiro, D.; Luís, F.; Nunes, J. Acute quetiapine overdose is associated with risk of ectopic atrial rhythm. Actas Españolas Psiquiatr. 2023, 51, 216–219. [Google Scholar]
- Stephenson, C.P.; Karanges, E.; McGregor, I.S. Trends in the utilisation of psychotropic medications in Australia from 2000 to 2011. Aust. N. Z. J. Psychiatry 2013, 47, 74–87. [Google Scholar] [CrossRef]
- Modesto-Lowe, V.; Harabasz, A.K.; Walker, S.A. Quetiapine for primary insomnia: Consider the risks. Cleve Clin. J. Med. 2021, 88, 286–294. [Google Scholar] [CrossRef] [PubMed]
- Rosenqvist, T.W.; Osler, M.; Wium-Andersen, M.K.; Wium-Andersen, I.K. Sedative drug-use in Denmark, 2000 to 2019: A nationwide drug utilization study. Soc. Psychiatry Psychiatr. Epidemiol. 2023, 58, 1493–1502. [Google Scholar] [CrossRef]
- Radha Krishnan, R.P.; Harrison, C.; Buckley, N.; Raubenheimer, J.E. On- and off-label utilisation of antipsychotics in Australia (2000–2021): Retrospective analysis of two medication datasets. Aust. N. Z. J. Psychiatry 2024, 58, 320–333. [Google Scholar] [CrossRef]
- Ning, A.Y.; Theodoros, T.; Harris, K.; Isoardi, K.Z. Overdose and off-label psychotropic prescribing in patients with borderline personality disorder: A retrospective series. Australas. Psychiatry 2023, 31, 195–200. [Google Scholar] [CrossRef]
- Mattson, M.E.; Albright, V.A.; Yoon, J.; Council, C.L. Emergency department visits involving misuse and abuse of the antipsychotic quetiapine: Results from the drug abuse warning network (DAWN). Subst. Abus. Res. Treat. 2015, 9, 39–46. [Google Scholar] [CrossRef]
- Chiappini, S.; Schifano, F. Is There a Potential of Misuse for Quetiapine?: Literature Review and Analysis of the European Medicines Agency/European Medicines Agency Adverse Drug Reactions’ Database. J. Clin. Pharmacol. 2018, 38, 72–79. [Google Scholar] [CrossRef]
- Sutherland, R.; Jayathilake, R.; Peacock, A.; Dietze, P.; Bruno, R.; Reddel, S.; Gisev, N. Trends and characteristics of extra-medical use of quetiapine among people who regularly inject drugs in Australia, 2011–2018. Drug Alcohol Depend 2021, 221, 108636. [Google Scholar] [CrossRef]
- Breivik, H.; Frost, J.; Løkken, T.N.; Slørdal, L. Post mortem tissue distribution of quetiapine in forensic autopsies. Forensic Sci. Int. 2020, 315, 110413. [Google Scholar] [CrossRef]
- Indave, B.I.; Minozzi, S.; Pani, P.P.; Amato, L. Antipsychotic medications for cocaine dependence. Cochrane Database Syst. Rev. 2016, 3, CD006306. [Google Scholar] [CrossRef] [PubMed]
- Brown, S.; Sweeney, R. Overdose and Treatment of Quetiapine Ingestions. J. Emerg. Nurs. 2007, 33, 582–584. [Google Scholar] [CrossRef] [PubMed]
- Dobravc Verbič, M.; Grabnar, I.; Brvar, M. Association between Prescribing and Intoxication Rates for Selected Psychotropic Drugs: A Longitudinal Observational Study. Pharmaceuticals 2024, 17, 143. [Google Scholar] [CrossRef] [PubMed]
- Methling, M.; Krumbiegel, F.; Hartwig, S.; Parr, M.K.; Tsokos, M. Toxicological findings in suicides—Frequency of antidepressant and antipsychotic substances. Forensic Sci. Med. Pathol. 2019, 15, 23–30. [Google Scholar] [CrossRef]
- Peridy, E.; Hamel, J.F.; Rolland, A.L.; Gohier, B.; Boels, D. Quetiapine poisoning and factors influencing severity. J. Clin. sychopharmacol 2019, 39, 312–317. [Google Scholar] [CrossRef]
- Eyer, F.; Pfab, R.; Felgenhauer, N.; Strubel, T.; Saugel, B.; Zilker, T. Clinical and analytical features of severe suicidal quetiapine overdoses—A retrospective cohort study. Clin. Toxicol. 2011, 49, 846–853. [Google Scholar] [CrossRef]
- Hunfeld, N.G.M.; Westerman, E.M.; Boswijk, D.J.; De Haas, J.A.M.; Van Putten, M.J.A.M.; Touw, D.J. Quetiapine in overdosage: A clinical and pharmacokinetic analysis of 14 cases. Ther. Drug Monit. 2006, 28, 185–189. [Google Scholar] [CrossRef]
- Capuano, A.; Ruggiero, S.; Vestini, F.; Ianniello, B.; Rafaniello, C.; Rossi, F.; Mucci, A. Survival from coma induced by an intentional 36-g overdose of extended-release quetiapine. Drug Chem. Toxicol. 2011, 34, 475–477. [Google Scholar] [CrossRef]
- Chenafi, S.; Jaffal, K.; Soichot, M.; Labat, L.; Megarbane, B. Acute quetiapine poisoning admitted in the intensive care unit: Features, complications and usefulness of plasma concentration measurement. Clin. Toxicol. 2019, 57, 571. [Google Scholar]
- Mégarbane, B.; Oberlin, M.; Alvarez, J.C.; Balen, F.; Beaune, S.; Bédry, R.; Chauvin, A.; Claudet, I.; Danel, V.; Debaty, G.; et al. Management of pharmaceutical and recreational drug poisoning. Ann. Intensive Care 2020, 10, 157. [Google Scholar] [CrossRef] [PubMed]
- Riedel, M.; Musil, R.; Spellmann, I.; Seemüller, F.; Möller, H.-J. Quetiapine XR—A new retard formulation in the treatment of schizophrenia. Eur. Psychiatr. Rev. 2008, 1, 70–75. [Google Scholar]
- Bertol, E.; Vaiano, F.; Argo, A.; Zerbo, S.; Trignano, C.; Protani, S.; Favretto, D. Overdose of quetiapine—A case report with QT prolongation. Toxics 2021, 9, 339. [Google Scholar] [CrossRef] [PubMed]
- Devane, C.L.; Nemeroff, C.B. Clinical pharmacokinetics of quetiapine. Clin. Pharmacokinet. 2001, 40, 509–522. [Google Scholar] [CrossRef]
- Isbister, G.K.; Friberg, L.E.; Hackett, L.P.; Duffull, S.B. Pharmacokinetics of quetiapine in overdose and the effect of activated charcoal. Clin. Pharmacol. Ther. 2007, 81, 821–827. [Google Scholar] [CrossRef]
- Winter, H.R.; Earley, W.R.; Hamer-Maansson, J.E.; Davis, P.C.; Smith, M.A. Steady-State Pharmacokinetic, Safety, and Tolerability Profiles of Quetiapine, Norquetiapine, and Other Quetiapine Metabolites in Pediatric and Adult Patients with Psychotic Disorders. J. Child. Adolesc. Psychopharmacol. 2008, 18, 81–98. [Google Scholar] [CrossRef]
- Mauri, M.C.; Volonteri, L.S.; Colasanti, A.; Fiorentini, A.; De Gaspari, I.F.; Bareggi, S.R. Clinical Pharmacokinetics of Atypical Antipsychotics. Clin. Pharmacokinet. 2007, 46, 359–388. [Google Scholar] [CrossRef]
- Davis, P.C.; Wong, J.; Gefvert, O. Analysis and pharmacokinetics of quetiapine and two metabolites in human plasma using reversed-phase HPLC with ultraviolet and electrochemical detection. J. Pharm. Biomed. Anal. 1999, 20, 271–282. [Google Scholar] [CrossRef]
- Bui, K.; Earley, W.; Nyberg, S. Pharmacokinetic profile of the extended-release formulation of quetiapine fumarate (quetiapine XR): Clinical implications. Curr. Med. Res. Opin. 2013, 29, 813–825. [Google Scholar] [CrossRef]
- Pollak, P.T.; Zbuk, K. Quetiapine fumarate overdose: Clinical and pharmacokinetic lessons from extreme conditions. Clin. Pharmacol. Ther. 2000, 68, 92–97. [Google Scholar] [CrossRef]
- Johnson, T.N.; Zhou, D.; Bui, K.H. Development of physiologically based pharmacokinetic model to evaluate the relative systemic exposure to quetiapine after administration of IR and XR formulations to adults, children and adolescents. Biopharm. Drug Dispos. 2014, 35, 341–352. [Google Scholar] [CrossRef] [PubMed]
- Bigos, K.L.; Bies, R.R.; Marder, S.R.; Pollock, B.G. Population pharmacokinetics of antipsychotics. In Antipsychotic Trials in Schizophrenia: The CATIE Project; Cambridge University Press: Cambridge, UK, 2010; pp. 267–280. [Google Scholar] [CrossRef]
- Perera, V.; Bies, R.R.; Mo, G.; Dolton, M.J.; Carr, V.J.; McLachlan, A.J.; Day, R.O.; Polasek, T.M.; Forrest, A. Optimal sampling of antipsychotic medicines: A pharmacometric approach for clinical practice. Br. J. Clin. Pharmacol. 2014, 78, 800–814. [Google Scholar] [CrossRef] [PubMed]
- Kimko, H.C.; Reele, S.S.B.; Holford, N.H.G.; Peck, C.C. Prediction of the outcome of a phase 3 clinical trial of an antischizophrenic agent (quetiapine fumarate) by simulation with a population pharmacokinetic and pharmacodynamic model. Clin. Pharmacol. Ther. 2000, 68, 568–577. [Google Scholar] [CrossRef]
- Zhou, D.; Bui, K.H.; Li, J.; Al-Huniti, N. Population pharmacokinetic modeling of quetiapine after administration of seroquel and seroquel XR formulations to Western and Chinese patients with schizophrenia, schizoaffective disorder, or bipolar disorder. J. Clin. Pharmacol. 2015, 55, 1248–1255. [Google Scholar] [CrossRef] [PubMed]
- Fukushi, R.; Nomura, Y.; Katashima, M.; Komatsu, K.; Sato, Y.; Takada, A. Population Pharmacokinetics Analysis of Quetiapine Extended-release Formulation in Japanese Patients with Bipolar Depression. Clin. Ther. 2020, 42, 1067–1076.e2. [Google Scholar] [CrossRef] [PubMed]
- Langman, L.J.; Kaliciak, H.A.; Carlyle, S. Fatal overdoses associated with quetiapine. J. Anal. Toxicol. 2004, 28, 520–525. [Google Scholar] [CrossRef]
- Hopenwasser, J.; Mozayani, A.; Danielson, T.J.; Harbin, J.; Narula, H.S.; Posey, D.H.; Shrode, P.W.; Wilson, S.K.; Li, R.; Sanchez, L.A. Postmortem Distribution of the Novel Antipsychotic Drug Quetiapine. J. Anal. Toxicol. 2004, 28, 264–268. [Google Scholar] [CrossRef]
- Hendrickson, R.G.; Morocco, A.P. Quetiapine cross-reactivity among three tricyclic antidepressant immunoassays. J. Toxicol. Clin. Toxicol. 2003, 41, 105–108. [Google Scholar] [CrossRef]
- Datto, C.; Berggren, L.; Patel, J.B.; Eriksson, H. Self-reported sedation profile of immediate-release quetiapine fumarate compared with extended-release quetiapine fumarate during dose initiation: A randomized, double-blind, crossover study in healthy adult subjects. Clin. Ther. 2009, 31, 492–502. [Google Scholar] [CrossRef]
- Mauri, M.C.; Paletta, S.; Di Pace, C.; Reggiori, A.; Cirnigliaro, G.; Valli, I.; Altamura, A.C. Clinical Pharmacokinetics of Atypical Antipsychotics: An Update. Clin. Pharmacokit 2018, 57, 1493–1528. [Google Scholar] [CrossRef]
- Müller, C.; Reuter, H.; Dohmen, C. Intoxication after Extreme Oral Overdose of Quetiapine to Attempt Suicide: Pharmacological Concerns of Side Effects. Case Rep. Med. 2009, 2009, 371698. [Google Scholar] [CrossRef] [PubMed]
- Parker, D.R.; McIntyre, I.M. Case studies of postmortem quetiapine: Therapeutic or toxic concentrations? J. Anal. Toxicol. 2005, 29, 407–412. [Google Scholar] [CrossRef] [PubMed][Green Version]
- Langberg, C.; Hadley, C.L.; Midtrevold, M.; Edvardsen, H.M.E.; Molden, E.; Shafiei, M.; Jacobsen, D. Quetiapine Poisoning—Epidemiology, Toxicokinetics and Review of the Literature. LOJ Med. Sci. 2021, 5, 565–573. [Google Scholar] [CrossRef]
- Baptist, E.; de Graaf, I.; Bannink, M. Delier als late complicatie van intoxicatie met quetiapine. Tijdschr. Psychiatr. 2018, 60, 548–551. [Google Scholar]
- Hantson, P.; Fazio, V.; Wallemacq, P. Toxicokinetic Interaction Between Quetiapine and Antiretroviral Therapy Following Quetiapine Overdose. Drug Metab. Lett. 2010, 4, 7–8. [Google Scholar] [CrossRef]
- Grimm, S.W.; Richtand, N.M.; Winter, H.R.; Stams, K.R.; Reele, S.B. Effects of cytochrome P450 3A modulators ketoconazole and carbamazepine on quetiapine pharmacokinetics. Br. J. Clin. Pharmacol. 2006, 61, 58. [Google Scholar] [CrossRef]
- Yam, M.F.C.; Kiew, C.F.; Chong, C.P. Hyperglycemia and late onset seizures associated with quetiapine overdose. Tzu Chi Med. J. 2013, 25, 119–121. [Google Scholar] [CrossRef]
- Wong, Y.W.J.; Yeh, C.; Thyrum, P.T. The effects of concomitant phenytoin administration on the steady-state pharmacokinetics of quetiapine. J. Clin. Psychopharmacol. 2001, 21, 89–93. [Google Scholar] [CrossRef]
- Vignali, C.; Freni, F.; Magnani, C.; Moretti, M.; Siodambro, C.; Groppi, A.; Osculati, A.M.M.; Morini, L. Distribution of quetiapine and metabolites in biological fluids and tissues. Forensic Sci. Int. 2020, 307, 110108. [Google Scholar] [CrossRef]
- Badhan, R.K.S.; Macfarlane, H. Quetiapine dose optimisation during gestation: A pharmacokinetic modelling study. J. Pharm. Pharmacol. 2020, 72, 670–681. [Google Scholar] [CrossRef]
- Yang, S.; Zhang, Y.F.; Lu, S.J.; Ye, Z.Q.; Lai, J.B.; Yang, X.; Wang, D.D.; Zhang, P.F.; Wu, L.L.; Huang, H.M.; et al. Relationship between serum concentration and clinical response of quetiapine in adolescents and adults with bipolar disorders in acute stage: A prospective observational study. J. Affect. Disord. 2023, 324, 199–205. [Google Scholar] [CrossRef] [PubMed]
- Liu, S.; O’Donnell, J.; Gladden, R.M.; McGlone, L.; Chowdhury, F. Trends in Nonfatal and Fatal Overdoses Involving Benzodiazepines—38 States and the District of Columbia, 2019–2020. Morb. Mortal Wkly. Rep. 2021, 70, 1136–1141. [Google Scholar] [CrossRef] [PubMed]
- Hasselstrøm, J.; Linnet, K. Quetiapine serum concentrations in psychiatric patients: The influence of comedication. Ther. Drug Monit. 2004, 26, 486–491. [Google Scholar] [CrossRef] [PubMed]
- Castberg, I.; Skogvoll, E.; Spigset, O. Pharmacokinetics of quetiapine: Evidence from a routine therapeutic drug monitoring service. Eur. Neuropsychopharmacol. 2006, 16, S444. [Google Scholar] [CrossRef]
- Mauri, M.C.; Volonteri, L.S.; Fiorentini, A.; Pirola, R.; Bareggi, S.R. Two weeks’ quetiapine treatment for schizophrenia, drug-induced psychosis and borderline personality disorder: A naturalistic study with drug plasma levels. Expert. Opin. Pharmacother. 2007, 8, 2207–2213. [Google Scholar] [CrossRef]
- Jaskiw, G.E.; Thyrum, P.T.; Fuller, M.A.; Arvanitis, L.A.; Yeh, C. Pharmacokinetics of quetiapine in elderly patients with selected psychotic disorders. Clin. Pharmacokinet. 2004, 43, 1025–1035. [Google Scholar] [CrossRef]
- Albantakis, L.; Egberts, K.; Burger, R.; Mehler-Wex, C.; Taurines, R.; Unterecker, S.; Wevetzer, C.; Romanos, M.; Gerlach, M. Relationship between Daily Dose, Serum Concentration, and Clinical Response to Quetiapine in Children and Adolescents with Psychotic and Mood Disorders. Pharmacopsychiatry 2017, 50, 248–255. [Google Scholar] [CrossRef]
- Flammia, D.D.; Valouch, T.; Venuti, S. Tissue distribution of quetiapine in 20 cases in Virginia. J. Anal. Toxicol. 2006, 30, 287–292. [Google Scholar] [CrossRef]
- López-Muñoz, F.; Álamo, C. Active metabolites as antidepressant drugs: The role of norquetiapine in the mechanism of action of quetiapine in the treatment of mood disorders. Front. Psychiatry 2013, 4, 48288. [Google Scholar] [CrossRef]
- Beelen, A.P.; Yeo, K.T.J.; Lewis, L.D. Asymptomatic QTc prolongation associated with quetiapine fumarate overdose in a patient being treated with risperidone. Hum. Exp. Toxicol. 2001, 20, 215–219. [Google Scholar] [CrossRef]
- Catalano, G.; Catalano, M.C.; Agustines, R.E.; Dolan, E.M.; Paperwalla, K.N. Pediatric Quetiapine Overdose: A Case Report and Literature Review. J. Child. Adolesc. Psychopharmacol. 2002, 12, 355–361. [Google Scholar] [CrossRef] [PubMed]
- McConville, B.J.; Arvanitis, L.A.; Thyrum, P.T.; Yeh, C.; Wilkinson, L.A.; Chaney, R.O.; Foster, K.D.; Sorter, M.T.; Friedman, L.M.; Brown, K.L.; et al. Pharmacokinetics, Tolerability, and Clinical Effectiveness of Quetiapine Fumarate: An Open-Label Trial in Adolescents With Psychotic Disorders. J. Clin. Psychiatry 2000, 61, 252–260. [Google Scholar] [CrossRef] [PubMed]
- Shaw, J.A.; Lewis, J.E.; Pascal, S.; Sharma, R.K.; Rodriguez, R.A.; Guillen, R.; Pupo-Guillen, M. A Study of Quetiapine: Efficacy and Tolerability in Psychotic Adolescents. J. Child. Adolesc. Psychopharmacol. 2004, 11, 415–424. [Google Scholar] [CrossRef] [PubMed]
- Twaites, B.R.; Wilton, L.V.; Shakir, S.A.W. The safety of quetiapine: Results of a post-marketing surveillance study on 1728 patients in England. J. Psychopharmacol. 2007, 21, 392–399. [Google Scholar] [CrossRef]
- Furst, B.A.; Champion, K.M.; Pierre, J.M.; Wirshing, D.A.; Wirshing, W.C. Possible association of QTc interval prolongation with co-administration of quetiapine and lovastatin. Biol. Psychiatry 2002, 51, 264–265. [Google Scholar] [CrossRef]
- Kim, A.; Lim, K.S.; Lee, H.; Chung, H.; Yoon, S.H.; Yu, K.S.; Cho, J.Y.; Jang, I.J.; Chung, J.Y. A thorough QT study to evaluate the QTc prolongation potential of two neuropsychiatric drugs, quetiapine and escitalopram, in healthy volunteers. Int. Clin. Psychopharmacol. 2016, 31, 210–217. [Google Scholar] [CrossRef]
- Reilly, J.G.; Ayis, S.A.; Ferrier, I.N.; Jones, S.J.; Thomas, S.H.L. QTc-interval abnormalities and psychotropic drug therapy in psychiatric patients. Lancet 2000, 355, 1048–1052. [Google Scholar] [CrossRef]
- Haddad, P.M.; Anderson, I.M. Antipsychotic-related QTc prolongation, torsade de pointes and sudden death. Drugs 2002, 62, 1649–1671. [Google Scholar] [CrossRef]
- El-Gaaly, S.; St John, P.; Dunsmore, S.; Bolton, J.M. Atypical Neuroleptic Malignant Syndrome With Quetiapine: A Case Report and Review of the Literature. J. Clin. Psychopharmacol. 2009, 29, 497–499. [Google Scholar] [CrossRef]
- Belvederi Murri, M.; Guaglianone, A.; Bugliani, M.; Calcagno, P.; Respino, M.; Serafini, G.; Innamorati, M.; Pompili, M.; Amore, M. Second-Generation Antipsychotics and Neuroleptic Malignant Syndrome: Systematic Review and Case Report Analysis. Drugs R. D 2015, 15, 45–62. [Google Scholar] [CrossRef]
- Detweiler, M.B.; Sullivan, K.; Sharma, T.R.; Kim, K.Y.; Detweiler, J.G. Case reports of neuroleptic malignant syndrome in context of quetiapine use. Psychiatr. Q 2013, 84, 523–541. [Google Scholar] [CrossRef] [PubMed]
- Chiou, Y.J.; Lee, Y.; Lin, C.C.; Huang, T.L. A Case Report of Catatonia and Neuroleptic Malignant Syndrome With Multiple Treatment Modalities: Short Communication and Literature Review. Medicine 2015, 94, e1752. [Google Scholar] [CrossRef] [PubMed]
- Demir, M.V.; Demir, T.O.; Yaylaci, S.; Yildiz, H.; Tayci, I.; Baydar, M. Neuroleptic malignant syndrome induced by concomitant use of risperidone and quetiapine. Chrismed J. Heal. Res. 2016, 3, 141–143. [Google Scholar] [CrossRef]
- Giuntoli, L.; Dalmastri, V.; Cilloni, N.; Orsi, C.; Stalteri, L.; Demelas, V.; Giuliani, G.; Gordini, G.; De Ponti, F.; La Manna, G. Severe quetiapine voluntary overdose successfully treated with a new hemoperfusion sorbent. Int. J. Artif. Organs 2019, 42, 516–520. [Google Scholar] [CrossRef]
- Nair, P.; Lippmann, S. Blood Dyscrasia With Quetiapine and Ziprasidone. Psychosomatics 2005, 46, 89–90. [Google Scholar] [CrossRef]
- Shpaner, A.; Li, W.; Ankoma-Sey, V.; Botero, R.C. Drug-induced liver injury: Hepatotoxicity of quetiapine revisited. Eur. J. Gastroenterol. Hepatol. 2008, 20, 1106–1109. [Google Scholar] [CrossRef]
- Naharci, M.I.; Karadurmus, N.; Demir, O.; Bozoglu, E.; Ak, M.; Doruk, H. Fatal hepatotoxicity in an elderly patient receiving low-dose quetiapine. Am. J. Psychiatry 2011, 168, 212–213. [Google Scholar] [CrossRef]
- Almeida, F.; Albuquerque, E.; Murta, I. Delirium induced by quetiapine and the potential role of norquetiapine. Front. Neurosci. 2019, 13, 886. [Google Scholar] [CrossRef]
- Jensen, N.H.; Rodriguiz, R.M.; Caron, M.G.; Wetsel, W.C.; Rothman, R.B.; Roth, B.L. N-Desalkylquetiapine, a Potent Norepinephrine Reuptake Inhibitor and Partial 5-HT1A Agonist, as a Putative Mediator of Quetiapine’s Antidepressant Activity. Neuropsychopharmacol. 2008, 33, 2303–2312. [Google Scholar] [CrossRef]
- Crombez, S.; Van Den Wijngaert, V.; Demyttenaere, K.; De Fruyt, J. Delier ten gevolge van intoxicatie met quetiapine: Een systematisch literatuuronderzoek. Tijdschr. Psychiatr. 2020, 62, 358–367. [Google Scholar]
- Fabre, L.F.; Arvanitis, L.; Pultz, J.; Jones, V.M.; Malick, J.B.; Slotnick, V.B. ICI 204,636, a novel, atypical antipsychotic: Early indication of safety and efficacy in patients with chronic and subchronic schizophrenia. Clin. Ther. 1995, 17, 366–378. [Google Scholar] [CrossRef] [PubMed]
- Dragicevic, A.; Sachse, J.; Härtter, S.; Hiemke, C.; Müller, M.J. Serum Concentrations of Quetiapine and Clinical Effects. Pharmacopsychiatry 2005, 38, 23. [Google Scholar] [CrossRef]
- Dragicevic, A.; Trotzauer, D.; Hiemke, C.; Müller, M.J. Gender and age effects on quetiapine serum concentrations in patients with schizophrenia or schizoaffective disorders. Pharmacopsychiatry 2005, 38, A044. [Google Scholar] [CrossRef]
- Dragicevic, A.; Müller, M.J.; Sachse, J.; Härtter, S.; Hiemke, C. Therapeutic drug monitoring (TDM) of quetiapine. Pharmacopsychiatry 2003, 36, 58. [Google Scholar] [CrossRef]
- Gerlach, M.; Hünnerkopf, R.; Rothenhöfer, S.; Libal, G.; Burger, R.; Clement, H.W.; Fegert, J.M.; Wewetzer, C.; Mehler-Wex, C. Therapeutic drug monitoring of quetiapine in adolescents with psychotic disorders. Pharmacopsychiatry 2007, 40, 72–76. [Google Scholar] [CrossRef]
- Cobaugh, D.J.; Erdman, A.R.; Booze, L.L.; Scharman, E.J.; Christianson, G.; Manoguerra, A.S.; Caravati, E.M.; Chyka, P.A.; Woolf, A.D.; Nelson, L.S.; et al. Atypical antipsychotic medication poisoning: An evidence-based consensus guideline for out-of-hospital management. Clin. Toxicol. 2008, 45, 918–942. [Google Scholar] [CrossRef]
- Aichhorn, W.; Marksteiner, J.; Walch, T.; Zernig, G.; Saria, A.; Kemmler, G. Influence of age, gender, body weight and valproate comedication on quetiapine plasma concentrations. Int. Clin. Psychopharmacol. 2006, 21, 81–85. [Google Scholar] [CrossRef]
- Nagy, J. Efficacy, safety and tolerability of quetiapine: Short-term high doses with long-term follow-up. Int. J. Psychiatry Clin. Pract. 2005, 9, 16–21. [Google Scholar] [CrossRef]
- Tay, E.; Sotiriou, A.; Graham, G.G.; Wilhelm, K.; Snowden, L.; Day, R.O. Restarting antidepressant and antipsychotic medication after intentional overdoses: Need for evidence-based guidance. Ther. Adv. Psychopharmacol. 2019, 9, 2045125319836889. [Google Scholar] [CrossRef]
- Schulz, M.; Iwersen-Bergmann, S.; Andresen, H.; Schmoldt, A. Therapeutic and toxic blood concentrations of nearly 1000 drugs and other xenobiotics. Crit. Care 2012, 16, R136. [Google Scholar] [CrossRef]
- Adams, B.K.; Mann, M.D.; Aboo, A.; Isaacs, S.; Evans, A. Prolonged gastric emptying half-time and gastric hypomotility after drug overdose. Am. J. Emerg. Med. 2004, 22, 548–554. [Google Scholar] [CrossRef] [PubMed]
- Bartos, M.; Knudsen, K. Use of intravenous lipid emulsion in the resuscitation of a patient with cardiovascular collapse after a severe overdose of quetiapine. Clin. Toxicol. 2013, 51, 501–504. [Google Scholar] [CrossRef] [PubMed]
- Rauber-Lüthy, C.; Hofer, K.E.; Bodmer, M.; Kullak-Ublick, G.A.; Kupferschmidt, H.; Ceschi, A. Gastric pharmacobezoars in quetiapine extended-release overdose: A case series. Clin. Toxicol. 2013, 51, 937–940. [Google Scholar] [CrossRef] [PubMed]
- Ceschi, A.; Rauber-Luthy, C.; Bodmer, M.; Kupferschmidt, H.; Hofer, K.E. Gastric pharmacobezoars in quetiapine overdose: A case series. Clin. Toxicol. 2011, 49, 533–534. [Google Scholar]
- Bodmer, M.; Burkard, T.; Kummer, O.; Beyrau, R.; Krähenbühl, S.; Haschke, M. Pharmacokinetics and pharmacodynamics of quetiapine in a patient with a massive overdose. Ther. Drug Monit. 2008, 30, 553–556. [Google Scholar] [CrossRef]
- Hoegberg, L.C.G.; Refsgaard, F.; Pedersen, S.H.; Personne, M.; Ullah, S.; Panagiotidis, G.; Studsgaard Petersen, T.; Annas, A. Potential pharmacobezoar formation of large size extended-release tablets and their dissolution–an in vitro study. Clin. Toxicol. 2019, 57, 271–281. [Google Scholar] [CrossRef]
- Levine, M.; Ruha, A.M. Overdose of atypical antipsychotics: Clinical presentation, mechanisms of toxicity and management. CNS Drugs 2012, 26, 601–611. [Google Scholar] [CrossRef]
- Minns, A.B.; Clark, R.F. Toxicology and overdose of atypical antipsychotics. J. Emerg. Med. 2012, 43, 906–913. [Google Scholar] [CrossRef]
- Burns, M.J. The pharmacology and toxicology of atypical antipsychotic agents. J. Toxicol. Clin. Toxicol. 2001, 39, 1–14. [Google Scholar] [CrossRef]
- Isbister, G.K.; Duffull, S.B. Quetiapine overdose: Predicting intubation, duration of ventilation, cardiac monitoring and the effect of activated charcoal. Int. Clin. Psychopharmacol. 2009, 24, 174–180. [Google Scholar] [CrossRef]
- Trenton, A.F.; Currier, G.W.; Zwemer, F.L. Fatalities associated with therapeutic use and overdose of atypical antipsychotics. CNS Drugs 2003, 17, 307–324. [Google Scholar] [CrossRef] [PubMed]
- Mowry, J.; Sanftleben, J.; Smith, J. Eighteen month retrospective evaluation of Seroquel(R) exposures. J. Toxicol. Clin. Toxicol. 1999, 37, 631. [Google Scholar]
- Backman, E.; Luhr, K.M.; Sjöberg, G. Acute Quetiapine Overdose in Adults—Experience in Sweden. Clin. Toxicol. 2011, 49, 267–268. [Google Scholar]
- Pillay-Fuentes Lorente, V.; van Rensburg, R.; Cloete, D.A.; Lahri, S.; Decloedt, E.H. Vasopressor therapy in atypical antipsychotic overdose. S. Afr. Med. J. 2020, 110, 1003–1005. [Google Scholar] [CrossRef] [PubMed]
- Cole, J.B.; Stellpflug, S.J.; Ellsworth, H.; Harris, C.R. Reversal of quetiapine-induced altered mental status with physostigmine: A case series. Am. J. Emerg. Med. 2012, 30, 950–953. [Google Scholar] [CrossRef]
- Reichert, C.; Reichert, P.; Monnet-Tschudi, F.; Kupferschmidt, H.; Ceschi, A.; Rauber-Lüthy, C. Seizures after single-agent overdose with pharmaceutical drugs: Analysis of cases reported to a poison center. Clin. Toxicol. 2014, 52, 629–634. [Google Scholar] [CrossRef]
- Mainio, A.; Kuusisto, L.; Hakko, H.; Riipinen, P. Antipsychotics as a method of suicide: Population based follow-up study of suicide in Northern Finland. Nord. J. Psychiatry 2021, 75, 281–285. [Google Scholar] [CrossRef]
- Nelson, J.C.; Spyker, D.A. Morbidity and mortality associated with medications used in the treatment of depression: An analysis of cases reported to U.S. poison control centers, 2000-2014. Am. J. Psychiatry 2017, 174, 438–450. [Google Scholar] [CrossRef]
- Tiihonen, J.; Lönnqvist, J.; Wahlbeck, K.; Klaukka, T.; Niskanen, L.; Tanskanen, A.; Haukka, J. Articles 11-year follow-up of mortality in patients with schizophrenia: A population-based cohort study (FIN11 study). Lancet 2009, 374, 620–627. [Google Scholar] [CrossRef]
- Griffiths, C.; Flanagan, R.J. Fatal poisoning with antipsychotic drugs, England and Wales 1993-2002. J. Psychopharmacol. 2005, 19, 667–674. [Google Scholar] [CrossRef]
- Lee, J.; Pilgrim, J.; Gerostamoulos, D.; Robinson, J.; Wong, A. Increasing rates of quetiapine overdose, misuse, and mortality in Victoria, Australia. Drug Alcohol. Depend. 2018, 187, 95–99. [Google Scholar] [CrossRef] [PubMed]
- Tan, H.H.; Hoppe, J.; Heard, K. A systematic review of cardiovascular effects following atypical antipsychotic medication overdose. Am. J. Emerg. Med. 2009, 27, 607. [Google Scholar] [CrossRef] [PubMed]
- Kim, S.; Lee, G.; Kim, E.; Jung, H.; Chang, J. Quetiapine misuse and abuse: Is it an atypical paradigm of drug seeking behavior? J. Res. Pharm. Pract. 2017, 6, 12. [Google Scholar] [CrossRef] [PubMed]
- Hawkins, D.J.; Unwin, P. Paradoxical and severe hypotension in response to adrenaline infusions in massive quetiapine overdose. Crit. Care Resusc. 2008, 10, 320–322. [Google Scholar] [CrossRef]
- Gibiino, S.; Trappoli, A.; Balzarro, B.; Atti, A.R.; de Ronchi, D. Coma after quetiapine fumarate intentional overdose in a 71-year-old man: A case report. Drug Saf. Case Rep. 2015, 2, 3. [Google Scholar] [CrossRef][Green Version]
- Wang, M.T.; Tsai, C.L.; Lin, C.W.; Yeh, C.B.; Wang, Y.H.; Lin, H.L. Association Between Antipsychotic Agents and Risk of Acute Respiratory Failure in Patients With Chronic Obstructive Pulmonary Disease. JAMA Psychiatry 2017, 74, 252–260. [Google Scholar] [CrossRef]
- Chen, M.; Gomaa, H.; Cortez-Resendiz, A.; Martin, C.; Francis, A.; Bellon, A. Quetiapine and Wolff-Parkinson-White Syndrome. Case Rep. Psychiatry 2020, 2020, 6633385. [Google Scholar] [CrossRef]
- Andersen, F.D.; Simonsen, U.; Andersen, C.U. Quetiapine and other antipsychotics combined with opioids in legal autopsy cases: A random finding or cause of fatal outcome? Basic. Clin. Pharmacol. Toxicol. 2021, 128, 66–79. [Google Scholar] [CrossRef]
- Calderone, V.; Testai, L.; Martinotti, E.; Del Tacca, M.; Breschi, M.C. Drug-induced block of cardiac HERG potassium channels and development of torsade de pointes arrhythmias: The case of antipsychotics. J. Pharm. Pharmacol. 2010, 57, 151–161. [Google Scholar] [CrossRef]
- Campleman, S.L.; Brent, J.; Pizon, A.F.; Shulman, J.; Wax, P.; Manini, A.F. Drug-specific risk of severe QT prolongation following acute drug overdose. Clin. Toxicol. 2020, 58, 1326. [Google Scholar] [CrossRef]
- Hasnain, M.; Vieweg, W.V.R.; Howland, R.H.; Kogut, C.; Breden Crouse, E.L.; Koneru, J.N.; Hancox, J.C.; Digby, G.C.; Baranchuk, A.; Deshmukh, A.; et al. Quetiapine, QTc interval prolongation, and torsade de pointes: A review of case reports. Ther. Adv. Psychopharmacol. 2014, 4, 130. [Google Scholar] [CrossRef] [PubMed]
- Isbister, G.K.; Jenkins, S. Quetiapine overdose, good or bad, or just more of the same? Clin. Toxicol. 2023, 61, 49. [Google Scholar]
- Khaire, S.S.; Nagarajarao, H.; Quin, E.M.; Borganelli, S.M.; Marshall, R.C. Electrocardiographic brugada pattern induced by quetiapine overdose. J. Investig. Med. 2012, 60, 322–323. [Google Scholar]
- Lannemyr, L.; Knudsen, K. Severe overdose of quetiapine treated successfully with extracorporeal life support. Clin. Toxicol. 2012, 50, 258–261. [Google Scholar] [CrossRef]
- Simon, M.; Kaplan, S.; Muschler, K.; Hoyte, C.; Brent, J. The role of QRS complex prolongation in predicting severe toxicity in single-xenobiotic overdose. Clin. Toxicol. 2024, 62, 32–38. [Google Scholar] [CrossRef]
- Fernandes, P.P.; Marcil, W.A. Death associated with quetiapine overdose. Am. J. Psychiatry 2002, 159, 2114. [Google Scholar] [CrossRef]
- Chen, J.A.; Unverferth, K.M.; Cheung, E.H. Delayed-Onset Seizure in a Mild Quetiapine Overdose: Report of a Case and Review of the Literature. Case Rep. Psychiatry 2018, 2018, 7623051. [Google Scholar] [CrossRef]
- Young, A.C.; Kleinschmidt, K.C.; Wax, P.M. Late-onset seizures associated with quetiapine poisoning. J. Med. Toxicol. 2009, 5, 24–26. [Google Scholar] [CrossRef]
- Barcelo, B.; Yates, C.; Castanyer, B.; Puiguriguer, J. Delayed seizures after topiramate, venlafaxine and quetiapine overdose. Med. Clin. 2010, 135, 191–192. [Google Scholar] [CrossRef]
- Strachan, P.M.; Benoff, B.A. Mental status change, myoclonus, electrocardiographic changes, and acute respiratory distress syndrome induced by quetiapine overdose. Pharmacotherapy 2006, 26, 578–582. [Google Scholar] [CrossRef]
- Dogu, O.; Sevim, S.; Kaleagasi, H.S. Seizures associated with quetiapine treatment. Ann. Pharmacother. 2003, 37, 1224–1227. [Google Scholar] [CrossRef] [PubMed]
- Hedges, D.W.; Jeppson, K.G. New-Onset Seizure Associated with Quetiapine and Olanzapine. Ann. Pharmacother. 2002, 36, 437–439. [Google Scholar] [CrossRef] [PubMed]
- Inoue, F.; Iga, K.; Maeda, K.; Sera, S.; Fujisaki, N.; Okazaki, Y.; Ichiba, T.; Chiba, T.; Namera, A. Refractory seizures due to severe quetiapine poisoning. Clin. Toxicol. 2023, 61, 620–621. [Google Scholar] [CrossRef] [PubMed]
- Fioravanti, V.; Cavallieri, F.; Rossi, J.; Macaluso, M.C.; Valzania, F. Subcortical generalized myoclonus as a presenting symptom of quetiapine overdose. Neurol. Sci. 2022, 43, 6135. [Google Scholar] [CrossRef]
- Velayudhan, L.; Kirchner, V. Quetiapine-induced myoclonus. Int. Clin. Psychopharmacol. 2005, 20, 119–120. [Google Scholar] [CrossRef]
- Aggarwal, A.; Jiloha, R. Quetiapine induced myoclonus. Indian. J. Med. Sci. 2009, 62, 422–423. [Google Scholar] [CrossRef][Green Version]
- Fond, G.; MacGregor, A.; Ducasse, D.; Brittner, M. Paradoxical severe agitation induced by add-on high-doses quetiapine in schizo-affective disorder. Psychiatry Res. 2014, 216, 286–287. [Google Scholar] [CrossRef]
- Antia, S.X.; Sholevar, E.H.; Baron, D.A. Overdoses and ingestions of second-generation antipsychotics in children and adolescents. J. Child. Adolesc. Psychopharmacol. 2005, 15, 970–985. [Google Scholar] [CrossRef]
- Rhyee, S.H.; Pedapati, E.V.; Thompson, J. Prolonged delirium after quetiapine overdose. Pediatr. Emerg. Care 2010, 26, 754–756. [Google Scholar] [CrossRef]
- Miodownik, C.; Alkatnany, A.; Frolova, K.; Lerner, V. Delirium associated with lithium-quetiapine combination. Clin. Neuropharmacol. 2008, 31, 176–179. [Google Scholar] [CrossRef]
- Liolios, A.; Sentissi, O. Rhabdomyolysis following Acute Extended-Release Quetiapine Poisoning: A Case Report. Case Rep. Psychiatry 2012, 2012, 347421. [Google Scholar] [CrossRef] [PubMed]
- Dickmann, J.R.M.; Dickmann, L.M. An uncommonly recognized cause of rhabdomyolysis after quetiapine intoxication. Am. J. Emerg. Med. 2010, 28, 1060.e1–1060.e2. [Google Scholar] [CrossRef] [PubMed]
- Smith, R.P.; Puckett, B.N.; Crawford, J.; Elliott, R.L. Quetiapine overdose and severe rhabdomyolysis. J. Clin. Psychopharmacol. 2004, 24, 343. [Google Scholar] [CrossRef] [PubMed]
- Hernandez, S.D.; Marotta, D.A.; Goteti, R. Atypical Neuroleptic Malignant Syndrome in the Setting of Quetiapine Overdose: A Case Report and Review of the Literature. Cureus 2021, 13, e12602. [Google Scholar] [CrossRef]
- Précourt, A.; Dunewicz, M.; Grégoire, G.; Williamson, D.R. Multiple Complications and Withdrawal Syndrome Associated with Quetiapine/Venlafaxine Intoxication. Ann. Pharmacother. 2005, 39, 153–156. [Google Scholar] [CrossRef]
- Ninčević, Ž.; Lasić, D.; Glavina, T.; Mikačić, M.; Carev, M.; Podrug, K. Quetiapine poisoning associated with neuroleptic malignant syndrome, rhabdomyolysis and renal failure: A case report. Psychiatr. Danub. 2017, 29, 84–86. [Google Scholar] [CrossRef]
- Özçelık Eroğlu, E.; Yildiz, M.İ.; Yazici, M.K. Atypical neuroleptic malignant syndrome induced by low dose quetiapine in a patient treated with donepezil. Noropsikiyatri Ars. 2021, 58, 166–168. [Google Scholar] [CrossRef]
- Schattner, A.; Kitroser, E.; Cohen, J.D. Fatal Neuroleptic Malignant Syndrome Associated With Quetiapine. Am. J. Ther. 2016, 23, e1209–e1210. [Google Scholar] [CrossRef]
- Nestor, C.; O’Brien, D.; Dwyer, R. Neuroleptic Malignant Syndrome Secondary to Quetiapine in Critical Care: A Case Report. A&A Pract. 2020, 14, e01318. [Google Scholar] [CrossRef]
- Sing, K.J.; Ramaekers, G.M.G.I.; Van Harten, P.N. Neuroleptic malignant syndrome and quetiapine. Am. J. Psychiatry 2002, 159, 149–150. [Google Scholar] [CrossRef]
- Teo, D.C.L.; Wong, H.K.; Tan, S.N. Atypical neuroleptic malignant syndrome precipitated by clozapine and quetiapine overdose: A diagnostic challenge. Innov. Clin. Neurosci. 2018, 15, 20–22. [Google Scholar] [PubMed]
- Filkins, P.; Walsh, C.; Kiernan, E. An atypical use of MDAC: Enhanced elimination of quetiapine in a massive overdose. Clin. Toxicol. 2021, 59, 1057. [Google Scholar]
- Stenzel, J.; Ruhnau, L.; Einwaechter, H.; Felgenhauer, N.; Romaneck, K.; Stich, R.; Pfab, R.; Eyer, F. Gastroscopic bezoar removal in acute quetiapine poisoning. Clin. Toxicol. 2013, 51, 317–318. [Google Scholar]
- Kielstein, J.T.; Schmidt, J.J.; Ghannoum, M. Letter to the editor concerning the case report “Successful treatment of severe quetiapine intoxication with CytoSorb hemoadsorption”. J. Clin. Pharm. Ther. 2022, 47, 1493–1494. [Google Scholar] [CrossRef]
- Saito, T.; Tsuji, T.; Namera, A.; Morita, S.; Nakagawa, Y. Comparison of serum and whole blood concentrations in quetiapine overdose cases. Forensic Toxicol. 2022, 40, 403–406. [Google Scholar] [CrossRef]
- Breivik, H.; Tunset, M.E.; Schou, M.B.; Frost, J. Distribution of quetiapine between serum and whole blood in therapeutic drug-monitoring specimens. J. Anal. Toxicol. 2024, 48, 180–184. [Google Scholar] [CrossRef]
- Fisher, D.S.; Van Schalkwyk, G.I.; Seedat, S.; Curran, S.R.; Flanagan, R.J. Plasma, oral fluid, and whole-blood distribution of antipsychotics and metabolites in clinical samples. Ther. Drug Monit. 2013, 35, 345–351. [Google Scholar] [CrossRef]
- Skov, L.; Johansen, S.S.; Linnet, K. Postmortem quetiapine reference concentrations in brain and blood. J. Anal. Toxicol. 2015, 39, 557–561. [Google Scholar] [CrossRef]
- McIntyre, I.M. Analytical data supporting the “theoretical” postmortem redistribution factor (Ft): A new model to evaluate postmortem redistribution. Forensic Sci. Res. 2016, 1, 33–37. [Google Scholar] [CrossRef][Green Version]
- Anderson, D.T.; Fritz, K.L. Quetiapine (Seroquel®) concentrations in seven postmortem cases. J. Anal. Toxicol. 2000, 24, 300–304. [Google Scholar] [CrossRef]
- Abdelaal, G.M.M.; Hegazy, N.I.; Etewa, R.L.; Elmesallamy, G.E.A. Postmortem redistribution of drugs: A literature review. Forensic Sci. Med. Pathol. 2023, 1–8. [Google Scholar] [CrossRef] [PubMed]
- Maan, J.S.; Ershadi, M.; Khan, I.; Saadabadi, A. Quetiapine. In StatPearls [Internet]; StatPearls Publishing: Treasure Island, FL, USA, 2024. Available online: https://www.ncbi.nlm.nih.gov/books/NBK459145/ (accessed on 10 October 2024).
- Skov, L.; Johansen, S.S.; Linnet, K. Postmortem femoral blood reference concentrations of aripiprazole, chlorprothixene, and quetiapine. J. Anal. Toxicol. 2015, 39, 41–44. [Google Scholar] [CrossRef] [PubMed]
- Hieger, M.A.; Peters, N.E. Lipid Emulsion Therapy for Quetiapine Overdose. Am. J. Ther. 2020, 27, E518–E519. [Google Scholar] [CrossRef] [PubMed]
- Harmon, T.J.; Benitez, J.G.; Krenzelok, E.P.; Cortes-Belen, E. Loss of consciousness from acute quetiapine overdosage. J. Toxicol. Clin. Toxicol. 1998, 36, 599–602. [Google Scholar] [CrossRef]
- Garg, V.; Farah, N. Quetiapine overdose. Aust. N. Z. J. Psychiatry 2010, 44, 1144. [Google Scholar] [CrossRef]
- Watts, D.; Wax, P. Physostigmine administration for quetiapine toxicity. J. Toxicol. Clin. Toxicol. 2003, 41, 646–647. [Google Scholar]
- Watt, P.; Malik, P.; Dyson, L. Gift of the glob—Is it foolproof? Anaesthesia 2009, 64, 1031–1033. [Google Scholar] [CrossRef]
- Mowry, J.B.; Spyker, D.A.; Brooks, D.E.; Zimmerman, A.; Schauben, J.L. 2015 Annual Report of the American Association of Poison Control Centers’ National Poison Data System (NPDS): 33rd Annual Report. Clin. Toxicol. 2016, 54, 924–1109. [Google Scholar] [CrossRef]
- Gummin, D.D.; Mowry, J.B.; Beuhler, M.C.; Spyker, D.A.; Bronstein, A.C.; Rivers, L.J.; Pham, N.P.T.; Weber, J. 2020 Annual Report of the American Association of Poison Control Centers’ National Poison Data System (NPDS): 38th Annual Report. Clin. Toxicol. 2021, 59, 1282–1501. [Google Scholar] [CrossRef]
- Vivek, S. No QT interval prolongation associated with quetiapine overdose. Am. J. Emerg. Med. 2004, 22, 330. [Google Scholar] [CrossRef]
- John, S.; Loftus, R.; Dewhirst, W.; Surgenor, S.; Koff, M. A Unique Presentation of Massive Quetiapine Overdose: Prolonged Anticholinergic Delirium and Acute Reversal with Physostigmine. Crit. Care Med. 2010, 38, U277. [Google Scholar]
- Galdós Barroso, M.; Ulla Anés, M.; Martínez Vicente, S.; Arozemena Baquerizo, J. Intoxicación por quetiapina. Med. Clin. 2001, 117, 638–639. [Google Scholar] [CrossRef] [PubMed]
- Hubbard, A.M.; House, L.M.; Lee, J.M. Low-dose lipid emulsion for pediatric vasoplegic shock due to quetiapine and fluvoxamine overdose: A case report. J. Emerg. Crit. Care Med. 2022, 6, 28. [Google Scholar] [CrossRef]
- Reuchsel, C.; Gonnert, F.A. Successful treatment of severe quetiapine intoxication with CytoSorb hemoadsorption. J. Clin. Pharm. Ther. 2022, 47, 1471–1474. [Google Scholar] [CrossRef]
- Paulzen, M.; Grunder, G.; Orlikowsky, T.; Hoeltzenbein, M.; Graf, C.M.; Veselinovic, T. Suicide attempt during late pregnancy with quetiapine: Nonfatal outcome despite severe intoxication. J. Clin. Psychopharmacol. 2015, 35, 343–344. [Google Scholar] [CrossRef]
- Seewoogoolam, G.; Miller, G.; Tan, B. Compartment syndrome of the deltoid and pectoralis major in a young man following quetiapine use. ANZ J. Surg. 2019, 89, E335–E336. [Google Scholar] [CrossRef]
- Raja, M.; Azzoni, A. Valproate and quetiapine overdose with benign outcome: A case report. Int. J. Psychiatry Clin. Pract. 2002, 6, 173–174. [Google Scholar] [CrossRef]
- Purg, D.; Markota, A.; Grenc, D.; Sinkovič, A. Low-dose intravenous lipid emulsion for the treatment of severe quetiapine and citalopram poisoning. Arh. Hig. Rada Toksikol. 2016, 67, 164–166. [Google Scholar] [CrossRef][Green Version]
- Plesnicar, B.K.; Lasic, J.K.; Plesnicar, A. Quetiapine and elevated creatine phosphokinase (CK). Pharmacopsychiatry 2007, 40, 203–204. [Google Scholar] [CrossRef]
- Pais, V.M.; Ayvazian, P.J. Priapism from quetiapine overdose: First report and proposal of mechanism. Urology 2001, 58, 462. [Google Scholar] [CrossRef]
- Nudelman, E.; Vinuela, L.M.; Cohen, C.I. Safety in overdose of quetiapine: A case report. J. Clin. Psychiatry 1998, 59, 433. [Google Scholar] [CrossRef] [PubMed]
- Mahieu, B.; Martens, F.; Vanlerberghe, G.; Croes, K. Persisting Tachycardia and Late Onset Seizures in two Non Fatal Cases of Quetiapine Intoxication. Clin. Toxicol. 2007, 45, 366. [Google Scholar]
- Malik, A.R.; Wolf, P.K.; Ravasia, S. Hypokalemia from risperidone and quetiapine overdose. Can. J. Psychiatry 2005, 50, 76. [Google Scholar] [CrossRef]
- Cobilinschi, C.; Mirea, L.; Andrei, C.A.; Ungureanu, R.; Cotae, A.M.; Avram, O.; Isac, S.; Grințescu, I.M.; Țincu, R. Biodetoxification Using Intravenous Lipid Emulsion, a Rescue Therapy in Life-Threatening Quetiapine and Venlafaxine Poisoning: A Case Report. Toxics 2023, 11, 917. [Google Scholar] [CrossRef] [PubMed]
- Tomruk, N.B.; SaatçIoǧlu, Ö.; DelIce, M.; Alpay, N. Is quetiapine safe in overdose?: A case report and literature review. Noropsikiyatri. Ars. 2012, 49, 157–159. [Google Scholar] [CrossRef]
- Stuerzebecher, A.; Groeneveld, A.; Lehmann, T.; Prasa, D. Different courses of quetiapine poisoning in two patients with gastric decontamination. Clin. Toxicol. 2020, 58, 620–621. [Google Scholar]
- Otte, S.; Fischer, B.; Sayk, F. Successful lipid rescue therapy in a case of severe amitriptyline/quetiapine intoxication. Med. Klin. Intensivmed. Notfmed 2018, 113, 305–308. [Google Scholar] [CrossRef]
- Gajwani, P.; Pozuelo, L.; Tesar, G.E. Qt interval prolongation associated with quetiapine (Seroquel) overdose. Psychosomatics 2000, 41, 63–65. [Google Scholar] [CrossRef]
- Akinci, E.; Koylu, R.; Akilli, N.B.; Cander, B. Rhabdomyolysis Secondary to Quetiapine and Olanzapine Intoxication Olanzapin ve Ketiapin intoksikasyonuna İkincil Rabdomiyoliz. J. Acad. Emerg. Med. Case Reports 2014, 5, 87–89. [Google Scholar] [CrossRef]
- Finn, S.D.H.; Uncles, D.R.; Willers, J.; Sable, N. Early treatment of a quetiapine and sertraline overdose with Intralipid®. Anaesthesia 2009, 64, 191–194. [Google Scholar] [CrossRef]
- Fisher, J.; Taori, G.; Braitberg, G.; Graudins, A. Methylene blue used in the treatment of refractory shock resulting from drug poisoning. Clin. Toxicol. 2014, 52, 63–65. [Google Scholar] [CrossRef] [PubMed]
- Lonati, D.; Bernabe, L.; Cirronis, M.; Potalivo, A.; Giovanardi, M.; Schicchi, A.; Crevani, M.; Scaravaggi, G.; Petrolini, V.M.; Locatelli, C.A. Pharmacobezoar and gastric perforation in severe quetiapine intoxication: A case report. Clin. Toxicol. 2020, 58, 630. [Google Scholar]
- Mattoo, S.K.; Shah, R.; Rajagopal, R.; Biswas, P.S.; Singh, S.M. Quetiapine: Relatively safe in overdose? Indian. J. Psychiatry 2009, 51, 139–140. [Google Scholar] [CrossRef] [PubMed]
- Alexander, J. Delirium as a symptom of quetiapine poisoning. Aust. N. Z. J. Psychiatry 2009, 43, 781. [Google Scholar] [CrossRef]
- Silversides, J.A.; Scott, K.C. Diabetes Insipidus following Overdose of Baclofen and Quetiapine. Anaesth. Intensive Care 2009, 37, 319–320. [Google Scholar] [CrossRef]
- Kurth, J.; Maguire, G. Pediatric case report of quetiapine overdose and QTc prolongation. Ann. Clin. Psychiatry 2004, 16, 229–231. [Google Scholar] [CrossRef]
- Lu, J.J.; Hast, H.A.; Erickson, T.B. Dramatic QTc Narrowing after Intralipid Administration in Quetiapine Overdose. Clin. Toxicol. 2009, 47, 740. [Google Scholar]
- Presley, J.D.; Chyka, P.A. Intravenous Lipid Emulsion to Reverse Acute Drug Toxicity in Pediatric Patients. Ann. Pharmacother. 2013, 47, 735–743. [Google Scholar] [CrossRef]
- Anomelechi, E.; Hirst, R. Adrenaline-induced hypotension in the context of significant quetiapine overdose. Clin. Case Reports 2023, 11, 4–6. [Google Scholar] [CrossRef]
- Veli, S.B.; Atanasov, V.N.; Angelov, J.S.; Kanev, K.P. Simultaneous application of intravenous fat emulsion and charcoal hemoperfusion in quetiapine overdose case. Cent. Eur. J. Med. 2014, 9, 505–507. [Google Scholar] [CrossRef]
- Cevik, S.E.; Tasyurek, T.; Guneysel, O. Intralipid emulsion treatment as an antidote in lipophilic drug intoxications. Am. J. Emerg. Med. 2014, 32, 1103–1108. [Google Scholar] [CrossRef] [PubMed]
- Adachi, K.; Beppu, S.; Nishiyama, K.; Shimizu, M.; Yamazaki, H. Pharmacokinetics of duloxetine self-administered in overdose with quetiapine and other antipsychotic drugs in a Japanese patient admitted to hospital. J. Pharm. Health Care Sci. 2021, 7, 6. [Google Scholar] [CrossRef] [PubMed]
- Arslan, E.D.; Demir, A.; Yilmaz, F.; Kavalci, C.; Karakilic, E.; Çelikel, E. Treatment of Quetiapine Overdose with Intravenous Lipid Emulsion. Keio J. Med. 2013, 62, 53–57. [Google Scholar] [CrossRef] [PubMed]
- Barker, M.J.; Benitez, J.G.; Ternullo, S.; Juhl, G.A. Acute oxcarbazepine and atomoxetine overdose with quetiapine. Vet. Hum. Toxicol. 2004, 46, 130–132. [Google Scholar] [PubMed]
- Khalid, M.; Bakhit, A.; Dufresne, A.; Sapkota, D.; Altekreti, A. LBBB Induced by Quetiapine Overdose: A Case Report and Literature Review. Am. J. Ther. 2017, 24, e618–e620. [Google Scholar] [CrossRef]
- Gulec, H.; Babayigit, M.; Kurtay, A.; Sahap, M.; Ulus, F.; Tutal, Z.; Horasanli, E. Seizure due to multiple drugs intoxication: A case report. Braz. J. Anesthesiol. 2016, 66, 651–653. [Google Scholar] [CrossRef][Green Version]
- Klučka, J.; Juřenčák, T.; Kosinová, M.; Štourač, P.; Kratochvíl, M.; Sedláčková, Y.; Tomáš, N.; Pelclová, D.; Jabandžiev, P. Intralipid infusion in paediatric patient with quetiapine and lamotrigine intoxication. Monatshefte Fur Chem. 2019, 150, 1711–1714. [Google Scholar] [CrossRef]
- Hermanns Clausen, M.; Stedtler, U.; Reinhardt, M. Quetiapine Overdose-A Case Series. J. Toxicol. Clin. Toxicol. 2004, 42, 443–444. [Google Scholar]
- Hughes, R.L. Fatal combination of mitragynine and quetiapine—A case report with discussion of a potential herb-drug interaction. Forensic Sci. Med. Pathol. 2019, 15, 110–113. [Google Scholar] [CrossRef]
- Hertzog, T.; Cetran, L.; Labadie, M.; Braganca, C.; Goncalves, R. Delayed cardiotoxicity in venlafaxine and quetiapine overdose. Clin. Toxicol. 2021, 59, 1279–1280. [Google Scholar] [CrossRef]
- Bronstein, A.C.; Spyker, D.A.; Cantilena, L.R.; Green, J.L.; Rumack, B.H.; Giffin, S.L. 2008 Annual Report of the American Association of Poison Control Centers’ National Poison Data System (NPDS): 26th Annual Report. Clin. Toxicol. 2009, 47, 911–1084. [Google Scholar] [CrossRef] [PubMed]
- Bronstein, A.C.; Spyker, D.A.; Cantilena, L.R.; Green, J.L.; Rumack, B.H.; Heard, S.E. 2007 Annual Report of the American Association of Poison Control Centers’ National Poison Data System (NPDS): 25th Annual Report. Clin. Toxicol. 2008, 46, 927–1057. [Google Scholar] [CrossRef] [PubMed]
- Bronstein, A.C.; Spyker, D.A.; Cantilena, L.R.; Green, J.; Rumack, B.H.; Heard, S.E. 2006 Annual Report of the American Association of Poison Control Centers’ National Poison Data System (NPDS). Clin. Toxicol. 2007, 45, 815–917. [Google Scholar] [CrossRef] [PubMed]
- Bronstein, A.C.; Spyker, D.A.; Cantilena, L.R.; Green, J.L.; Rumack, B.H.; Giffin, S.L. 2009 Annual Report of the American Association of Poison Control Centers’ National Poison Data System (NPDS): 27th Annual Report. Clin. Toxicol. 2010, 48, 979–1178. [Google Scholar] [CrossRef]
- Kampschulte, B.; Klauwer, D.; Faas, D.; Heckmann, M. Therapierefraktäre arterielle Hypotension infolge Intoxikation mit Quetiapin und Escitalopram—Therapie mit Terlipressin und Vasopressin. Klin. Pädiatrie 2010, 222, GNPI_FV_64. [Google Scholar] [CrossRef]
- Lund, C.; Shafiei, M.; Molden, E.; Jacobsen, D. Toxicokinetics of Quetiapine and its Active Metabolite N-desalkylquetiapine During Acute Poisoning. Clin. Toxicol. 2011, 49, 267. [Google Scholar]
- Kramer, I.; Rauber-Luthy, C.; Kupferschmidt, H. Acute Intoxication with Quetiapine: A Cohort Study. Clin. Toxicol. 2008, 46, 643. [Google Scholar] [CrossRef]
- Berling, I.; Isbister, G.K. Prolonged QT Risk Assessment in Antipsychotic Overdose Using the QT Nomogram. Ann. Emerg. Med. 2015, 66, 154–164. [Google Scholar] [CrossRef]
- Khalifa, H.K.; Mansour, N.M.; Elmansy, A. Predictors for prolonged qt intervals in acute antipsychotic poisoned patients. Toxicol. Res. 2024, 13, tfae038. [Google Scholar] [CrossRef]
- Buckley, N.A.; Whyte, I.M.; Dawson, A.H. Cardiotoxicity more common in thioridazine overdose than with other neuroleptics. J. Toxicol. Clin. Toxicol. 1995, 33, 199–204. [Google Scholar] [CrossRef]
- Tang, K.B.; Simpson, M.D.; Burns, M.M. Toxicology Investigators Consortium (ToxIC). Evolving trends of pharmaceutical poisonings associated with QRS complex prolongation. Clin. Toxicol. 2024, 62, 574–582. [Google Scholar] [CrossRef]





| Pharmacokinetic Profile | Toxicokinetic Profile | ||||
|---|---|---|---|---|---|
| IR | XR | IR | XR | Comments | |
| bioavailability | 70% | equivalent to IR | variable and lower than in therapeutic doses; e.g., 40% after 10 g IR | no data—lower than in therapeutic doses | |
| ka | 1.77–2.5/h | 0.1–0.19/h | 2.3/h | no data—lower than IR | gastric emptying may be delayed |
| VD | 380–710 L, or 8–14 L/kg | equivalent to IR | 589 L | equivalent to IR | |
| tmax | 1–2 h | 5–6 h | variable, 1–20 h | variable, up to 56 h | cmax may not have been reached at the reported time |
| cmax | dose-dependent, with linear pharmacokinetics | dose-dependent, with linear pharmacokinetics, lower (~67%) than IR | conflicting data on dose–concentration relationship; lower than anticipated from pharmacokinetic models | 2nd peak may be present | |
| t1/2 | 5.3–7 h | equivalent to IR | variable, 5–22 h; may be biphasic, with phase 1 t1/2 5–10 h (<12–48 h post-ingestion, and phase 2 t1/2 22–77 h (>12–48 h post-ingestion) | variable; may be prolonged—up to 31 h | |
| Cl | 55–138 L/h | equivalent to IR | 73 L/h | no data | declines with age |
| Reported QTP Dose | Reported QTP Concentration | ||||
|---|---|---|---|---|---|
| No. of Cases * (N = 134) | % (Valid) | No. of Cases * (N = 118) | No. of Cases * (N = 65) | ||
| age—median (IQR) | years | 32.5 (24.75–44) | |||
| sex | male/female | 55/76 | (41.9/58.1) | 49/66 | 23/41 |
| coingestants | yes/no | 58/76 | (43.3/56.7) | 49/69 | 28/37 |
| dosage form | IR/XR | 53/30 | (63.9/36.1) | 49/28 | 31/13 |
| hospital length of stay—median (IQR) | days | 4 (2–7) | |||
| Clinical events, signs and symptoms: | |||||
| lowest GCS score level | 1 (death) | 17 | 12.8 | 7 | 14 |
| 2 (GCS 3–8) | 78 | 58.6 | 74 | 36 | |
| 3 (GCS 9–14) | 32 | 24.1 | 30 | 14 | |
| 4 (GCS 15) | 6 | 4.5 | 6 | 1 | |
| tachycardia | yes/no | 93/21 | (81.6/18.4) | 81/19 | 47/9 |
| hypotension | yes/no | 65/44 | (59.6/40.4) | 54/41 | 34/21 |
| QTc prolongation | yes/no | 44/67 | (39.6/60.4) | 40/61 | 21/31 |
| QRS prolongation | yes/no | 24/90 | (21.1/78.9) | 19/83 | 15/39 |
| seizures | yes/no | 34/89 | (27.6/72.4) | 27/82 | 21/37 |
| rhabdomyolysis | yes/no | 12/90 | (11.8/88.2) | 12/80 | 4/40 |
| agitation | yes/no | 32/87 | (26.9/73.1) | 28/78 | 21/35 |
| delirium | yes/no | 17/92 | (15.6/84.4) | 13/83 | 12/38 |
| hypokalaemia | yes/no | 17/66 | (24.1/75.9) | 15/59 | 7/35 |
| acidosis | yes/no | 19/79 | (19.4/80.6) | 16/72 | 13/36 |
| arrhythmia | yes/no | 14/104 | (11.9/88.1) | 10/98 | 8/47 |
| heart block | yes/no | 21/97 | (17.8/82.2) | 16/92 | 14/42 |
| hyperglycaemia | yes/no | 9/70 | (11.4/88.6) | 8/64 | 7/32 |
| Treatment strategies: | |||||
| decontamination (any) | yes/no | 58/58 | (50.0/50.0) | 55/51 | 27/26 |
| ICU admission | yes/no | 66/20 | (76.7/23.3) | 61/20 | 32/6 |
| ICU length of stay—median (IQR) | days | 3 (1–4) | |||
| intubation | yes/no | 72/55 | (56.7/43.3) | 64/29 | 34/27 |
| physostigmine | yes/no | 14/111 | (11.2/88.8) | 12/100 | 8/51 |
| vasopressors | yes/no | 35/87 | (28.7/71.3) | 29/79 | 21/38 |
| intralipid emulsion | yes/no | 18/107 | (14.4/85.6) | 17/95 | 7/52 |
| OR | 95% C.I. for OR | Sig. | Omnibus Test—Model (Sig.) | Hosmer and Lemeshow Test (Sig.) | ||||
|---|---|---|---|---|---|---|---|---|
| Lower | Upper | |||||||
| lowest GCS score vs. dose (continuous) | dose (g) | 1.118 | 1.049 | 1.192 | 0.001 | <0.001 | 0.149 | |
| constant | 0.711 | 0.334 | ||||||
| lowest GCS score vs. dose (categorical; cat. 1: dose ≤ 3 g; cat. 2: 3 g <dose ≤ 8 g; cat. 3: dose > 8 g) | dose ≤ 3 g (ref.) | 0.000 | <0.001 | 1.000 | ||||
| 3 g <dose ≤ 8 g | 5.950 | 1.586 | 22.328 | 0.008 | ||||
| dose > 8 g | 8.955 | 3.221 | 24.899 | 0.000 | ||||
| constant | 0.471 | 0.079 | ||||||
| lowest GCS score vs. peak concentration (continuous) | peak c (mg/L) | 1.319 | 1.020 | 1.707 | 0.035 | 0.001 | 0.974 | |
| constant | 1.015 | 0.975 | ||||||
| lowest GCS score vs. peak concentration (categorical; cat. 1: peak c ≤ 5 mg/L; cat. 2: peak c > 5 mg/L) | peak c > 5 mg/L | 14.000 | 1.709 | 114.685 | 0.014 | 0.001 | * | |
| constant | 1.786 | 0.082 | ||||||
Disclaimer/Publisher’s Note: The statements, opinions and data contained in all publications are solely those of the individual author(s) and contributor(s) and not of MDPI and/or the editor(s). MDPI and/or the editor(s) disclaim responsibility for any injury to people or property resulting from any ideas, methods, instructions or products referred to in the content. |
© 2024 by the authors. Licensee MDPI, Basel, Switzerland. This article is an open access article distributed under the terms and conditions of the Creative Commons Attribution (CC BY) license (https://creativecommons.org/licenses/by/4.0/).
Share and Cite
Dobravc Verbič, M.; Grabnar, I.; Eyer, F.; Brvar, M. Acute Quetiapine Intoxication: Relationship Between Ingested Dose, Serum Concentration and Clinical Presentation—Structured Literature Review and Analysis. J. Xenobiot. 2024, 14, 1570-1594. https://doi.org/10.3390/jox14040085
Dobravc Verbič M, Grabnar I, Eyer F, Brvar M. Acute Quetiapine Intoxication: Relationship Between Ingested Dose, Serum Concentration and Clinical Presentation—Structured Literature Review and Analysis. Journal of Xenobiotics. 2024; 14(4):1570-1594. https://doi.org/10.3390/jox14040085
Chicago/Turabian StyleDobravc Verbič, Matej, Iztok Grabnar, Florian Eyer, and Miran Brvar. 2024. "Acute Quetiapine Intoxication: Relationship Between Ingested Dose, Serum Concentration and Clinical Presentation—Structured Literature Review and Analysis" Journal of Xenobiotics 14, no. 4: 1570-1594. https://doi.org/10.3390/jox14040085
APA StyleDobravc Verbič, M., Grabnar, I., Eyer, F., & Brvar, M. (2024). Acute Quetiapine Intoxication: Relationship Between Ingested Dose, Serum Concentration and Clinical Presentation—Structured Literature Review and Analysis. Journal of Xenobiotics, 14(4), 1570-1594. https://doi.org/10.3390/jox14040085

