Association between Regular Use of Analgesics before Cancer Diagnosis and Occurrence of Mood Disorders
Abstract
1. Introduction
2. Materials and Methods
2.1. Study Design and Data Collection
2.2. Criteria and Definitions
2.3. Assessment of First-Step Analgesic Use
2.4. Statistical Analysis
3. Results
3.1. Participant Characteristics
3.2. Risk Factors Associated with Mood Disorder Development in Cancer Survivors
3.3. Association between Mood Disorder and Analgesic Use by Age
4. Discussion
5. Conclusions
Author Contributions
Funding
Institutional Review Board Statement
Informed Consent Statement
Data Availability Statement
Public Involvement Statement
Guidelines and Standards Statement
Use of Artificial Intelligence
Conflicts of Interest
References
- Ng, H.S.; Koczwara, B.; Roder, D.M.; Niyonsenga, T.; Vitry, A.I. Comorbidities in Australian women with hormone-dependeant breast cancer: A populaion-based analysis. Med. J. Aust. 2018, 208, 24–28. [Google Scholar] [CrossRef] [PubMed]
- Ko, H.M.; Kim, J.R.; Lee, J.S. The current status of cancer survivorship care and a consideration of appropriate care model in Korea. Korean J. Clin. Oncol. 2020, 16, 110–118. [Google Scholar] [CrossRef]
- Park, J.H.; Bae, S.H.; Chun, M.; Jung, Y.S.; Jung, Y.M. Factors Influencing Elevated Distress Scores at the End of Primary Treatment of Breast Cancer. Asian Oncol. Nurs. 2015, 15, 132–139. [Google Scholar] [CrossRef]
- Bentson, T.M.; Fløe, L.E.; Bruun, J.M.; Eriksen, J.G.; Johnsen, S.P.; Videbech, P.; Brogaard, T.; Andreassen, P.; Mygind, A.; Bøndergaard, K.B.; et al. Barriers in cancer trajectories of patients with pre-existing severe mental disorders-A systematic review. Psychooncology 2023, 32, 862–874. [Google Scholar] [CrossRef] [PubMed]
- Wang, X.; Wang, N.; Zhong, L.; Wang, S.; Zheng, Y.; Yang, B.; Zhang, J.; Lin, Y.; Wang, Z. Prognostic value of depression and anxiety on breast cancer recurrence and mortality: A systematic review and meta-analysis of 282,203 patients. Mol. Psychiatry 2020, 25, 3186–3197. [Google Scholar] [CrossRef]
- Satin, J.R.; Linden, W.; Phillips, M.J. Depression as a predictor of disease progression and mortality in cancer patients. Cancer 2009, 115, 5349–5361. [Google Scholar] [CrossRef]
- Wernli, K.J.; Hampton, J.M.; Trentham-Dietz, A.; Newcomb, P.A. Use of antidepressants and NSAIDs in relation to mortality in long-term breast cancer survivors. Pharmacoepidemiol. Drug Saf. 2011, 20, 131–137. [Google Scholar] [CrossRef]
- Sheng, J.; Liu, S.; Wang, Y.; Cui, R.; Zhang, X. The Link between Depression and Chronic Pain: Neural Mechanisms in the Brain. Neural Plast. 2017, 2017, 9724371. [Google Scholar] [CrossRef]
- Mohammad Sadeghi, H.; Adeli, I.; Mousavi, T.; Daniali, M.; Nikfar, S.; Abdollahi, M. Drug Repurposing for the Management of Depression: Where Do We Stand Currently? Life 2021, 11, 774. [Google Scholar] [CrossRef]
- Kohler, O.; Krogh, J.; Mors, O.; Benros, M.E. Inflammation in Depression and the Potential for Anti-Inflammatory Treatment. Curr. Neuropharmacol. 2016, 14, 732–742. [Google Scholar] [CrossRef]
- Slavich, G.M.; Shields, G.S.; Deal, B.D.; Gregory, A.; Toussaint, L.L. Alleviating Social Pain: A Double-Blind, Randomized, Placebo-Controlled Trial of Forgiveness and Acetaminophen. Ann. Behav. Med. 2019, 53, 1045–1054. [Google Scholar] [CrossRef] [PubMed]
- Dewall, C.N.; Macdonald, G.; Webster, G.D.; Masten, C.L.; Baumeister, R.F.; Powell, C.; Combs, D.; Schurtz, D.R.; Stillman, T.F.; Tice, D.M.; et al. Acetaminophen reduces social pain: Behavioral and neural evidence. Psychol. Sci. 2010, 21, 931–937. [Google Scholar] [CrossRef] [PubMed]
- Iyengar, R.L.; Gandhi, S.; Aneja, A.; Thorpe, K.; Razzouk, L.; Greenberg, J.; Mosovich, S.; Farkouh, M.E. NSAIDs are associated with lower depression scores in patients with osteoarthritis. Am. J. Med. 2013, 126, 1017.e11–1017.e18. [Google Scholar] [CrossRef]
- Molero, P.; Ruiz-Estigarribia, L.; Lahortiga-Ramos, F.; Sánchez-Villegas, A.; Bes-Rastrollo, M.; Escobar-González, M.; Martínez-González, M.Á.; Fernández-Montero, A. Use of non-steroidal anti-inflammatory drugs, aspirin and the risk of depression: The “Seguimiento Universidad de Navarra (SUN)” cohort. J. Affect. Disord. 2019, 247, 161–167. [Google Scholar] [CrossRef]
- Shaikh, N.F.; Shen, C.; LeMasters, T.; Dwibedi, N.; Ladani, A.; Sambamoorthi, U. Prescription Non-Steroidal Anti-Inflammatory Drugs (NSAIDs) and Incidence of Depression Among Older Cancer Survivors With Osteoarthritis: A Machine Learning Analysis. Cancer Inform. 2023, 22, 11769351231165161. [Google Scholar] [CrossRef] [PubMed]
- Hinz, A.; Krauss, O.; Hauss, J.P.; Höckel, M.; Kortmann, R.D.; Stolzenburg, J.U.; Schwarz, R. Anxiety and depression in cancer patients compared with the general population. Eur. J. Cancer Care 2010, 19, 522–529. [Google Scholar] [CrossRef] [PubMed]
- Lee, J.; Lee, J.S.; Park, S.H.; Shin, S.A.; Kim, K. Cohort profile: The National Health Insurance Service-National Sample Cohort (NHIS-NSC), South Korea. Int. J. Epidemol. 2017, 46, e15. [Google Scholar] [CrossRef] [PubMed]
- Hwangbo, Y.; Kang, D.; Kang, M.; Kim, S.; Lee, E.K.; Kim, Y.A.; Chang, Y.J.; Choi, K.S.; Jung, S.-Y.; Woo, S.M.; et al. Incidence of Diabetes After Cancer Development: A Korean National Cohort Study. JAMA Oncol. 2018, 4, 1099–1105. [Google Scholar] [CrossRef]
- Klabunde, C.N.; Harlan, L.C.; Warren, J.L. Data sources for measuring comorbidity: A comparison of hospital records and medicare claims for cancer patients. Med. Care 2006, 44, 921–928. [Google Scholar] [CrossRef]
- National Health Insurance Sharing Service, Sample Cohort DB Manual. 2021. Available online: https://nhiss.nhis.or.kr/bd/ab/bdaba002cv.do# (accessed on 26 June 2024).
- Loyola Filho, A.I.; Firmo, J.O.A.; Mambrini, J.V.M.; Peixoto, S.V.; Souza Junior, P.R.B.; Nascimento, M.M.G.D. Use of psychotropic drugs by population in an area affected by the tailings dam rupture: Brumadinho Health Project. Rev. Bras. Epidemiol 2022, 25, e220012. [Google Scholar] [CrossRef]
- Kim, J.; Lee, H.W.; Yang, M.; Lee, H.B.; Jang, Y.L.; Na, E.J. A Study on the Characteristics of People With Severe Mental Illness in Seoul. J. Korean Neuropsychiatr. Assoc. 2024, 63, 49–56. [Google Scholar] [CrossRef]
- Depression: Learn More—How Effective Are Antidepressants? InformedHealth.org [Internet]. 2020. Available online: https://www.ncbi.nlm.nih.gov/books/NBK361016/ (accessed on 13 May 2024).
- Charlson, M.E.; Pompei, P.; Ales, K.L.; MacKenzie, C.R. A new method of classifying prognostic comorbidity in longitu-dinal studies: Development and validation. J. Chronic Dis. 1987, 40, 373–383. [Google Scholar] [CrossRef] [PubMed]
- Baris, D.; Karagas, M.R.; Koutros, S.; Colt, J.S.; Johnson, A.; Schwenn, M.; Fischer, A.H.; Figueroa, J.D.; Berndt, S.I.; Han, S.; et al. Nonsteroidal anti-inflammatory drugs and other analgesic use and bladder cancer in northern New England. Int. J. Cancer 2013, 132, 162–173. [Google Scholar] [CrossRef] [PubMed]
- Ayalew, M.; Deribe, B.; Duko, B.; Geleta, D.; Bogale, N.; Gemechu, L.; Gebretsadik, A.; Bedaso, A. Prevalence of depression and anxiety symptoms and their determinant factors among patients with cancer in southern Ethiopia: A cross-sectional study. BMJ Open 2022, 12, e051317. [Google Scholar] [CrossRef] [PubMed]
- Park, Y.J.; Kim, H.S.; Kang, H.C. The Age at Menopause and Related Factors in Korean Women. J. Korean Acad. Nurs. 2002, 32, 1024–1031. [Google Scholar] [CrossRef]
- Santoro, N.; Epperson, C.N.; Mathews, S.B. Menopausal Symptoms and Their Management. Endocrinol. Metab. Clin. N. Am. 2015, 44, 497–515. [Google Scholar] [CrossRef] [PubMed]
- Bromberger, J.T.; Kravitz, H.M. Mood and menopause: Findings from the Study of Women’s Health Across the Nation (SWAN) over 10 years. Obstet. Gynecol. Clin. N. Am. 2011, 38, 609–625. [Google Scholar] [CrossRef] [PubMed]
- Soini, E.; Rosenström, T.; Määttänen, I.; Jokela, M. Physical activity and specific symptoms of depression: A pooled analysis of six cohort studies. J. Affect. Disord. 2024, 348, 44–53. [Google Scholar] [CrossRef] [PubMed]
- Harvey, S.B.; Øverland, S.; Hatch, S.L.; Wessely, S.; Mykletun, A.; Hotopf, M. Exercise and the Prevention of Depression: Results of the HUNT Cohort Study. Am. J. Psychiatry 2018, 175, 28–36. [Google Scholar] [CrossRef]
- Pearce, M.; Garcia, L.; Abbas, A.; Strain, T.; Schuch, F.B.; Golubic, R.; Kelly, P.; Khan, S.; Utukuri, M.; Laird, Y.; et al. Association Between Physical Activity and Risk of Depression: A Systematic Review and Meta-analysis. JAMA Psychiatry 2022, 79, 550–559. [Google Scholar] [CrossRef]
- Schuch, F.; Vancampfort, D.; Firth, J.; Rosenbaum, S.; Ward, P.; Reichert, T.; Bagatini, N.C.; Bgeginski, R.; Stubbs, B. Physical activity and sedentary behavior in people with major depressive disorder: A systematic review and meta-analysis. J. Affect. Disord. 2017, 210, 139–150. [Google Scholar] [CrossRef] [PubMed]
- Park, M.A.; Seo, H.J. Risk Factor of Mood Disorder Development in Breast Cancer Survivors. Anxiety Mood. 2021, 17, 34–40. [Google Scholar]
- World Health Organization, Depressive Disorder (Depression). 2023. Available online: https://www.who.int/news-room/fact-sheets/detail/depression (accessed on 13 May 2024).
- Ruder, E.H.; Laiyemo, A.O.; Graubard, B.I.; Hollenbeck, A.R.; Schatzkin, A.; Cross, A.J. Non-steroidal anti-inflammatory drugs and colorectal cancer risk in a large, prospective cohort. Am. J. Gastroenterol. 2011, 106, 1340–1350. [Google Scholar] [CrossRef] [PubMed]
- Maes, M. Targeting cyclooxygenase-2 in depression is not a viable therapeutic approach and may even aggravate the pathophysiology underpinning depression. Metab. Brain Dis. 2012, 27, 405–413. [Google Scholar] [CrossRef] [PubMed]
- Kandis, S.; Ates, M.; Kizildag, S.; Camsari, G.B.; Yuce, Z.; Guvendi, G.; Koc, B.; Karakilic, A.; Camsari, U.M.; Uysal, N. Acetaminophen (paracetamol) affects empathy-like behavior in rats: Dose-response relationship. Pharmacol. Biochem. Behav. 2018, 175, 146–151. [Google Scholar] [CrossRef] [PubMed]
- Gosch, M.; Böhmdorfer, B.; Benvenuti-Falger, U.; Dovjak, P.; Iglseder, B.; Lechleitner, M.; Otto, R.; Roller, R.E.; Sommeregger, U. [Polypharmacy and pain treatment]. Wien. Med. Wochenschr. 2010, 160, 286–292. [Google Scholar] [CrossRef] [PubMed]
- Varghese, D.; Ishida, C.; Haseer Koya, H. Polypharmacy. StatPearls [Internet]. 2023. Available online: https://www.ncbi.nlm.nih.gov/books/NBK532953/ (accessed on 13 May 2024).
- Palapinyo, S.; Methaneethorn, J.; Leelakanok, N. Association between polypharmacy and depression: A systematic review and meta-analysis. J. Pharm. Pract. Res. 2021, 51, 280–299. [Google Scholar] [CrossRef]
- Wium-Andersen, I.K.; Wium-Andersen, M.K.; Jørgensen, M.B.; Osler, M. Anti-inflammatory treatment and risk of depression in 91,842 patients with acute coronary syndrome and 91,860 individuals without acute coronary syndrome in Denmark. Int. J. Cardiol. 2017, 246, 1–6. [Google Scholar] [CrossRef]
- Medici, C.R.; Gradus, J.L.; Pedersen, L.; Sørensen, H.T.; Østergaard, S.D.; Christiansen, C.F. No impact of preadmission anti-inflammatory drug use on risk of depression and anxiety after critical illness. Crit. Care Med. 2017, 45, 1635–1641. [Google Scholar] [CrossRef]
- Gallagher, E.J.; LeRoith, D. Obesity and type 2 diabetes are associated with an increased risk of developing cancer and a worse prognosis; epidemiological and mechanistic evidence. Exp. Clin. Endocrinol. Diabetes 2008, 116, S4–S6. [Google Scholar]
- Shim, E.J.; Lee, J.W.; Cho, J.; Jung, H.K.; Kim, N.H.; Lee, J.E.; Min, J.; Noh, W.C.; Park, S.H.; Kim, Y.S. Association of depression and anxiety disorder with the risk of mortality in breast cancer: A National Health Insurance Service study in Korea. Breast Cancer Res. Treat. 2020, 179, 491–498. [Google Scholar] [CrossRef] [PubMed]
- Depression. Approved by the Cancer.Net Editorial Board. 2022. Available online: https://www.cancer.net/coping-with-cancer/managing-emotions/depression (accessed on 13 May 2024).
- Köhler-Forsberg, O.N.; Lydholm, C.; Hjorthøj, C.; Nordentoft, M.; Mors, O.; Benros, M.E. Efficacy of anti-inflammatory treatment on major depressive disorder or depressive symptoms: Meta-analysis of clinical trials. Acta Psychiatr. Scand. 2019, 139, 404–419. [Google Scholar] [CrossRef] [PubMed]


| Variable | Mood Disorders | x2 | p | ||||
|---|---|---|---|---|---|---|---|
| No (n = 3017) | Yes (n = 611) | ||||||
| N | % | N | % | ||||
| Age | |||||||
| <50 | 1439 | 47.70 | 213 | 34.86 | 33.237 | <0.001 | |
| ≥50 | 1578 | 52.30 | 398 | 65.14 | |||
| Income | |||||||
| Low (1~3) | 675 | 22.37 | 117 | 19.15 | 3.541 | 0.170 | |
| Middle (4~6) | 908 | 30.10 | 163 | 26.68 | |||
| High (7~10) | 1533 | 50.81 | 331 | 54.17 | |||
| BMI (Body Mass Index) | |||||||
| <25 | 2147 | 71.16 | 426 | 69.72 | 0.445 | 0.505 | |
| ≥25 | 870 | 28.84 | 185 | 30.28 | |||
| Physical activity | |||||||
| Never | 1347 | 44.65 | 331 | 54.17 | 18.779 | <0.001 | |
| <5 | 1088 | 36.06 | 178 | 29.13 | |||
| ≥5 | 582 | 19.29 | 102 | 16.69 | |||
| CCI (Charlson comorbidity index) | |||||||
| 0 | 1565 | 51.87 | 257 | 42.06 | 19.171 | <0.001 | |
| ≥1 | 1452 | 48.13 | 354 | 57.94 | |||
| Hypertension | |||||||
| No | 2125 | 70.43 | 385 | 63.01 | 12.785 | <0.001 | |
| Yes | 892 | 29.57 | 226 | 36.99 | |||
| Dyslipidemia | |||||||
| No | 2203 | 73.02 | 443 | 72.50 | 0.045 | 0.832 | |
| Yes | 814 | 26.98 | 168 | 27.50 | |||
| Analgesics use | |||||||
| Never | 893 | 29.60 | 122 | 19.97 | 34.020 | <0.001 | |
| Non-regular | 1692 | 56.08 | 358 | 58.59 | |||
| Regular | 432 | 14.32 | 131 | 21.44 | |||
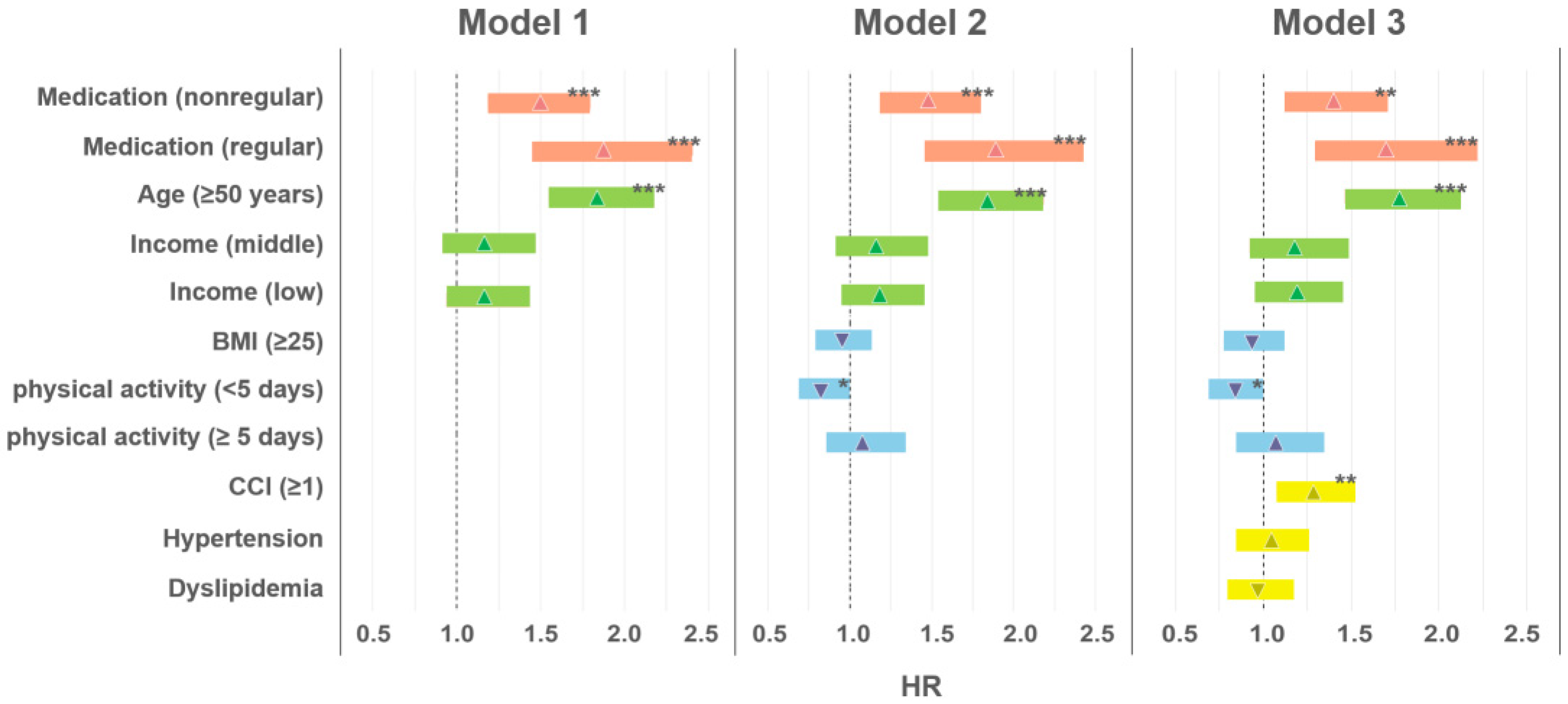
| Model 1 | Model 2 | Model 3 | |||||||
|---|---|---|---|---|---|---|---|---|---|
| HR (1) | 95% CI (2) | p | HR | 95% CI | p | HR | 95% CI | p | |
| Analgesics use | |||||||||
| Never | 1.000 | 1.000 | 1.000 | ||||||
| Non-regular | 1.464 | 1.191–1.799 | <0.001 | 1.465 | 1.192–1.800 | <0.001 | 1.386 | 1.123–1.710 | 0.002 |
| Regular | 1.875 | 1.458–2.411 | <0.001 | 1.882 | 1.461–2.424 | <0.001 | 1.698 | 1.301–2.215 | <0.001 |
| Model 4 | <50 | ≥50 | |||||
|---|---|---|---|---|---|---|---|
| HR (1) | 95% CI (2) | p | HR | 95% CI | p | ||
| Income | |||||||
| Low (1~3) | 1.000 | 1.000 | |||||
| Middle (4~6) | 1.070 | 0.710–1.612 | 0.746 | 1.210 | 0.902–1.622 | 0.203 | |
| High (7~10) | 1.143 | 0.794–1.644 | 0.472 | 1.199 | 0.924–1.555 | 0.173 | |
| BMI (Body Mass Index) | |||||||
| <25 | 1.000 | 1.000 | |||||
| ≥25 | 0.770 | 0.530–1.120 | 0.171 | 0.982 | 0.795–1.215 | 0.870 | |
| Physical activity | |||||||
| Never | 1.000 | 1.000 | |||||
| <5 | 1.037 | 0.776–1.385 | 0.806 | 0.719 | 0.565–0.915 | 0.007 ** | |
| ≥5 | 0.889 | 0.555–1.424 | 0.625 | 1.135 | 0.876–1.470 | 0.340 | |
| CCI (Charlson comorbidity index) | |||||||
| 0 | 1.000 | 1.000 | |||||
| ≥1 | 1.309 | 0.991–1.730 | 0.058 * | 1.279 | 1.029–1.589 | 0.026 | |
| Hypertension | |||||||
| No | 1.000 | 1.000 | |||||
| Yes | 1.295 | 0.888–1.889 | 0.180 | 0.992 | 0.801–1.229 | 0.944 | |
| Dyslipidemia | |||||||
| No | 1.000 | 1.000 | |||||
| Yes | 1.024 | 0.667–1.573 | 0.912 | 0.973 | 0.787–1.203 | 0.799 | |
| Analgesics use | |||||||
| Never | 1.000 | 1.000 | |||||
| Non-regular | 1.582 | 1.135–2.207 | 0.007 ** | 1.242 | 0.947–1.629 | 0.117 | |
| Regular | 2.634 | 1.658–4.185 | <0.001 *** | 1.418 | 1.026–1.960 | 0.034 ** | |
Disclaimer/Publisher’s Note: The statements, opinions and data contained in all publications are solely those of the individual author(s) and contributor(s) and not of MDPI and/or the editor(s). MDPI and/or the editor(s) disclaim responsibility for any injury to people or property resulting from any ideas, methods, instructions or products referred to in the content. |
© 2024 by the authors. Licensee MDPI, Basel, Switzerland. This article is an open access article distributed under the terms and conditions of the Creative Commons Attribution (CC BY) license (https://creativecommons.org/licenses/by/4.0/).
Share and Cite
Oh, H.S.; Noh, S.; Seo, H.J. Association between Regular Use of Analgesics before Cancer Diagnosis and Occurrence of Mood Disorders. Nurs. Rep. 2024, 14, 1828-1837. https://doi.org/10.3390/nursrep14030136
Oh HS, Noh S, Seo HJ. Association between Regular Use of Analgesics before Cancer Diagnosis and Occurrence of Mood Disorders. Nursing Reports. 2024; 14(3):1828-1837. https://doi.org/10.3390/nursrep14030136
Chicago/Turabian StyleOh, Hyun Sook, Subin Noh, and Hwa Jeong Seo. 2024. "Association between Regular Use of Analgesics before Cancer Diagnosis and Occurrence of Mood Disorders" Nursing Reports 14, no. 3: 1828-1837. https://doi.org/10.3390/nursrep14030136
APA StyleOh, H. S., Noh, S., & Seo, H. J. (2024). Association between Regular Use of Analgesics before Cancer Diagnosis and Occurrence of Mood Disorders. Nursing Reports, 14(3), 1828-1837. https://doi.org/10.3390/nursrep14030136

