Vitamin K Antagonists (VKAs) and Novel Oral Anticoagulants (NOACs) Safety Comparison Based on Data from EudraVigilance Database
Abstract
1. Introduction
2. Materials and Methods
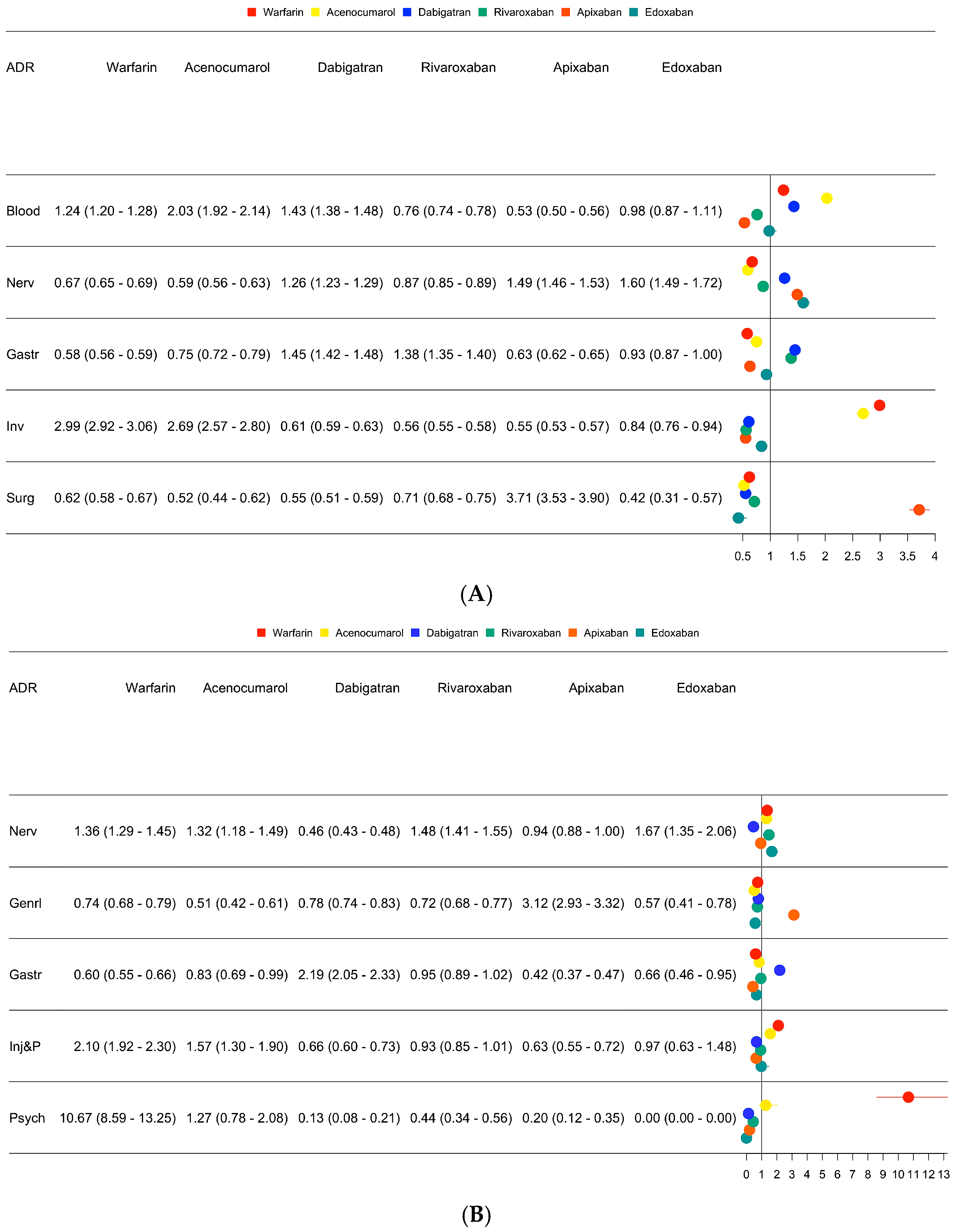
3. Results
4. Discussion
5. Conclusions
Supplementary Materials
Author Contributions
Funding
Institutional Review Board Statement
Informed Consent Statement
Data Availability Statement
Conflicts of Interest
Abbreviations
| ADR | Adverse Drug Reaction |
| AF | Atrial Fibrillation |
| CA | Correspondence Analysis |
| CI | Confidence Interval |
| EEA | European Economic Area |
| EMA | European Medicines Agency |
| ICSR | Individual Case Safety Report |
| MedDRA | Medical Dictionary for Regulatory Activities |
| NOAC | Novel Oral Anticoagulant |
| OAC | Oral Anticoagulant |
| OR | Odds Ratio |
| ROR | Reporting Odds Ratio |
| SOC | System Organ Class |
| VKA | Vitamin K Antagonist |
References
- Vinogradova, Y.; Coupland, C.; Hill, T.; Hippisley-Cox, J. Risks and Benefits of Direct Oral Anticoagulants versus Warfarin in a Real World Setting: Cohort Study in Primary Care. BMJ 2018, 362, k2505. [Google Scholar] [CrossRef]
- Patel, M.R.; Mahaffey, K.W.; Garg, J.; Pan, G.; Singer, D.E.; Hacke, W.; Breithardt, G.; Halperin, J.L.; Hankey, G.J.; Piccini, J.P.; et al. Rivaroxaban versus Warfarin in Nonvalvular Atrial Fibrillation. N. Engl. J. Med. 2011, 365, 883–891. [Google Scholar] [CrossRef]
- Granger, C.B.; Alexander, J.H.; McMurray, J.J.V.; Lopes, R.D.; Hylek, E.M.; Hanna, M.; Al-Khalidi, H.R.; Ansell, J.; Atar, D.; Avezum, A.; et al. Apixaban versus Warfarin in Patients with Atrial Fibrillation. N. Engl. J. Med. 2011, 365, 981–992. [Google Scholar] [CrossRef]
- Kearon, C.; Ageno, W.; Cannegieter, S.C.; Cosmi, B.; Geersing, G.-J.; Kyrle, P.A. Categorization of Patients as Having Provoked or Unprovoked Venous Thromboembolism: Guidance from the SSC of ISTH. J. Thromb. Haemost. 2016, 14, 1480–1483. [Google Scholar] [CrossRef]
- Barnes, G.D.; Ageno, W.; Ansell, J.; Kaatz, S. Recommendation on the Nomenclature for Oral Anticoagulants: Communication from the SSC of the ISTH. J. Thromb. Haemost. 2015, 13, 1154–1156. [Google Scholar] [CrossRef]
- Husted, S.; de Caterina, R.; Andreotti, F.; Arnesen, H.; Bachmann, F.; Huber, K.; Lip, G.Y.H.; Morais, J.; Rasmussen, L.H.; Siegbahn, A.; et al. Non-Vitamin K Antagonist Oral Anticoagulants (NOACs): No Longer New or Novel. Thromb. Haemost. 2017, 117, 1002–1004. [Google Scholar] [CrossRef]
- Olesen, J.B.; Sørensen, R.; Hansen, M.L.; Lamberts, M.; Weeke, P.; Mikkelsen, A.P.; Køber, L.; Gislason, G.H.; Torp-Pedersen, C.; Fosbøl, E.L. Non-Vitamin K Antagonist Oral Anticoagulation Agents in Anticoagulant Naïve Atrial Fibrillation Patients: Danish Nationwide Descriptive Data 2011–2013. EP Eur. 2015, 17, 187–193. [Google Scholar] [CrossRef]
- Giugliano, R.P.; Ruff, C.T.; Braunwald, E.; Murphy, S.A.; Wiviott, S.D.; Halperin, J.L.; Waldo, A.L.; Ezekowitz, M.D.; Weitz, J.I.; Špinar, J.; et al. Edoxaban versus Warfarin in Patients with Atrial Fibrillation. N. Engl. J. Med. 2013, 369, 2093–2104. [Google Scholar] [CrossRef]
- Connolly, S.J.; Ezekowitz, M.D.; Yusuf, S.; Eikelboom, J.; Oldgren, J.; Parekh, A.; Pogue, J.; Reilly, P.A.; Themeles, E.; Varrone, J.; et al. Dabigatran versus Warfarin in Patients with Atrial Fibrillation. N. Engl. J. Med. 2009, 361, 1139–1151. [Google Scholar] [CrossRef]
- Villines, T.C.; Peacock, W.F. Safety of Direct Oral Anticoagulants: Insights from Postmarketing Studies. Am. J. Emerg. Med. 2016, 34, 9–13. [Google Scholar] [CrossRef]
- Salazar, C.A.; del Aguila, D.; Cordova, E.G. Direct Thrombin Inhibitors versus Vitamin K Antagonists for Preventing Cerebral or Systemic Embolism in People with Non-Valvular Atrial Fibrillation. Cochrane Database Syst. Rev. 2014, 2014, 9–13. [Google Scholar] [CrossRef]
- Bruins Slot, K.M.H.; Berge, E. Factor Xa Inhibitors versus Vitamin K Antagonists for Preventing Cerebral or Systemic Embolism in Patients with Atrial Fibrillation. Cochrane Database Syst. Rev. 2018, 3, CD008980. [Google Scholar] [CrossRef]
- Ruff, C.T.; Giugliano, R.P.; Braunwald, E.; Hoffman, E.B.; Deenadayalu, N.; Ezekowitz, M.D.; Camm, A.J.; Weitz, J.I.; Lewis, B.S.; Parkhomenko, A.; et al. Comparison of the Efficacy and Safety of New Oral Anticoagulants with Warfarin in Patients with Atrial Fibrillation: A Meta-Analysis of Randomised Trials. Lancet 2014, 383, 955–962. [Google Scholar] [CrossRef]
- Chatterjee, S.; Sardar, P.; Biondi-Zoccai, G.; Kumbhani, D.J. New Oral Anticoagulants and the Risk of Intracranial Hemorrhage: Traditional and Bayesian Meta-Analysis and Mixed Treatment Comparison of Randomized Trials of New Oral Anticoagulants in Atrial Fibrillation. JAMA Neurol. 2013, 70, 1486–1490. [Google Scholar] [CrossRef]
- Cabarrot, A.; Montastruc, J.L.; Chebane, L.; Rousseau, V.; Bondon-Guitton, E.; Moulis, F.; Durrieu, G.; Bagheri, H.; Montastruc, F. Neurological and Digestive Bleeding with Direct Oral Anticoagulants versus Vitamin K Antagonists: The Differences Do Not Stop There! A Pharmacovigilance Study. Pharmacol. Res. 2017, 118, 119–120. [Google Scholar] [CrossRef]
- López-López, J.A.; Sterne, J.A.C.; Thom, H.H.Z.; Higgins, J.P.T.; Hingorani, A.D.; Okoli, G.N.; Davies, P.A.; Bodalia, P.N.; Bryden, P.A.; Welton, N.J.; et al. Oral Anticoagulants for Prevention of Stroke in Atrial Fibrillation: Systematic Review, Network Meta-Analysis, and Cost Effectiveness Analysis. BMJ 2017, 359, j5058. [Google Scholar] [CrossRef]
- Almutairi, A.R.; Zhou, L.; Gellad, W.F.; Lee, J.K.; Slack, M.K.; Martin, J.R.; Lo-Ciganic, W.-H. Effectiveness and Safety of Non-Vitamin K Antagonist Oral Anticoagulants for Atrial Fibrillation and Venous Thromboembolism: A Systematic Review and Meta-Analyses. Clin. Ther. 2017, 39, 1456–1478.e36. [Google Scholar] [CrossRef]
- Cameron, C.; Coyle, D.; Richter, T.; Kelly, S.; Gauthier, K.; Steiner, S.; Carrier, M.; Coyle, K.; Bai, A.; Moulton, K.; et al. Systematic Review and Network Meta-Analysis Comparing Antithrombotic Agents for the Prevention of Stroke and Major Bleeding in Patients with Atrial Fibrillation. BMJ Open 2014, 4, e004301. [Google Scholar] [CrossRef]
- Bellesini, M.; Bianchin, M.; Corradi, C.; Donadini, M.P.; Raschi, E.; Squizzato, A. Drug–Drug Interactions between Direct Oral Anticoagulants and Hepatitis C Direct-Acting Antiviral Agents: Looking for Evidence Through a Systematic Review. Clin. Drug Investig. 2020, 40, 1001–1008. [Google Scholar] [CrossRef]
- Lip, G.Y.H.; Keshishian, A.; Li, X.; Hamilton, M.; Masseria, C.; Gupta, K.; Luo, X.; Mardekian, J.; Friend, K.; Nadkarni, A.; et al. Effectiveness and Safety of Oral Anticoagulants Among Nonvalvular Atrial Fibrillation Patients. Stroke 2018, 49, 2933–2944. [Google Scholar] [CrossRef]
- Umscheid, C.A.; Margolis, D.J.; Grossman, C.E. Key Concepts of Clinical Trials: A Narrative Review. Postgrad. Med. 2011, 123, 194–204. [Google Scholar] [CrossRef]
- Philip, W.; James, T.; Caterson, I.D.; Coutinho, W.; Finer, N.; Van Gaal, L.F.; Maggioni, A.P.; Torp-Pedersen, C.; Sharma, A.M.; Shepherd, G.M.; et al. Effect of Sibutramine on Cardiovascular Outcomes in Overweight and Obese Subjects. N. Engl. J. Med. 2010, 363, 905–917. [Google Scholar]
- Menzella, F.; Ballarin, A.; Sartor, M.; Floriani, A.F.; Corsi, L.; Dartora, C.; Tonin, S.; Romagnoli, M. Comparison between Clinical Trials and Real-World Evidence Studies on Biologics for Severe Asthma. J. Int. Med. Res. 2022, 50, 3000605221133689. [Google Scholar] [CrossRef]
- Montastruc, J.-L.; Sommet, A.; Bagheri, H.; Lapeyre-Mestre, M. Benefits and Strengths of the Disproportionality Analysis for Identification of Adverse Drug Reactions in a Pharmacovigilance Database. Br. J. Clin. Pharmacol. 2011, 72, 905–908. [Google Scholar] [CrossRef]
- Gozzo, L.; Vetro, C.; Brancati, S.; Longo, L.; Vitale, D.C.; Romano, G.L.; Mauro, E.; Fiumara, P.F.; Maugeri, C.; Parisi, M.S.; et al. Off-Label Use of Venetoclax in Patients with Acute Myeloid Leukemia: Single Center Experience and Data From Pharmacovigilance Database. Front. Pharmacol. 2021, 12. [Google Scholar] [CrossRef]
- Vetro, C.; Duminuco, A.; Gozzo, L.; Maugeri, C.; Parisi, M.; Brancati, S.; Longo, L.; Vitale, D.C.; Romano, G.L.; Ciuni, R.; et al. Pegylated Asparaginase-Induced Liver Injury: A Case-Based Review and Data From Pharmacovigilance. J. Clin. Pharmacol. 2022, 62, 1142–1150. [Google Scholar] [CrossRef]
- Gozzo, L.; Nardo, A.; Brancati, S.; Judica, A.; Duminuco, A.; Maugeri, C.; Parisi, M.; Longo, L.; Vitale, D.C.; Ruscica, R.; et al. Severe Gastrointestinal Toxicity Following the Use of Gilteritinib: A Case Series and Analysis of Postmarketing Surveillance Data. Healthcare 2023, 11, 1479. [Google Scholar] [CrossRef]
- European Medicines Agency Science Medicines Health. Guideline on Good Pharmacovigilance Practices (GVP)-Module VI: Collection, Management and Submission of Reports of Suspected Adverse Reactions to Medicinal Products (Rev 2); European Medicines Agency Science Medicines Health: London, UK, 2017. [Google Scholar]
- Greenacre, M. Correspondence Analysis in Medical Research. Stat. Methods Med. Res. 1992, 1, 97–117. [Google Scholar] [CrossRef]
- Greenacre, M. Contribution Biplots. J. Comput. Graph. Stat. 2013, 22, 107–122. [Google Scholar] [CrossRef]
- Lê, S.; Josse, J.; Husson, F. FactoMineR: An R Package for Multivariate Analysis. J. Stat. Softw. 2008, 25, 1–18. [Google Scholar] [CrossRef]
- Valero-Mora, P.M. Ggplot2: Elegant Graphics for Data Analysis. J. Stat. Softw. Book Rev. 2010, 35, 1–3. [Google Scholar] [CrossRef]
- Bendixen, M.T. A Practical Guide to the Use of Correspondence Analysis in Marketing Research. Mark. Bull. 1996, 14, 16–38. [Google Scholar]
- World Health Organization. World Health Organization World Health Organization Model List of Essential Medicines, 21st List; World Health Organization: Geneva, Switzerland, 2019. [Google Scholar]
- Napolitano, M.; Valore, L.; Malato, A.; Saccullo, G.; Vetro, C.; Mitra, M.E.; Fabbiano, F.; Mannina, D.; Casuccio, A.; Lucchesi, A.; et al. Management of Venous Thromboembolism in Patients with Acute Leukemia at High Bleeding Risk: A Multi-Center Study. Leuk. Lymphoma 2016, 57, 116–119. [Google Scholar] [CrossRef]
- Chugh, S.S.; Havmoeller, R.; Narayanan, K.; Singh, D.; Rienstra, M.; Benjamin, E.J.; Gillum, R.F.; Kim, Y.-H.; McAnulty, J.H.; Zheng, Z.-J.; et al. Worldwide Epidemiology of Atrial Fibrillation. Circulation 2014, 129, 837–847. [Google Scholar] [CrossRef]
- Steinberg, B.A.; Gao, H.; Shrader, P.; Pieper, K.; Thomas, L.; Camm, A.J.; Ezekowitz, M.D.; Fonarow, G.C.; Gersh, B.J.; Goldhaber, S.; et al. International Trends in Clinical Characteristics and Oral Anticoagulation Treatment for Patients with Atrial Fibrillation: Results from the GARFIELD-AF, ORBIT-AF I, and ORBIT-AF II Registries. Am. Heart J. 2017, 194, 132–140. [Google Scholar] [CrossRef]
- Eriksson, B.I.; Quinlan, D.J.; Eikelboom, J.W. Novel Oral Factor Xa and Thrombin Inhibitors in the Management of Thromboembolism. Annu. Rev. Med. 2011, 62, 41–57. [Google Scholar] [CrossRef]
- Ibáñez, L.; Sabaté, M.; Vidal, X.; Ballarin, E.; Rottenkolber, M.; Schmiedl, S.; Heeke, A.; Huerta, C.; Martin Merino, E.; Montero, D.; et al. Incidence of Direct Oral Anticoagulant Use in Patients with Nonvalvular Atrial Fibrillation and Characteristics of Users in 6 European Countries (2008–2015): A Cross-National Drug Utilization Study. Br. J. Clin. Pharmacol. 2019, 85, 2524–2539. [Google Scholar] [CrossRef]
- Graham, D.J.; Baro, E.; Zhang, R.; Liao, J.; Wernecke, M.; Reichman, M.E.; Hu, M.; Illoh, O.; Wei, Y.; Goulding, M.R.; et al. Comparative Stroke, Bleeding, and Mortality Risks in Older Medicare Patients Treated with Oral Anticoagulants for Nonvalvular Atrial Fibrillation. Am. J. Med. 2019, 132, 596–604.e11. [Google Scholar] [CrossRef]
- Duminuco, A.; Au Yeung, J.; Vaghela, R.; Virdee, S.; Woodley, C.; Asirvatham, S.; Curto-Garcia, N.; Sriskandarajah, P.; O’Sullivan, J.; de Lavallade, H.; et al. Development of a Natural Language Processing Pipeline for Assessment of Cardiovascular Risk in Myeloproliferative Neoplasms. Hemasphere 2024, 8, e143. [Google Scholar] [CrossRef]
- Duminuco, A.; Vaghela, R.; Virdee, S.; Woodley, C.; Asirvatham, S.; Curto-Garcia, N.; Sriskandarajah, P.; O’Sullivan, J.; de Lavallade, H.; Radia, D.; et al. QRISK3 Score Is Predictive of Thrombotic Risk in Patients with Myeloproliferative Neoplasms. Leukemia 2025, 39, 2384–2390. [Google Scholar] [CrossRef]
- Duminuco, A.; Harrington, P.; Del Fabro, V.; Scalisi, E.; Santuccio, G.; Santisi, A.; Sbriglione, A.; Garibaldi, B.; Markovic, U.; Di Raimondo, F.; et al. Old Therapy, New Questions: Rethinking Phlebotomy in a Pharmacologic Landscape. Pharmaceuticals 2025, 18, 1212. [Google Scholar] [CrossRef]
- Duminuco, A.; Nardo, A.; Giuffrida, G.; Leotta, S.; Markovic, U.; Giallongo, C.; Tibullo, D.; Romano, A.; Di Raimondo, F.; Palumbo, G.A. Myelofibrosis and Survival Prognostic Models: A Journey between Past and Future. J. Clin. Med. 2023, 12, 2188. [Google Scholar] [CrossRef]
- Duminuco, A.; Del Fabro, V.; De Luca, P.; Leotta, D.; Limoli, M.C.; Longo, E.; Nardo, A.; Santuccio, G.; Petronaci, A.; Stanzione, G.; et al. Emergencies in Hematology: Why, When and How I Treat? J. Clin. Med. 2024, 13, 7572. [Google Scholar] [CrossRef]
- Keeling, D.; Mackie, I.; Moore, G.W.; Greer, I.A.; Greaves, M.; British Committee for Standards in Haematology. Guidelines on the Investigation and Management of Antiphospholipid Syndrome. Br. J. Haematol. 2012, 157, 47–58. [Google Scholar] [CrossRef]
- Vahanian, A.; Beyersdorf, F.; Praz, F.; Milojevic, M.; Baldus, S.; Bauersachs, J.; Capodanno, D.; Conradi, L.; De Bonis, M.; De Paulis, R.; et al. 2021 ESC/EACTS Guidelines for the Management of Valvular Heart Disease: Developed by the Task Force for the Management of Valvular Heart Disease of the European Society of Cardiology (ESC) and the European Association for Cardio-Thoracic Surgery (EACTS). Eur. Heart J. 2022, 43, 561–632. [Google Scholar] [CrossRef]
- Duminuco, A.; Torre, E.; Palumbo, G.A.; Harrison, C. A Journey Through JAK Inhibitors for the Treatment of Myeloproliferative Diseases. Curr. Hematol. Malig. Rep. 2023, 18, 176–189. [Google Scholar] [CrossRef]
- Miller, C.S.; Pappas, S.C. Risk of Gastrointestinal Bleeding in Patients Taking Non-Vitamin K Antagonist Oral Anticoagulants: A Systematic Review and Meta-Analysis. Clin. Gastroenterol. Hepatol. 2017, 15, 1674–1683.e3. [Google Scholar] [CrossRef]
- Deitelzweig, S.; Tang, C.-H.; Cheng, R.W.-Y.; Wang, M.Y.-H.; Hung, K.-Y. Risk of Major Bleeding in Patients with Non-Valvular Atrial Fibrillation Treated with Oral Anticoagulants: A Systematic Review of Real-World Observational Studies. Curr. Med. Res. Opin. 2017, 33, 1583–1594. [Google Scholar] [CrossRef]
- Generalova, D.; Gallini, A.; Montastruc, F.; Coley, N.; Montastruc, J.; Vellas, B.; Andrieu, S.; Gardette, V. A Systematic Review of Clinicians’ Views and Experiences of Direct-Acting Oral Anticoagulants in the Management of Nonvalvular Atrial Fibrillation. Br. J. Clin. Pharmacol. 2018, 84, 2692–2703. [Google Scholar] [CrossRef]
- Burr, N.; Lummis, K.; Sood, R.; Kane, J.S.; Corp, A.; Subramanian, V. Risk of Gastrointestinal Bleeding with Direct Oral Anticoagulants: A Systematic Review and Network Meta-Analysis. Lancet Gastroenterol. Hepatol. 2017, 2, 85–93. [Google Scholar] [CrossRef]
- Italian Medicines Agency. National Report on Medicines Use in Italy; Italian Medicines Agency: Roma, Italy, 2020.
- Osservatorio Nazionale sull’impiego dei Medicinali. L’uso Dei Farmaci in Italia. Rapporto Nazionale. Anno 2019; Osservatorio Nazionale sull’impiego dei Medicinali: Roma, Italy, 2020.
- Komen, J.; Forslund, T.; Hjemdahl, P.; Andersen, M.; Wettermark, B. Effects of Policy Interventions on the Introduction of Novel Oral Anticoagulants in Stockholm: An Interrupted Time Series Analysis. Br. J. Clin. Pharmacol. 2017, 83, 642–652. [Google Scholar] [CrossRef] [PubMed]
- Staerk, L.; Fosbøl, E.L.; Gadsbøll, K.; Sindet-Pedersen, C.; Pallisgaard, J.L.; Lamberts, M.; Lip, G.Y.H.; Torp-Pedersen, C.; Gislason, G.H.; Olesen, J.B. Non-Vitamin K Antagonist Oral Anticoagulation Usage According to Age among Patients with Atrial Fibrillation: Temporal Trends 2011–2015 in Denmark. Sci. Rep. 2016, 6, 31477. [Google Scholar] [CrossRef]
- Lamberts, M.; Staerk, L.; Olesen, J.B.; Fosbøl, E.L.; Hansen, M.L.; Harboe, L.; Lefevre, C.; Evans, D.; Gislason, G.H. Major Bleeding Complications and Persistence with Oral Anticoagulation in Non-Valvular Atrial Fibrillation: Contemporary Findings in Real-Life Danish Patients. J. Am. Heart Assoc. 2025, 6, e004517. [Google Scholar] [CrossRef]
- Tepper, P.G.; Mardekian, J.; Masseria, C.; Phatak, H.; Kamble, S.; Abdulsattar, Y.; Petkun, W.; Lip, G.Y.H. Real-World Comparison of Bleeding Risks among Non-Valvular Atrial Fibrillation Patients Prescribed Apixaban, Dabigatran, or Rivaroxaban. PLoS ONE 2018, 13, e0205989. [Google Scholar] [CrossRef]
- Olimpieri, P.P.; Di Lenarda, A.; Mammarella, F.; Gozzo, L.; Cirilli, A.; Cuomo, M.; Gulizia, M.M.; Colivicchi, F.; Murri, G.; Gabrielli, D.; et al. Non-Vitamin K Antagonist Oral Anticoagulation Agents in Patients with Atrial Fibrillation: Insights from Italian Monitoring Registries. IJC Heart Vasc. 2020, 26, 100465. [Google Scholar] [CrossRef]
- Schneeweiss, S.; Gagne, J.J.; Patrick, A.R.; Choudhry, N.K.; Avorn, J. Comparative Efficacy and Safety of New Oral Anticoagulants in Patients with Atrial Fibrillation. Circ. Cardiovasc. Qual. Outcomes 2012, 5, 480–486. [Google Scholar] [CrossRef] [PubMed]
- Andersson, N.W.; Svanström, H.; Lund, M.; Pasternak, B.; Melbye, M. Comparative Effectiveness and Safety of Apixaban, Dabigatran, and Rivaroxaban in Patients with Non-Valvular Atrial Fibrillation. Int. J. Cardiol. 2018, 268, 113–119. [Google Scholar] [CrossRef]
- Gozzo, L.; Di Lenarda, A.; Mammarella, F.; Olimpieri, P.P.; Cirilli, A.; Cuomo, M.; Gulizia, M.M.; Colivicchi, F.; Murri, G.; Kunutsor, S.K.; et al. Starting Dose and Dose Adjustment of Non-Vitamin K Antagonist Oral Anticoagulation Agents in a Nationwide Cohort of Patients with Atrial Fibrillation. Sci. Rep. 2021, 11, 20689. [Google Scholar] [CrossRef] [PubMed]
- Breccia, M.; Celant, S.; Olimpieri, P.P.; Olimpieri, O.M.; Pane, F.; Iurlo, A.; Cirilli, A.; Colatrella, A.; Gozzo, L.; Pugliese, S.; et al. Mortality Rate in Patients with Chronic Myeloid Leukemia in Chronic Phase Treated with Frontline Second Generation Tyrosine Kinase Inhibitors: A Retrospective Analysis by the Monitoring Registries of the Italian Medicines Agency (AIFA). Ann. Hematol. 2021, 100, 481–485. [Google Scholar] [CrossRef]
- Davies, E.A.; O’Mahony, M.S. Adverse Drug Reactions in Special Populations–the Elderly. Br. J. Clin. Pharmacol. 2015, 80, 796–807. [Google Scholar] [CrossRef]
- Marconi, G.; Petracci, E.; Lanzarone, G.; Vetro, C.; Martelli, M.P.; Papayannidis, C.; Audisio, E.; Minetto, P.; Riva, C.; Guolo, F.; et al. Impact of Pre-Treatment Comorbidity Burden on Survival in Patients Receiving Venetoclax Plus Hypomethylating Agents. Am. J. Hematol. 2025, 100, 708–711. [Google Scholar] [CrossRef]
- Mitchell, A.; Snowball, J.; Welsh, T.J.; Watson, M.C.; McGrogan, A. Prescribing of Direct Oral Anticoagulants and Warfarin to Older People with Atrial Fibrillation in UK General Practice: A Cohort Study. BMC Med. 2021, 19, 189. [Google Scholar] [CrossRef]
- Formica, D.; Sultana, J.; Cutroneo, P.M.; Lucchesi, S.; Angelica, R.; Crisafulli, S.; Ingrasciotta, Y.; Salvo, F.; Spina, E.; Trifirò, G. The Economic Burden of Preventable Adverse Drug Reactions: A Systematic Review of Observational Studies. Expert. Opin. Drug Saf. 2018, 17, 681–695. [Google Scholar] [CrossRef]
- DTB Team. EMA reviews bleeding risk with direct oral anticoagulants. Drug Ther. Bull. 2019, 57, 88. [Google Scholar] [CrossRef]
- Steffel, J.; Verhamme, P.; Potpara, T.S.; Albaladejo, P.; Antz, M.; Desteghe, L.; Haeusler, K.G.; Oldgren, J.; Reinecke, H.; Roldan-Schilling, V.; et al. The 2018 European Heart Rhythm Association Practical Guide on the Use of Non-Vitamin K Antagonist Oral Anticoagulants in Patients with Atrial Fibrillation. Eur. Heart J. 2018, 39, 1330–1393. [Google Scholar] [CrossRef]
- Polymeris, A.A.; Albert, V.; Hersberger, K.E.; Engelter, S.T.; Schaedelin, S.; Arnet, I.; Lyrer, P.A. Protocol for MAAESTRO: Electronic Monitoring and Improvement of Adherence to Direct Oral Anticoagulant Treatment—A Randomized Crossover Study of an Educational and Reminder-Based Intervention in Ischemic STROke Patients Under Polypharmacy. Front. Neurol. 2018, 9, 1134. [Google Scholar] [CrossRef]
- Yao, X.; Abraham, N.S.; Alexander, G.C.; Crown, W.; Montori, V.M.; Sangaralingham, L.R.; Gersh, B.J.; Shah, N.D.; Noseworthy, P.A. Effect of Adherence to Oral Anticoagulants on Risk of Stroke and Major Bleeding Among Patients with Atrial Fibrillation. J. Am. Heart Assoc. 2025, 5, e003074. [Google Scholar] [CrossRef]
- Grymonprez, M.; Capiau, A.; Steurbaut, S.; Mehuys, E.; Boussery, K.; De Backer, T.L.; Lahousse, L. Adherence and Persistence to Oral Anticoagulants in Patients with Atrial Fibrillation: A Belgian Nationwide Cohort Study. Front. Cardiovasc. Med. 2022, 9, 994085. [Google Scholar] [CrossRef]
- Damanti, S.; Braham, S.; Pasina, L. Anticoagulation in Frail Older People. J. Geriatr. Cardiol. 2019, 16, 844–846. [Google Scholar]
- Steffel, J.; Collins, R.; Antz, M.; Cornu, P.; Desteghe, L.; Haeusler, K.G.; Oldgren, J.; Reinecke, H.; Roldan-Schilling, V.; Rowell, N.; et al. 2021 European Heart Rhythm Association Practical Guide on the Use of Non-Vitamin K Antagonist Oral Anticoagulants in Patients with Atrial Fibrillation. EP Eur. 2021, 23, 1612–1676. [Google Scholar] [CrossRef]
- Caldeira, D.; Rodrigues, R.; Abreu, D.; Anes, A.M.; Rosa, M.M.; Ferreira, J.J. Suspected Adverse Drug Reaction Reports with Oral Anticoagulants in Portugal: A Pharmacovigilance Study. Expert. Opin. Drug Saf. 2018, 17, 339–345. [Google Scholar] [CrossRef] [PubMed]
- Bitar, Y.d.S.L.; Neto, M.G.; Filho, J.A.L.; Pereira, L.V.; Travassos, K.S.O.; Akrami, K.M.; Roever, L.; Duraes, A.R. Comparison of the New Oral Anticoagulants and Warfarin in Patients with Atrial Fibrillation and Valvular Heart Disease: Systematic Review and Meta-Analysis. Drugs R&D 2019, 19, 117–126. [Google Scholar] [CrossRef] [PubMed]
- Abraham, N.S.; Singh, S.; Alexander, G.C.; Heien, H.; Haas, L.R.; Crown, W.; Shah, N.D. Comparative Risk of Gastrointestinal Bleeding with Dabigatran, Rivaroxaban, and Warfarin: Population Based Cohort Study. BMJ Br. Med. J. 2015, 350, h1857. [Google Scholar] [CrossRef]
- Sharma, M.; Cornelius, V.R.; Patel, J.P.; Davies, J.G.; Molokhia, M. Efficacy and Harms of Direct Oral Anticoagulants in the Elderly for Stroke Prevention in Atrial Fibrillation and Secondary Prevention of Venous Thromboembolism. Circulation 2015, 132, 194–204. [Google Scholar] [CrossRef] [PubMed]
- Larsen, T.B.; Skjøth, F.; Nielsen, P.B.; Kjældgaard, J.N.; Lip, G.Y.H. Comparative Effectiveness and Safety of Non-Vitamin K Antagonist Oral Anticoagulants and Warfarin in Patients with Atrial Fibrillation: Propensity Weighted Nationwide Cohort Study. BMJ 2016, 353, i3189. [Google Scholar] [CrossRef]
- Halvorsen, S.; Ghanima, W.; Fride Tvete, I.; Hoxmark, C.; Falck, P.; Solli, O.; Jonasson, C. A Nationwide Registry Study to Compare Bleeding Rates in Patients with Atrial Fibrillation Being Prescribed Oral Anticoagulants. Eur. Heart J. Cardiovasc. Pharmacother. 2017, 3, 28–36. [Google Scholar] [CrossRef]
- Shimada, K.; Hasegawa, S.; Nakao, S.; Mukai, R.; Sasaoka, S.; Ueda, N.; Kato, Y.; Abe, J.; Mori, T.; Yoshimura, T.; et al. Adverse Reaction Profiles of Hemorrhagic Adverse Reactions Caused by Direct Oral Anticoagulants Analyzed Using the Food and Drug Administration Adverse Event Reporting System (FAERS) Database and the Japanese Adverse Drug Event Report (JADER) Database. Int. J. Med. Sci. 2019, 16, 1295–1303. [Google Scholar] [CrossRef]
- Pardo-Cabello, A.J.; Manzano-Gamero, V.; Luna, J.d.D. Comparative Study of Adverse Drug Reactions among Direct-Acting Oral Anticoagulants and Vitamin K Antagonists Using the EudraVigilance Database. Naunyn Schmiedebergs Arch. Pharmacol. 2021, 394, 1477–1485. [Google Scholar] [CrossRef] [PubMed]
- Moudallel, S.; van den Eynde, C.; Malý, J.; Rydant, S.; Steurbaut, S. Retrospective Analysis of Gastrointestinal Bleedings with Direct Oral Anticoagulants Reported to EudraVigilance. Naunyn Schmiedebergs Arch. Pharmacol. 2023, 396, 1143–1153. [Google Scholar] [CrossRef] [PubMed]
- Romanelli, R.J.; Nolting, L.; Dolginsky, M.; Kym, E.; Orrico, K.B. Dabigatran Versus Warfarin for Atrial Fibrillation in Real-World Clinical Practice. Circ. Cardiovasc. Qual. Outcomes 2016, 9, 126–134. [Google Scholar] [CrossRef]
- Dunn, A. In Older Patients with AF and Frailty, Switching from VKA to NOAC Therapy Increased a Composite of Major or CRNM Bleeding at 12 Mo. Ann. Intern. Med. 2024, 177, JC57. [Google Scholar] [CrossRef]
- Monaco, L.; Biagi, C.; Conti, V.; Melis, M.; Donati, M.; Venegoni, M.; Vaccheri, A.; Motola, D. Safety Profile of the Direct Oral Anticoagulants: An Analysis of the WHO Database of Adverse Drug Reactions. Br. J. Clin. Pharmacol. 2017, 83, 1532–1543. [Google Scholar] [CrossRef]
- Amaraneni, A.; Chippa, V.; Goldin, J.; Rettew, A.C. Anticoagulation Safety; StatPearls Publishing: Treasure Island, FL, USA, 2024. [Google Scholar]
- Saviano, A.; Brigida, M.; Petruzziello, C.; Candelli, M.; Gabrielli, M.; Ojetti, V. Gastrointestinal Bleeding Due to NOACs Use: Exploring the Molecular Mechanisms. Int. J. Mol. Sci. 2022, 23, 13955. [Google Scholar] [CrossRef]
- Holthuis, E.; Smits, E.; Spentzouris, G.; Beier, D.; Enders, D.; Gini, R.; Bartolini, C.; Mazzaglia, G.; Penning-van Beest, F.; Herings, R. Increased Risk of Stroke Due to Non-Adherence and Non-Persistence with Direct Oral Anticoagulants (DOACs): Real-World Analyses Using a Nested Case–Control Study from The Netherlands, Italy and Germany. Drugs Real. World Outcomes 2022, 9, 597–607. [Google Scholar] [CrossRef]
- He, Y.; Wong, I.C.K.; Li, X.; Anand, S.; Leung, W.K.; Siu, C.W.; Chan, E.W. The Association between Non-Vitamin K Antagonist Oral Anticoagulants and Gastrointestinal Bleeding: A Meta-Analysis of Observational Studies. Br. J. Clin. Pharmacol. 2016, 82, 285–300. [Google Scholar] [CrossRef]
- Douketis, J.D.; Spyropoulos, A.C.; Duncan, J.; Carrier, M.; Le Gal, G.; Tafur, A.J.; Vanassche, T.; Verhamme, P.; Shivakumar, S.; Gross, P.L.; et al. Perioperative Management of Patients with Atrial Fibrillation Receiving a Direct Oral Anticoagulant. JAMA Intern. Med. 2019, 179, 1469–1478. [Google Scholar] [CrossRef]
- Levine, M.; Pizon, A.F.; Padilla-Jones, A.; Ruha, A.-M. Warfarin Overdose: A 25-Year Experience. J. Med. Toxicol. 2014, 10, 156–164. [Google Scholar] [CrossRef]
- Isbister, G.K.; Hackett, L.P.; Whyte, I.M. Intentional Warfarin Overdose. Ther. Drug Monit. 2003, 25, 715–722. [Google Scholar] [CrossRef]
- Michal, M.; Prochaska, J.H.; Ullmann, A.; Keller, K.; Gobel, S.; Coldewey, M.; Münzel, T.; Wiltink, J.; Beutel, M.E.; Wild, P.S. Relevance of Depression for Anticoagulation Management in a Routine Medical Care Setting: Results from the ThrombEVAL Study Program. J. Thromb. Haemost. 2014, 12, 2024–2033. [Google Scholar] [CrossRef]
- Guo, G.; Song, Y.; Chang, S.; Zhang, J. Signal Mining for Non-Bleeding Adverse Event in Novel Oral Anticoagulants: A Pharmacovigilance Study Based on FAERS Database. Naunyn Schmiedebergs Arch. Pharmacol. 2025. [Google Scholar] [CrossRef]
- Middeldorp, S. How I Treat Pregnancy-Related Venous Thromboembolism. Blood 2011, 118, 5394–5400. [Google Scholar] [CrossRef]
- James, A.H. Prevention and Management of Venous Thromboembolism in Pregnancy. Am. J. Med. 2007, 120, S26–S34. [Google Scholar] [CrossRef]
- Alshawabkeh, L.; Economy, K.E.; Valente, A.M. Anticoagulation During Pregnancy: Evolving Strategies with a Focus on Mechanical Valves. JACC 2016, 68, 16. [Google Scholar] [CrossRef]
- Bates, S.M.; Rajasekhar, A.; Middeldorp, S.; McLintock, C.; Rodger, M.A.; James, A.H.; Vazquez, S.R.; Greer, I.A.; Riva, J.J.; Bhatt, M.; et al. American Society of Hematology 2018 Guidelines for Management of Venous Thromboembolism: Venous Thromboembolism in the Context of Pregnancy. Blood Adv. 2018, 2, 3317–3359. [Google Scholar] [CrossRef]
- Bates, S.M.; Middeldorp, S.; Rodger, M.; James, A.H.; Greer, I. Guidance for the Treatment and Prevention of Obstetric-Associated Venous Thromboembolism. J. Thromb. Thrombolysis 2016, 41, 92–128. [Google Scholar] [CrossRef]
- Lameijer, H.; Aalberts, J.J.J.; van Veldhuisen, D.J.; Meijer, K.; Pieper, P.G. Efficacy and Safety of Direct Oral Anticoagulants during Pregnancy; a Systematic Literature Review. Thromb. Res. 2018, 169, 123–127. [Google Scholar] [CrossRef]
- Beyer-Westendorf, J.; Michalski, F.; Tittl, L.; Middeldorp, S.; Cohen, H.; Abdul Kadir, R.; Jayakody Arachchillage, D.; Arya, R.; Ay, C.; Marten, S. Pregnancy Outcome in Patients Exposed to Direct Oral Anticoagulants-and the Challenge of Event Reporting. Thromb. Haemost. 2017, 117, 1956–1963. [Google Scholar] [CrossRef]
- Ginsberg, J.S.; Bates, S.M. Management of Venous Thromboembolism during Pregnancy. J. Thromb. Haemost. 2003, 1, 1435–1442. [Google Scholar] [CrossRef] [PubMed]
- Caterina, P.; Christian, L.; Serafina, C.; Giuseppina, M.; Sabrina, S.; Lucrezia, B.; Rosaria, M.L.; Orietta, S.; Antonio, S.; Francesca, S.; et al. Limitations and Obstacles of the Spontaneous Adverse Drugs Reactions Reporting: Two “Challenging” Case Reports. J. Pharmacol. Pharmacother. 2013, 4, S66–S72. [Google Scholar] [CrossRef]
- Gozzo, L. Pharmacovigilance and Appropriate Drug Use. Healthcare 2024, 12, 669. [Google Scholar] [CrossRef]
- Carmela, M.; Stefania, E.; Adele E, D.F.; Annalisa, C.; Emilio, R.; Sarro, D. Giovambattista Pharmacovigilance in Italy: An Overview. J. Pharmacol. Pharmacother. 2013, 4, S20–S28. [Google Scholar] [CrossRef]
- Vetro, C.; Bonanno, G.; Giulietti, G.; Romano, A.; Conticello, C.; Chiarenza, A.; Spina, P.; Coppolino, F.; Cunsolo, R.; Di Raimondo, F. Rare Gastrointestinal Lymphomas: The Endoscopic Investigation. World J. Gastrointest. Endosc. 2015, 7, 928–949. [Google Scholar] [CrossRef]
- Vetro, C.; Romano, A.; Chiarenza, A.; Conticello, C.; Donnarumma, D.; Gorgone, A.; Coppolino, F.; Palumbo, G.A.; Bonanno, G.; Di Raimondo, F. Endoscopic Ultrasonography in Gastric Lymphomas: Appraisal on Reliability in Long-Term Follow-Up. Hematol. Oncol. 2012, 30, 180–185. [Google Scholar] [CrossRef]
- Vetro, C.; Chiarenza, A.; Romano, A.; Amico, I.; Calafiore, V.; Di Raimondo, C.; Coppolino, F.; Di Raimondo, F. Prognostic Assessment and Treatment of Primary Gastric Lymphomas: How Endoscopic Ultrasonography Can Help in Tailoring Patient Management. Clin. Lymphoma Myeloma Leuk. 2014, 14, 179–185. [Google Scholar] [CrossRef]
- Nishimoto, Y.; Yamashita, Y.; Morimoto, T.; Chatani, R.; Kaneda, K.; Ikeda, N.; Kobayashi, Y.; Ikeda, S.; Kim, K.; Inoko, M.; et al. Direct Oral Anticoagulant-Associated Bleeding Complications in Patients with Gastrointestinal Cancer and Venous Thromboembolism. Eur. J. Intern. Med. 2024, 127, 74–83. [Google Scholar] [CrossRef]
- Muñoz Martín, A.J.; Soto Alsar, J.; Ortega Morán, L. Up and down in Gastrointestinal Cancer and Bleeding with Direct Oral Anticoagulants. Eur. J. Intern. Med. 2024, 127, 41–42. [Google Scholar] [CrossRef]
- Cheung, K.S.; Leung, W.K. Gastrointestinal Bleeding in Patients on Novel Oral Anticoagulants: Risk, Prevention and Management. World J. Gastroenterol. 2017, 23, 1954–1963. [Google Scholar] [CrossRef]
- Sportiello, L.; Rafaniello, C.; Scavone, C.; Vitale, C.; Rossi, F.; Capuano, A. The Importance of Pharmacovigilance for the Drug Safety: Focus on Cardiovascular Profile of Incretin-Based Therapy. Int. J. Cardiol. 2016, 202, 731–735. [Google Scholar] [CrossRef] [PubMed]
- Rafaniello, C.; Ferrajolo, C.; Sullo, M.G.; Sessa, M.; Sportiello, L.; Balzano, A.; Manguso, F.; Aiezza, M.L.; Rossi, F.; Scarpignato, C.; et al. Risk of Gastrointestinal Complications Associated to NSAIDs, Low-Dose Aspirin and Their Combinations: Results of a Pharmacovigilance Reporting System. Pharmacol. Res. 2016, 104, 108–114. [Google Scholar] [CrossRef]
- Palumbo, F.E.; Duminuco, A.; Longo, L.; Vitale, D.C.; Maugeri, C.; Brancati, S.; Parisi, M.S.; Palumbo, G.A.; Romano, G.L.; Drago, F.; et al. Length of Washout Period After Remission Does Not Influence Relapse Risk in Patients with Acute Myeloid Leukemia Treated with Hypomethylating Agents Combined with Venetoclax. J. Clin. Med. 2025, 14, 5007. [Google Scholar] [CrossRef] [PubMed]
- Longo, E.; Palumbo, F.E.; Duminuco, A.; Longo, L.; Vitale, D.C.; Brancati, S.; Maugeri, C.; Parisi, M.S.; Palumbo, G.A.; Romano, G.L.; et al. Does the Timing of Response Impact the Outcome of Relapsed/Refractory Acute Myeloid Leukemia Treated with Venetoclax in Combination with Hypomethylating Agents? A Proof of Concept from a Monocentric Observational Study. J. Clin. Med. 2025, 14, 5586. [Google Scholar] [CrossRef]
- Palumbo, F.E.; Vetro, C.; Calafiore, V.; Duminuco, A.; Maugeri, C.; Parisi, M.; Palumbo, G.A.; Gozzo, L.; Longo, L.; Vitale, D.C.; et al. Extramedullary Acute Myeloid Leukemia: Evaluating Azacitidine—Venetoclax Combination Outcomes and the Role of Molecular Genetics and Bone Marrow Involvement. Eur. J. Haematol. 2025, 115, 505–509. [Google Scholar] [CrossRef]
- Gozzo, L.; Leotta, S.; Romano, G.L.; Vetro, C.; Duminuco, A.; Milone, G.; Cupri, A.; Palumbo, F.E.; Brancati, S.; Ruscica, R.; et al. Early Access for Medicines in ITALY: The Case of Ruxolitinib for Patients with Graft-Versus-Host Disease. J. Clin. Med. 2024, 13, 4273. [Google Scholar] [CrossRef]
- European Medicines Agency. Annual Report on EudraVigilance; 2019 EMA/906394/2019; European Medicines Agency: London, UK, 2019. [Google Scholar]




| Warfarin (%) | Acenocumarol (%) | Dabigatran (%) | Rivaroxaban (%) | Apixaban (%) | Edoxaban (%) | Total (%) | |
|---|---|---|---|---|---|---|---|
| ICSRs | 41,775 (17.1) | 8818 (3.6) | 48,341 (19.8) | 101,577 (41.6) | 39,741 (16.3) | 3897 (1.6) | 244,149 (100) |
| Gender | |||||||
| F | 19,745 (47.3) | 4194 (47.6) | 21,284 (44.0) | 45,438 (44.7) | 18,852 (47.4) | 1870 (48.0) | 111,383 (45.6) |
| M | 19,789 (47.4) | 4449 (50.5) | 23,595 (48.8) | 45,952 (45.2) | 18,692 (47.0) | 1936 (49.7) | 114,413 (46.9) |
| NS | 2241 (5.4) | 175 (2.0) | 3462 (7.2) | 10,187 (10.0) | 2197 (5.5) | 91 (2.3) | 183,53 (7.5) |
| Age | |||||||
| Over 85 | 7132 (17.1) | 1708 (19.4) | 7854 (16.2) | 10,819 (10.7) | 7369 (18.5) | 760 (19.5) | 35,642 (14.6) |
| 65–85 | 21,240 (50.8) | 5049 (57.3) | 24,389 (50.5) | 45,197 (44.5) | 18,634 (46.9) | 2040 (52.3) | 116,549 (47.7) |
| 18–64 | 8452 (20.2) | 1580 (17.9) | 5107 (10.6) | 20,184 (19.9) | 4501 (11.3) | 415 (10.6) | 40,239 (16.5) |
| <18 | 325 (0.8) | 46 (0.5) | 26 (0.1) | 108 (0.1) | 26 (0.1) | 5 (0.1) | 536 (0.2) |
| NS | 4626 (11.1) | 435 (4.9) | 10,965 (22.7) | 25,269 (24.9) | 9211 (23.2) | 677 (17.4) | 51,183 (21.0) |
| Warfarin (%) | Acenocumarol (%) | Dabigatran (%) | Rivaroxaban (%) | Apixaban (%) | Edoxaban (%) | Total (%) | |
|---|---|---|---|---|---|---|---|
| ADRs | 81,100 (18.8) | 17,294 (4.0) | 87,140 (20.2) | 172,624 (40.0) | 67,104 (15.6) | 6092 (1.4) | 431,354 (100.0) |
| Seriousness | |||||||
| Serious | 73,784 (91.0) | 15,357 (88.8) | 81,660 (93.7) | 164,925 (95.5) | 60,991 (90.9) | 4322 (70.9) | 401,039 (93.0) |
| Non-serious | 7232 (8.9) | 1918 (11.1) | 5475 (6.3) | 7699 (4.5) | 6113 (9.1) | 1770 (29.1) | 30,207 (7) |
| NS | 84 (0.1) | 19 (0.1) | 5 (0.0) | 0 (0.0) | 0 (0.0) | 0 (0.0) | 108 (0.0) |
| Outcome | |||||||
| Fatal | 6817 (8.4) | 1466 (8.5) | 10,774 (12.4) | 12,947 (6.6) | 5878 (8.8) | 368 (6.0) | 38,250 (8.9) |
| Not recovered | 5747 (7.3) | 969 (5.8) | 10,882 (13.4) | 13,382 (8.0) | 5129 (8.1) | 841 (14.3) | 36,950 (9.0) |
| Not specified | 2164 (2.8) | 584 (3.5) | 12 (0.0) | 221 (0.1) | 0 (0.0) | 0 (0.0) | 2981 (0.7) |
| Recovered | 22,603 (28.8) | 8123 (48.9) | 25,083 (30.9) | 35,182 (21.1) | 10,005 (15.8) | 1728 (29.3) | 102,724 (24.9) |
| Recovered with sequelae | 1014 (1.3) | 410 (2.5) | 1561 (1.9) | 2085 (1.2) | 945 (1.5) | 180 (3.1) | 6195 (1.5) |
| Recovering | 12,250 (15.6) | 2231 (13.4) | 3118 (3.8) | 26,037 (15.6) | 5337 (8.4) | 858 (14.6) | 49,831 (12.1) |
| Unknown | 34,752 (44.3) | 4301 (25.9) | 40,472 (49.9) | 89,991 (53.9) | 42,020 (66.2) | 2284 (38.8) | 213,820 (51.8) |
| Drug | France | Italy | Germany | UK |
|---|---|---|---|---|
| Warfarin | 19.8% | 57.2% | 0.7% | 18.8% |
| Acenocumarol | 11.6% | 7.2% | 0.2% | 0.2% |
| Dabigatran | 15.6% | 15.8% | 16.6% | 13.3% |
| Rivaroxaban | 37.7% | 10% | 49.1% | 40.4% |
| Apixaban | 15.2% | 7.6% | 28.3% | 24.7% |
| Edoxaban | 0% | 2.1% | 5.1% | 2.6% |
| Total | 100% | 100% | 100% | 100% |
| SOC | Warfarin | Acenocumarol | Dabigatran | Rivaroxaban | Apixaban | Edoxaban |
|---|---|---|---|---|---|---|
| Blood | 17.3% | 86.6% | 28.3% | −14.8% | −41.9% | 0.2% |
| Card | −25.1% | −35.9% | 54.7% | −22.9% | 30.0% | −28.2% |
| Cong | 27.7% | −49.5% | −37.9% | 40.9% | −70.2% | −72.7% |
| Ear | −13.6% | −36.6% | −27.6% | 2.2% | 51.2% | 54.9% |
| Endo | 52.3% | −12.0% | −33.8% | −7.6% | 5.2% | −21.1% |
| Eye | −3.1% | −19.8% | −31.9% | 5.9% | 34.9% | 1.9% |
| Gastr | −32.3% | −20.0% | 27.1% | 15.2% | −29.6% | −6.0% |
| Genrl | 20.5% | 24.1% | −14.1% | −11.0% | 17.3% | −18.2% |
| Hepato | −9.0% | 8.3% | −1.1% | −1.0% | 6.4% | 69.1% |
| Immun | 17.7% | −31.4% | −30.4% | −7.1% | 37.2% | 80.9% |
| Infec | −9.6% | −46.2% | 47.0% | −20.0% | 14.8% | −8.9% |
| Inj&P | 4.4% | −10.4% | −18.0% | −1.0% | 23.9% | −7.3% |
| Inv | 104.0% | 128.0% | −35.0% | −28.5% | −38.8% | −11.9% |
| Metab | 36.3% | 5.1% | 32.1% | −28.8% | −10.3% | −27.0% |
| Musc | 7.2% | −0.1% | −35.1% | 7.6% | 17.0% | 3.4% |
| Neopl | −39.9% | −62.1% | 56.2% | −24.1% | 54.3% | −10.8% |
| Nerv | −18.6% | −28.0% | 8.3% | −4.4% | 26.3% | 43.0% |
| Preg | 255.4% | 149.8% | −94.5% | −59.9% | −64.2% | −68.5% |
| Product | 40.2% | −39.7% | −9.7% | −0.3% | −17.6% | −79.8% |
| Psych | 24.3% | 8.0% | −12.8% | −14.4% | 19.8% | 27.2% |
| Renal | −18.1% | −8.4% | 11.2% | 14.5% | −27.3% | −5.2% |
| Repro | −36.2% | −56.7% | −58.2% | 67.6% | −38.1% | −21.4% |
| Resp | 7.3% | −17.4% | −16.3% | 11.2% | −12.4% | 6.7% |
| Skin | 0.1% | 11.9% | −28.3% | −3.1% | 30.4% | 122.6% |
| Surg | −32.3% | −45.6% | −41.7% | −17.8% | 156.1% | −56.2% |
| Vasc | −8.4% | −19.9% | −12.0% | 13.8% | −1.1% | −37.1% |
| SOC | Warfarin | Acenocumarol | Dabigatran | Rivaroxaban | Apixaban | Edoxaban |
|---|---|---|---|---|---|---|
| Blood | 6.4% | 77.9% | 44.8% | −24.9% | −52.3% | 8.2% |
| Card | −21.0% | −25.7% | 34.2% | −10.0% | −8.8% | −36.3% |
| Cong | 209.7% | 53.5% | −52.4% | −28.6% | −82.7% | −100.0% |
| Endo | 106.2% | 127.2% | −85.9% | 29.1% | −48.7% | −100.0% |
| Gastr | −32.4% | −15.0% | 53.9% | −2.7% | −50.5% | −30.8% |
| Genrl | −19.2% | −43.4% | −13.7% | −16.7% | 95.3% | −38.3% |
| Hepato | −14.1% | 62.3% | −3.1% | 2.7% | −10.7% | 191.1% |
| Immun | 167.3% | 89.3% | −6.0% | −60.9% | −57.2% | −100.0% |
| Infec | −27.3% | −34.7% | 39.2% | −7.4% | −18.1% | 21.2% |
| Inj&P | 69.1% | 49.1% | −25.5% | −4.7% | −31.6% | −3.1% |
| Metab | 43.2% | 70.0% | 26.6% | −33.9% | −32.3% | −100.0% |
| Musc | 74.8% | 309.1% | −64.1% | 4.4% | −40.2% | −100.0% |
| Neopl | −29.1% | −75.2% | 7.1% | −14.6% | 66.8% | 27.4% |
| Nerv | 19.4% | 20.8% | −36.9% | 19.3% | −4.1% | 40.5% |
| Preg | 386.1% | 72.1% | −89.3% | −91.1% | −100.0% | 208.8% |
| Psych | 292.4% | 25.7% | −82.6% | −45.8% | −76.6% | −100.0% |
| Renal | −31.1% | 37.2% | 48.1% | −6.4% | −45.2% | −31.3% |
| Repro | −9.1% | 35.2% | 45.5% | −6.9% | −59.3% | −100.0% |
| Resp | −26.1% | −22.6% | 2.1% | 21.7% | −20.9% | 63.2% |
| Skin | 135.1% | 97.0% | −24.6% | −40.6% | −44.4% | 76.7% |
| Vasc | −21.6% | 12.0% | 27.9% | 1.1% | −30.3% | −20.9% |
Disclaimer/Publisher’s Note: The statements, opinions and data contained in all publications are solely those of the individual author(s) and contributor(s) and not of MDPI and/or the editor(s). MDPI and/or the editor(s) disclaim responsibility for any injury to people or property resulting from any ideas, methods, instructions or products referred to in the content. |
© 2025 by the authors. Licensee MDPI, Basel, Switzerland. This article is an open access article distributed under the terms and conditions of the Creative Commons Attribution (CC BY) license (https://creativecommons.org/licenses/by/4.0/).
Share and Cite
Olimpieri, P.P.; Palumbo, F.E.; Giuffrida, G.; Milanetti, E.; Gozzo, C.; Scebba, E.L.; Romano, G.L.; Lombardo, G.E.; Duminuco, A.; Vetro, C.; et al. Vitamin K Antagonists (VKAs) and Novel Oral Anticoagulants (NOACs) Safety Comparison Based on Data from EudraVigilance Database. Hematol. Rep. 2025, 17, 54. https://doi.org/10.3390/hematolrep17050054
Olimpieri PP, Palumbo FE, Giuffrida G, Milanetti E, Gozzo C, Scebba EL, Romano GL, Lombardo GE, Duminuco A, Vetro C, et al. Vitamin K Antagonists (VKAs) and Novel Oral Anticoagulants (NOACs) Safety Comparison Based on Data from EudraVigilance Database. Hematology Reports. 2025; 17(5):54. https://doi.org/10.3390/hematolrep17050054
Chicago/Turabian StyleOlimpieri, Pier Paolo, Fanny Erika Palumbo, Gaetano Giuffrida, Edoardo Milanetti, Cecilia Gozzo, Elisa Lucia Scebba, Giovanni Luca Romano, Giovanni Enrico Lombardo, Andrea Duminuco, Calogero Vetro, and et al. 2025. "Vitamin K Antagonists (VKAs) and Novel Oral Anticoagulants (NOACs) Safety Comparison Based on Data from EudraVigilance Database" Hematology Reports 17, no. 5: 54. https://doi.org/10.3390/hematolrep17050054
APA StyleOlimpieri, P. P., Palumbo, F. E., Giuffrida, G., Milanetti, E., Gozzo, C., Scebba, E. L., Romano, G. L., Lombardo, G. E., Duminuco, A., Vetro, C., Castiglione, D. G., Palumbo, G. A., Scarso, S., Drago, F., & Gozzo, L. (2025). Vitamin K Antagonists (VKAs) and Novel Oral Anticoagulants (NOACs) Safety Comparison Based on Data from EudraVigilance Database. Hematology Reports, 17(5), 54. https://doi.org/10.3390/hematolrep17050054

