Evaluation of Purification and Disinfection Potentials of Plant-Based Biomass from Wild Sesame Plant
Abstract
1. Introduction
2. Methodology
2.1. Collection of Plant Samples and Plant Preparation
2.2. Preliminary Analysis of Water Samples
2.3. Preparation of Plant Materials
2.4. Preparation of Alum Coagulant Stock Solution
2.5. Screening of Plant Materials for Water Purification and Disinfection Potential
2.6. Bacteriological Analysis of Water
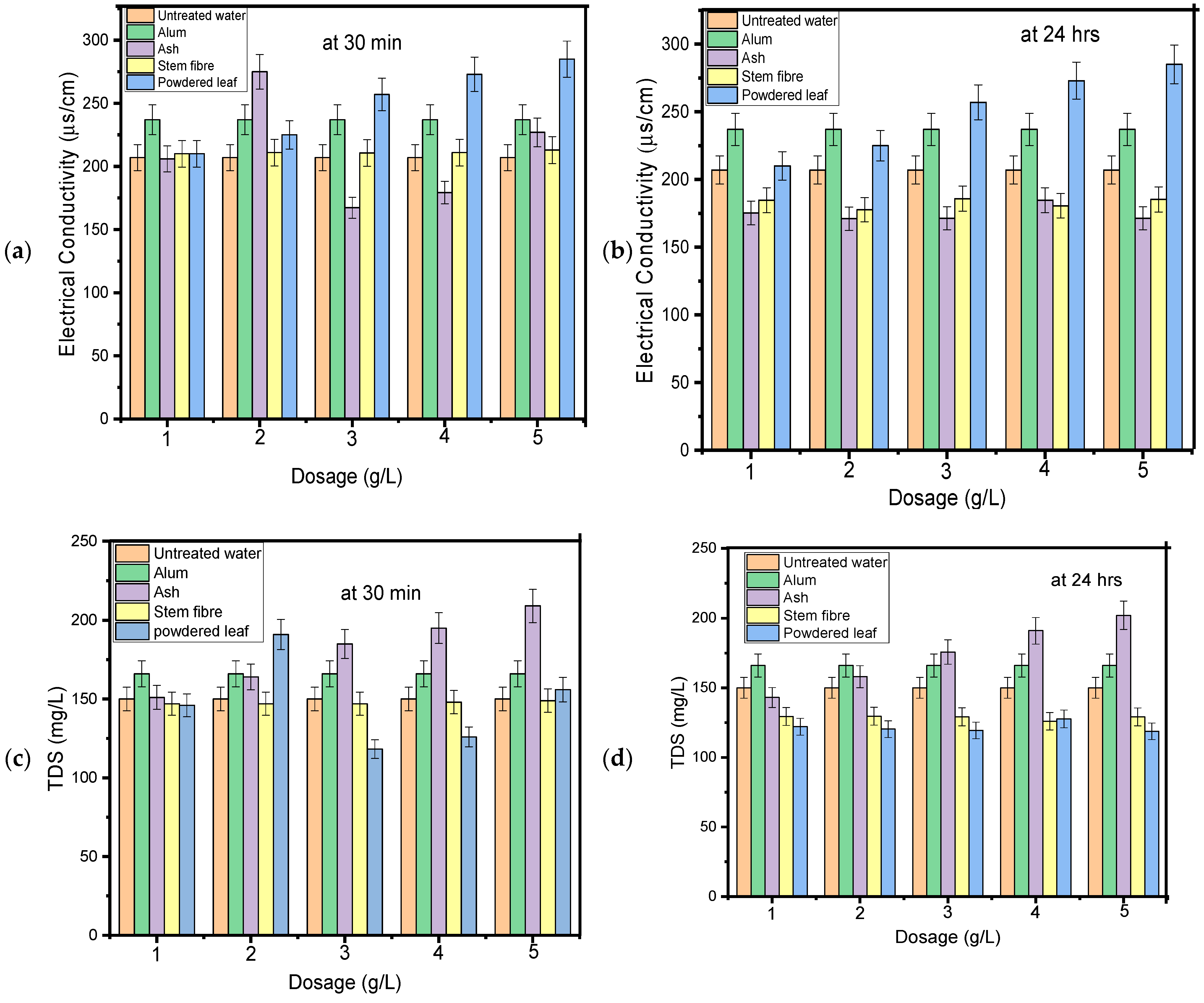
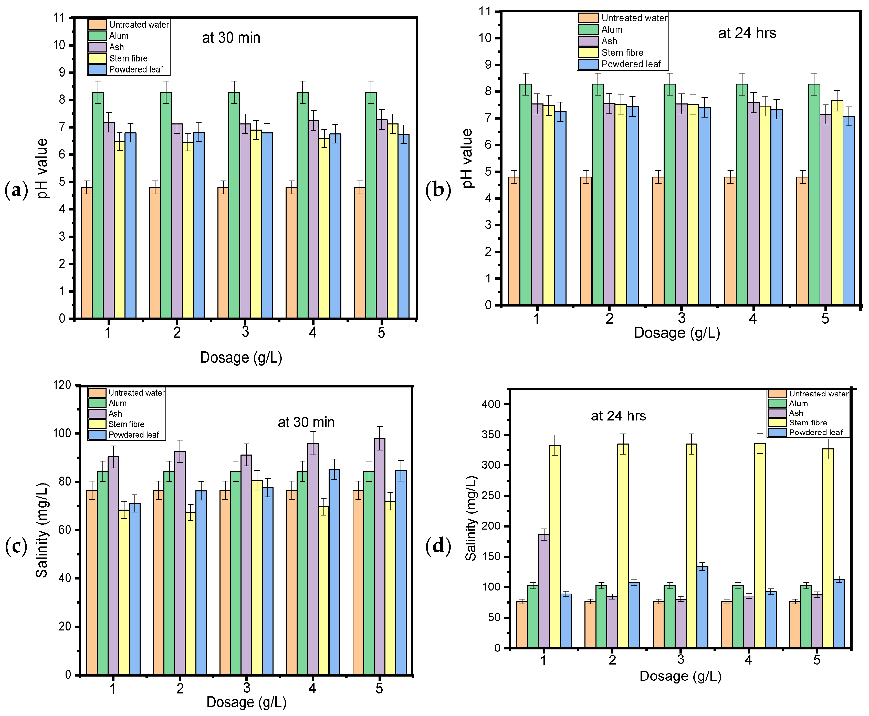
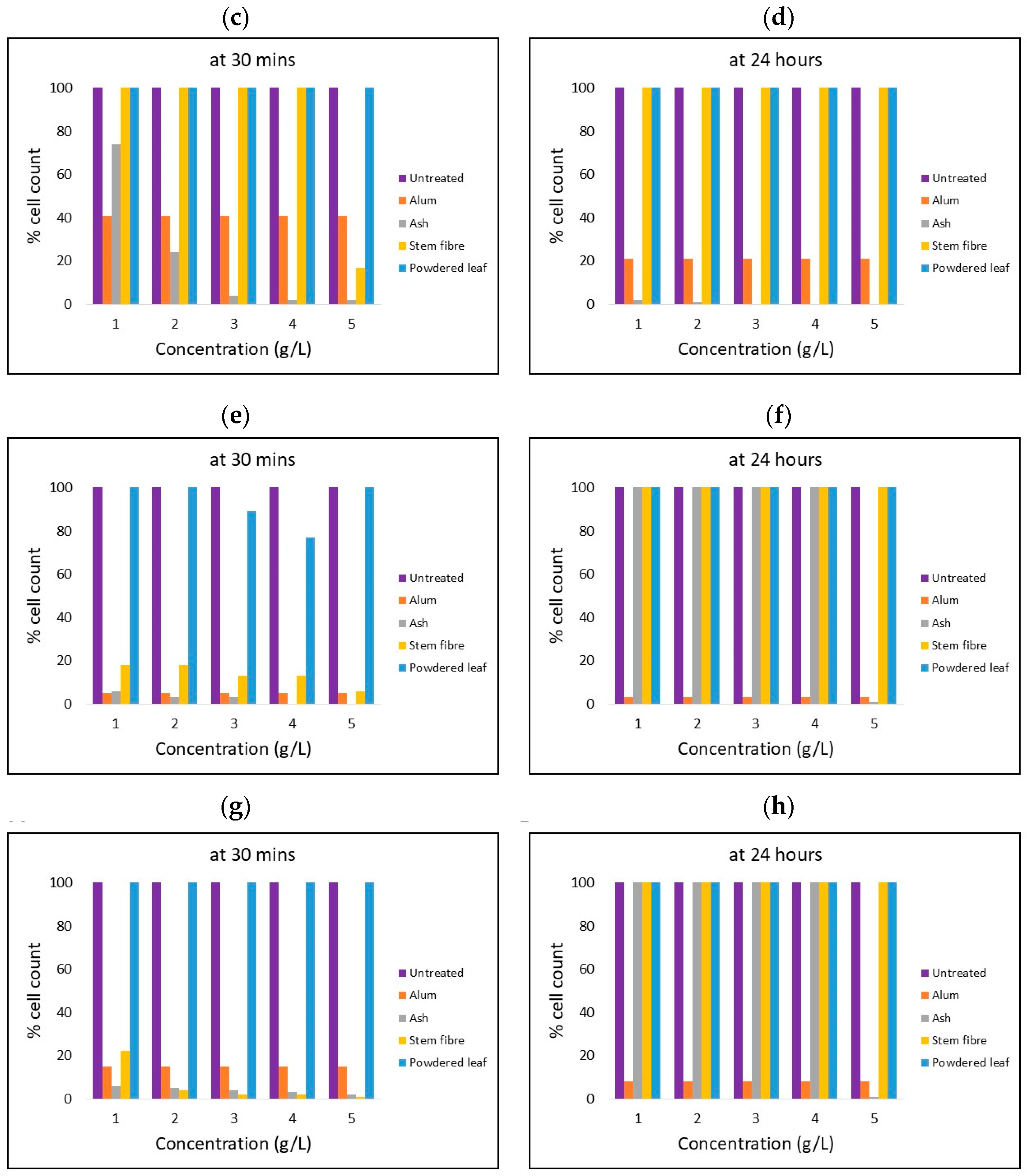
3. Results and Discussion
4. Conclusions
Author Contributions
Funding
Institutional Review Board Statement
Informed Consent Statement
Data Availability Statement
Conflicts of Interest
References
- Okesanya, O.J.; Eshun, G.; Ukoaka, B.M.; Manirambona, E.; Olabode, O.N.; Adesola, R.O.; Okon, I.I.; Jamil, S.; Singh, A.; Lucero-Prisno, D.E.; et al. Water, sanitation, and hygiene (WASH) practices in Africa: Exploring the effects on public health and sustainable development plans. Trop. Med. Health 2024, 52, 68. [Google Scholar] [CrossRef]
- Adeeyo, A.O.; Odiyo, J.; Odelade, K. Chemical Profiling and Antimicrobial Properties of Phyto-Active Extracts from Terminalia glaucescens Stem Against Water Microbial Contaminants. Open Biotechnol. J. 2018, 12, 1–15. [Google Scholar] [CrossRef]
- Edokpayi, J.N.; Enitan-Folami, A.M.; Adeeyo, A.O.; Durowoju, O.S.; Jegede, A.O.; Odiyo, J.O. Recent trends and national policies for water provision and wastewater treatment in South Africa. In Water Conservation and Wastewater Treatment in BRICS Nations; Elsevier: Amsterdam, The Netherlands, 2020; pp. 187–211. [Google Scholar] [CrossRef]
- Salehi, M. Global water shortage and potable water safety; Today’s concern and tomorrow’s crisis. Environ. Int. 2022, 158, 106936. [Google Scholar] [CrossRef] [PubMed]
- Mercy, M.; Mkangombe, K.F.; Yongji, Z. Water Availability, Quality and Treatment Methods in Malawi: A Review. Int. J. Sci. Res. Publ. 2021, 11, 542–553. [Google Scholar] [CrossRef]
- Adeeyo, A.O.; Oyetade, J.A.; Msagati, T.A.; Colile, N.; Makungo, R. Performance of a Wild Sesame (Sesamum spp.) Phytochemical Extract for Water Disinfection. Water Air Soil Pollut. 2025, 236, 108. [Google Scholar] [CrossRef]
- Bazaanah, P.; Mothapo, R.A. Sustainability of drinking water and sanitation delivery systems in rural communities of the Lepelle Nkumpi Local Municipality, South Africa. Environ. Dev. Sustain. 2023, 26, 14223–14255. [Google Scholar] [CrossRef]
- Ejiohuo, O.; Onyeaka, H.; Akinsemolu, A.; Nwabor, O.F.; Siyanbola, K.F.; Tamasiga, P.; Al-Sharify, Z.T. Ensuring water purity: Mitigating environmental risks and safeguarding human health. Water Biol. Secur. 2025, 4, 100341. [Google Scholar] [CrossRef]
- Saxena, R.; Gupta, H.; Dhiman, S.; Gupta, H.; Dhiman, S. Availability and Minimization of Nitrogenous Disinfectant By-Products in Drinking Water. In Drinking Water Disinfection By-Products; Madhav, S., Mazhar, M.A., Ahmed, S., Kumar, P., Mishra, P.K., Eds.; Springer Nature: Cham, Switzerland, 2024; pp. 239–262. [Google Scholar] [CrossRef]
- Bwapwa, J.K. Review on Main Issues Causing Deterioration of Water Quality and Water Scarcity: Case Study of South Africa. Environ. Manag. Sustain. Dev. 2018, 7, 14–34. [Google Scholar] [CrossRef]
- Adeeyo, A.O.; Odiyo, J.O.; Enitan, E.M.; Odelade, K.A.; Edokpayi, J.N. Towards indigenous ecological waste bio-disinfection: Ethanolic extract from T. glaucescens, Z. zanthoxyloides, G. latifolium as effective biocide against water microbial pollutant. Innovations and Technologies for Sustainble Management of Natural Resources. In Proceedings of the Internation Conference in Sutstainable Management of Natural Resources, Polokwane, South Africa, 15–17 October 2018; pp. 132–139. [Google Scholar]
- Krupińska, I. Aluminium Drinking Water Treatment Residuals and Their Toxic Impact on Human Health. Molecules 2020, 25, 641. [Google Scholar] [CrossRef]
- Cutipa-Díaz, Y.M.; Huanacuni-Lupaca, C.; Limache-Sandoval, E.M.; Mamani-Huanca, D.Y.; Sánchez-Esquiche, W.M.; Rubira-Otarola, D.G.; Gutiérrez-Cueva, R.N.; Sacari, E.J.S. Exposure to Aluminum in Drinking Water and the Risk of Developing Alzheimer’s Disease: A Bibliometric Analysis and Systematic Evaluation. Water 2024, 16, 2386. [Google Scholar] [CrossRef]
- Ghernaout, D.; Elboughdiri, N. Is Not It Time to Stop Using Chlorine for Treating Water? OALib J. 2020, 7, 1–11. [Google Scholar] [CrossRef]
- Lwasa, A.; Mdee, O.J.; Ntalikwa, J.W.; Sadiki, N. Performance analysis of plant-based coagulants in water purification: A review. Discov. Water 2024, 4, 108. [Google Scholar] [CrossRef]
- Adeeyo, A.; Ojelade, B.; Alabi, M.; Makungo, R. Disinfectants of plant origin: Emerging application, standardization and meta-analysis. Desalination Water Treat. 2023, 313, 125–129. [Google Scholar] [CrossRef]
- Saleem, M.; Bachmann, R.T. A contemporary review on plant-based coagulants for applications in water treatment. J. Ind. Eng. Chem. 2019, 72, 281–297. [Google Scholar] [CrossRef]
- Righetto, I.; Al-Juboori, R.A.; Kaljunen, J.U.; Mikola, A. Multipurpose treatment of landfill leachate using natural coagulants—Pretreatment for nutrient recovery and removal of heavy metals and micropollutants. J. Environ. Chem. Eng. 2021, 9, 105213. [Google Scholar] [CrossRef]
- El Bouaidi, W.; Libralato, G.; Douma, M.; Ounas, A.; Yaacoubi, A.; Lofrano, G.; Albarano, L.; Guida, M.; Loudiki, M. A review of plant-based coagulants for turbidity and cyanobacteria blooms removal. Environ. Sci. Pollut. Res. 2022, 29, 42601–42615. [Google Scholar] [CrossRef]
- Adeeyo, A.O.; Odelade, K.A.; Msagati, T.A.; Odiyo, J.O. Antimicrobial potencies of selected native African herbs against water microbes. J. King Saud Univ. Sci. 2020, 32, 2349–2357. [Google Scholar] [CrossRef]
- Karnena, M.K.; Saritha, V. Contemplations and investigations on green coagulants in treatment of surface water: A critical review. Appl. Water Sci. 2022, 12, 150. [Google Scholar] [CrossRef]
- Irfan, S.; Li, L.; Saleemi, A.S.; Nan, C.-W. Enhanced photocatalytic activity of La 3+ and Se 4+ co-doped bismuth ferrite nanostructures. J. Mater. Chem. A 2017, 5, 11143–11151. [Google Scholar] [CrossRef]
- Othmani, B.; Rasteiro, M.G.; Khadhraoui, M. Toward green technology: A review on some efficient model plant-based coagulants/flocculants for freshwater and wastewater remediation. Clean Technol. Environ. Policy 2020, 22, 1025–1040. [Google Scholar] [CrossRef]
- Seghosime, A.; Awudza, J.A.M.; Buamah, R.; Ebeigbe, A.B.; Kwarteng, S.O. Effect of locally available fruit waste on treatment of water turbidity. Civ. Environ. Res. 2017, 9. [Google Scholar]
- Buenaño, B.; Vera, E.; Aldás, M.B. Study of coagulating/flocculating characteristics of organic polymers extracted from biowaste for water treatment. Ing. Investig. 2019, 39, 24–35. [Google Scholar]
- Benalia, A.; Derbal, K.; Amrouci, Z.; Baatache, O.; Khalfaoui, A.; Pizzi, A. Application of Plant-Based Coagulants and Their Mechanisms in Water Treatment: A Review. J. Renew. Mater. 2024, 12, 667–698. [Google Scholar] [CrossRef]
- Kumar, M.R.; Istalingamurthy, D.B. Natural bio-flocculant in water treatment: Investigation of the performance of cactus extracts as a natural flocculant. Int. J. Innov. Res. Sci. Eng. Technol. 2017, 5, 12609–12614. [Google Scholar]
- Mohd-Salleh, S.N.A.; Mohd-Zin, N.S.; Othman, N. A Review of Wastewater Treatment using Natural Material and Its Potential as Aid and Composite Coagulant. Sains Malays. 2019, 48, 155–164. [Google Scholar] [CrossRef]
- Mili, A.; Das, S.; Nandakumar, K.; Lobo, R. A comprehensive review on Sesamum indicum L.: Botanical, ethnopharmacological, phytochemical, and pharmacological aspects. J. Ethnopharmacol. 2021, 281, 114503. [Google Scholar] [CrossRef] [PubMed]
- Wan, Y.; Zhou, Q.; Zhao, M.; Hou, T. Byproducts of Sesame Oil Extraction: Composition, Function, and Comprehensive Utilization. Foods 2023, 12, 2383. [Google Scholar] [CrossRef] [PubMed]
- Jubril, A.; Giwa, S.O.; Giwa, A. The Use of Sesame Seed as a Coagulant for the Treatment of Turbid Surface Water. J. Environ. Sci. Comput. Sci. Eng. Technol. 2015, 4, 543–554. [Google Scholar]
- Adeeyo, A.O.; Odiyo, J.O.; Enitan, A.M.; Motsa, M.M.; Msagati, T.A.; Mkoyi, H.D.; Makungo, R. Morphometric and structural properties of a sustainable plant biomass with water purification Potentials. Sustainability 2021, 13, 11075. [Google Scholar] [CrossRef]
- Gojiya, D.; Barad, A.; Gohil, V.; Dabhi, M.; Dhamsaniya, N.; Naliapara, V.; Sapariya, P. Quantification of design associated engineering properties of sesame (Sesamum indicum L.) seed varieties as a function of moisture content. J. Am. Oil Chem. Soc. 2023, 100, 663–678. [Google Scholar] [CrossRef]
- Zhou, H.; Margenot, A.J.; Li, Y.; Si, B.; Wang, T.; Zhang, Y.; Li, S.; Bhattarai, R. Phosphorus pollution control using waste-based adsorbents: Material synthesis, modification, and sustainability. Crit. Rev. Environ. Sci. Technol. 2022, 52, 2023–2059. [Google Scholar] [CrossRef]
- Bharali, P.; Gamo, Y.; Das, A.K.; Tag, H.; Baruah, A.M.; Kakati, D. Phytochemical and Biochemical Study of Four Legume Plants with Detergent and Anti-Lice Properties from the Eastern Himalayan Region of India. Curr. Sci. 2017, 113, 1434–1439. [Google Scholar] [CrossRef]
- Okunlola, M.B.; Ijah, U.J.J.; Yisa, J.; Abioye, P.O.; Ariyeloye, D.S.; Ibrahim, J.N. Purification efficacy of different parts of Mangifera indica on water samples from contaminated drinking water sources in chanchaga local government area of Niger State, Nigeria. Appl. Water Sci. 2020, 10, 102. [Google Scholar] [CrossRef]
- Sandle, T. Microbiology laboratory techniques. In Pharmaceutical Microbiology; Elsevier: Amsterdam, The Netherlands, 2016; pp. 63–80. [Google Scholar] [CrossRef]
- World Health Organization. Guidelines for Drinking-Water Quality: Fourth Edition Incorporating First Addendum, 4th ed.; World Health Organization: Geneva, Switzerland, 2017. [Google Scholar]
- SANS 241-1:2015; Drinking Water Specification. International Organization for Standardization: Geneva, Switzerland, 2015.
- Chaukura, N.; Chiworeso, R.; Gwenzi, W.; Motsa, M.M.; Munzeiwa, W.; Moyo, W.; Chikurunhe, I.; Nkambule, T.T. A new generation low-cost biochar-clay composite ‘biscuit’ ceramic filter for point-of-use water treatment. Appl. Clay Sci. 2020, 185, 105409. [Google Scholar] [CrossRef]
- Sadeghy, S.; Pormazar, S.M.; Ghaneian, M.T.; Ehrampoush, M.H.; Dalvand, A. Modeling and optimization of direct dyes removal from aqueous solutions using activated carbon produced from sesame shell waste. Sci. Rep. 2024, 14, 24867. [Google Scholar] [CrossRef] [PubMed]
- Fida, Z.; Tanoli, M.A.; Mahmood, Q.; Alamgir, M.S.; Sajjad, D. Evaluation of Plant-Based Natural Extracts as Coagulants for Surface Water Treatment. Environ. Eng. Geosci. 2024, 30, 77–90. [Google Scholar] [CrossRef]
- Maurya, S.; Saxena, A.; Pate, A. Evaluation of plant based natural coagulants for surface water treatment of Pratapgarh District Uttar Pradesh, India. J. Trop. For. Environ. 2024, 13. [Google Scholar] [CrossRef]
- Gapparov, A.; Isakova, M. Study on the characteristics of water resources through electrical conductivity: A case study of Uzbekistan. IOP Conf. Ser. Earth Environ. Sci. 2023, 1142, 012057. [Google Scholar] [CrossRef]
- Xianhong, Y.; Shijun, L.; Jian, H.; Jie, X. Application Analysis of Conductivity in Drinking Water Quality Analysis. IOP Conf. Ser. Earth Environ. Sci. 2021, 784, 012028. [Google Scholar] [CrossRef]
- Pandey, P.; Khan, F.; Ahmad, V.; Singh, A.; Shamshad, T.; Mishra, R. Combined efficacy of Azadirachta indica and Moringa oleifera leaves extract as a potential coagulant in ground water treatment. SN Appl. Sci. 2020, 2, 1300. [Google Scholar] [CrossRef]
- Ahmed, N.A.S.; Mohamed, N.Y. Using Natural Coagulants for Reduction of Turbidity of Water. Int. Res. J. Eng. Technol. 2021, 8, 1453–1456. [Google Scholar]
- Delelegn, A.; Sahile, S.; Husen, A. Water purification and antibacterial efficacy of Moringa oleifera Lam. Agric. Food Secur. 2018, 7, 25. [Google Scholar] [CrossRef]
- Rasheed, F.A.; Alkaradaghi, K.; Al-Ansari, N. The Potential of Moringa oleifera Seed in Water Coagulation-Flocculation Technique to Reduce Water Turbidity. Water Air Soil Pollut. 2023, 234, 250. [Google Scholar] [CrossRef]
- Alnawajha, M.M.; Abdullah, S.R.S.; Abu Hasan, H.; Othman, A.R.; Kurniawan, S.B. Effectiveness of using water-extracted Leucaena leucocephala seeds as a coagulant for turbid water treatment: Effects of dosage, pH, mixing speed, mixing time, and settling time. Biomass Convers. Biorefinery 2024, 14, 11203–11216. [Google Scholar] [CrossRef]
- Sha’Arani, S.; Azizan, S.N.F.; Akhir, F.N.M.; Yuzir, M.A.M.; Othman, N.; Zakaria, Z.; Noor, M.J.M.M.; Hara, H. Removal efficiency of Gram-positive and Gram-negative bacteria using a natural coagulant during coagulation, flocculation, and sedimentation processes. Water Sci. Technol. 2019, 80, 1787–1795. [Google Scholar] [CrossRef]
- Putri, A.I.; Arisalwadi, M. Analysis of The Influence Between Turbidity Value on Total Suspended Solid (TSS) Value At The River Water Surface In Kutai Kartanegara. Front. Adv. Appl. Sci. Eng. 2023, 1, 14–20. [Google Scholar] [CrossRef]
- Kesari, K.K.; Soni, R.; Jamal, Q.M.S.; Tripathi, P.; Lal, J.A.; Jha, N.K.; Siddiqui, M.H.; Kumar, P.; Tripathi, V.; Ruokolainen, J. Wastewater Treatment and Reuse: A Review of its Applications and Health Implications. Water Air Soil Pollut. 2021, 232, 208. [Google Scholar] [CrossRef]
- Adeeyo, A.O.; Edokpayi, J.N.; Alabi, M.A.; Msagati, T.A.M.; Odiyo, J.O. Plant active products and emerging interventions in water potabilisation: Disinfection and multi-drug resistant pathogen treatment. Clin. Phytosci. 2021, 7, 31. [Google Scholar] [CrossRef]
- Kandimalla, R.; Vallamkondu, J.; Corgiat, E.B.; Gill, K.D. Understanding Aspects of Aluminum Exposure in Alzheimer’s Disease Development. Brain Pathol. 2016, 26, 139–154. [Google Scholar] [CrossRef] [PubMed]
- Aziza, A.S. Chemical and Microbiological Studies on Some Agricultural Waste of Sesame (sesamum indicum) Plant. Food Technol. Res. J. 2024, 6, 70–82. [Google Scholar] [CrossRef]
- Konkobo, F.A.; Savadogo, P.W.; Diao, M.; Dakuyo, R.; Dicko, M.H. Evaluation of the effectiveness of some local plant extracts in improving the quality of unsafe water consumed in developing countries. Front. Environ. Sci. 2023, 11, 1134984. [Google Scholar] [CrossRef]









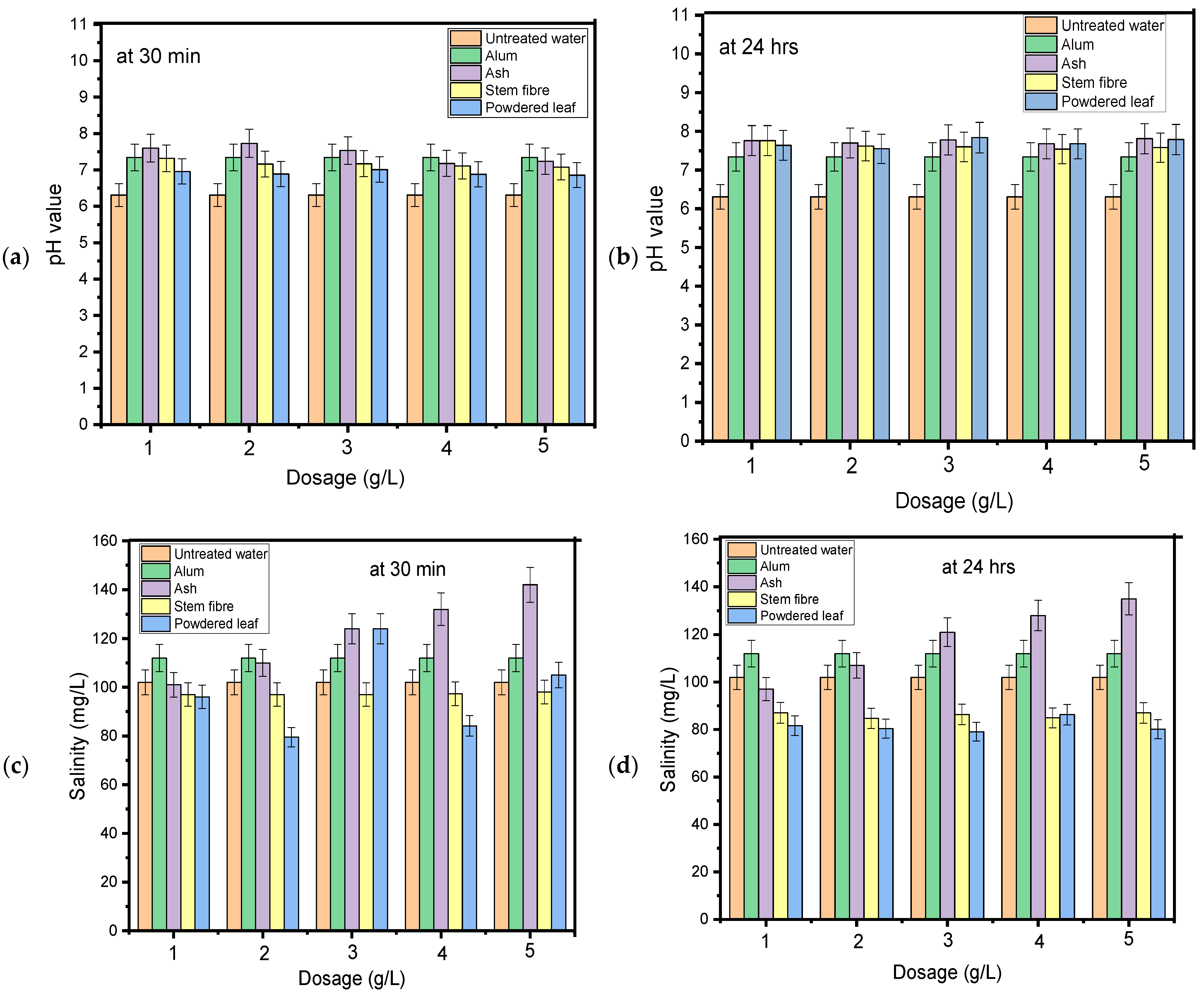
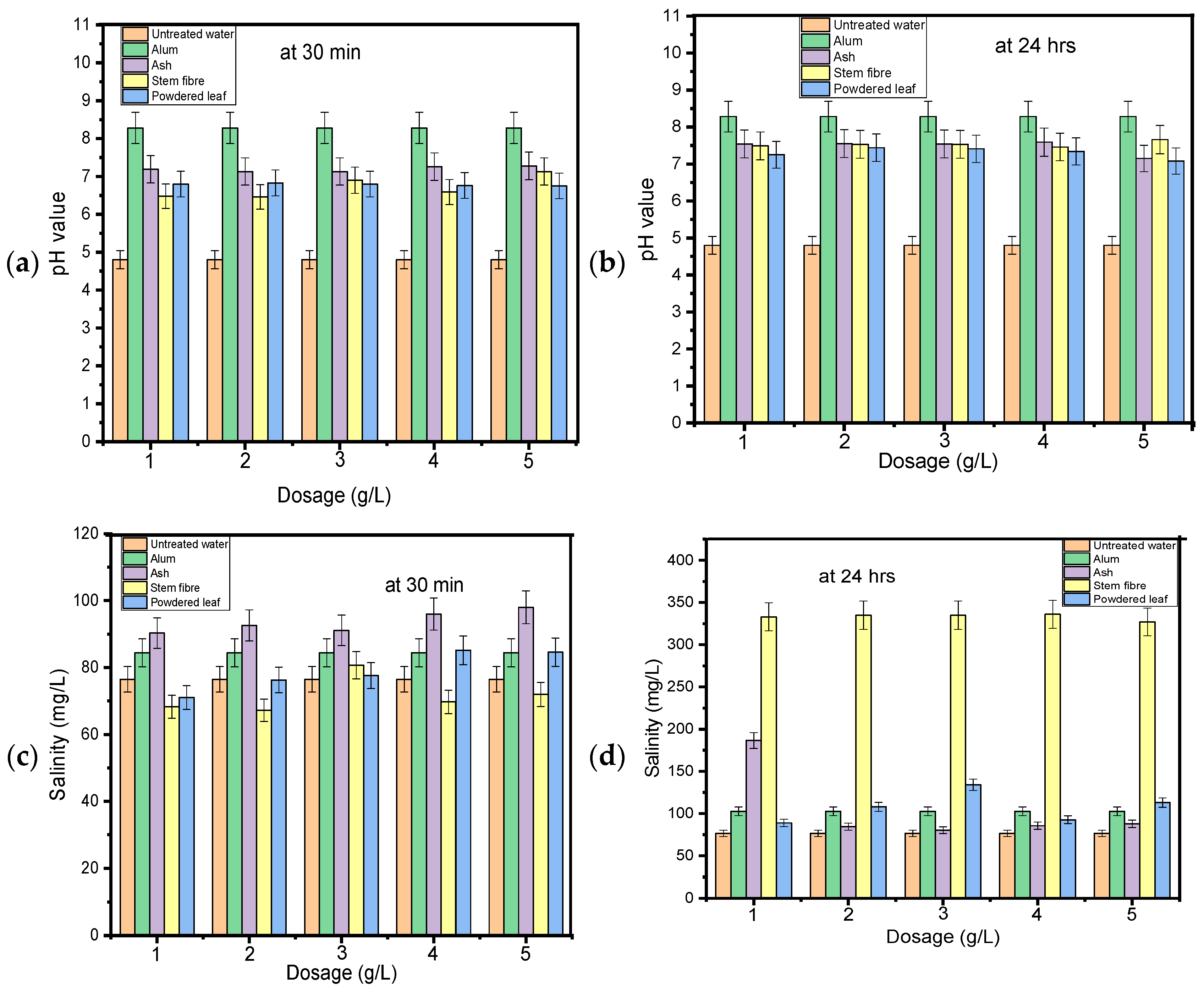
| Parameters | Raw River Water | Raw Spring Water |
|---|---|---|
| pH | 6.3 ± 0.315 | 4.8 ± 0.24 |
| EC (µs/cm) | 230.0 ± 11.5 | 160.9 ± 8.45 |
| Salinity (mg/L) | 102.0 ± 5.1 | 76.5 ± 3.825 |
| TDS (mg/L) | 151.0 ± 7.77 | 112.6 ± 5.63 |
| Turbidity (NTU) | 11.4 ± 0.57 | 0.5± 0.025 |
Disclaimer/Publisher’s Note: The statements, opinions and data contained in all publications are solely those of the individual author(s) and contributor(s) and not of MDPI and/or the editor(s). MDPI and/or the editor(s) disclaim responsibility for any injury to people or property resulting from any ideas, methods, instructions or products referred to in the content. |
© 2025 by the authors. Licensee MDPI, Basel, Switzerland. This article is an open access article distributed under the terms and conditions of the Creative Commons Attribution (CC BY) license (https://creativecommons.org/licenses/by/4.0/).
Share and Cite
Adeeyo, A.O.; Eulendah, H.N.; Alabi, M.; Oyetade, J.A.; Msagati, T.A.M.; Makungo, R. Evaluation of Purification and Disinfection Potentials of Plant-Based Biomass from Wild Sesame Plant. Microbiol. Res. 2025, 16, 246. https://doi.org/10.3390/microbiolres16120246
Adeeyo AO, Eulendah HN, Alabi M, Oyetade JA, Msagati TAM, Makungo R. Evaluation of Purification and Disinfection Potentials of Plant-Based Biomass from Wild Sesame Plant. Microbiology Research. 2025; 16(12):246. https://doi.org/10.3390/microbiolres16120246
Chicago/Turabian StyleAdeeyo, Adeyemi O., Hlavangwani N. Eulendah, Mercy Alabi, Joshua A. Oyetade, Titus A. M. Msagati, and Rachel Makungo. 2025. "Evaluation of Purification and Disinfection Potentials of Plant-Based Biomass from Wild Sesame Plant" Microbiology Research 16, no. 12: 246. https://doi.org/10.3390/microbiolres16120246
APA StyleAdeeyo, A. O., Eulendah, H. N., Alabi, M., Oyetade, J. A., Msagati, T. A. M., & Makungo, R. (2025). Evaluation of Purification and Disinfection Potentials of Plant-Based Biomass from Wild Sesame Plant. Microbiology Research, 16(12), 246. https://doi.org/10.3390/microbiolres16120246

